Adaptive Second-Order Fast Terminal Sliding-Mode Formation Control for Unmanned Surface Vehicles
Abstract
1. Introduction
- The SOFNTSMC consists of a PDSMM (proportional differential sliding-mode manifold) and an SOFNTSMM (second-order fast nonsingular terminal sliding-mode manifold), which is proposed to guarantee that the generalized formation error converges to zero faster than the SONTSMC.
- Unlike the traditional sliding-mode control, which directly uses a sign function, in this approach, the sign function is introduced into the derivative of the control input, which eliminates the problem of chatter.
- An adaptive update law is designed to estimate the model uncertainties and external environmental disturbances without requiring the boundary information.
2. Preliminaries and Problem Description
2.1. Preliminaries
Algebraic Graph Theory
2.2. Problem Description
- (1)
- If , then .
- (2)
- If then .
3. Control Design
4. Simulation Studies
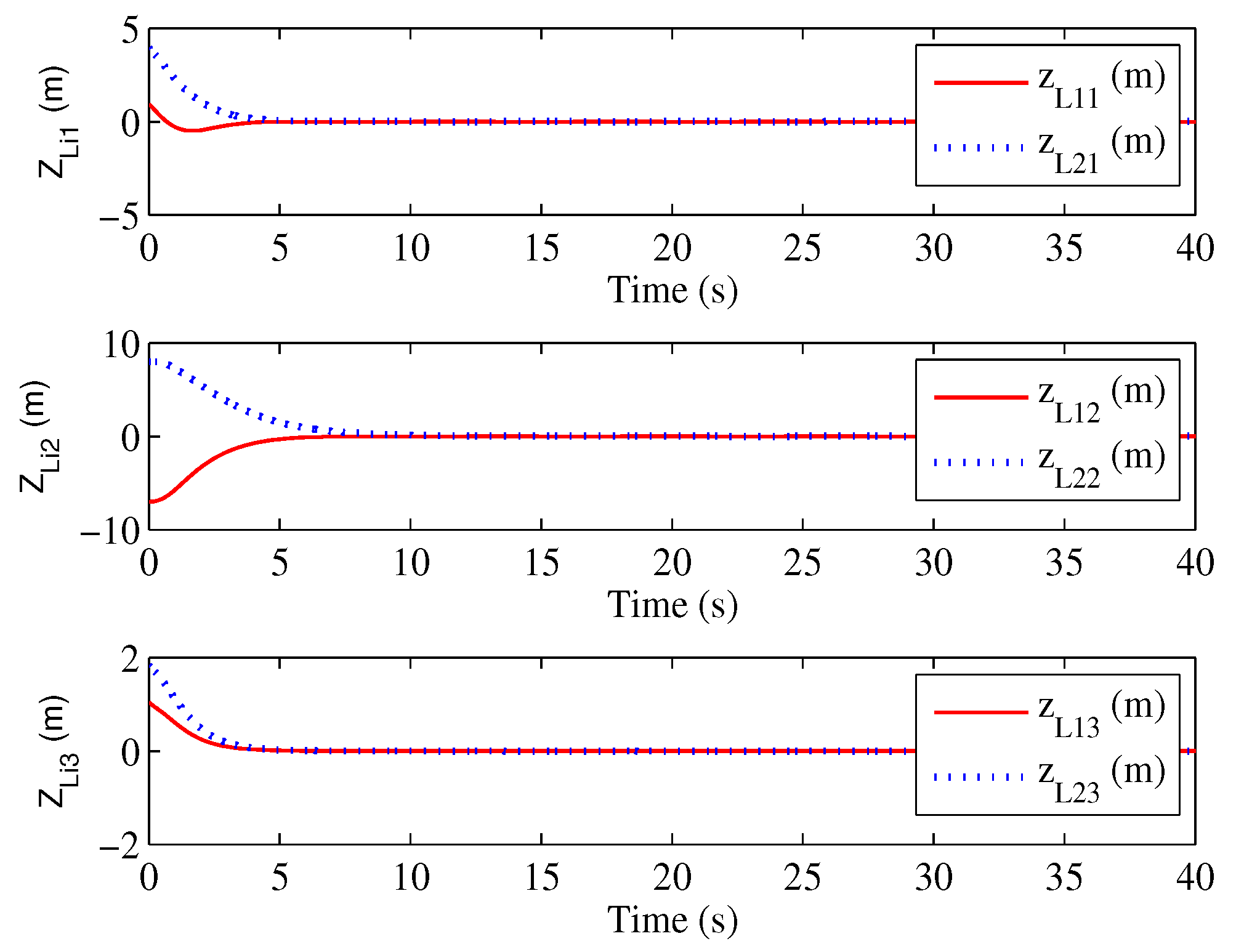
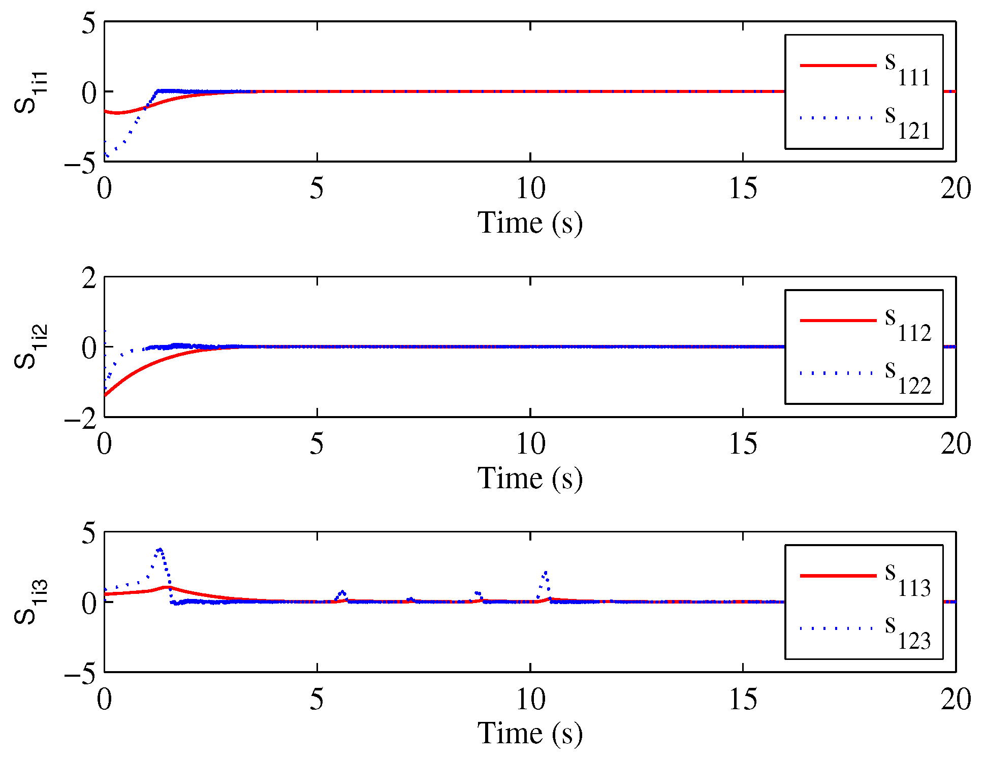
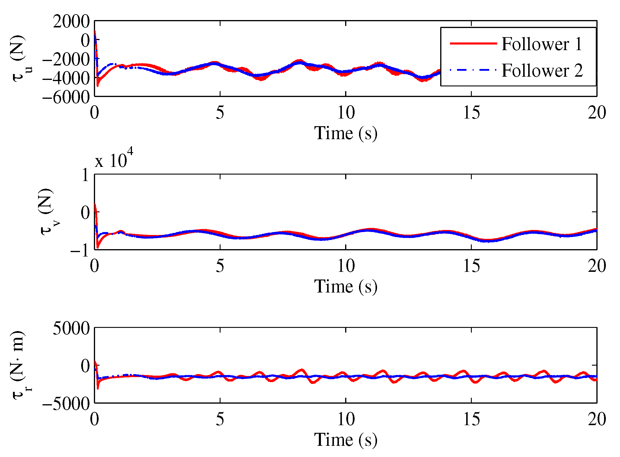
4.1. Example 1
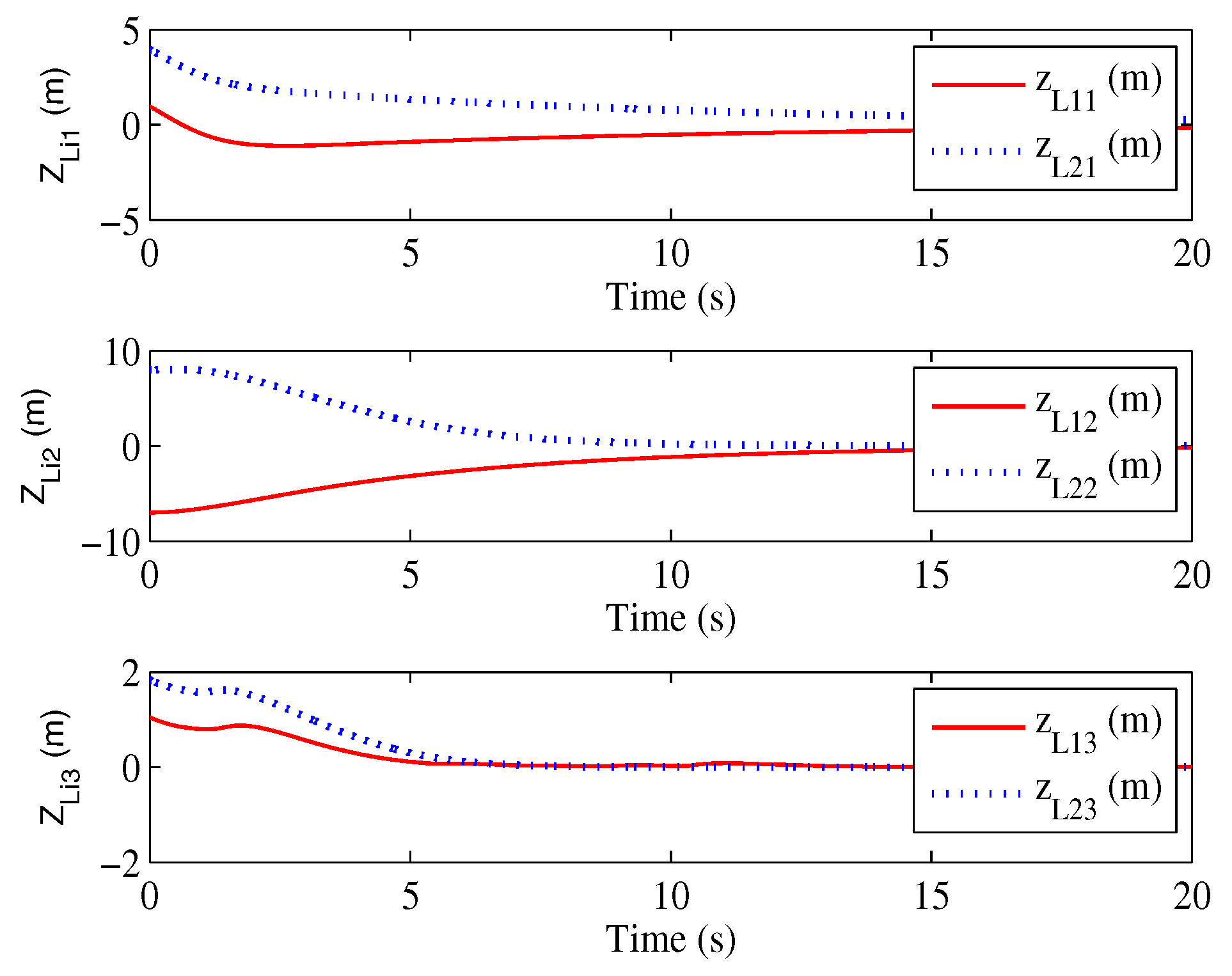
4.2. Example 2
5. Conclusions
Author Contributions
Funding
Institutional Review Board Statement
Informed Consent Statement
Data Availability Statement
Conflicts of Interest
Appendix A
References
- Li, D.; Ge, S.S.; He, W.; Ma, G.; Xie, L. Multilayer formation control of multi-agent systems. Automatica 2019, 109, 108558. [Google Scholar] [CrossRef]
- Li, D.; Zhang, W.; He, W.; Li, C.; Ge, S.S. Two-Layer distributed formation-containment control of multiple Euler-Lagrange systems by output feedback. IEEE Trans. Cybern. 2019, 49, 675–687. [Google Scholar] [CrossRef] [PubMed]
- Li, D.; Ma, G.; He, W.; Ge, S.S.; Lee, T.H. Cooperative circumnavigation control of networked microsatellites. IEEE Trans. Cybern. 2019, 50, 2168–2267. [Google Scholar] [CrossRef]
