Investigation of the Viability of Unmanned Autonomous Container Ships under Different Carbon Pricing Scenarios
Abstract
1. Introduction
2. Literature Review
2.1. Literature Review of Developments in Autonomous and Unmanned Shipping
- Costs savings in the reduction of ship energy consumption, and lower operating and voyage costs that making ships more environmentally friendly;
- Safer waterborne transport by ruling out crew-related mistakes that lead to an extensive number of accidents;
- A competitive industry with the opportunity to grow in size and volume; and
2.2. Literature Review of Developments in Container Shipping
2.3. The Aim and Contributions of the Paper
- Research is lacking on the economic impact of unmanned autonomous container ships, as studies dedicated to autonomous ships mainly consider navigation, communication, and sensor systems.
- To the best of the authors’ knowledge, there are no studies that simultaneously consider autonomous shipping and different carbon pricing scenarios for container vessels. Consequently, neither the environmental benefits nor the economic potential of autonomous shipping are clear for marine applications. However, these aspects are very important, as the goal of increasing ship autonomy appears simultaneously with future emission reduction targets and cannot be ignored.
- To the best of the authors’ knowledge, no studies offer a comparison of the costs of different size unmanned autonomous container ships.
- Development of a cost model for different size autonomous container vessels which includes different carbon pricing scenarios.
- Comparison of all costs for five different size container ships with their equivalent autonomous alternatives.
3. Methodology
- Capital or investment costs; and
- Operating (exploitation) costs involved in the day-to-day running of the ship, such as crew, administration, stores, insurance and maintenance costs. In addition, expenses related to specific route, such as fuel cost, port charges, canal dues and emission cost, are included.
3.1. Capital Costs
3.2. Operating Costs
Emission Costs
- Stated policies scenario (STEPS), which includes only the firm policies that are in place or have been announced by countries;
- Announced pledge case (APC), a variant of the STEPS that assumes that all of the net zero targets announced by countries around the world to date are met in full; and
- Net-zero emissions by 2050 scenario (NZE), which describes how energy demand and the energy mix will need to evolve if the world is to achieve net-zero emissions by 2050.
3.3. Daily Costs
3.4. Required Freight Rate
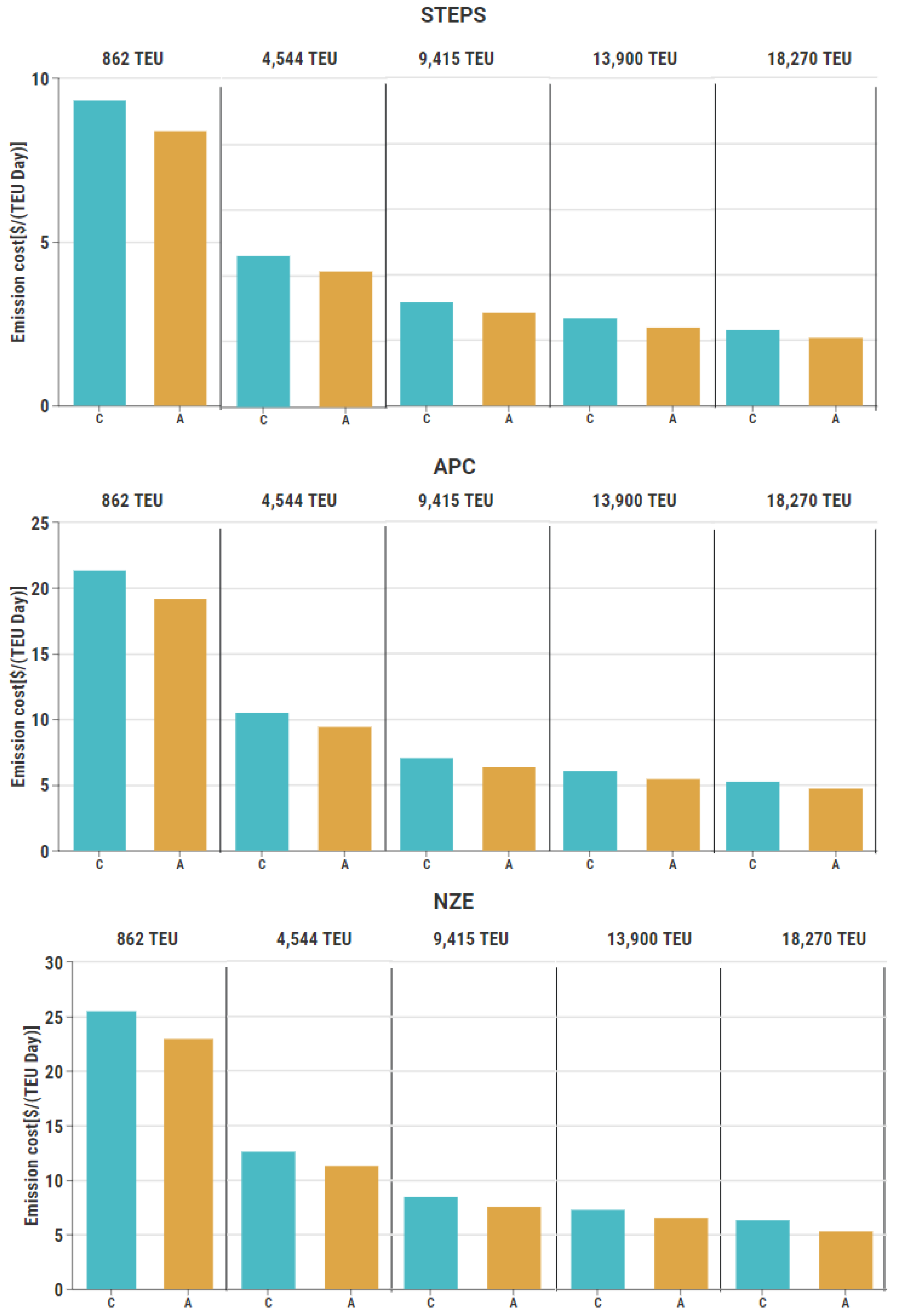
4. Results and Discussion
- Conventional and autonomous ships are equally safe;
- Routes, speed, and time spent in ports are the same for the conventional and autonomous ships; and
