Next Article in Journal
Longitudinal Vibration Transmission Control of Marine Propulsion Shafting with Friction Damper Integrated into the Thrust Bearing
Previous Article in Journal
Arrhenius Equation-Based Model to Predict Lithium-Ions Batteries’ Performance
 
 
Font Type:
Arial Georgia Verdana
Font Size:
Aa Aa Aa
Line Spacing:
Column Width:
Background:
Article

A Simplified Panel Method (sPM) for Hydrodynamics of Air Cushion Assisted Platforms

1
Beijing Institute of Petrochemical Technology, Beijing 102617, China
2
School of Ocean Engineering and Technology, Sun Yat-sen University, Zhuhai 519082, China
*
Author to whom correspondence should be addressed.
J. Mar. Sci. Eng. 2022, 10(10), 1554; https://doi.org/10.3390/jmse10101554
Submission received: 11 August 2022 / Revised: 4 October 2022 / Accepted: 18 October 2022 / Published: 20 October 2022
(This article belongs to the Topic Wind, Wave and Tidal Energy Technologies in China)

Abstract

Air-cushion-assisted platforms (ACAPs) are floating platforms supported by both buoyancy pontoon and air cushion, which have merits of wave bending moment reduction, better stability, and hydrodynamic performance. However, there is barely a concise method that can quickly predict the motion response of ACAPs. In this paper, a simplified panel method (sPM) was presented for evaluating the hydrodynamics of ACAPs. The sPM extends the conventional boundary integral equation (BIE) to include the radiation solutions of pulsating air pressure but ignores some unimportant air-water cross terms in motion equations whose coefficients cannot be directly derived from conventional Green’s function methods. The effectiveness of the sPM was validated by experimental data from an ACAP model with one air chamber and analytical results from an oscillating water column (OWC). The numerical results demonstrate that the sPM can give desirable predictions for motion responses of the ACAP and inner pressure of the OWC as compared with results from the literature, which suggests the sPM could be approximately applied to evaluation of hydrodynamic performance of ACAPs and OWCs.

1. Introduction

Nowadays, more attention has been paid to the exploitation of deep-sea wind energy [1] resources, which requires stable floating platforms to support the wind turbines [2]. The four most commonly used floating platforms are the tension-leg platform (TLP) [3], spar-buoy, semi-submersible [4], and barge types [5], which more or less have deficiencies on hydrodynamic performance. In order to improve them, passive dampers are usually installed on floating platforms in engineering, which include an anti-rolling water tank, sag plate, coordination mass damper [6], and bottom opening buffer water tank. The air cushion in the bottom buffer tank reduces the wave force and moment on the platform, disperses the concentrated wave load, reduces the slow drift force [7] and wave moment [8], and improves the hydrodynamic performance.
In fact, the application of air-cushion structures in ocean engineering has a long history. In 1969, a 15,000-t bottomless oil storage tank was built off the coast of Trujour, Emirate of Dubai. It was the first example of an oil storage tank with air cushion support in offshore engineering [9]. In 1985, Berthin and Hudson [10] installed the Maureen gravity platform by adding compressed air to the bottom of the floatation and successfully towed the 42,600-t floatation from the North Sea to a depth of 97 m. In the late 1990s of the last century, Bohai Petroleum Design Company developed a bottomless offshore platform, which is the first engineering example integrating air cushion structures and offshore platforms. Since then, Tianjin University, together with Shengli Petroleum Administration, the First Oceanic Research Institute of the State Oceanic Administration and other entities, jointly undertook a research project on the movable air-floating bucket foundation platform, and successfully built the first air-floating bucket foundation oil production platform in the shallow sea area of the Shengli Petroleum Administration in 1999 [11].
Since the 20th century, a variety of floating platforms have been built [12]. Using air cushions as the supporting structure can improve the stability of the platform and reduce its operating cost. Therefore, their possible application range is significantly increased [13]. In recent years, air cushion vehicle technology based on the gas film principle has been widely used in marine exploration, polar exploration, and so on. It mainly sends high-pressure gas to the air cushion through a blower, so that the internal pressure of the air cushion is slightly greater than the atmospheric pressure. This overpressure generates vehicle lift and causes the bottom air cushion to float above the driving surface [14]. The air cushion technology can greatly reduce the friction between the vehicle and the contact surface and improve the running speed, and thus show strong military and civil values [15].
Because the sealing environment of air cushions is highly dynamic and difficult to characterize, researchers at home and abroad have carried out a lot of theoretical research [16]. Ding [17,18] conducted experimental research on ACAPs with specific shapes, carried out theoretical analysis and numerical calculation on the platforms, and simplified the motion equation of air cushion floating bodies. Liu et al. [19] established the hydrodynamic motion equation of the box-type air floating platform based on the two-dimensional linear potential flow theory, and studied the change law of the added mass and added damping of ACAP under different working conditions. Hao et al. [20] designed a truss type air cushion barge support platform, deduced the stability requirements and restoring moment of the ACAP, forecasted the motion response of the platform under different working conditions by using WAMIT, and improved the seakeeping performance of the barge platform. Lee and Newman [21] studied a super large floating air cushion supported platform on the basis of the potential flow theory, expressed the vertical motion of the free surface in the air cushion with a series of given Fourier modes, expanded the traditional six degree of freedom rigid body motion equation, and characterized the influence of the internal air cushion by the derived air dynamic added mass coefficient.
The above methods can be used to analyze the dynamics of air cushion structures. At present, there are three main types of air cushion structures applicated on marine structures: air-cushion-assisted platforms (ACAP), air cushion vehicles (ACV), and oscillating water column (OWC) power generation platforms [22]. The similarity of these three structures is that the air cushion is compressible, and its pressure pulsates due to the excitation of incident waves, which will affect motions or performance of the floating body. The differences are that the ACVs generally have running speed along with air inflow and air leakage, which make the boundary value conditions different from others. One should consider these dynamic boundary conditions in ACV modeling. The OWCs and the ACAPs are both zero-speed structures. In OWCs, the air inflow or outflow happens due to the overpressure of trapped air, while in ACAPs, there is no air inflow or escape. The area of inner free surface (interface) of OWCs is generally not too big, so in some works the interface was assumed to be a light piston moving up and down with waves. In contrast, the interface of ACAPs is relatively larger; the pressurized free surface conditions on the interface should be considered. Therefore, the differences in the boundary value conditions of the three structures lead to different mathematical models.
In summary, the current hydrodynamic performance analysis methods for ACAPs mainly include analytical methods [18,19,20,21] and some complicated potential methods, such as extended boundary integral equation (EBIE) [21]. The former is applicable to limited scenarios like rectangular cushions with thin sidewalls, while the latter relies on the free-surface Green’s function method that needs to calculate the free-surface Green’s function and its derivative on the air-water interface. The Green’s function might increasingly oscillate when approaching the free surface, which results in difficult numerical calculations.
In this paper, we intend to develop a simplified panel method (sPM) by modeling the boundary integral equation (BIE) for solving hydrodynamic and air dynamic problems of ACAPs and OWCs, building motion equations for platform motions and pulsating pressure of air cushions, and then ignoring some unimportant air-water cross terms in motion equations to simplify the mathematical model. The sPM is employed to predict motion response of an ACAP model and inner pulsating pressure of an OWC in regular waves, and the numerical results are compared with experimental or analytical ones to validate the effectiveness of the method.

