A Hybrid Model Based on the Bifurcation Approach for Internal Turbulent Flow with Rotation and Streamline Curvature Effects
Abstract
1. Introduction
2. Model Formulation
2.1. The Original Wilcox Model
2.2. The Modified Bifurcation Model (Named the BkO Model) (RANS Model)
2.3. Unification of Rotation and Curvature
2.4. The Modified DDES Model Based on the Model (Named the DDESO Model) (Hybrid with the LES Model)
2.5. The Adaptive DDES Model (Named the ADDES Model)
2.6. The New Bifurcation Adaptive DDES Model (Named the BADDES)
- There is no conflict between the two methods for the correction of the production term in the equation;
- The bifurcation model only acts on the URANS region inside the boundary layer.
3. Test Cases
3.1. Rotating Channel Flow
3.1.1. Benchmark Description and Computational Setup
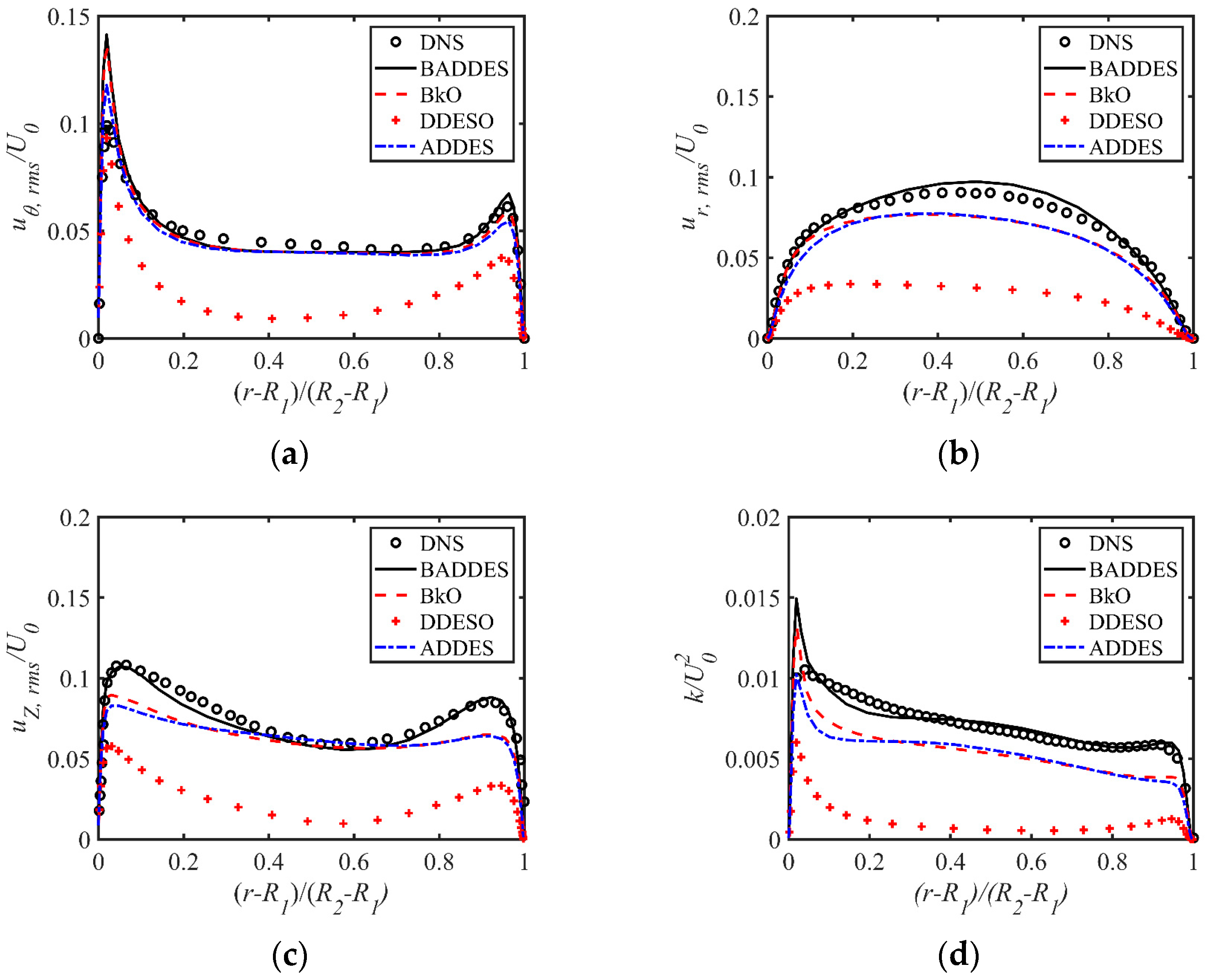
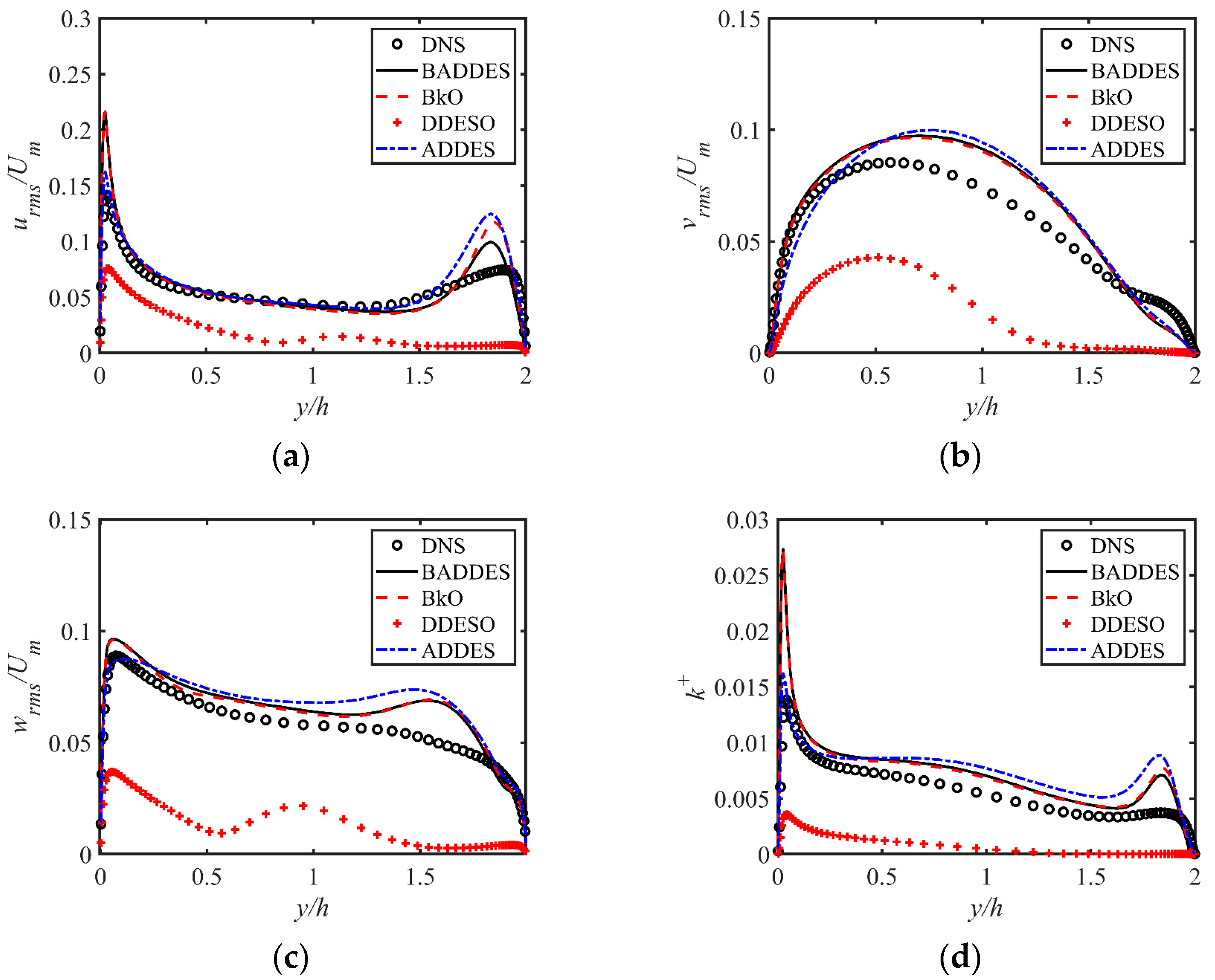
3.1.2. Results and Discussion
3.1.3. Comparison of Computational Cost
3.2. Taylor-Couette Flow
3.2.1. Benchmark Description and Computational Setup
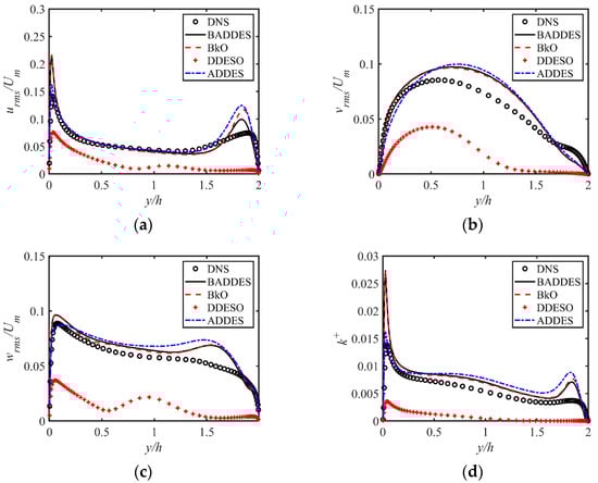
3.2.2. Results and Discussion
3.2.3. Comparison of Computational Cost
3.3. Swirling Flow through an Abrupt Axisymmetric Expansion
3.3.1. Benchmark Description and Computational Setup
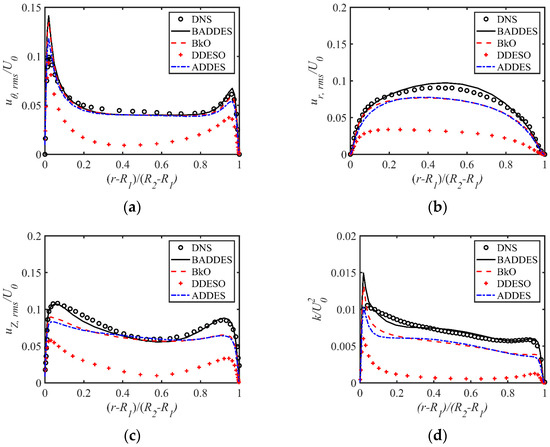
3.3.2. Results and Discussion
3.3.3. Comparison of Computational Cost
4. Conclusions
- Regarding the velocity of the rotating channel flow with system rotation, the BADDES, ADDES, and BkO models can capture the rotation effect, while the DDESO model cannot capture the rotation effect. As for the other two cases, the velocity distribution is close, and the BADDES and ADDES models are slightly superior to the BkO and DDESO models.
- Regarding the RMS velocity, the results of the BADDES model are slightly superior to those of the ADDES model and the BkO model. Meanwhile, the BADDES, ADDES, and BkO models are far superior to the DDESO model, especially in the swirling flow through an abrupt axisymmetric expansion, which tends to converge upon a steady solution leading to a relatively small RMS velocity.