- All five ships sail round trip between two ports.
5. Conclusions
- With a stricter emission taxes scenario, the difference in costs between a conventional and autonomous vessel becomes more significant;
- Economies of scale occur in daily costs per container, as well as in daily emission and fuel costs per container;
- Autonomous vessels have lower fuel consumption, resulting in lower fuel and emission costs;
- Operating costs decrease in autonomous shipping, and port and capital costs increase, but total costs are lower for autonomous vessels;
- RFR is lower for autonomous shipping, and when ship capacity is over 10,000 TEU, RFR stabilizes for both conventional and autonomous ships;
- reduced fuel consumption in autonomous vessels is the greatest benefit of autonomous shipping; however, considering that some other less complex and undeveloped technologies (e.g., alternative fuels, hybrid propulsion, waste heat recovery and energy saving devices) also offer similar gains, this standalone benefit is not sufficient to justify research and development of autonomous ships.
Author Contributions
Funding
Institutional Review Board Statement
Informed Consent Statement
Data Availability Statement
Conflicts of Interest
Nomenclature
| Variables | Abbreviations | ||
| C | Cost ($) | AGV | Autonomous Guided Vessel |
| CA | Carbon allowance price ($/ton CO2) | APC | Announced Policies Scenario |
| EF | Emission factor for CO2 (g/kg fuel) | COLREGS | Convention on the International Regulations |
| i | Number of years | for Preventing Collisions at Sea | |
| N | Number of round trips per year | DoA | Degree of autonomy |
| p | Fuel price ($/ton) | ECA | Emission control area |
| r | discount rate (%) | EEDI | |
| RFR | Required freight rate ($) | IMO | International maritime organization |
| T | operating time in a year (days) | IR | Infrared |
| t | total vessel round trip time (days) | ITT | Inter Terminal Transport |
| v | average ship speed along the route (knots) | LIDAR | Light detection and ranging |
| Greek symbols | MASS | Maritime autonomous surface ship | |
| α | daily heavy fuel consumption (tons/day) | MUNIN | Maritime unmanned navigation through intelligence in networks |
| δ | Annual growth rate | NZE | Net-Zero Emissions by 2050 Scenario |
| RADAR | Radio detection and ranging | ||
| SCC | Shore control centre | ||
| STEPS | Stated Policies Scenario | ||
| TEU | Twenty-foot equivalent unit | ||
References
- Ziajka-Poznańska, E.; Montewka, J. Costs and Benefits of Autonomous Shipping—A Literature Review. Appl. Sci. 2021, 11, 4553. [Google Scholar] [CrossRef]
- Jovanović, I.; Vladimir, N.; Perčić, M.; Koričan, M. A study into the economic viability of autonomous shipping: A case study of a 9,400 TEU container vessel. In Proceedings of the 2nd International Congress on Ship and Marine Technology (GMO-SHIPMAR 2021), Istanbul, Turkey, 16–18 September 2021; pp. 427–438. [Google Scholar]
