A Deep Learning Method for NLOS Error Mitigation in Coastal Scenes
Abstract
1. Introduction
2. Related Work
3. Preliminary
3.1. Localization System Model
3.2. Influence of the GDOP on Location Accuracy
4. Proposed Location Method
| Algorithm 1: Algorithm for the NLOS error mitigation scheme based on a DRSN. |
| Input: Range measurement data. |
| Output: estimation of the location of the MS. |
| 1 Elimination of the antenna delay error. |
| Input: Range measurement data and labeled data. |
| Output: Range measurement data after error elimination and labeling. |
| 2 Grouping of locations. |
| Input: Range measurement data after error elimination and labeling. |
| Output: Location estimates for each combination. |
| 3 Dataset construction. |
| Input: Location estimates for each combination of data. |
| Output: Dataset of feature images and labeled data. |
| 4 Training of a DRSN model with the dataset. |
| Input: Dataset of feature images and labeled data. |
| Output: Trained regression model. |
| 5 Location estimation. |
| Input: Range measurement data. |
| Output: Estimation of the location of the MS. |
4.1. Elimination of Antenna Delay
4.2. Grouping of Locations
4.3. Dataset Construction
4.4. Location Model of DenseNet
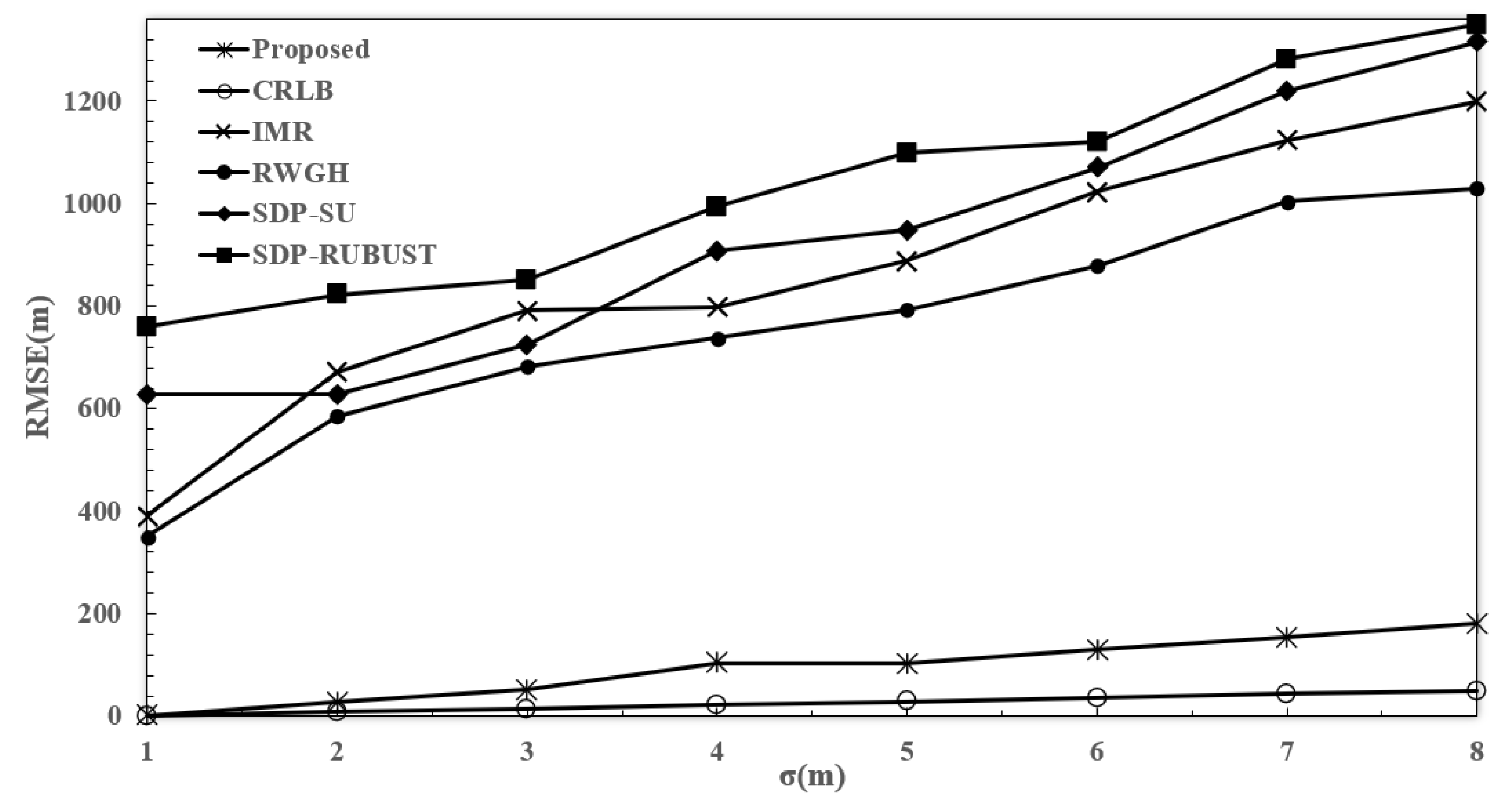
5. Simulation Results
6. Conclusions
Author Contributions
Funding
Institutional Review Board Statement
Informed Consent Statement
Data Availability Statement
Conflicts of Interest
Abbreviations
| AIS | Automatic identification system |
| NLOS | Non-line-of-sight |
| GDOP | Geometric dilution of precision |
| BS | Base station |
| MS | Mobile station |
| DRSN | Deep residual shrinkage network |
| TOA | Time of arrival |
| LOS | Line-of-sight |
| RMSE | Root-mean-square error |
| ML | Maximum likelihood |
| RWGH | Residual weighting |
| AOA | Angle of arrival |
| TDOA | Time difference of arrival |
| RLS | Robust least squares |
| SDP | Semidefinite programming |
| SR | Square range |
| WLS | Weighted least squares |
| GTRS | Generalized trust-region subproblem |
| FINE | Eigenvector algorithm |
| PSO | Particle swarm optimization |
| CDF | Cumulative distribution function |
References
- Joseph, A.; Dalaklis, D. The international convention for the safety of life at sea: Highlighting interrelations of measures towards effective risk mitigation. J. Int. Marit. Saf. Environ. Aff. Shipp. 2021, 5, 1–11. [Google Scholar] [CrossRef]
- Katsilieris, F.; Braca, P.; Coraluppi, S. Detection of malicious AIS position spoofing by exploiting radar information. In Proceedings of the 16th International Conference on Information Fusion, Istanbul, Turkey, 9–12 July 2013; pp. 1196–1203. [Google Scholar]
- Yu, K.; Guo, Y.J. Improved positioning algorithms for nonline-of-sight environments. IEEE Trans. Veh. Technol. 2008, 57, 2342–2353. [Google Scholar]
- Guvenc, I.; Chong, C.C. A survey on TOA based wireless localization and NLOS mitigation techniques. IEEE Commun. Surv. Tutor. 2009, 11, 107–124. [Google Scholar] [CrossRef]
