Research on the Matching Characteristics of the Impellers and Guide Vanes of Seawater Desalination Pumps with High Capacity and Pressure
Abstract
:1. Introduction
2. Calculation Model
2.1. Structural Form of the High-Pressure Pump
2.2. Three-Dimensional Modeling
2.3. Meshing
2.4. Turbulence Model
2.5. Grid Independence Verification
2.6. Comparison between Numerical Simulation and Experiment
3. Research on Matching the Performance of Impeller and Guide Vane
3.1. Influence of Blade Outlet Width
3.1.1. Scheme Design
3.1.2. Analysis of External Characteristic Results
3.1.3. Internal Flow Field Analysis
3.2. Influence of Impeller and Guide Vane Blade Number
3.2.1. Scheme Design
3.2.2. The Number of Impeller Blades Remains Unchanged
3.2.3. The Number of Guide Vanes Remains Unchanged
3.2.4. Analysis of Internal Flow Field
3.3. Influence of Area Ratio of Impeller Outlet and Guide Vane Inlet
3.3.1. Scheme Design
3.3.2. Analysis of External Characteristic Results
3.3.3. Analysis of Internal Flow Field
4. Conclusions
- The single-stage pump model is numerically calculated and processed into a solid pump for the experimental study. The results show that the numerical simulation results are in good agreement with the test results. Under 1.0Qdes condition, the error of numerical simulation and test head is 4.2%. Under 1.2Qdes condition, the error is 6.5%, which is within the allowable engineering range, indicating that the accuracy of numerical calculation is high;
- Increasing the width of the blade outlet can improve the pump head and bring a certain improvement to the pump efficiency. In addition, there is an optimal value of the width of the blade outlet b2. When it exceeds this value, the performance of the pump declines. For this paper, the scheme of choosing the width of the blade outlet b2 = 28 mm effectively increased the pump head and improved the efficiency of the pump;
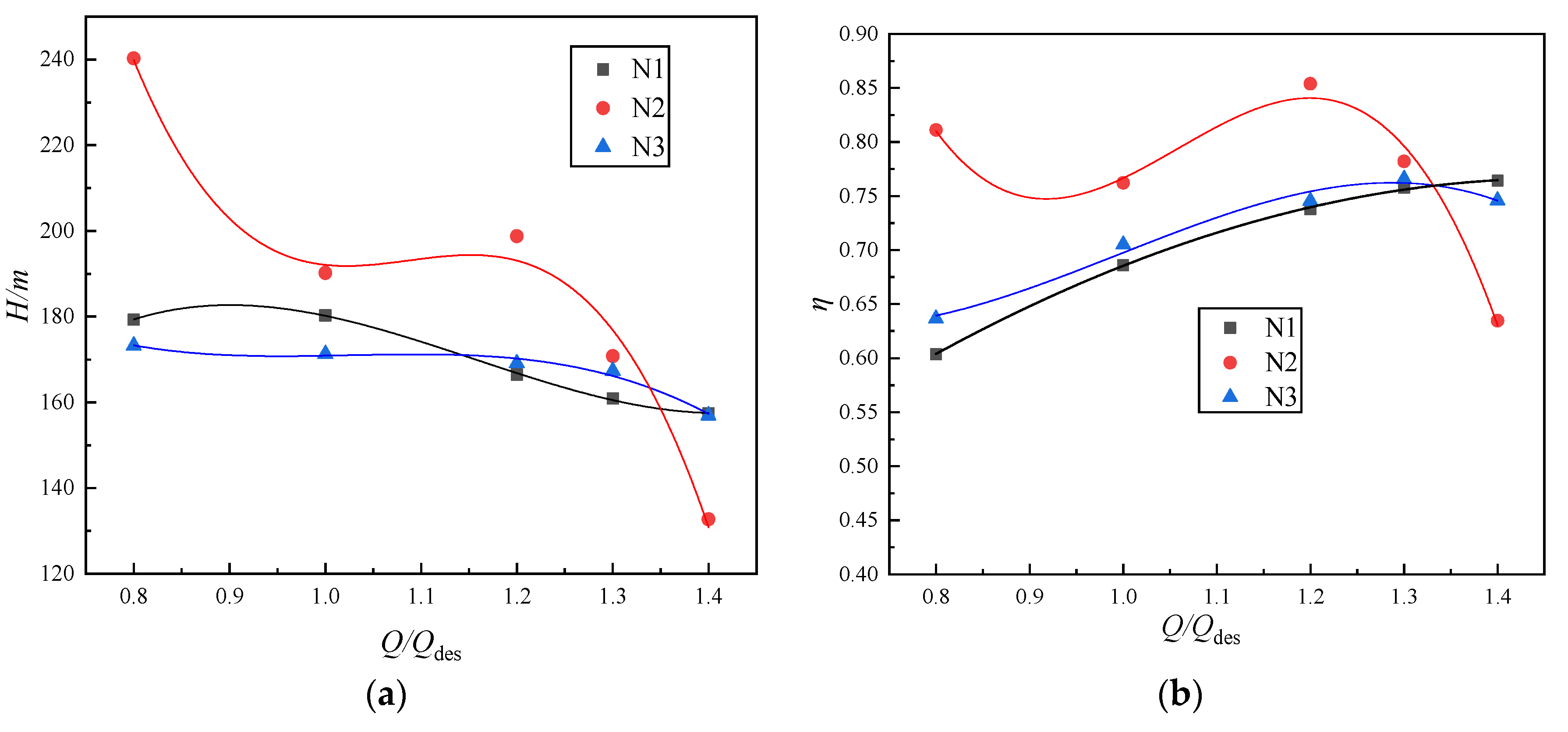
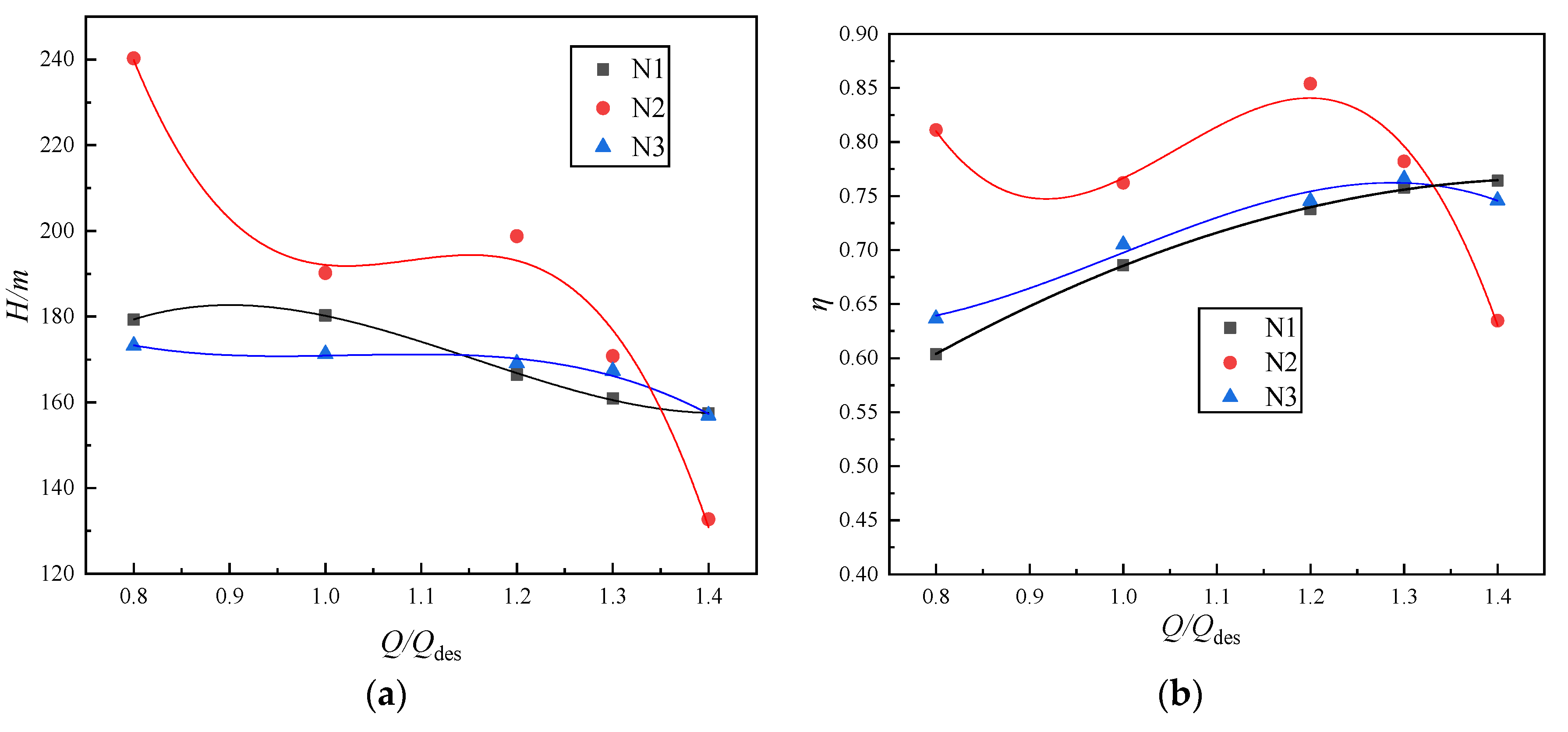