- Jovanović, I.; Vladimir, N.; Perčić, M.; Koričan, M. Effect of potential autonomous short-sea shipping in the Adriatic Sea on the maritime transportation safety. In Proceedings of the 32nd European Safety and Reliability Conference (ESREL 2022), Dublin, Ireland, 28 August–1 September 2022; pp. 721–728. [Google Scholar]
- Liu, Z.; Zhang, Y.; Yu, X.; Yuan, C. Unmanned surface vehicles: An overview of developments and challenges. Annu. Rev. Control 2016, 41, 71–93. [Google Scholar] [CrossRef]
- Gu, Y.; Goez, J.C.; Guajardo, M.; Wallace, S.W. Autonomous vessels: State of the art and potential opportunities in logistics. Int. Trans. Oper. Res. 2020, 00, 1–34. [Google Scholar] [CrossRef]
- Peeters, G.; Kotzé, M.; Afzal, M.R.; Catoor, T.; Van Baelen, S.; Geenen, P.; Vanierschot, M.; Boonen, R.; Slaets, P. An unmanned inland cargo vessel: Design, build, and experiments. Ocean Eng. 2020, 201, 107056. [Google Scholar] [CrossRef]
- Deloitte, S. Challenge to the industry—Securing skilled crews in today’s marketplace 16. Res. Shipp. Ports 2011. [Google Scholar]
- Wahlström, M.; Hakulinen, J.; Karvonen, H.; Lindborg, I. Human Factors Challenges in Unmanned Ship Operations—Insights from Other Domains. Procedia Manuf. 2015, 3, 1038–1045. [Google Scholar] [CrossRef]
- European Maritime Safety Agency (EMSA). Annual Overview of Marine Casualties and Incidents; European Maritime Safety Agency: Lisbon, Portugal, 2021.
- Wróbel, K. Searching for the origins of the myth: 80% human error impact on maritime safety. Reliab. Eng. Syst. Saf. 2021, 216, 107942. [Google Scholar] [CrossRef]
- World Energy Outlook. 2020. Available online: https://www.iea.org/reports/world-energy-outlook-2020 (accessed on 20 January 2021).
- Perčić, M.; Ančić, I.; Vladimir, N. Life-cycle cost assessments of different power system configurations to reduce the carbon footprint in the Croatian short-sea shipping sector. Renew. Sustain. Energy Rev. 2020, 131, 110028. [Google Scholar] [CrossRef]
- Bartolini, A.; Mazzoni, S.; Comodi, G.; Romagnoli, A. Impact of carbon pricing on distributed energy systems planning. Appl. Energy 2021, 301, 117324. [Google Scholar] [CrossRef]
- Yu, Y.; Li, S.; Sun, H.; Taghizadeh-Hesary, F. Energy carbon emission reduction of China’s transportation sector: An input–output approach. Econ. Anal. Policy 2021, 69, 378–393. [Google Scholar] [CrossRef]
- Porathe, T.; Prison, J.; Man, Y. Situation awareness in remote control centres for unmanned ships. Hum. Factors Sh. Des. Oper. 2014, 1–9. [Google Scholar]
- Rødseth, Ø.J.; Burmeister, H.C. Developments toward the unmanned ship. Proc. Int. Symp. Inf. Ship—ISIS 2012, 201, 30–31. [Google Scholar]
- IMO. 2018. Available online: https://www.imo.org/en/MediaCentre/PressBriefings/Pages/08-MSC-99-MASS-scoping.aspx (accessed on 20 January 2021).