2. Mathematical Model of the Simplified Panel Method (sPM)

In this section, the boundary integral equations for ACAPs are firstly modeled, then motion equations are built, and finally the equations are rationally simplified to form the effective sPM.

2.1. The Boundary Integral Equations for ACAPs in Regular Waves

It is assumed that the fluid is ideal, incompressible, inviscid, and irrotational, and the amplitude of incident waves is small; thus, the hydrodynamic and air dynamic problems of ACAPs can be modeled within the linear potential framework. The conceptual diagram of the ACAPs is shown in Figure 1, assuming that the ACAP is a fixed rigid body with an air tank, S b is the wetted surface of the floating body, S c is the surface of the air tank inside the floating body, and S i is the interface between the air cushion and the free surface, the closed surface of the air tank can be written as S a = S c + S i , while all boundaries between the water and the floating body are S w = S b + S i . S f represents the free surface outside the floating body. The difference between the internal liquid and the external height is H , the air cushion height is h, and the draught is d .
It is assumed that the velocity potential of the fluid is Φ . The fluid velocity can be represented by the gradient of the velocity potential Φ , and Φ should satisfy the Laplace equation
2 Φ = 0  
Assuming that the incident wave is a regular wave, in the frequency domain, the velocity potential can be written as
  Φ = Re ϕ e i ω t
where Re is the real part,   ω   is the frequency of the incident wave, and t is the time.
According to Bernoulli’s equation, the dynamic pressure on the free surface is
  p = i ρ ω ϕ ρ g ζ
where ρ is the density of the water, g is the gravitational acceleration, and ζ is the interface elevation. According to the linear dynamic conditions at the still water surface, the velocity potential under the air cushion is
  ϕ z K ϕ = i ω ρ g p
where K = ω 2 / g ; the subscript of ϕ z is the partial derivative of the velocity potential in the z direction.
The oscillating pressure can be decomposed by the modal superposition method as follows [23]
  p 0 x , y = p x , y , z l = ρ g j = 7 6 + N p ξ j n j x , y
where z l 0 is the internal free surface, n j x , y is the dimensionless pressure distribution mode, ξ j ( j 7 ) is the amplitude coefficient, which takes the length as the dimension, and N p is the number of modes. If the unsteady pressure is spatially uniform, then N p = 1 , and n 7 x , y = 1 . In addition, p x , y , 0 = 0 always holds on S f .
On the wetted surface of the floating body, the velocity potential ϕ should satisfy the Neumann boundary condition
  ϕ n = V n
where V is the velocity vector of the body surface point and n is the normal vector to the body surface.
Combining the above equations, the interface condition on S i that the velocity potential ϕ satisfies should be
ϕ z K ϕ = i ω j = 7 6 + N p ξ j n j x , y
According to the body surface condition, the velocity potential can be decomposed into diffraction potential and radiation potentials
ϕ = ϕ D + ϕ R
In the above formula, the diffraction potential is the sum of the incident potential and the diffraction potential, ϕ D = ϕ I + ϕ S , and the radiation potential ϕ R is decomposed into:
  ϕ R = i ω j = 1 6 + N p ξ j ϕ j = i ω j = 1 6 ξ j ϕ j + i ω j = 7 6 + N p ξ j ϕ j
In the above formula, when the coefficient ξ j is in the range of 1 j 6 , it represents the displacement of the floating body under the six degrees of freedom of sway, surge, heave, roll, pitch, and yaw.
On S b :
n 1 , n 2 , n 3 = n n 4 , n 5 , n 6 = r × n     n j = 0   j 7
On S i :
  n j = 0 ( 1 j 6 )
Therefore, all radiation potential components in the formula should satisfy:
ϕ j n = n j   on   S b ϕ j z K ϕ j = n j   on   S i
ϕ D needs to meet the following conditions:
ϕ D n = 0   on   S b ϕ D z K ϕ D = 0   on   S i
Using the Green’s function method, the boundary integral equation for the velocity potential can be obtained [23]:
2 4 π ϕ j x + S m ϕ j ξ G ξ ; x d ξ = S w n j ξ G ξ ; x d ξ
  2 4 π ϕ D x + S u ϕ D ξ G ξ ; x d ξ = 4 π ϕ 0 x
Among the above two formulas:
  = n ξ ξ S b n ξ K ξ S i
If the boundary element is below the water surface ( z < 0 ), use a factor of 2π in Equations (14) and (15). If the boundary element is on the water surface ( z = 0 ), use 4π, then the Green’s function satisfies the free surface condition; the integral part of the internal water level in Equations (14) and (15) is equal to 0 and can be omitted.