- Under certain conditions, appropriately increasing the number of guide vane blades or changing the number of impeller blades can improve efficiency and expand the high-efficiency area. However, too many guide vane blades reduce the flow passage area and increase the diffusion loss, resulting in reduced head and efficiency. A comprehensive comparison shows that the eight-blade impeller with a seven-blade guide vane is well matched, with excellent hydraulic performance, high head, and efficient wide area;
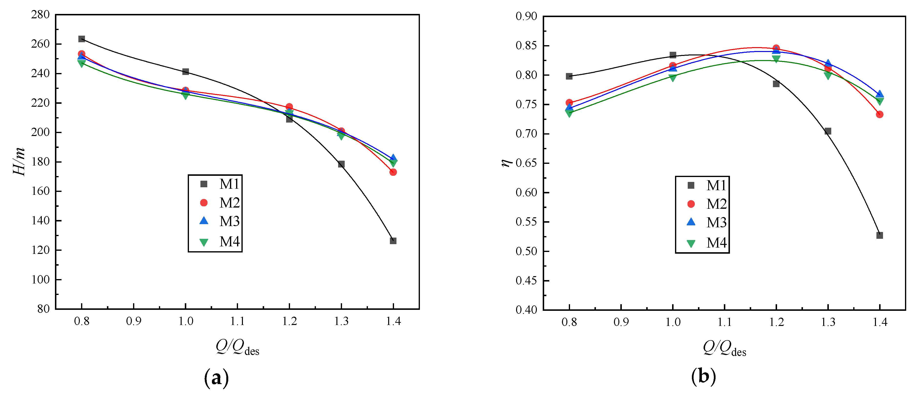
- The increase in the throat area of the guide vane has the opposite effect on the large flow and small flow area of the pump. In the small flow area, the head and efficiency of the pump decrease with the increase in throat area. In the large flow area, the pump’s performance is improved, the highest efficiency point moves to the right, and the high-efficiency area expands. Compared with each scheme, the M3 scheme is adopted, and the performance of the pump is the best, which meets the design requirements.