- Hogg, T.; Ghosh, S. Autonomous merchant vessels: Examination of factors that impact the effective implementation of unmanned ships. Aust. J. Marit. Ocean Aff. 2016, 8, 206–222. [Google Scholar] [CrossRef]
- Ghaderi, H. Autonomous technologies in short sea shipping: Trends, feasibility and implications. Transp. Rev. 2019, 39, 152–173. [Google Scholar] [CrossRef]
- MUNIN. 2016. Available online: http://www.unmanned-ship.org/munin/about/munin-results-2/ (accessed on 21 February 2021).
- YARA. 2017. Available online: https://www.kongsberg.com/maritime/support/themes/autonomous-ship-project-key-facts-about-yara-birkeland/ (accessed on 21 February 2021).
- The ReVolt. 2015. Available online: https://www.dnvgl.com/technology-innovation/revolt/index.html (accessed on 2 February 2021).
- Poikonen, J. Technologies for marine situational awareness and autonomous navigation. AAWA Adv. Auton. Waterborne Appl. 2016, 15–30. [Google Scholar]
- Rødseth, Ø.J.; Burmeister, H.-C. Risk Assessment for an Unmanned Merchant Ship. TransNav Int. J. Mar. Navig. Saf. Sea Transp. 2015, 9, 357–364. [Google Scholar] [CrossRef]
- Porathe, T.; Omem, Å.; Rødseth, Ø.; Fjørtoft, K.; Johnsen, S.O. At least as safe as manned shipping? Autonomous shipping, at least as safe as manned shipping? Autonomous shipping, safety and “human error”. In Proceedings of the 28th International European Safety and Reliability Conference (ESREL 2018), Trondheim, Norway, 17–21 June 2018; pp. 417–426. [Google Scholar]
- Wróbel, K.; Montewka, J.; Kujala, P. Towards the assessment of potential impact of unmanned vessels on maritime transportation safety. Reliab. Eng. Syst. Saf. 2017, 165, 155–169. [Google Scholar] [CrossRef]
- Wróbel, K.; Montewka, J.; Kujala, P. System-theoretic approach to safety of remotely-controlled merchant vessel. Ocean Eng. 2018, 152, 334–345. [Google Scholar] [CrossRef]
- Wróbel, K.; Montewka, J.; Kujala, P. Towards the development of a system-theoretic model for safety assessment of autonomous merchant vessels. Reliab. Eng. Syst. Saf. 2018, 178, 209–224. [Google Scholar] [CrossRef]
- de Vos, J.; Hekkenberg, R.G.; Koelman, H.J. Damage stability requirements for autonomous ships based on equivalent safety. Saf. Sci. 2020, 130, 104865. [Google Scholar] [CrossRef]
- Fan, C.; Wróbel, K.; Montewka, J.; Gil, M.; Wan, C.; Zhang, D. A framework to identify factors influencing navigational risk for Maritime Autonomous Surface Ships. Ocean Eng. 2020, 202, 107188. [Google Scholar] [CrossRef]
- Utne, I.B.; Schjølberg, I.; Roe, E. High reliability management and control operator risks in autonomous marine systems and operations. Ocean Eng. 2019, 171, 399–416. [Google Scholar] [CrossRef]
- Bolbot, V.; Theotokatos, G.; Boulougouris, E.; Vassalos, D. A novel cyber-risk assessment method for ship systems. Saf. Sci. 2020, 131, 104908. [Google Scholar] [CrossRef]
- Zheng, H.; Negenborn, R.R.; Lodewijks, G. Closed-loop scheduling and control of waterborne AGVs for energy-efficient Inter Terminal Transport. Transp. Res. Part E Logist. Transp. Rev. 2017, 105, 261–278. [Google Scholar] [CrossRef]
- Jovanović, I.; Vladimir, N.; Perčić, M.; Koričan, M. The feasibility of autonomous low-emission ro-ro passenger shipping in the Adriatic Sea. Ocean Eng. 2022, 247, 110712. [Google Scholar] [CrossRef]
- Jiang, Z.; Lu, B.; Wang, B.; Cui, W.; Zhang, J.; Luo, R.; Luo, G.; Zhang, S.; Mao, Z. A Prototype Design and Sea Trials of an 11,000 m Autonomous and Remotely-Operated Vehicle Dream Chaser. J. Mar. Sci. Eng. 2022, 10, 812. [Google Scholar] [CrossRef]
- Vagale, A. Evaluation Simulator Platform for Extended Collision Risk of Autonomous Surface Vehicles. J. Mar. Sci. Eng. 2022, 10, 705. [Google Scholar] [CrossRef]
- Kim, H.-G.; Yun, S.-J.; Choi, Y.-H.; Ryu, J.-K.; Suh, J.-H. Collision Avoidance Algorithm Based on COLREGs for Unmanned Surface Vehicle. J. Mar. Sci. Eng. 2021, 9, 863. [Google Scholar] [CrossRef]