- Xia, G.; Sun, C.; Zhao, B.; Xue, J. Cooperative control of multiple dynamic positioning vessels with input saturation based on finite-time disturbance observer. Int. J. Control Autom. Syst. 2019, 17, 370–379. [Google Scholar] [CrossRef]
- Cui, R.; Ge, S.S.; How, V.E.; Choo, Y.S. Leader-follower formation control of underactuated autonomous underwater vehicles. Ocean Eng. 2010, 37, 1491–1502. [Google Scholar] [CrossRef]
- Peng, Z.; Wang, D.; Chen, Z.; Hu, X.; Lan, W. Adaptive dynamic surface ontrol for formations of autonomous surface vehicles with uncertain dynamics. IEEE Trans. Control Syst. Technol. 2013, 21, 513–520. [Google Scholar] [CrossRef]
- Gu, N.; Wang, D.; Peng, Z.; Liu, L. Distributed containment maneuvering of uncertain under-actuated unmanned surface vehicles guided by multiple virtual leaders with a formation. Ocean Eng. 2019, 187, 105996. [Google Scholar] [CrossRef]
- Dai, S.L.; He, S.; Lin, H.; Wang, C. Platoon Formation Control With Prescribed Performance Guarantees for USVs. IEEE Trans. Ind. Electron. 2018, 65, 4237–4246. [Google Scholar] [CrossRef]
- Fu, M.Y.; Wang, D.S.; Wang, C.L. Formation control for water-jet USV based on bio-inspired method. China Ocean Eng. 2018, 32, 117–122. [Google Scholar] [CrossRef]
- Qin, Z.H.; Zhuang, L.; Ping, L.; Ali, L. Formation control of underactuated ships with input saturation. J. Huazhong Univ. Sci. Tech. (Nat. Sci. Ed.) 2015, 43, 75–78. [Google Scholar]
- Dong, Z.; Wan, L.; Li, Y.; Liu, T.; Zhang, G. Trajectory tracking control of underactuated USV based on modified backstepping approach. Int. J. Nav. Archit. Ocean Eng. 2015, 7, 817–832. [Google Scholar] [CrossRef]
- Hosseini-Pishrobat, M.; Keighobadi, J. Extended state observer-based robust non-linear integral dynamic surface control for triaxial MEMS gyroscope. Robotica 2019, 37, 481–501. [Google Scholar] [CrossRef]
