Flow Characteristics and Energy Loss of a Multistage Centrifugal Pump with Blade-Type Guide Vanes
Abstract
1. Introduction
2. Materials and Methods
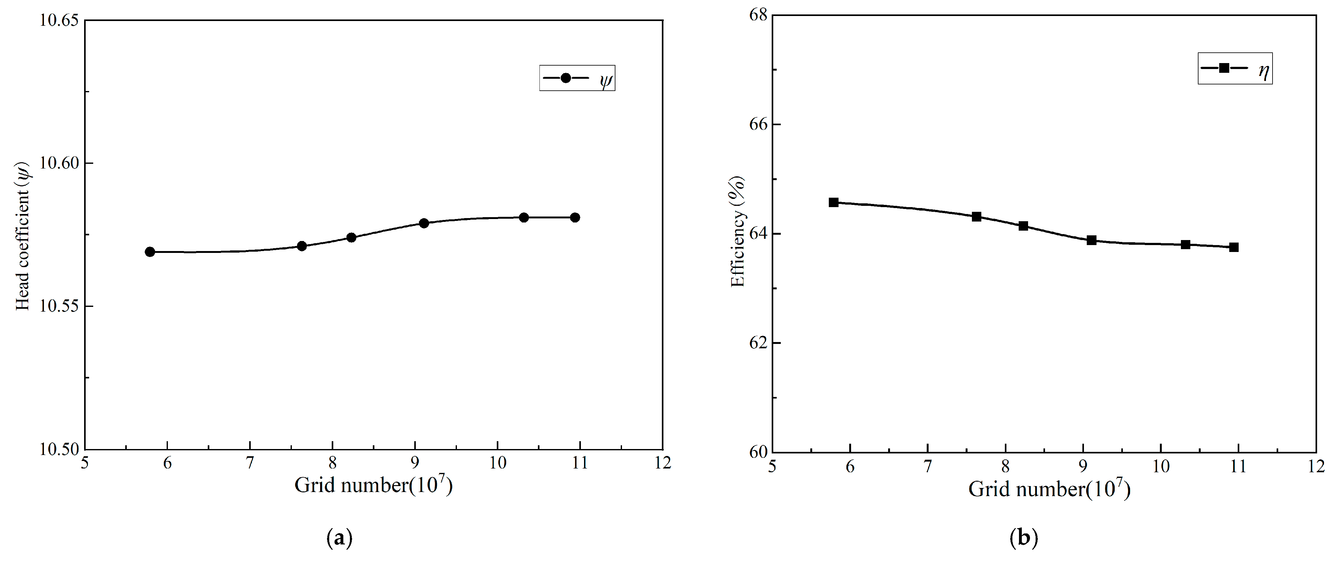
2.1. Geometric Model and Mesh Generation
2.2. Numerical Simulation Method
2.3. Monitoring Points
3. Experimental Verification
4. Results and Discussion
4.1. Head Characteristics of Every Stage within the Pump
4.2. Unsteady Flow Structures
4.3. Distribution and Evolution of Vortex Structures in Rotor-Guide Vane Region
4.4. Pressure Pulsations within the Rotor–Stator Interaction Regions
5. Conclusions
Author Contributions
Funding
Institutional Review Board Statement
Informed Consent Statement
Data Availability Statement
Conflicts of Interest
References
- Kimura, T.; Yoshi Da, Y.; Shimagaki, M. Relation Between Geometries of Inducer Inlet and Backflow and Vortex Structures. In Proceedings of the 40th AIAA/ASME/SAE/ASEE Joint Propulsion Conference and Exhibit, Fort Lauderdale, FL, USA, 11–14 July 2004. [Google Scholar]
- Fukao, S.; Yamanishi, N.; Qiao, X.; Kato, C.; Tsujimoto, Y. LES Simulation of Backflow Vortex Structure at the Inlet of an Inducer. J. Fluids Eng. 2007, 129, 3058–3065. [Google Scholar] [CrossRef][Green Version]
- Xin, T.; Zhili, L.; Meng, Z.; Haotian, Y.; Wei, J.; Yuchuan, W.; Diyi, C. Analysis of Unsteady Flow Characteristics of Centrifugal Pump under Part Load Based on DDES Turbulence Model. Shock. Vib. 2021, 2021, 9970800. [Google Scholar] [CrossRef]
- Zhang, J.F.; Wang, Y.F.; Yuan, S.Q. Experimental research on internal flow in impeller of a low specific speed centrifugal pump by PIV. Mater. Sci. Eng. 2016, 129, 012013. [Google Scholar] [CrossRef]
- Wuibaut, G.; Bois, G.; Hajem, M.E.; Akhras, A.; Champagne, J.Y. Optical PIV and LDV Comparisons of Internal Flow Investigations in SHF Impeller. Int. J. Rotating Mach. 2014, 2006, 9. [Google Scholar] [CrossRef]
- Li, J.; Meng, D.; Qiao, X. Numerical Investigation of Flow Field and Energy Loss in a Centrifugal Pump as Turbine. Shock. Vib. 2020, 2020, 8884385. [Google Scholar] [CrossRef]
- Gao, B.; Guo, P.; Zhang, N.; Li, Z.; Yang, M. Unsteady Pressure Pulsation Measurements and Analysis of a Low Specific Speed Centrifugal Pump. J. Fluids Eng. 2017, 139, 071101–071110. [Google Scholar] [CrossRef]
- Chen, J.; Wang, Y.; Liu, H.; Shao, C.; Zhang, X. Internal flow and analysis of its unsteady characteristics in centrifugal pump with ultra-low specific-speed. J. Irrig. Drain. Eng. 2018, 36, 377–383. [Google Scholar]
- Zhang, N.; Zheng, F.; Liu, X.; Gao, B.; Li, G. Unsteady flow fluctuations in a centrifugal pump measured by laser Doppler anemometry and pressure pulsation. Phys. Fluids 2020, 32, 125108. [Google Scholar] [CrossRef]