- Hwang, T.; Youn, I.-H. Collision Risk Situation Clustering to Design Collision Avoidance Algorithms for Maritime Autonomous Surface Ships. J. Mar. Sci. Eng. 2022, 10, 1381. [Google Scholar] [CrossRef]
- Zhang, W.; Shen, P.; Qi, H.; Zhang, Q.; Ma, T.; Li, Y. AUV Path Planning Algorithm for Terrain Aided Navigation. J. Mar. Sci. Eng. 2022, 10, 1393. [Google Scholar] [CrossRef]
- Kang, B.-S.; Jung, C.-H. Detecting Maritime Obstacles Using Camera Images. J. Mar. Sci. Eng. 2022, 10, 1528. [Google Scholar] [CrossRef]
- Kim, M.; Joung, T.-H.; Jeong, B.; Park, H.-S. Autonomous shipping and its impact on regulations, technologies, and industries. J. Int. Marit. Saf. Environ. Aff. Shipp. 2020, 4, 17–25. [Google Scholar] [CrossRef]
- Chae, C.J.; Kim, M.; Kim, H.J. A study on identification of development status of MASS technologies and directions of improvement. Appl. Sci. 2020, 10, 4564. [Google Scholar] [CrossRef]
- Seaborne Trade. 2020. Available online: https://www.statista.com/statistics/267603/capacity-of-container-ships-in-the-global-seaborne-trade/ (accessed on 15 February 2021).
- Imai, A.; Nishimura, E.; Papadimitriou, S.; Liu, M. The economic viability of container mega-ships. Transp. Res. Part E Logist. Transp. Rev. 2006, 42, 21–41. [Google Scholar] [CrossRef]
- Malchow, U. Growth in containership sizes to be stopped? Marit. Bus. Rev. 2017, 2, 199–210. [Google Scholar] [CrossRef]
- Haralambides, H.E. Gigantism in container shipping, ports and global logistics: A time-lapse into the future. Marit. Econ. Logist. 2019, 21, 1–60. [Google Scholar] [CrossRef]
- Sys, C.; Blauwens, G.; Omey, E.; Van De Voorde, E.; Witlox, F. In search of the link between ship size and operations. Transp. Plan. Technol. 2008, 31, 435–463. [Google Scholar] [CrossRef]
- Garrido, J.; Sauri, S.; Marrero, Á.; Gül, U.; Rúa, C. Predicting the future capacity and dimensions of container ships. Transp. Res. Rec. 2020, 2674, 177–190. [Google Scholar] [CrossRef]
- Msakni, M.K.; Fagerholt, K.; Meisel, F.; Lindstad, E. Analyzing different designs of liner shipping feeder networks: A case study. Transp. Res. Part E Logist. Transp. Rev. 2020, 134, 101839. [Google Scholar] [CrossRef]
- Talley, W.K.; Ng, M.W.; Marsillac, E. Port service chains and port performance evaluation. Transp. Res. Part E Logist. Transp. Rev. 2014, 69, 236–247. [Google Scholar] [CrossRef]
- Wu, W.M. The optimal speed in container shipping: Theory and empirical evidence. Transp. Res. Part E Logist. Transp. Rev. 2020, 136, 101903. [Google Scholar] [CrossRef]
- Lee, C.Y.; Lee, H.L.; Zhang, J. The impact of slow ocean steaming on delivery reliability and fuel consumption. Transp. Res. Part E Logist. Transp. Rev. 2015, 76, 176–190. [Google Scholar] [CrossRef]
- Rehmatulla, N.; Calleya, J.; Smith, T. The implementation of technical energy efficiency and CO2 emission reduction measures in shipping. Ocean Eng. 2017, 139, 184–197. [Google Scholar] [CrossRef]
- Resolution MEPC. 203 (62) Annex 19, MARPOL Annex VI, SOLAS. Int. Marit. Organ. 2011, 203, 1–17. [Google Scholar]
- Ančić, I.; Šestan, A. Influence of the required EEDI reduction factor on the CO2 emission from bulk carriers. Energy Policy 2015, 84, 107–116. [Google Scholar] [CrossRef]
- Pierre, C.; Francesco, P.; Theo, N. Towards low carbon global supply chains: A multi-trade analysis of CO2 emission reductions in container shipping. Int. J. Prod. Econ. 2019, 208, 17–28. [Google Scholar] [CrossRef]
- Ammar, N.R.; Seddiek, I.S. Enhancing energy efficiency for new generations of containerized shipping. Ocean Eng. 2020, 215, 107887. [Google Scholar] [CrossRef]
- IMO. 2020. Available online: https://www.imo.org/en/MediaCentre/HotTopics/Pages/Sulphur-2020.aspx (accessed on 22 February 2021).