- The ADDES model sustained a certain RANS region thickness, even on grids with a resolution suitable for wall-resolved LES. Compared with the ADDES model, the URANS region of the BADDES model is thinner with the same grids. Thus, a DDES model based on the bifurcation URANS model can alleviate the SLD problem. Meanwhile, the DDESO model stays in the URANS model for most computed regions in all three cases.
- The BADDES model and the BkO model capture a more abundant number of small-scale vortex structures than the ADDES model. However, the BkO model over-predicted the vortex structures in the middle position downstream of the pipeline. In addition, the DDESO model captures significantly fewer vortex structures.
- The computation cost (average iteration time) of the BADDES model is slightly less than that of the ADDES model in the rotating channel flow and the swirling flow through an abrupt axisymmetric expansion: 3.07% and 1.72% lower, respectively. In addition, the calculation cost of the ADDES model is about twice that of the BADDES model in the Taylor-Couette flow.
Author Contributions
Funding
Institutional Review Board Statement
Informed Consent Statement
Data Availability Statement
Acknowledgments
Conflicts of Interest
References
- Lavis, D.R.; Forstell, B.G.; Purnell, J.G. Compact waterjets for high-speed ships. Ships Offshore Struct. 2007, 2, 115–125. [Google Scholar] [CrossRef]
- Hu, F.F.; Wu, P.; Wu, D.Z.; Wang, L.Q. Numerical study on the stall behavior of a water jet mixed-flow pump. J. Mar. Sci. Technol. 2014, 19, 438–449. [Google Scholar] [CrossRef]
- Li, C.; Weijun, Q. Rotating stall region of water-jet pump. Trans. Famena 2014, 38, 31–40. [Google Scholar]
- Zhang, Y.; Wu, Y. A review of rotating stall in reversible pump turbine. Proc. Inst. Mech. Eng. Part C J. Mech. Eng. Sci. 2017, 231, 1181–1204. [Google Scholar] [CrossRef]
- Xia, C.; Cheng, L.; Luo, C.; Jiao, W.; Zhang, D. Hydraulic characteristics and measurement of rotating stall suppression in a waterjet propulsion system. Trans. Famena 2018, 42, 85–100. [Google Scholar] [CrossRef]
- Zhang, L.; Zhang, J.N.; Shang, Y.C. A potential flow theory and boundary layer theory based hybrid method for waterjet propulsion. J. Mar. Sci. Eng. 2019, 7, 113. [Google Scholar] [CrossRef]
- Durbin, P.A. Some Recent Developments in Turbulence Closure Modeling. Annu. Rev. Fluid Mech. 2018, 50, 77–103. [Google Scholar] [CrossRef]
- Huang, X.; Yang, W.; Li, Y.; Qiu, B.; Guo, Q.; Liu, Z. Review on the sensitization of turbulence models to rotation/curvature and the application to rotating machinery. Appl. Math. Comput. 2019, 341, 46–69. [Google Scholar] [CrossRef]
- Yin, Z.; Reddy, K.R.; Durbin, P.A. On the dynamic computation of the model constant in delayed detached eddy simulation. Phys. Fluids 2015, 27, 025105. [Google Scholar] [CrossRef]
- Spalart, P.R.; Shur, M. On the Sensitization of Turbulence Models to Rotation and Curvature. Aerosp. Sci. Technol. 1997, 1, 297–302. [Google Scholar] [CrossRef]
- Fröhlich, J.; Von Terzi, D. Hybrid LES/RANS methods for the simulation of turbulent flows. Prog. Aerosp. Sci. 2008, 44, 349–377. [Google Scholar] [CrossRef]