Author Contributions
Funding
Institutional Review Board Statement
Informed Consent Statement
Data Availability Statement
Acknowledgments
Conflicts of Interest
Nomenclature
| Dj | Impeller inlet diameter, mm |
| D2 | Impeller outlet diameter, mm |
| Dh | Impeller hub diameter, mm |
| b2 | Blade outlet width, mm |
| β2 | Blade outlet angle, ° |
| φ | Blade envelope angle, ° |
| Z | Number of impeller blades |
| D3 | Diameter of positive guide blade base circle, mm |
| b3 | Axial inlet width of positive guide vane, mm |
| a3 | Inlet width of the positive guide vane plane, mm |
| b4 | axial outlet width of the positive guide vane, mm |
| a4 | Outlet width of the positive guide vane plane, mm |
| D4 | Outlet diameter of positive guide vane, mm |
| Zd | Number of positive guide vanes |
| H | Head, m |
| η | Efficiency |
References
- Javanbakht, A.; Ahmadi Danesh Ashtian, H. Impeller and volute design and optimization of the centrifugal pump with low specific speed in order to extract performance curves. J. Comput. Appl. Mech. 2018, 49, 359–366. [Google Scholar]
- Subroto; Effendy, M. Optimization of centrifugal pump performance with various blade number. In Proceedings of the AIP Conference Proceedings, 12–13 December 2018; AIP Publishing LLC: Melville, NY, USA; Volume 2114, p. 20016. [Google Scholar]
- Zhou, L.; Shi, W.; Wu, S. Performance optimization in a centrifugal pump impeller by orthogonal experiment and numerical simulation. Adv. Mech. Eng. 2013, 5, 385809. [Google Scholar] [CrossRef] [Green Version]
- Fracassi, A.; de Donno, R.; Ghidoni, A.; Congedo, P.M. Shape optimization and uncertainty assessment of a centrifugal pump. Eng. Optim. 2020, 1–18. Available online: https://www.tandfonline.com/doi/abs/10.1080/0305215X.2020.1858075 (accessed on 8 January 2022). [CrossRef]
- Li, W.; Zhao, X.; Li, W.; Shi, W.; Ji, L.; Zhou, L. Numerical prediction and Performance experiment in an engine cooling water pump with different blade outlet widths. Math. Probl. Eng. 2017, 2017, 8945712. [Google Scholar] [CrossRef] [Green Version]
- Li, W.; Jiang, X.; Pang, Q.; Zhou, L.; Wang, W. Numerical simulation and performance analysis of a four-stage centrifugal pump. Adv. Mech. Eng. 2016, 8, 1687814016673756. [Google Scholar] [CrossRef] [Green Version]
- Li, W.; Zhang, Y.; Shi, W.; Ji, L.; Yang, Y.; Ping, Y. Numerical simulation of transient flow field in a mixed-flow pump during starting period. Int. J. Numer. Methods Heat Fluid Flow 2018, 28, 927–942. [Google Scholar] [CrossRef]
- Zhao, R.-J.; Zhao, Y.-L.; Zhang, D.-S.; Li, Y.; Geng, L.-L. Numerical Investigation of the Characteristics of Erosion in a Centrifugal Pump for Transporting Dilute Particle-Laden Flows. J. Mar. Sci. Eng. 2021, 9, 961. [Google Scholar] [CrossRef]
- Song, X.; Yao, R.; Shen, Y.; Bi, H.; Zhang, Y.; Du, L.; Wang, Z. Numerical Prediction of Erosion Based on the Solid-Liquid Two-Phase Flow in a Double-Suction Centrifugal Pump. J. Mar. Sci. Eng. 2021, 9, 836. [Google Scholar] [CrossRef]
- Ji, L.; Li, W.; Shi, W.; Agarwal, R.K. Application of Wray–Agarwal Turbulence Model in Flow Simulation of a Centrifugal Pump with Semispiral Suction Chamber. J. Fluids Eng. 2021, 143, 31203. [Google Scholar] [CrossRef]
- Shojaeefard, M.H.; Tahani, M.; Khalkhali, A.; Ehghaghi, M.B.; Fallah, H.; Beglari, M. A parametric study for improving the centrifugal pump impeller for use in viscous fluid pumping. Heat Mass Transf. 2013, 49, 197–206. [Google Scholar] [CrossRef]