- Li, L.; Gao, S.; Yang, W.; Xiong, X. Ship’s response strategy to emission control areas: From the perspective of sailing pattern optimization and evasion strategy selection. Transp. Res. Part E Logist. Transp. Rev. 2020, 133, 101835. [Google Scholar] [CrossRef]
- Chen, L.; Yip, T.L.; Mou, J. Provision of Emission Control Area and the impact on shipping route choice and ship emissions. Transp. Res. Part D Transp. Environ. 2018, 58, 280–291. [Google Scholar] [CrossRef]
- Stepford, M. Maritime economics. Choice Rev. Online 2010, 47, 47–3934. [Google Scholar] [CrossRef]
- Kretschmann, L.; Burmeister, H.C.; Jahn, C. Analyzing the economic benefit of unmanned autonomous ships: An exploratory cost-comparison between an autonomous and a conventional bulk carrier. Res. Transp. Bus. Manag. 2017, 25, 76–86. [Google Scholar] [CrossRef]
- DNV GL. Position Paper-Remote-Controlled and Autonomous Ships; DNV GL: Berrum, Norway, 2018. [Google Scholar]
- Tran, N.K.; Haasis, H.D. An empirical study of fleet expansion and growth of ship size in container liner shipping. Int. J. Prod. Econ. 2015, 159, 241–253. [Google Scholar] [CrossRef]
- Ge, J.; Zhu, M.; Sha, M.; Notteboom, T.; Shi, W.; Wang, X. Towards 25,000 TEU vessels? A comparative economic analysis of ultra-large containership sizes under different market and operational conditions. Marit. Econ. Logist. 2019, 23, 587–614. [Google Scholar] [CrossRef]
- The Paris Agreement. 2016. Available online: https://unfccc.int/process-and-meetings/the-paris-agreement/the-paris-agreement (accessed on 3 February 2021).
- OECD. World Energy Outlook 2021; OECD: Berlin, Germany, 2021. [Google Scholar] [CrossRef]
- EU Emissions Trading System (EU ETS). 2021. Available online: https://ec.europa.eu/clima/policies/ets_en (accessed on 3 February 2021).
- Government Greenhouse Gas Conversion Factors for Company Reporting Methodology Paper for Emission Factors Final Report. Department for Business, Energy & Industrial Strategy, UK. 2019. Available online: https://assets.publishing.service.gov.uk/government/uploads/system/uploads/attachment_data/file/904215/2019-ghg-conversion-factors-methodology-v01-02.pdf (accessed on 13 October 2022).
- Marine Traffic. 2021. Available online: https://www.marinetraffic.com/en/ais/home/centerx:-12.0/centery:25.0/zoom:4 (accessed on 3 February 2021).
- Finance Calculator. 2021. Available online: https://marinet.mpa.gov.sg/psmn2/pc/public_service/calc/vessel_home.action (accessed on 8 February 2021).
- Suez Toll Calculator. 2021. Available online: https://www.wilhelmsen.com/tollcalculators/suez-toll-calculator/ (accessed on 8 February 2021).
- SEA-DISTANCES. 2021. Available online: https://sea-distances.org/ (accessed on 8 February 2021).
- Arnsdorf, I. Rolls-Royce Drone Ships Challenge $375 Billion Industry: Freight. Bloomberg 2014. Available online: https://www.bloomberg.com/news/articles/2014-02-25/rolls-royce-drone-ships-challenge-375-billion-industry-freight?leadSource=uverify%20wall (accessed on 13 October 2022).