- Spalart, P.R.; Deck, S.; Shur, M.L.; Squires, K.D.; Strelets, M.K.; Travin, A. A new version of detached-eddy simulation, resistant to ambiguous grid densities. Theor. Comput. Fluid Dyn. 2006, 20, 181–195. [Google Scholar] [CrossRef]
- Menter, F.R.; Kuntz, M.; Langtry, R. Ten Years of Industrial Experience with the SST Turbulence Model. Turbul. Heat Mass Transf. 2003, 4, 625–632. [Google Scholar]
- Shur, M.L.; Spalart, P.R.; Strelets, M.K.; Travin, A.K. A hybrid RANS-LES approach with delayed-DES and wall-modelled LES capabilities. Int. J. Heat Fluid Flow 2008, 29, 1638–1649. [Google Scholar] [CrossRef]
- Spalart, P.R. Detached-eddy simulation. Annu. Rev. Fluid Mech. 2009, 41, 181–202. [Google Scholar] [CrossRef]
- Menter, F. Stress-Blended Eddy Simulation (SBES)—A New Paradigm in Hybrid RANS-LES Modeling. Prog. Hybrid RANS-LES Model. 2018, 137, 27–37. [Google Scholar] [CrossRef]
- Reddy, K.R.; Ryon, J.A.; Durbin, P.A. A DDES model with a Smagorinsky-type eddy viscosity formulation and log-layer mismatch correction. Int. J. Heat Fluid Flow 2014, 50, 103–113. [Google Scholar] [CrossRef]
- He, X.; Zhao, F.; Vahdati, M. Detached Eddy Simulation: Recent Development and Application to Compressor Tip Leakage Flow. J. Turbomach. 2022, 144, 1–10. [Google Scholar] [CrossRef]
- Chauvet, N.; Deck, S.; Jacquin, L. Zonal Detached Eddy Simulation of a Controlled Propulsive Jet. AIAA J. 2007, 45, 2458–2473. [Google Scholar] [CrossRef]
- Mockett, C.; Fuchs, M.; Garbaruk, A.; Shur, M.; Spalart, P.; Strelets, M.; Thiele, F.; Travin, A. Two non-zonal approaches to accelerate RANS to LES transition of free shear layers in DES. Notes Numer. Fluid Mech. Multidiscip. Des. 2015, 130, 187–201. [Google Scholar] [CrossRef]
- Shur, M.L.; Spalart, P.R.; Strelets, M.K.; Travin, A.K. An Enhanced Version of des with Rapid Transition from RANS to LES in Separated Flows. Flow Turbul. Combust. 2015, 95, 709–737. [Google Scholar] [CrossRef]
- Yin, Z.; Durbin, P.A. An adaptive DES model that allows wall-resolved eddy simulation. Int. J. Heat Fluid Flow 2016, 62, 499–509. [Google Scholar] [CrossRef]
- He, C.; Liu, Y.; Yavuzkurt, S. A dynamic delayed detached-eddy simulation model for turbulent flows. Comput. Fluids 2017, 146, 174–189. [Google Scholar] [CrossRef]
- He, C.; Liu, Y. A dynamic detached-eddy simulation model for turbulent heat transfer: Impinging jet. Int. J. Heat Mass Transf. 2018, 127, 326–338. [Google Scholar] [CrossRef]
- Yin, Z.; Ge, X.; Durbin, P. Adaptive detached eddy simulation of transition under the influence of free-stream turbulence and pressure gradient. J. Fluid Mech. 2021, 915, 1–26. [Google Scholar] [CrossRef]
- Li, F.; He, C.; Wang, P.; Liu, Y. Unsteady analysis of turbulent flow and heat transfer behind a wall-proximity square rib using dynamic delayed detached-eddy simulation. Phys. Fluids 2021, 33, 055104. [Google Scholar] [CrossRef]
- Temmerman, L.; Hadẑiabdić, M.; Leschziner, M.A.; Hanjalić, K. A hybrid two-layer URANS-LES approach for large eddy simulation at high Reynolds numbers. Int. J. Heat Fluid Flow 2005, 26, 173–190. [Google Scholar] [CrossRef]