- Hosseini-Pishrobat, M.; Keighobadi, J.; Oveisi, A.; Nestorovic, T. Robust linear output regulation using extended state observer. Math. Probl. Eng. 2018, 2018, 4095473. [Google Scholar] [CrossRef]
- Hu, Q.; Shao, X.; Guo, L. Adaptive fault-tolerant attitude tracking control of spacecraft with prescribed performance. IEEE-ASME Trans. Mechatron. 2017, 23, 331–341. [Google Scholar] [CrossRef]
- Daly, J.M.; Wang, D.W.L. Output feedback sliding mode control in the presence of unknown disturbances. Syst. Control Lett. 2009, 58, 188–193. [Google Scholar] [CrossRef]
- Zhao, D.; Li, S.; Zhu, Q. Output feedback terminal sliding mode control for a class of second order nonlinear systems. Asian J. Control 2013, 15, 237–247. [Google Scholar] [CrossRef]
- Lin, X.; Nie, J.; Jiao, Y.; Liang, K.; Li, H. Nonlinear adaptive fuzzy output-feedback controller design for dynamic positioning system of ships. Ocean Eng. 2018, 158, 186–195. [Google Scholar] [CrossRef]
- Liu, J. Sliding Mode Control Using MATLAB; Academic Press: Cambridge, MA, USA, 2017. [Google Scholar]
- Xu, J.; Wang, M.; Qiao, L. Dynamical sliding mode control for the trajectory tracking of underactuated unmanned underwater vehicles. Ocean Eng. 2015, 105, 54–63. [Google Scholar] [CrossRef]
- Cui, R.; Zhang, X.; Cui, D. Adaptive sliding-mode attitude control for autonomous underwater vehicles with input nonlinearities. Ocean Eng. 2016, 123, 45–54. [Google Scholar] [CrossRef]
- Lü, H.; He, W.; Han, Q.L.; Ge, X.; Peng, C. Finite-time containment control for nonlinear multi-agent systems with external disturbances. Inf. Sci. 2020, 512, 338–351. [Google Scholar] [CrossRef]
- Keighobadi, J.; Hosseini-Pishrobat, M.; Faraji, J. Adaptive neural dynamic surface control of mechanical systems using integral terminal sliding mode. Neurocomputing 2020, 379, 141–151. [Google Scholar] [CrossRef]