- Im, H.I.; Vladimir, N.; Malenica, Š.; Cho, D.S. Quasi-static response of a 19,000 TEU class ultra large container ship with a novel mobile deckhouse for maximizing cargo capacity. Trans. Famena 2017, 41, 45–56. [Google Scholar] [CrossRef]











| Ship Name | Bianca Rambow | Maersk Montana | CMA CGM Rigoletto | One Mackinac | Marit Maersk |
|---|---|---|---|---|---|
| Deadweight (t) | 11,286 | 61,499 | 114,004 | 146,867 | 214,733 |
| Length (m) | 134 | 292 | 349 | 366 | 399 |
| Beam (m) | 23 | 32 | 43 | 52 | 59 |
| Draught (m) | 7.5 | 13 | 12 | 15 | 15 |
| TEU | 862 | 4544 | 9415 | 13,900 | 18,270 |
| Ship Name | Bianca Rambow | Maersk Montana | CMA CGM Rigoletto | One Mackinac | Marit Maersk |
|---|---|---|---|---|---|
| TEU | 862 | 4544 | 9415 | 13,900 | 18,270 |
| Newbuilding price (mil. $) | 30.28 | 55.32 | 88.44 | 118.94 | 148.65 |
| Daily fuel consumption (t) | 34.2 | 88.94 | 126.98 | 158.19 | 180.48 |
| Daily manning costs ($) | 805.42 | 2418.55 | 3045.75 | 4496.64 | 5910.34 |
| Port dues ($) | 600 | 3042 | 6468 | 9210 | 11,694 |
| Suez Canal transit fee ($) | - | - | 441,642.37 | 547,323.05 | 742,677.47 |
| Vessel | RFR ($) | RFR ($)no Emission Costs | ||||
|---|---|---|---|---|---|---|
| C | A | Diff. | C | A | Diff. | |
| 862 TEU | 44.3 | 41.14 | −7.1% | 34.96 | 32.73 | −6.4% |
| 4544 TEU | 20.03 | 18.08 | −8.2% | 15.42 | 13.93 | −9.7% |
| 9415 TEU | 15.52 | 14.86 | −4.3% | 12.34 | 12 | −3% |
| 13,900 TEU | 13.09 | 11.87 | −9.3% | 10.41 | 9.46 | −9.1 |
| 18,270 TEU | 11.7 | 10.83 | −7.4% | 9.37 | 8.74 | −6.7% |
Publisher’s Note: MDPI stays neutral with regard to jurisdictional claims in published maps and institutional affiliations. |
© 2022 by the authors. Licensee MDPI, Basel, Switzerland. This article is an open access article distributed under the terms and conditions of the Creative Commons Attribution (CC BY) license (https://creativecommons.org/licenses/by/4.0/).
Share and Cite
Jovanović, I.; Perčić, M.; Koričan, M.; Vladimir, N.; Fan, A. Investigation of the Viability of Unmanned Autonomous Container Ships under Different Carbon Pricing Scenarios. J. Mar. Sci. Eng. 2022, 10, 1991. https://doi.org/10.3390/jmse10121991
Jovanović I, Perčić M, Koričan M, Vladimir N, Fan A. Investigation of the Viability of Unmanned Autonomous Container Ships under Different Carbon Pricing Scenarios. Journal of Marine Science and Engineering. 2022; 10(12):1991. https://doi.org/10.3390/jmse10121991
Chicago/Turabian StyleJovanović, Ivana, Maja Perčić, Marija Koričan, Nikola Vladimir, and Ailong Fan. 2022. "Investigation of the Viability of Unmanned Autonomous Container Ships under Different Carbon Pricing Scenarios" Journal of Marine Science and Engineering 10, no. 12: 1991. https://doi.org/10.3390/jmse10121991
APA StyleJovanović, I., Perčić, M., Koričan, M., Vladimir, N., & Fan, A. (2022). Investigation of the Viability of Unmanned Autonomous Container Ships under Different Carbon Pricing Scenarios. Journal of Marine Science and Engineering, 10(12), 1991. https://doi.org/10.3390/jmse10121991