- Qiao, T.; Liu, H. Improved least median of squares localization for non-line-of-sight mitigation. IEEE Commun. Lett. 2014, 18, 1451–1454. [Google Scholar] [CrossRef]
- Gazzah, L.; Najjar, L.; Besbes, H. Improved hybrid AML algorithm without identification of LOS/NLOS Nodes. In Proceedings of the 2015 IEEE 81st Vehicular Technology Conference (VTC Spring), Glasgow, UK, 11–14 May 2015; pp. 1–5. [Google Scholar]
- Zheng, X.; Hua, J.; Zheng, Z.; Zhou, S.; Jiang, B. LLOP localization algorithm with optimal scaling in NLOS wireless propagations. In Proceedings of the 2013 IEEE 4th International Conference on Electronics Information and Emergency Communication, Beijing, China, 15–17 November 2013; pp. 45–48. [Google Scholar]
- Yang, K.; An, J.; Bu, X.; Lu, Y. A TOA-based location algorithm for NLOS environments using quadratic programming. In Proceedings of the 2010 IEEE Wireless Communication and Networking Conference, Sydney, NSW, Australia, 18–21 April 2010; pp. 1–5. [Google Scholar]
- Chen, P.C. A non-line-of-sight error mitigation algorithm in location estimation. In Proceedings of the WCNC. 1999 IEEE Wireless Communications and Networking Conference (Cat. No. 99TH8466), New Orleans, LA, USA, 21–24 September 1999; Volume 1, pp. 316–320. [Google Scholar]
- Wu, S.; Xu, D.; Wang, H. Adaptive NLOS mitigation location algorithm in wireless cellular network. Wirel. Pers. Commun. 2015, 84, 3143–3156. [Google Scholar] [CrossRef]
- Li, X. An iterative NLOS mitigation algorithm for location estimation in sensor networks. In Proceedings of the 15 th IST Mobile and Wireless Communications Summit, Mykonos, Greece, 4–8 June 2006; pp. 1–5. [Google Scholar]
- Wang, G.; So, A.M.C.; Li, Y. Robust convex approximation methods for TDOA-based localization under NLOS conditions. IEEE Trans. Signal Process. 2016, 64, 3281–3296. [Google Scholar] [CrossRef]
- Su, Z.; Shao, G.; Liu, H. Semidefinite programming for NLOS error mitigation in TDOA localization. IEEE Commun. Lett. 2017, 22, 1430–1433. [Google Scholar] [CrossRef]
- Tomic, S.; Beko, M. A bisection-based approach for exact target localization in NLOS environments. Signal Process. 2018, 143, 328–335. [Google Scholar] [CrossRef]
- Falsi, C.; Dardari, D.; Mucchi, L.; Win, M.Z. Time of arrival estimation for UWB localizers in realistic environments. EURASIP J. Adv. Signal Process. 2006, 2006, 1–13. [Google Scholar] [CrossRef]
- Marano, S.; Gifford, W.M.; Wymeersch, H.; Win, M.Z. NLOS identification and mitigation for localization based on UWB experimental data. IEEE J. Sel. Areas Commun. 2010, 28, 1026–1035. [Google Scholar] [CrossRef]
- Mucchi, L.; Marcocci, P. A new parameter for UWB indoor channel profile identification. IEEE Trans. Wirel. Commun. 2009, 8, 1597–1602. [Google Scholar] [CrossRef]
- Momtaz, A.A.; Behnia, F.; Amiri, R.; Marvasti, F. NLOS identification in range-based source localization: Statistical approach. IEEE Sensors J. 2018, 18, 3745–3751. [Google Scholar] [CrossRef]