- Wu, X.; Feng, J.; Liu, H.; Ding, J.; Chen, H. Performance prediction of single-channel centrifugal pump with steady and unsteady calculation and working condition adaptability for turbulence model. Trans. Chin. Soc. Agric. Eng. 2017, 33, 85–91. [Google Scholar]
- Guo, J.-P.; Gao, Z.-X.; Qin, D.-Q.; Xing, H.-X. Hydraulic design optimization of centrifugal pump with high head and large capacity by using CFD. J. Drain. Irrig. Mach. Eng. 2013, 31, 220–224. [Google Scholar]
- Mojaddam, M.; Namazizadeh, M.; Talebian Gevari, M.; Vajdi, M. Optimization of the splitter blade configuration and geometry of a centrifugal pump impeller using design of experiment. J. Appl. Fluid Mech. 2019, 13, 89–101. [Google Scholar]
- Fu, D.-C.; Wang, F.-J.; Zhou, P.-J.; Xiao, R.-F.; Yao, Z.-F. Impact of impeller stagger angles on pressure fluctuation for a double-suction centrifugal pump. Chin. J. Mech. Eng. 2018, 31, 1–14. [Google Scholar] [CrossRef] [Green Version]
- Alemi, H.; Nourbakhsh, S.A.; Raisee, M.; Najafi, A.F. Effects of volute curvature on performance of a low specific-speed centrifugal pump at design and off-design conditions. J. Turbomach. 2015, 137, 41009. [Google Scholar] [CrossRef]
- Nataraj, M.; Ragoth Singh, R. Analyzing pump impeller for performance evaluation using RSM and CFD. Desalin. Water Treat. 2014, 52, 6822–6831. [Google Scholar] [CrossRef]
- Jafarzadeh, B.; Hajari, A.; Alishahi, M.M.; Akbari, M.H. The flow simulation of a low-specific-speed high-speed centrifugal pump. Appl. Math. Model. 2011, 35, 242–249. [Google Scholar] [CrossRef]
- Bellary, S.A.I.; Samad, A. Improvement of efficiency by design optimization of a centrifugal pump impeller. In Proceedings of the Turbo Expo: Power for Land, Sea, and Air, 16–20 June; American Society of Mechanical Engineers: New York, NY, USA; Volume 45639, p. V02DT42A007.
- Tan, M.; Guo, B.; Liu, H.; Wu, X.; Wang, K. Investigation of radial force and hydraulic performance in a centrifugal pump with different guide vane outlet angle. J. Vibroengineering 2015, 17, 3247–3260. [Google Scholar]
- Li, W.; Ji, L.; Shi, W.; Zhou, L.; Chang, H.; Agarwal, R.K. Expansion of high efficiency region of wind energy centrifugal pump based on factorial experiment design and computational fluid dynamics. Energies 2020, 13, 483. [Google Scholar] [CrossRef] [Green Version]
- Qi, F.-L.; Liu, G.-C.; Horia, A.; Wang, Y.-Z. Influence of different impellers on the flow field in the centrifugal pump. Chin. J. Constr. Mach. 2018, 5, 382–388. [Google Scholar]
- Wang, J.-Q.; Kong, F.-Y. Hydraulic performance optimization study on impeller and diffuser of multi-stage centrifugal pump. J. Huazhong Univ. Sci. Technol. Nat. Sci. Ed. 2013, 3, 92–96. [Google Scholar]
- Kong, F.-Y.; Su, X.-H.; Chen, H.; Qu, X.-Y.; Jiang, W.-M. Optimal design on parameters of guide vane of radial diffusers in centrifugal pump. Trans. Chin. Soc. Agric. Eng. 2013, 28, 40–45. [Google Scholar]
- Kaya, D. Experimental study on regaining the tangential velocity energy of axial flow pump. Energy Convers. Manag. 2003, 44, 1817–1829. [Google Scholar] [CrossRef]
- Tsukamoto, H.; Uno, M.; Qin, W.; Teshima, T.; Sakamoto, K.; Okamura, T. Unsteady hydraulic force on an impeller due to rotor-stator interaction in a diffuser pump. In Hydraulic Machinery and Cavitation; Springer: Berlin, Germany, 1996; pp. 955–964. [Google Scholar]
- Wang, Y.; Li, W.; Hu, J.; Ye, X.; Geng, H.; Wang, X. Optimization design of hydraulic components of high-pressure pump for ten thousand-ton-scale seawater desalination installations. J. Drain. Irrig. Mach. Eng. 2020, 1, 30–36. [Google Scholar]