2.2. Motion Equations for ACAPs in Regular Waves

Compared with the conventional floating platform, the ACAP is subjected to the air dynamic force (moment) acting on the inner surface S c of the air chamber in addition to the hydrodynamic force (moment) and hydrostatic pressure acting on the wetted surface S b . Therefore, the additional hydrostatic pressure (moment) acting on S c will affect the roll and pitch restoring moments of the floating body, and these effects cannot be ignored.
Firstly, the hydrodynamic and air dynamic forces of the air cushion floating body under six degrees of freedom need to be solved. Following the previous section, the hydrodynamic expression is obtained 1 i 6 :
i ω S b ρ ϕ n i d S = i ω ρ S b ϕ D + i ω j = 1 6 + N p ξ j ϕ j n i d S = i ω ρ S b ϕ D n i d S + j = 1 6 + N p ω 2 ρ S h ϕ j n i d S ξ j = F i + j = 1 6 + N n ω 2 A i j i ω B i j ξ j
Among the above two formulas 1 i 6 :
F i = i ρ ω S b ϕ D · n i d S
A i j i B i j ω = ρ S b ϕ j n i d S
In the frequency domain, the air dynamic force (moment) can be expressed as:
S t P x , y , z · N i d S = j = 1 6 + N p ω 2 A i j a i ω B i j a C i j a ξ j   1 i 6
where N 1 , N 2 , N 3 = n is the normal vector of the inner surface of the air tank, and N 4 , N 5 , N 6 = r n , P x , y , z is the amplitude of pulsating pressure inside the air tank. The coefficients A i j a , B i j a , C i j a with superscript a are air dynamic added mass, air dynamic damping, and air pressure restoring force, respectively. These coefficients are related to the linear air dynamics inside the air tank.
To solve the motion response of the air-cushion platform, in addition to the existing six-degree-of-freedom motion equation, it is also necessary to construct an additional equation system when i 7 through the vertical velocity continuity of the air-water interface, as shown below:
i ρ g ω S i V z x , y n i d S S i ϕ z n i d S = 0
where V z x , y represents the vertical velocity distribution on the air-water interface S i . Combined with the boundary conditions, the Equation (21) can be written as
i ρ g ω S i V z x , y n i d S = j = 1 6 + N p ω 2 A i j a + i ω B i j a + C i j a ξ j   i 7 i ρ g ω S i ϕ z n i d S = i ρ g ω S i K ϕ D + i ω j = 1   6 + N p K ϕ j + n j ξ j n i d S
= F i + j = 1 6 + N p ω 2 A i j i ω B i j C i j ξ i   i 7
with i 7 :
F i = i ρ ω S i ϕ D n i d S
A i j i B i j ω = ρ S i ϕ j n i d S
C i j = ρ g S i n j n i d S
In regular waves, the motion equations of ACAP can be expressed as follows:
j = 1 6 + N p ω 2 M i j + A i j + A i j a + i ω B i j + B i j a + C i j + C i j a ξ j = F i   1 i 6 + N p
where M i j is the inertia matrix of the air cushion floating body, which is equal to 0 when i 7 and j 7 . A i j is the added mass of each degree of freedom, B i j is the damping coefficient, C i j is the coefficient of restoring force, A i j a is the added mass of air dynamics, B i j a is the damping of air dynamics, and C i j a is the coefficient of air dynamic restoring force. A i j a , B i j a , C i j a are obtained by the linear air dynamic analysis to expand the equation system. By solving the above equations, the motion amplitude response operators (RAOs) of the air cushion floating body under regular waves can be obtained.

2.3. Simplified Motion Equations for ACAPs

The above air dynamic equations can be simplified if degrees of freedom of the ACAP motion are reduced to heave and pitch, and the uniform pressure distribution is assumed if the air tank is not too huge. Then, motion equations of the ACAP for the heave is:
  ω 2 m + A 33 + A 33 a + i ω B 33 + C 33 + C 33 a ξ 3 + ω 2 A 35 + A 35 a + i ω B 35 + C 35 + C 35 a ξ 5 + ω 2 A 37 + A 37 a + i ω B 37 + C 37 + C 37 a ξ 7 = F 3
for the pitch is:
  ω 2 A 53 + A 53 a + i ω B 53 + C 53 + C 53 a ξ 3 + ω 2 I y y + A 55 + A 55 a + i ω B 55 + C 55 + C 55 a ξ 5 + ω 2 A 57 + A 57 a + i ω B 57 + C 57 + C 57 a ξ 7 = F 5
and on the air-water interface is:
  ω 2 A 73 + A 73 a + i ω B 73 + C 73 + C 73 a ξ 3 + ω 2 A 75 + A 75 a + i ω B 75 + C 75 + C 75 a ξ 5 + ω 2 A 77 + A 77 a + i ω B 77 + C 77 + C 77 a ξ 7 = F 7
where the damping of air dynamics physically does not exist according to the deduction [23].
Assuming that the ACAP is wall-sided and the amplitude of incident waves is small, more simplifications for the coefficients can be made as follows.

2.3.1. Hydrodynamic Simplification

Obviously, the coefficients of hydrostatic restoring force/moment relating to the pulsating pressure are equal to zero:
C 73 = C 37 = C 75 = C 57 = 0
According to Equation (26), one obtains
C 77 = ρ g S i
The waves on the interface induced by the pulsating pressure should have little effect on the heave force or pitch moment, i.e.
A 37 = B 37 = A 57 = B 57 0
Similarly, heave and pitch motions of the wall-sided ACAPs also have less effect on the interface:
A 73 = B 73 = A 75 = B 75 0
If the amplitude of the pulsating pressure is sufficiently small, the following condition might be satisfied:
K ϕ 7 n 7 = 1
Then, according to Equation (23), the added mass and damping of the interface due to the pulsating pressure can be negligible:
A 77 = B 77 0

2.3.2. Air Dynamic Simplification

The air dynamic equations of the air tank can be written as:
j = 3 , 5 , 7 ω 2 A i j 2 + C i j 2 = S c P x , y , z N i d S , i 6 i φ g ω S i V Z x , y N i d S , i = 7
with
  P x , y , z = i ρ a ω ψ = ρ a ω 2 j = 3 , 5 , 7 ξ j ψ j
V z x , y = ψ z = i ω j = 3 , 5 , 7 ξ j ψ j   z
where ρ a is the air density in the air tank, and ψ is the air velocity potential.