- Gritskevich, M.S.; Garbaruk, A.V.; Schütze, J.; Menter, F.R. Development of DDES and IDDES formulations for the k-ω shear stress transport model. Flow Turbul. Combust. 2012, 88, 431–449. [Google Scholar] [CrossRef]
- Gritskevich, M.S.; Garbaruk, A.V.; Menter, F.R. Fine-tuning of DDES and IDDES formulations to the k-ω shear stress transport model. Prog. Flight Phys. 2013, 5, 23–42. [Google Scholar] [CrossRef]
- Liu, Y.; Zhong, L.; Lu, L. Comparison of DDES and URANS for Unsteady Tip Leakage Flow in an Axial Compressor Rotor. J. Fluids Eng. Trans. ASME 2019, 141, 1–13. [Google Scholar] [CrossRef]
- Zhai, L.J.; Chen, H.X.; Ma, Z. A Delayed Detached Eddy Simulation Model for the Simulation of Complex Turbulent Flow. J. Appl. Fluid Mech. 2022, 15, 1111–1124. [Google Scholar] [CrossRef]
- Liu, Z.; Hill, J.C.; Fox, R.O.; Passalacqua, A.; Olsen, M.G. A delayed detached eddy simulation model with low Reynolds number correction for transitional swirling flow in a multi-inlet vortex nanoprecipitation reactor. Chem. Eng. Sci. 2019, 193, 66–75. [Google Scholar] [CrossRef]
- Zhang, N.; Liu, X.; Gao, B.; Xia, B. DDES analysis of the unsteady wake flow and its evolution of a centrifugal pump. Renew. Energy 2019, 141, 570–582. [Google Scholar] [CrossRef]
- Zhang, N.; Jiang, J.; Gao, B.; Liu, X.; Ni, D. Numerical analysis of the vortical structure and its unsteady evolution of a centrifugal pump. Renew. Energy 2020, 155, 748–760. [Google Scholar] [CrossRef]
- Fracassi, A.; De Donno, R.; Ghidoni, A.; Noventa, G. Assessment of an Improved Delayed X-LES Hybrid Model for the Study of Off-Design Conditions in Centrifugal Pumps. J. Fluids Eng. Trans. ASME 2022, 144, 101501. [Google Scholar] [CrossRef]
- Klein, T.S.; Craft, T.J.; Iacovides, H. Assessment of the performance of different classes of turbulence models in a wide range of non-equilibrium flows. Int. J. Heat Fluid Flow 2015, 51, 229–256. [Google Scholar] [CrossRef]
- Argyropoulos, C.D.; Markatos, N.C. Recent advances on the numerical modelling of turbulent flows. Appl. Math. Model. 2015, 39, 693–732. [Google Scholar] [CrossRef]
- Liu, B.; Yang, W.; Li, S.; Huang, X. A nonlinear partially-averaged Navier-Stokes model with near-wall correction for separated turbulent flow. Mod. Phys. Lett. B 2021, 35, 2150262. [Google Scholar] [CrossRef]
- Pope, S.B. A more general effective-viscosity hypothesis. J. Fluid Mech. 1975, 72, 331–340. [Google Scholar] [CrossRef]
- Howard, J.H.G.; Patankar, S.V.; Bordynuik, R.M. Flow prediction in rotating ducts using Coriolis-modified turbulence models. J. Fluids Eng. 1980, 102, 456–461. [Google Scholar] [CrossRef]
- Cazalbou, J.B.; Chassaing, P.; Dufour, G.; Carbonneau, X. Two-equation modeling of turbulent rotating flows. Phys. Fluids 2005, 17, 1–14. [Google Scholar] [CrossRef]
- Smirnov, P.E.; Menter, F.R. Sensitization of the SST turbulence model to rotation and curvature by applying the Spalart-Shur correction term. J. Turbomach. 2009, 131, 1–8. [Google Scholar] [CrossRef]
- Pettersson Reif, B.A.; Durbin, P.A.; Ooi, A. Modeling rotational effects in eddy-viscosity closures. Int. J. Heat Fluid Flow 1999, 20, 563–573. [Google Scholar] [CrossRef]
- Arolla, S.K.; Durbin, P.A. Modeling rotation and curvature effects within scalar eddy viscosity model framework. Int. J. Heat Fluid Flow 2013, 39, 78–89. [Google Scholar] [CrossRef]