- Gang, W. ESO-based terminal sliding mode control for uncertain full-car active suspension systems. Int. J. Automot. Technol. 2020, 21, 691–702. [Google Scholar] [CrossRef]
- Hu, Q.; Shao, X.; Chen, W.H. Robust fault-tolerant tracking control for spacecraft proximity operations using time-varying sliding mode. IEEE Trans. Aerosp. Electron. Syst. 2017, 54, 2–17. [Google Scholar] [CrossRef]
- Shi, Y.; Hu, Q.; Wang, C.; Shao, X. Distributed coordinated control of spacecraft formation flying under limited resources. In Proceedings of the 2019 12th Asian Control Conference, Fukuoka, Japan, 9–12 June 2019; pp. 1143–1148. [Google Scholar]
- Jafari, M.; Mobayen, S.; Roth, H.; Bayat, F. Nonsingular terminal sliding mode control for micro-electro-mechanical gyroscope based on disturbance observer: Linear matrix inequality approach. J. Vib. Control 2022, 28, 1126–1134. [Google Scholar] [CrossRef]
- Ghaffari, V.; Mobayen, S. Robust H∞ integral controller design for regulation problem of uncertain nonlinear systems with non-zero set-point. Commun. Nonlinear Sci. Numer. Simul. 2022, 107, 106158. [Google Scholar] [CrossRef]
- Mobayen, S.; Alattas, K.A.; Fekih, A.; El-Sousy, F.F.; Bakouri, M. Barrier function-based adaptive nonsingular sliding mode control of disturbed nonlinear systems: A linear matrix inequality approach. Chaos, Solitons Fractals 2022, 157, 111918. [Google Scholar] [CrossRef]
- Thanh, H.L.N.N.; Vu, M.T.; Mung, N.X.; Nguyen, N.P.; Phuong, N.T. Perturbation Observer-Based Robust Control Using a Multiple Sliding Surfaces for Nonlinear Systems with Influences of Matched and Unmatched Uncertainties. Mathematics 2020, 8, 1371. [Google Scholar] [CrossRef]