Air Dynamics in the Air-Tight Tank

If the air tank is air-tight, the velocity potential for the air in the wall-sided air tank due to the heave of the ACAP is expressed as follows [23]:
  ψ 3 = sin K a z K a cos K a h
where K a = ω c 0 , and h is the height of the air tank.
If the air tank is located at the center of the ACAP and is symmetrical about the pitch axis, the velocity potential for the air due to the pitch of the ACAP can be neglected:
  ψ 5 0
The velocity potential for the air due to the pulsating air pressure is [23]:
  ψ 7 = ρ ρ a g ω 2 cos K a h z cos K a h
where ω is the frequency of the wave at the air cushion, and c 0 is the speed of sound in the air.
Substituting Equations (38) and (40) into (37) yields:
A 33 a = ρ a S i tan K a h K a
  C 33 a = 0
where S i is the horizontal projected area of the air cushion. Since the wave frequency ω is far less than the speed of sound, i.e., K a 0 , we have:
A 33 a ρ a S i h = ρ a V 0
where V 0 is the volume of the air tank.
From Equation (41) one obtains:
A 55 a = C 55 a 0
and the coupled terms
  A 53 a = C 53 a = A 35 a = C 35 a 0
Substituting Equations (39) and (42) into (37) yields:
  A 77 a = 0
  C 77 a ρ g V 0 γ P a ρ g + d
where P a is atmospheric pressure, γ = 1.4 is the gas adiabatic constant, and d is the submergence of the interface.
Combining Equations (37)–(42) comes to:
  A 73 a = A 37 a = 0
  C 73 a = C 37 a = ρ g S i 1 cos K a h ρ g S i
Finally, if the wall of the ACAP is thin and the draft of the ACAP is not too deep, the diffraction potential of the incident waves on the interface can also be neglected:
F 7 = i ρ ω S i ϕ D n i d S i ρ ω S i ϕ I n i d S
The above coefficients were substituted into Equations (28)–(30) to obtain the simplified equations:
  ω 2 m + A 33 + A 33 a + i ω B 33 + C 33 ξ 3 + i ω B 35 + C 35 ξ 5 + C 37 a ξ 7 = F 3
  i ω B 53 + C 53 ξ 3 + ω 2 I y y + A 55 + i ω B 55 + C 55 ξ 5 = F 5
C 73 a ξ 3 + C 77 + C 77 a ξ 7 = F 7
In the simplified equations, A i j , B i j and F i   i , j 6 and F 7 can be calculated by conventional free-surface Green’s function methods, while the air dynamic coefficients A 33 a , C 37 a , C 73 a , C 77 a are calculated by the approximate formula presented in this section.

Air Dynamics in the Oscillating Water Column (OWC) Chamber

To precisely predict the hydrodynamics of OWC devices due to compressible air pressure, Abbasnia et al. [24] presented an adaptive fully nonlinear potential model (FNPM), which employs potential theory and the mixed Eulerian–Lagrangian method to compute the fluid flow using the direct boundary element method (BEM) enhanced by a non-uniform rational B-Spline function. In contrast, the simplified panel method proposed in this paper is based on the linear free surface Green’s function method, which has the advantage of high computational efficiency, but can only solve the dynamic problems under small amplitude waves (generally the wave amplitude to wavelength ratio is less than 5%).
Due to the air flow from the OWC chamber to the atmosphere, the air dynamics in the OWC chamber are different from the air-tight one. A novel air dynamic model for the OWC is deduced as follows.
Assuming that the variation of the fluctuating air pressure in the OWC chamber is not significant, one obtains
  P ^ x , y 1 h 0 h P x , y , z d z
Obviously, the fluctuating air pressure P x , y , z in the OWC chamber satisfies the Helmholtz equation:
  2 P x , y , z + K a 2 P x , y , z = 0
Substituting Equation (56) to (57) yields:
      2 x 2 + 2 y 2 + K a 2 P ^ x , y = 1 h P x , y , z z z = h z = 0
According to Equation (5), and using the uniform pressure distribution assumption, one obtains
  P ^ x , y = ρ g ξ 7
The momentum equation for the pressure P x , y , z can be written as [25]:
    i ω ρ a V z = P x , y , z z
where V z is the air flow velocity along the z -axis.
Substituting Equations (59) and (60) to (58), and integrating the resulting equation along the horizontal section of the air chamber leads to:
  ρ g S i K a 2 ξ 7 = i ω ρ a h i ω S i ξ 3 + q i ω S i ζ d x d y
where q is the volume flow from the OWC chamber to the atmosphere, and ζ is the interface elevation. According to the relationship between volume flow q and chamber air pressure [26]:
q = Λ P ^ x , y = ρ g Λ ξ 7
with
  Λ = g T + i ω V 0 γ P a = K D ρ a N + i ω V 0 γ P a
where K is a constant for a given turbine geometry, D the turbine rotor diameter, and N the rotational speed.
Substituting Equations (62) and (63) to (61) and neglecting the radiation waves on the interface gives:
ρ g S i ξ 3 + ρ g S i + ρ 2 g 2 i ω g T V 0 γ P a ξ 7 i ρ ω S i ϕ D d x d y
which can also be written as
  C 73 a ξ 3 + i ω B 77 a + C 77 + C 77 a ξ 7 = F 7
with
B 77 a = ρ 2 g 2 ω 2 g T
One notes that there exists an additional air dynamic term B 77 a for the OWC. When g T 0 , i.e., the turbine at the top of the chamber approaches to the air-tight condition, and B 77 a 0 .
The other two equations for the unknows are the same as Equations (53) and (54). Combining Equations (53), (54) and (65), ξ 3 ,   ξ 5 and ξ 7 can be solved.