- Hu, J.-N.; Jiang, W.; Liu, S.-H.; Xu, W.-G. Influence of Various Turbulent Flow Models on the Precision of Simulating a Seawater Desalination-purpose Lift Pump. J. Eng. Therm. Energy Power 2011, 26, 483–486. [Google Scholar]
- Chang, H.; Li, W.; Shi, W.; Liu, J. Effect of blade profile with different thickness distribution on the pressure characteristics of novel self-priming pump. J. Braz. Soc. Mech. Sci. Eng. 2018, 40, 1–20. [Google Scholar] [CrossRef]
- Sun, J.; Wang, Y.; Xu, S.; Wang, S.; Wang, Y. Performance prediction of hydraulic energy recovery (HER) device with novel mechanics for small-scale SWRO desalination system. Desalination 2009, 249, 667–671. [Google Scholar] [CrossRef]
- Launder, B.E.; Spalding, D.B. Lectures in Mathematical Models of Turbulence; Academic Press: London, UK, 1972. [Google Scholar]





























| Symbol | Impeller | Symbol | Guide Vane |
|---|---|---|---|
| Dj | 222 mm | D3 | 402 mm |
| Dh | 139 mm | b3 | 33 mm |
| b2 | 27 mm | a3 | 25.8 mm |
| D2 | 400 mm | b4 | 43.6 mm |
| β2 | 25° | a4 | 38.4 mm |
| φ | 130° | D4 | 560 mm |
| Z | 6 | Zd | 9 |
| Scheme | Total Number of Grids | Head H (m) |
|---|---|---|
| 1 | 2,755,852 | 185.6 |
| 2 | 3,106,242 | 202.3 |
| 3 | 3,625,141 | 203.7 |
| 4 | 4,356,823 | 202.8 |
| Scheme Number | 1 | 2 | 3 | 4 |
|---|---|---|---|---|
| b2 | 24 mm | 26 mm | 28 mm | 30 mm |
| Scheme | Number of Impeller Blades | Number of Guide Vanes |
|---|---|---|
| N1 | 6 | 5 |
| N2 | 6 | 7 |
| N3 | 6 | 9 |
| N4 | 7 | 5 |
| N5 | 7 | 7 |
| N6 | 7 | 9 |
| N7 | 8 | 5 |
| N8 | 8 | 7 |
| N9 | 8 | 9 |
| Scheme | Guide Vane | a3/mm | b3/mm | Fd/mm | Yd |
|---|---|---|---|---|---|
| M1 | 1 | 29 | 30 | 6090 | 2.319 |
| M2 | 2 | 29 | 33 | 6699 | 2.108 |
| M3 | 3 | 29 | 36 | 7308 | 1.932 |
| M4 | 4 | 34 | 36 | 8568 | 1.648 |
Publisher’s Note: MDPI stays neutral with regard to jurisdictional claims in published maps and institutional affiliations. |
© 2022 by the authors. Licensee MDPI, Basel, Switzerland. This article is an open access article distributed under the terms and conditions of the Creative Commons Attribution (CC BY) license (https://creativecommons.org/licenses/by/4.0/).
Share and Cite
Li, W.; Liu, M.; Ji, L.; Wang, Y.; Awais, M.; Hu, J.; Ye, X. Research on the Matching Characteristics of the Impellers and Guide Vanes of Seawater Desalination Pumps with High Capacity and Pressure. J. Mar. Sci. Eng. 2022, 10, 115. https://doi.org/10.3390/jmse10010115
Li W, Liu M, Ji L, Wang Y, Awais M, Hu J, Ye X. Research on the Matching Characteristics of the Impellers and Guide Vanes of Seawater Desalination Pumps with High Capacity and Pressure. Journal of Marine Science and Engineering. 2022; 10(1):115. https://doi.org/10.3390/jmse10010115
Chicago/Turabian StyleLi, Wei, Mingjiang Liu, Leilei Ji, Yulu Wang, Muhammad Awais, Jingning Hu, and Xiaoyan Ye. 2022. "Research on the Matching Characteristics of the Impellers and Guide Vanes of Seawater Desalination Pumps with High Capacity and Pressure" Journal of Marine Science and Engineering 10, no. 1: 115. https://doi.org/10.3390/jmse10010115
APA StyleLi, W., Liu, M., Ji, L., Wang, Y., Awais, M., Hu, J., & Ye, X. (2022). Research on the Matching Characteristics of the Impellers and Guide Vanes of Seawater Desalination Pumps with High Capacity and Pressure. Journal of Marine Science and Engineering, 10(1), 115. https://doi.org/10.3390/jmse10010115