- Jia, X.Q.; Zhu, Z.C.; Yu, X.L.; Zhang, Y.L. Internal unsteady flow characteristics of centrifugal pump based on entropy generation rate and vibration energy. Proc. Inst. Mech. Eng. Part E J. Process Mech. Eng. 2018, 23, 456–473. [Google Scholar] [CrossRef]
- Liu, H.; Xia, R.; Wang, K.; Jing, Y.; He, X. Experimental Analysis on Pressure Fluctuation Characteristics of a Centrifugal Pump with Vaned-Diffuser. Water 2019, 12, 126. [Google Scholar] [CrossRef]
- Zhao, X.; Xiao, Y.; Wang, Z.; Luo, Y.; Cao, L. Unsteady Flow and Pressure Pulsation Characteristics Analysis of Rotating Stall in Centrifugal Pumps Under Off-Design Conditions. J. Fluids Eng. 2018, 140, 21105. [Google Scholar] [CrossRef]
- Zeng, Y.S.; Yang, M.; Zhai, Y.Q.; Yao, Z.F.; Xiao, R.F. Numerical Investigation of Pressure Pulsation in Vaneless Region of a High Speed Centrifugal Pump. In Proceedings of the ASME-JSME-KSME 2019 8th Joint Fluids Engineering Conference, San Francisco, CA, USA, 28 July–1 August 2019. [Google Scholar]
- Win Naung, S.; Nakhchi, M.E.; Rahmati, M. High-fidelity CFD simulations of two wind turbines in arrays using nonlinear frequency domain solution method. Renew. Energy 2021, 174, 984–1005. [Google Scholar] [CrossRef]
- Nakhchi, M.E.; Naung, S.W.; Rahmati, M. Influence of blade vibrations on aerodynamic performance of axial compressor in gas turbine: Direct numerical simulation. Energy 2022, 242, 122988. [Google Scholar] [CrossRef]
- Wang, L.; Tang, F.P.; Chen, Y.; Liu, H.Y. Evolution Characteristics of Suction-Side-Perpendicular Cavitating Vortex in Axial Flow Pump under Low Flow Condition. J. Mech. Sci. Eng. 2021, 9, 1058. [Google Scholar] [CrossRef]
- Zhang, W.; Tang, F.; Shi, L.; Hu, Q. Effects of an Inlet Vortex on the Performance of an Axial-Flow Pump. Energies 2020, 13, 2854. [Google Scholar] [CrossRef]
- Guo, M.; Tang, X.L.; Wang, F.J.; Li, X.Q.; Shi, X.Y. Investigation on free-surface vortices within a closed pump intake under different pressure conditions using stereo PIV. J. Nucl. Sci. Technol. 2020, 58, 241–251. [Google Scholar] [CrossRef]
- Yang, B.; Li, B.; Chen, H.; Liu, Z.; Xu, K. Numerical Investigation of the Clocking Effect Between Inducer and Impeller on Pressure Pulsations in a Liquid Rocket Engine Oxygen Turbopump. J. Fluids Eng. 2018, 141, 071109. [Google Scholar] [CrossRef]
- Dan, N.; Yang, M.; Bo, G.; Ning, Z.; Zhong, L. Numerical study on the effect of the diffuser blade trailing edge profile on flow instability in a nuclear reactor coolant pump. Nucl. Eng. Des. 2017, 322, 92–103. [Google Scholar]