3. Numerical Studies Using the sPM

In this section, the presented sPM will be employed to predict the motion response of an ACAP and pulsating air pressure of an OWC in regular waves.

3.1. Motion Response of the ACAP

3.1.1. Geometric Model of the ACAP and Calculation Setup

Figure 2 shows the size parameters of the ACAP, details of which can be found in Lee and Newman [23]. The length of the platform is L = 2.5   m , the width is   B = 0.78   m , the height is H = 0.28   m , the thickness of the side wall is T 1 = 0.06   m , and the wall thickness of the bow and stern T 2 = 0.02   m . The length l of the air cushion is 2.46 m, the width b is 0.66 m, and the density ρ a is 1.29 kg/m3. In addition, Table 1 makes specific provisions for the draft depth and radius of gyration of the platform.
The three-dimensional model for solving the hydrodynamics of the ACAP is shown in Figure 3.
2989 quadrilateral panels are meshed on the boundaries of the ACAP model, as shown in Figure 4. The maximum size of the panels is defined as 0.01 m, and the deformation tolerance is 0.05 m.
The hydrodynamic coefficients and wave forces were solved using AQWA, where the regular wave frequencies for the ACAP are within the range of 0.2–10 rad/s, and the wave direction is 180°. The air-cushion-related coefficients can be obtained through equations from Section 2, and then Equations (53)–(55) were solved to obtain the heave and pitch response amplitude operators (RAOs).

3.1.2. Motion RAOs of the ACAP

As for the heave RAO of the ACAP, it can be seen from Figure 5 that the sPM results are basically consistent with the WAMIT results [23] and experimental data [21], especially in the low frequencies ( ω 6   rad / s ). Although the sPM might exaggerate the heave RAO in the high frequencies ( ω > 7   rad / s ), the bounce tendency of the heave motion on several high frequencies are correctly predicted. The exaggeration on high frequencies was considered to be due to ignoring some air-water interacting coefficients.
The pitch RAO obtained by the sPM as compared with the WAMIT results [23] and experimental data [21] is depicted in Figure 6. The pitch RAO was normalized by A / L , where A ,   L are the wave amplitude and platform length, respectively. One can observe that the sPM results coincide well with the WAMIT results [23] and experimental data [21], and only the main resonant peak around ω = 4.5   rad / s from both numerical methods are greater than the experimental results, which might be due to lack of viscous damping.
Through the above analysis, one can conclude that the sPM developed in this paper are suitable for analyzing the motion response of ACAPs, and the numerical errors are acceptable.