- Durbin, P.A.; Reif, B.A.P. Statistical Theory and Modeling for Turbulent Flows, 2nd ed.; John Wiley and Sons: New York, NY, USA, 2010; pp. 231–235. [Google Scholar] [CrossRef]
- Durbin, P. Review: Adapting scalar turbulence closure models for rotation and curvature. J. Fluids Eng. Trans. ASME 2011, 133, 1–8. [Google Scholar] [CrossRef]
- Toh, Y.H.; Ng, B.F. Eddy viscosity modeling around curved boundaries through bifurcation approach and theory of rotating turbulence. Phys. Fluids 2021, 33, 1–19. [Google Scholar] [CrossRef]
- Kaiwen, P.; Xianbei, H.; Zhuqing, L.; Yaojun, L.; Wei, Y. Research on the bifurcation approach for turbulent flows with rotation and curvature: Effect of the base models. Eng. Comput. 2022; accepted. [Google Scholar]
- Wilcox, D.C. Turbulence Modeling for CFD; DCW Industries: La Canada, CA, USA, 1993. [Google Scholar]
- Davidson, L. Fluid Mechanics, Turbulent Flow and Turbulence Modeling; Chalmers University of Technology Press: Göteborg, Sweden, 2015; pp. 182–187. [Google Scholar]
- Yang, Z.; Cui, G.; Xu, C.; Zhang, Z. Large eddy simulation of rotating turbulent channel flow with a new dynamic global-coefficient nonlinear subgrid stress model. J. Turbul. 2012, 13, 1–20. [Google Scholar] [CrossRef]
- Xianbei, H.; Zhuqing, L.; Wei, Y.; Yaojun, L.; Zixuan, Y. A cubic nonlinear subgrid-scale model for large eddy simulation. J. Fluids Eng. Trans. ASME 2017, 139, 1–12. [Google Scholar] [CrossRef]
- Eugene, D.V. The Potential of Large Eddy Simulation for the Modeling of Wall Bounded Flows. Ph.D. Thesis, Imperial College of Science, Technology and Medicine, London, UK, 2006. [Google Scholar]
- Dong, S. Direct numerical simulation of turbulent Taylor—Couette flow. J. Fluid Mech. 2007, 587, 373–393. [Google Scholar] [CrossRef]
- Smith, G.P.; Townsend, A.A. Turbulent Couette flow between concentric cylinders at large Taylor numbers. J. Fluid Mech. 1982, 123, 187–217. [Google Scholar] [CrossRef]
- Dong, S. Turbulent flow between counter-rotating concentric cylinders: A direct numerical simulation study. J. Fluid Mech. 2008, 615, 371–399. [Google Scholar] [CrossRef]
- Paghdar, D.; Jogee, S.; Anupindi, K. Large-eddy simulation of counter-rotating Taylor–Couette flow: The effects of angular velocity and eccentricity. Int. J. Heat Fluid Flow 2020, 81, 108514. [Google Scholar] [CrossRef]
- Chouippe, A.; Climent, E.; Legendre, D.; Gabillet, C. Numerical simulation of bubble dispersion in turbulent Taylor-Couette flow. Phys. Fluids 2014, 26, 1–30. [Google Scholar] [CrossRef]
- Nilsson, H. Simulations of the vortex in the Dellenback abrupt expansion, resembling a hydro turbine draft tube operating at part-load. In Proceedings of the IOP Conference Series: Earth and Environmental Science, 26th IAHR Symposium on Hydraulic Machinery and Systems, Beijing, China, 19–23 August 2012. [Google Scholar] [CrossRef]
- Foroutan, H.; Yavuzkurt, S. A partially-averaged Navier-Stokes model for the simulation of turbulent swirling flow with vortex breakdown. Int. J. Heat Fluid Flow 2014, 50, 402–416. [Google Scholar] [CrossRef]


















.