- Zhang, N.; Gao, B.; Li, Z.; Ni, D.; Jiang, Q. Unsteady flow structure and its evolution in a low specific speed centrifugal pump measured by PIV. Exp. Therm. Fluids Sci. 2018, 97, 133–144. [Google Scholar] [CrossRef]
- Yuan, Z.; Zhang, Y.; Wang, C.; Lu, B.J. Study on characteristics of vortex structures and irreversible losses in the centrifugal pump. Proc. Inst. Mech. Eng. Part A J. Power Energy 2020, 235, 095765092098306. [Google Scholar] [CrossRef]
- Liu, C.Q.; Wang, Y.Q.; Yang, Y.; Duan, Z.W. New omega vortex identification method. Sci. China 2016, 59, 684711. [Google Scholar] [CrossRef]
- Zhang, N.; Yang, M.; Gao, B.; Li, Z.; Ni, D. Investigation on Rotor-Stator Interaction in a Low Specific Speed Centrifugal Pump. J. Mech. Eng. 2015, 62, 21–31. [Google Scholar] [CrossRef]
- Ni, D.; Yang, M.; Zhang, N.; Gao, B.; Li, Z. Unsteady Flow Structures and Pressure Pulsations in a Nuclear Reactor Coolant Pump with Spherical Casing. J. Fluids Eng. 2017, 139, 051103. [Google Scholar]




















| Parameters | Value | Parameters | Value |
|---|---|---|---|
| First-stage impeller inlet diameter Dj1 | 200 mm | Blade outlet width b1 | 17 mm |
| First-stage impeller outlet diameter Dc1 | 362 mm | Inlet installation angle β1 | 31.6° |
| Secondary impeller inlet diameter Dj2 | 196 mm | Outlet installation angle β2 | 20° |
| Number of impeller blades Z | 7 | Number of radial guide vanes Z | 8 |
Publisher’s Note: MDPI stays neutral with regard to jurisdictional claims in published maps and institutional affiliations. |
© 2022 by the authors. Licensee MDPI, Basel, Switzerland. This article is an open access article distributed under the terms and conditions of the Creative Commons Attribution (CC BY) license (https://creativecommons.org/licenses/by/4.0/).
Share and Cite
Zhai, L.; Lu, C.; Guo, J.; Zhu, Z.; Cui, B. Flow Characteristics and Energy Loss of a Multistage Centrifugal Pump with Blade-Type Guide Vanes. J. Mar. Sci. Eng. 2022, 10, 180. https://doi.org/10.3390/jmse10020180
Zhai L, Lu C, Guo J, Zhu Z, Cui B. Flow Characteristics and Energy Loss of a Multistage Centrifugal Pump with Blade-Type Guide Vanes. Journal of Marine Science and Engineering. 2022; 10(2):180. https://doi.org/10.3390/jmse10020180
Chicago/Turabian StyleZhai, Lulu, Chao Lu, Jia Guo, Zuchao Zhu, and Baoling Cui. 2022. "Flow Characteristics and Energy Loss of a Multistage Centrifugal Pump with Blade-Type Guide Vanes" Journal of Marine Science and Engineering 10, no. 2: 180. https://doi.org/10.3390/jmse10020180
APA StyleZhai, L., Lu, C., Guo, J., Zhu, Z., & Cui, B. (2022). Flow Characteristics and Energy Loss of a Multistage Centrifugal Pump with Blade-Type Guide Vanes. Journal of Marine Science and Engineering, 10(2), 180. https://doi.org/10.3390/jmse10020180