3.2. Inner Air Pressure of an OWC

3.2.1. Vertical Axisymmetric OWC Device

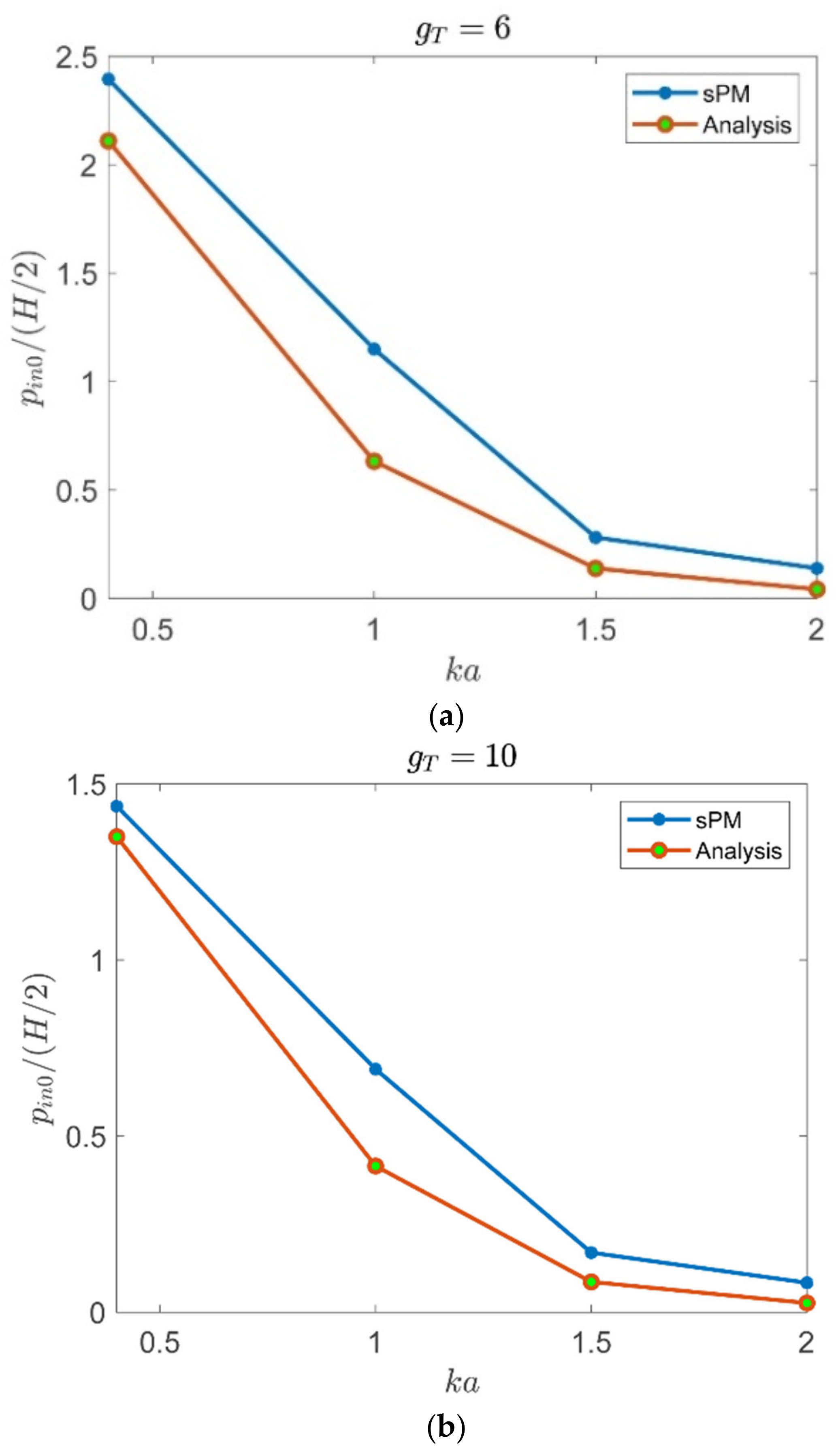
In this sub-section a restrained vertical-symmetric OWC device proposed by Mavrakos et al. [26] was employed to validate the effectiveness of the sPM on OWCs. The value of the internal pressure modulus of the air cushion for different frequencies k a and the turbulence parameter g T at the top of the device were investigated and compared with the analytical solution presented in reference [26] to assess the numerical error of the sPM.
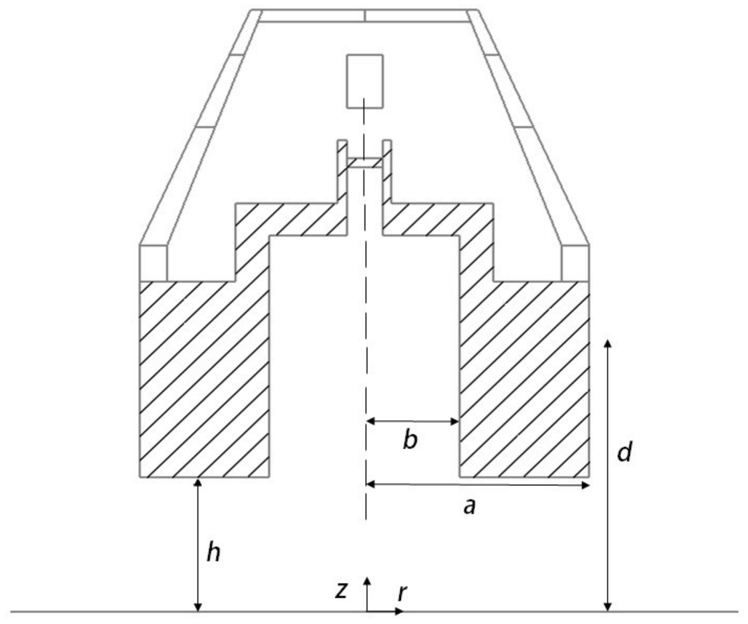
Figure 7 shows the schematic diagram of the free-floating vertical symmetrical OWC device. In the figure, d = 15   m is the water depth, H / 2 the incident wave amplitude, k the wave number, h = 5   m the draft of the OWC, and a = 4   m and b = 2   m the external and internal radius of the OWC, respectively. It is assumed that the wave amplitude H is small, and the flow is inviscid and incompressible.
Table 2 presents the analytical results [26] of the pressure modulus p i n 0 / H / 2 of the internal air cushion for different turbulence parameters g T and different frequencies k a . In this sub-section, the hydrodynamic coefficients of the OWC for the sPM were calculated using AQWA, and the meshing of the OWC model is shown in Figure 8.

3.2.2. Numerical Results and Discussions

Figure 9 shows the field of wave amplitude distribution around the OWC by the superposition of incident and diffraction waves for four different k a values obtained by AQWA. It can be seen that the value of k a has significant influence on the wave field. The larger the k a value is, the smaller the wave amplitude on the internal free surface of the OWC, which suggests that the high frequency waves are difficult to propagate into the OWC. Thereby, in this case, the diffraction waves cannot be neglected, i.e., the term F 7 in Equation (65) should be calculated using the right-side term of Equation (64) rather than Equation (52).
Figure 10 portrays the comparison of the air cushion pressure modulus for the two cases of g T = 6 and g T = 10 between the sPM results and analytical results [26]. It was found that the results from the sPM have the same trend as the analytical ones, though the former is always larger than the latter. The errors from sPM results are considered to originate from ignoring the dynamic waves due to the inner pulsating air pressure, which could bring the inner pressure down.
Therefore, the sPM that ignores some relatively unimportant coefficients/terms in the dynamic equations can give acceptable results for predicting the dynamics of OWCs.

4. Conclusions

In this paper, a simplified panel method (sPM) was presented for quickly predicting the seakeeping motion of air-cushion-assisted platforms (ACAPs) and performance of oscillating water column (OWC) devices. Under careful deduction and discussion, the sPM ignores some relatively unimportant air-water cross terms so that the rest coefficients in dynamic equations could be acquired using the conventional free-surface Green’s function method. The presented sPM was validated by an ACAP that makes heave and pitch motions and an OWC that restrained in regular waves, respectively. The sPM results from the ACAP case and the OWC case were compared with the experimental ones and analytical ones, respectively. The comparison suggests that the sPM can give acceptable predictions on the dynamic performance of ACAPs and OWCs, though ignoring air-water cross terms in the sPM inevitably brings some inevitable numerical errors to the results. The presented sPM has merit of computational efficiency and could be employed for roughly evaluating the hydrodynamic performance of air-cushion-associated platforms or devices.

Author Contributions

Z.G. developed the simplified panel method (sPM); F.J. wrote the program of sPM; S.W. performed the numerical calculations and wrote the manuscript; Y.N. plotted figures. All authors have read and agreed to the published version of the manuscript.

Funding

This research was funded by the National Natural Science Foundation of China (grant No.51979065, 52071094, U1706227) and Key Laboratory of GreenShip Technology Foundation of Jiangsu Province, Project No.20200702.