- Go, S.; Chong, J.W. An efficient TOA-based localization scheme based on BS selection in wireless sensor networks. IEICE Trans. Commun. 2014, 97, 2560–2569. [Google Scholar] [CrossRef]
- Wang, Y.; Jing, Y.; Jia, Z. An indoor mobile localization strategy for robot in NLOS environment. Int. J. Distrib. Sens. Netw. 2013, 9, 758749. [Google Scholar] [CrossRef]
- Yu, K.; Guo, Y.J. Statistical NLOS identification based on AOA, TOA, and signal strength. IEEE Trans. Veh. Technol. 2008, 58, 274–286. [Google Scholar] [CrossRef]
- Sharp, I.; Yu, K.; Guo, Y.J. GDOP analysis for positioning system design. IEEE Trans. Veh. Technol. 2009, 58, 3371–3382. [Google Scholar] [CrossRef]
- Muqaibel, A.H.; Al-Nimnim, R.A.; Landolsi, M.A.; Al-Ahmari, A.S. Mobile localization based on improved non-line-of-sight classification. In Proceedings of the 2010 17th International Conference on Telecommunications, Doha, Qatar, 4–7 April 2010; pp. 368–374. [Google Scholar] [CrossRef]











| Parameter | Value |
|---|---|
| CPU | Intel(R) Core(TM) i7-9750H |
| CPU Clock Speed | 2.11 GHz |
| RAM | 16 G |
| GPU | GeForce GTX 1660ti |
| Programming Language | Python 3.7 |
| Software | Pycharm |
| Deep learning framework | PyTorch 1.7.0 |
| CUDA Version | v10.2.89 |
| CUDNN Version | v8.0.4 |
| Options | Value |
|---|---|
| Solver | Adam |
| Batch size | 32 |
| Epochs | 250 |
| Init. learning rate | 0.0001 |
| Algorithm | Average Time |
|---|---|
| RWGH | 1.16 s |
| IMR | 0.62 s |
| SDP-SU | 1.57 s |
| SDP-Robust | 1.61 s |
| Proposed algorithm | 2.19 s |
Publisher’s Note: MDPI stays neutral with regard to jurisdictional claims in published maps and institutional affiliations. |
© 2022 by the authors. Licensee MDPI, Basel, Switzerland. This article is an open access article distributed under the terms and conditions of the Creative Commons Attribution (CC BY) license (https://creativecommons.org/licenses/by/4.0/).
Share and Cite
Sun, C.; Xue, M.; Zhao, N.; Zeng, Y.; Yuan, J.; Zhang, J. A Deep Learning Method for NLOS Error Mitigation in Coastal Scenes. J. Mar. Sci. Eng. 2022, 10, 1952. https://doi.org/10.3390/jmse10121952
Sun C, Xue M, Zhao N, Zeng Y, Yuan J, Zhang J. A Deep Learning Method for NLOS Error Mitigation in Coastal Scenes. Journal of Marine Science and Engineering. 2022; 10(12):1952. https://doi.org/10.3390/jmse10121952
Chicago/Turabian StyleSun, Chao, Meiting Xue, Nailiang Zhao, Yan Zeng, Junfeng Yuan, and Jilin Zhang. 2022. "A Deep Learning Method for NLOS Error Mitigation in Coastal Scenes" Journal of Marine Science and Engineering 10, no. 12: 1952. https://doi.org/10.3390/jmse10121952
APA StyleSun, C., Xue, M., Zhao, N., Zeng, Y., Yuan, J., & Zhang, J. (2022). A Deep Learning Method for NLOS Error Mitigation in Coastal Scenes. Journal of Marine Science and Engineering, 10(12), 1952. https://doi.org/10.3390/jmse10121952