- Alattas, K.A.; Mobayen, S.; Din, S.U.; Asad, J.H.; Fekih, A.; Assawinchaichote, W.; Vu, M.T. Design of a Non-Singular Adaptive Integral-Type Finite Time Tracking Control for Nonlinear Systems with External Disturbances. IEEE Access 2021, 9, 102091–102103. [Google Scholar] [CrossRef]
- Rojsiraphisal, T.; Mobayen, S.; Asad, J.H.; Vu, M.T.; Chang, A.; Puangmalai, J. Fast Terminal Sliding Control of Underactuated Robotic Systems Based on Disturbance Observer with Experimental Validation. Mathematics 2021, 9, 1935. [Google Scholar] [CrossRef]
- Alattas, K.A.; Vu, M.T.; Mofid, O.; El-Sousy, F.F.M.; Alanazi, A.K.; Awrejcewicz, J.; Mobayen, S. Adaptive Nonsingular Terminal Sliding Mode Control for Performance Improvement of Perturbed Nonlinear Systems. Mathematics 2022, 10, 1064. [Google Scholar] [CrossRef]
- Ghaffari, V.; Mobayen, S.; ud Din, S.; Rojsiraphisal, T.; Vu, M.T. Robust tracking composite nonlinear feedback controller design for time-delay uncertain systems in the presence of input saturation. ISA Trans. 2022, 129, 88–99. [Google Scholar] [CrossRef] [PubMed]
- Fossen, T.I. Guidance and Control of Ocean Vehicles; Wiley: New York, NY, USA, 1994. [Google Scholar]
- Ghasemi, M.; Nersesov, S.G. Finite-time coordination in multiagent systems using sliding mode control approach. Automatica 2014, 50, 1209–1216. [Google Scholar] [CrossRef]
- Defoort, M.; Floquet, T.; Kokosy, A.; Perruquetti, W. Sliding-mode formation control for cooperative autonomous mobile robots. IEEE Trans. Ind. Electron. 2008, 55, 3944–3953. [Google Scholar] [CrossRef]
- Wu, B.; Wang, D.; Poh, E.K. Decentralized sliding-mode control for attitude synchronization in spacecraft formation. Int. J. Robust Nonlinear Control 2013, 23, 1183–1197. [Google Scholar] [CrossRef]
- Li, T.; Zhao, R.; Chen, C.L.P.; Fang, L.; Liu, C. Finite-time formation control of under-actuated ships using nonlinear sliding mode control. IEEE Trans. Cybern. 2018, 48, 3243–3253. [Google Scholar] [CrossRef]