.




| Turbulence Model | Case1 (s) | Case2 (s) | Case3 (s) | Average (s) | Deviation (%) |
|---|---|---|---|---|---|
| BADDES | 0.2435 | 0.245 | 0.245 | 0.2445 | |
| ADDES | 0.249 | 0.247 | 0.260 | 0.252 | +3.07 |
| BkO | 0.269 | 0.274 | 0.275 | 0.273 | +11.66 |
| DDESO | 0.273 | 0.272 | 0.271 | 0.272 | +11.25 |
| Turbulence Model | Average (s) | |||
|---|---|---|---|---|
| BADDES | 16.76 | 5.02 | 14.11 | 11.96 |
| ADDES | 14.26 | 17.27 | 20.3 | 17.28 |
| BkO | 14.29 | 12.3 | 20.23 | 15.61 |
| DDESO | 46.78 | 62.7 | 60.97 | 56.82 |
| Turbulence Model | Case1 (s) | Case2 (s) | Case3 (s) | Average (s) | Deviation (%) |
|---|---|---|---|---|---|
| BADDES | 0.177 | 0.179 | 0.171 | 0.1757 | |
| ADDES | 0.355 | 0.349 | 0.357 | 0.3537 | +101.33 |
| BkO | 0.191 | 0.188 | 0.192 | 0.1903 | +8.35 |
| DDESO | 0.37 | 0.36 | 0.358 | 0.3627 | +106.45 |
| Turbulence Model | Case1 (s) | Case2 (s) | Case3 (s) | Average (s) | Deviation (%) |
|---|---|---|---|---|---|
| BADDES | 0.408 | 0.407 | 0.400 | 0.405 | |
| ADDES | 0.4 | 0.411 | 0.425 | 0.412 | +1.728 |
| BkO | 0.484 | 0.424 | 0.46 | 0.456 | +12.593 |
| DDESO | 0.369 | 0.413 | 0.367 | 0.383 | −5.432 |
Publisher’s Note: MDPI stays neutral with regard to jurisdictional claims in published maps and institutional affiliations. |
© 2022 by the authors. Licensee MDPI, Basel, Switzerland. This article is an open access article distributed under the terms and conditions of the Creative Commons Attribution (CC BY) license (https://creativecommons.org/licenses/by/4.0/).
Share and Cite
Pang, K.; Huang, X.; Liu, Z.; Li, Y.; Yang, W. A Hybrid Model Based on the Bifurcation Approach for Internal Turbulent Flow with Rotation and Streamline Curvature Effects. J. Mar. Sci. Eng. 2022, 10, 2022. https://doi.org/10.3390/jmse10122022
Pang K, Huang X, Liu Z, Li Y, Yang W. A Hybrid Model Based on the Bifurcation Approach for Internal Turbulent Flow with Rotation and Streamline Curvature Effects. Journal of Marine Science and Engineering. 2022; 10(12):2022. https://doi.org/10.3390/jmse10122022
Chicago/Turabian StylePang, Kaiwen, Xianbei Huang, Zhuqing Liu, Yaojun Li, and Wei Yang. 2022. "A Hybrid Model Based on the Bifurcation Approach for Internal Turbulent Flow with Rotation and Streamline Curvature Effects" Journal of Marine Science and Engineering 10, no. 12: 2022. https://doi.org/10.3390/jmse10122022
APA StylePang, K., Huang, X., Liu, Z., Li, Y., & Yang, W. (2022). A Hybrid Model Based on the Bifurcation Approach for Internal Turbulent Flow with Rotation and Streamline Curvature Effects. Journal of Marine Science and Engineering, 10(12), 2022. https://doi.org/10.3390/jmse10122022