Institutional Review Board Statement

Not applicable.

Informed Consent Statement

Not applicable.

Data Availability Statement

Not applicable.

Acknowledgments

The authors thank the National Natural Science Foundation of China for financial support.

Conflicts of Interest

The authors declare no conflict of interest.

References

  1. Kardakaris, K.; Boufidi, I.; Soukissian, T. Offshore Wind and Wave Energy Complementarity in the Greek Seas Based on ERA5 Data. Atmosphere 2021, 12, 1360. [Google Scholar] [CrossRef]
  2. Shah, K.A.; Li, Y.; Nagamune, R.; Zhou, Y.; Rehman, W.U. Platform motion minimization using model predictive control of a floating offshore wind turbine. Theor. Appl. Mech. Lett. 2021, 11, 100295. [Google Scholar] [CrossRef]
  3. Lee, C.; Kim, J.; Cho, S. A new design concept for ocean nuclear power plants using tension leg platform. Struct. Eng. Mech. 2020, 76, 367–378. [Google Scholar]
  4. Kaptan, M.; Skaare, B.; Jiang, Z.; Ong, M.C. Analysis of spar and semi-submersible floating wind concepts with respect to human exposure to motion during maintenance operations. Mar. Struct. 2022, 83, 103145. [Google Scholar] [CrossRef]
  5. Kopperstad, K.M.; Kumar, R.; Shoele, K. Aerodynamic characterization of barge and spar type floating offshore wind turbines at different sea states. Wind. Energy 2020, 23, 2087–2112. [Google Scholar] [CrossRef]
  6. Pozos-Estrada, A.; Hong, H.; Galsworthy, J. Reliability of structures with tuned mass dampers under wind-induced motion: A serviceability consideration. Wind Struct. Int. J. 2011, 14, 113–131. [Google Scholar] [CrossRef]
  7. Tan, L.; Ikoma, T.; Aida, Y.; Masuda, K. Mean Wave Drift Forces on a Barge-Type Floating Wind Turbine Platform with Moonpools. J. Mar. Sci. Eng. 2021, 9, 709. [Google Scholar] [CrossRef]
  8. Cheng, P.; Liu, Y.; Wen, Z.; Shao, H.; Wei, A.; Xie, X.; Chen, C.; Yang, Y.; Peng, M.; Zhuo, Q.; et al. Atmospheric pressure difference driven triboelectric nanogenerator for efficiently harvesting ocean wave energy. Nano Energy 2018, 54, 156–162. [Google Scholar] [CrossRef]
  9. Chamberlin, R.S. Khazzan Dubai 1: Design, Construction and Installation. In Proceedings of the Offshore Technology Conference, Houston, TX, USA, 21 April 1970; OnePetro: Richardson, TX, USA, 1970. [Google Scholar]
  10. Berthin, J.G.; Hudson, W.L.; Doris, C.G.; Myrabo, D.O. Installation of Maureen Gravity Platform Over a Template. In Proceedings of the Offshore Technology Conference, Houston, TX, USA, 6 May 1985; OnePetro: Richardson, TX, USA, 1985. [Google Scholar]
  11. Liu, J.-H. Study on towing performance of tube-based offshore platform. Ph.D. Thesis, Tianjin University, Tianjin, China, 2008. [Google Scholar]
  12. Neisi, A.; Ghassemi, H.; Iranmanesh, M.; He, G. Effect of the multi-segment mooring system by buoy and clump weights on the dynamic motions of the floating platform. Ocean Eng. 2022, 260, 111990. [Google Scholar] [CrossRef]
  13. Kozlovich, A.V.; Volkov, A.N.; Shabanov, D.V. Research of resistance forces in the contact zone between the seal and the floor of a mobile robotic air cushion platform. J. Phys. Conf. Ser. 2021, 2032, 12081. [Google Scholar] [CrossRef]
  14. Sowayan, A.S. Chaotic Assessment of the Heave and Pitch Dynamics Motions of Air Cushion Vehicles. Int. J. Appl. Mech. Eng. 2021, 26, 219–234. [Google Scholar] [CrossRef]
  15. Karami, H.; Ghasemi, R. Fixed time terminal sliding mode trajectory tracking design for a class of nonlinear dynamical model of air cushion vehicle. SN Appl. Sci. 2020, 2, 98. [Google Scholar] [CrossRef]
  16. Robert, E.C.; Wayne, L.N. Validation of a commercial fluid-structure interaction solver with applications to air cushion vehicle flexible seals. Ocean Eng. 2019, 189, 106287. [Google Scholar]
  17. Ding, H.-Y.; Liu, J.-H. Experimental Research on Tilt Angle of Air Cushion Supported Bucket Foundation Platform. J. Tianjin Univ. 2008, 41, 1345–1350. [Google Scholar]
  18. Ding, H.-Y.; Liu, J.-H.; Shen, K.-L. Towing Analysis of Bucket Foundation Ocean Platform Based on Multivariate Statistics. J. Tianjin Univ. 2008, 41, 783–787. [Google Scholar]
  19. Liu, X.-Q.; Gu, W.-J.; Bie, M.-J.; Wei, J.-C. Analytical Solutions of Hydrodynamic Coefficient for Surge Motion by an Air-floating Rectangular Box. J. Logist. Eng. Univ. 2015, 31, 77–81+90. [Google Scholar]
  20. Hao, H.-B.; Guo, Z.-Q.; Xu, L.; Ma, Q.-W. Initial Stability of Truss Airbag Barge Floating Support Platform and Wave Resistance Studies. In Proceedings of the 19th China Symposium on Oceanography (Shore) Engineering, Chongqing, China, 11–13 October 2019; p. 7. [Google Scholar]
  21. Lee, C.-H.; Newman, J. Wave effects on large floating structures with air cushions. Mar. Struct. 2000, 13, 315–330. [Google Scholar] [CrossRef]
  22. Gubesch, E.; Abdussamie, N.; Penesis, I.; Chin, C. Maximising the hydrodynamic performance of offshore oscillating water column wave energy converters. Appl. Energy 2022, 308, 118304. [Google Scholar] [CrossRef]
  23. Lee, C.-H.; Newman, J.N. An Extended Boundary Integral Equation for Structures with Oscillatory Free-Surface Pressure. In Proceedings of the Twenty-fifth International Ocean and Polar Engineering Conference, Kona, HI, USA, 21–26 June 2015; OnePetro: Richardson, TX, USA, 2015. [Google Scholar]
  24. Abbasnia, A.; Rezanejad, K.; Soares, C.G. Adaptive fully nonlinear potential model for the free surface under compressible air pressure of oscillating water column devices. Eng. Anal. Bound. Elem. 2021, 133, 153–164. [Google Scholar] [CrossRef]
  25. Guo, Z.; Ma, Q.; Qin, H. A novel 2.5D method for solving the mixed boundary value problem of a surface effect ship. Appl. Ocean Res. 2018, 78, 25–32. [Google Scholar] [CrossRef]
  26. Mavrakos, S.A.; Konispoliatis, D.N. Hydrodynamics of a Free Floating Vertical Axisymmetric Oscillating Water Column Device. J. Appl. Math. 2012, 2012, 142850. [Google Scholar] [CrossRef]
Figure 1. Schematic diagram of a single-cabin rectangular ACAP.
Figure 1. Schematic diagram of a single-cabin rectangular ACAP.
Jmse 10 01554 g001
Figure 2. Dimensional parameters of the ACAP [23]. (a) 3D model, (b) Longitudinal section.
Figure 2. Dimensional parameters of the ACAP [23]. (a) 3D model, (b) Longitudinal section.
Jmse 10 01554 g002
Figure 3. 3D model of the ACAP [23].
Figure 3. 3D model of the ACAP [23].
Jmse 10 01554 g003
Figure 4. Panels for the ACAP.
Figure 4. Panels for the ACAP.
Jmse 10 01554 g004
Figure 5. Heave RAO obtained by the sPM as compared with WAMIT results [23] and experimental data [21].
Figure 5. Heave RAO obtained by the sPM as compared with WAMIT results [23] and experimental data [21].
Jmse 10 01554 g005
Figure 6. Pitch RAO obtained by the sPM as compared with WAMIT results [23] and experimental data [21].
Figure 6. Pitch RAO obtained by the sPM as compared with WAMIT results [23] and experimental data [21].
Jmse 10 01554 g006
Figure 7. A restrained vertical symmetric OWC with finite wall thickness [26].
Figure 7. A restrained vertical symmetric OWC with finite wall thickness [26].
Jmse 10 01554 g007
Figure 8. Mesh generation for the OWC model.
Figure 8. Mesh generation for the OWC model.
Jmse 10 01554 g008
Figure 9. The wave amplitude distribution around the OWC for different k a . (a) k a = 0.4 , (b) k a = 1.0 , (c) k a = 1.5 , (d) k a = 2.0 .
Figure 9. The wave amplitude distribution around the OWC for different k a . (a) k a = 0.4 , (b) k a = 1.0 , (c) k a = 1.5 , (d) k a = 2.0 .
Jmse 10 01554 g009aJmse 10 01554 g009b
Figure 10. Inner air pressure of the OWC obtained by the sPM as compared with analytical results [26]. (a) g T = 6 , (b) g T = 10 .
Figure 10. Inner air pressure of the OWC obtained by the sPM as compared with analytical results [26]. (a) g T = 6 , (b) g T = 10 .
Jmse 10 01554 g010
Table 1. Principal parameters of the ACAP.
Table 1. Principal parameters of the ACAP.
ParameterNumeric ValueUnit
Platform size 2.5 × 0.78 × 0.28m
Air cushion size 2.46 × 0.66 × 0.18m
Sidewall thickness0.06m
Head and tail thickness0.02m
External draft0.15m
Internal draft0.05m
Barycentric coordinates(0, 0, 0.15)m
Radius of gyration in pitch direction0.751m
Table 2. Inner pressure p i n 0 / H / 2 with respect to various values of g T and k a for the restrained OWC [26].
Table 2. Inner pressure p i n 0 / H / 2 with respect to various values of g T and k a for the restrained OWC [26].
g T = 6 g T = 10
k a = 1.0 6.33 × 10−14.15 × 10−1
k a = 1.5 1.39 × 10−18.60 × 10−2
k a = 2.0 4.24 × 10−22.61 × 10−2
Publisher’s Note: MDPI stays neutral with regard to jurisdictional claims in published maps and institutional affiliations.