- Wang, C.; Du, Y. ELM-Based Non-Singular Fast Terminal Sliding Mode Control Strategy for Vehicle Platoon. Sustainability 2022, 14, 4020. [Google Scholar] [CrossRef]
- Utkin, V.I.; Poznyak, A.S. Adaptive sliding mode control with application to super-twist algorithm: Equivalent control method. Automatica 2013, 49, 39–47. [Google Scholar] [CrossRef]


















| Abbreviations | Meanings |
|---|---|
Publisher’s Note: MDPI stays neutral with regard to jurisdictional claims in published maps and institutional affiliations. |
© 2022 by the authors. Licensee MDPI, Basel, Switzerland. This article is an open access article distributed under the terms and conditions of the Creative Commons Attribution (CC BY) license (https://creativecommons.org/licenses/by/4.0/).
Share and Cite
Wang, D.; Kong, M.; Zhang, G.; Liang, X. Adaptive Second-Order Fast Terminal Sliding-Mode Formation Control for Unmanned Surface Vehicles. J. Mar. Sci. Eng. 2022, 10, 1782. https://doi.org/10.3390/jmse10111782
Wang D, Kong M, Zhang G, Liang X. Adaptive Second-Order Fast Terminal Sliding-Mode Formation Control for Unmanned Surface Vehicles. Journal of Marine Science and Engineering. 2022; 10(11):1782. https://doi.org/10.3390/jmse10111782
Chicago/Turabian StyleWang, Duansong, Min Kong, Gang Zhang, and Xiaoling Liang. 2022. "Adaptive Second-Order Fast Terminal Sliding-Mode Formation Control for Unmanned Surface Vehicles" Journal of Marine Science and Engineering 10, no. 11: 1782. https://doi.org/10.3390/jmse10111782
APA StyleWang, D., Kong, M., Zhang, G., & Liang, X. (2022). Adaptive Second-Order Fast Terminal Sliding-Mode Formation Control for Unmanned Surface Vehicles. Journal of Marine Science and Engineering, 10(11), 1782. https://doi.org/10.3390/jmse10111782