Share and Cite

MDPI and ACS Style

Jing, F.; Wang, S.; Guo, Z.; Ni, Y. A Simplified Panel Method (sPM) for Hydrodynamics of Air Cushion Assisted Platforms. J. Mar. Sci. Eng. 2022, 10, 1554. https://doi.org/10.3390/jmse10101554

AMA Style

Jing F, Wang S, Guo Z, Ni Y. A Simplified Panel Method (sPM) for Hydrodynamics of Air Cushion Assisted Platforms. Journal of Marine Science and Engineering. 2022; 10(10):1554. https://doi.org/10.3390/jmse10101554

Chicago/Turabian Style

Jing, Fengmei, Song Wang, Zhiqun Guo, and Yurui Ni. 2022. "A Simplified Panel Method (sPM) for Hydrodynamics of Air Cushion Assisted Platforms" Journal of Marine Science and Engineering 10, no. 10: 1554. https://doi.org/10.3390/jmse10101554

APA Style

Jing, F., Wang, S., Guo, Z., & Ni, Y. (2022). A Simplified Panel Method (sPM) for Hydrodynamics of Air Cushion Assisted Platforms. Journal of Marine Science and Engineering, 10(10), 1554. https://doi.org/10.3390/jmse10101554

Note that from the first issue of 2016, this journal uses article numbers instead of page numbers. See further details here.

Article Metrics

Back to TopTop