Next Article in Journal
Energetic Aspects of Turfgrass Mowing: Comparison of Different Rotary Mowing Systems
Next Article in Special Issue
Assessing Heat Management Practices in High Tunnels to Improve the Production of Romaine Lettuce
Previous Article in Journal
Leaf-to-Fruit Ratios in Vitis vinifera L. cv. “Sauvignon Blanc”, “Carmenère”, “Cabernet Sauvignon”, and “Syrah” Growing in Maule Valley (Chile): Influence on Yield and Fruit Composition
Previous Article in Special Issue
Deficit Drip Irrigation in Processing Tomato Production in the Mediterranean Basin. A Data Analysis for Italy
 
 
Font Type:
Arial Georgia Verdana
Font Size:
Aa Aa Aa
Line Spacing:
Column Width:
Background:
Article

Research Advances in Adopting Drip Irrigation for California Organic Spinach: Preliminary Findings

1
Division of Agriculture and Natural Resources, University of California, UCCE Imperial County, 1050 East Holton Road, Holtville, CA 92250, USA
2
Division of Agriculture and Natural Resources, University of California, UCCE Monterey County, 1432 Abbott Street, Salinas, CA 93901, USA
3
Department of Microbiology and Plant Pathology, University of California, Riverside, 900 University Avenue, Riverside, CA 92521, USA
*
Author to whom correspondence should be addressed.
Agriculture 2019, 9(8), 177; https://doi.org/10.3390/agriculture9080177
Submission received: 13 June 2019 / Revised: 6 August 2019 / Accepted: 6 August 2019 / Published: 9 August 2019
(This article belongs to the Special Issue Agricultural Irrigation)

Abstract

The main objective of this study was to explore the viability of drip irrigation for organic spinach production and the management of spinach downy mildew disease in California. The experiment was conducted over two crop seasons at the University of California Desert Research and Extension Center located in the low desert of California. Various combinations of dripline spacings and installation depths were assessed and compared with sprinkler irrigation as control treatment. Comprehensive data collection was carried out to fully understand the differences between the irrigation treatments. Statistical analysis indicated very strong evidence for an overall effect of the irrigation system on spinach fresh yields, while the number of driplines in bed had a significant impact on the shoot biomass yield. The developed canopy crop curves revealed that the leaf density of drip irrigation treatments was slightly behind (1–4 days, depending on the irrigation treatment and crop season) that of the sprinkler irrigation treatment in time. The results also demonstrated an overall effect of irrigation treatment on downy mildew, in which downy mildew incidence was lower in plots irrigated by drips following emergence when compared to the sprinkler. The study concluded that drip irrigation has the potential to be used to produce organic spinach, conserve water, enhance the efficiency of water use, and manage downy mildew, but further work is required to optimize system design, irrigation, and nitrogen management practices, as well as strategies to maintain productivity and economic viability of utilizing drip irrigation for spinach.

1. Introduction

Spinach (Spinacia oleracea L.) is a fast-maturing, cool-season vegetable crop. In California, spinach is mainly produced in four areas of the southern desert valleys, the southern coast, the central coast, and the central San Joaquin Valley. The farm gate value of Californian non-processing spinach from a total planted area of 13,557 ha was nearly 242 million dollars in 2017 [1]. The area in California under spinach production increased more than 30% over the last 10 years; the planted area increased from 1478 ha in 2008 to 3893 ha in 2017 in the Imperial Valley [2,3].
Water and nitrogen are generally essential drivers for plant growth and survival, and for spinach, are two key factors that considerably affect yield and quality [4]. Spinach is highly responsive to nitrogen fertilization [5] and accumulates as much as 134 kg ha−1 of nitrogen in 30 days [6]. Spinach yield was shown to increase as a result of high nitrogen application rates but decreased when nitrogen application rate was excessive [6]. Researchers reported that with the increase of nitrogen fertilizer application, nitrogen use efficiency of spinach was significantly decreased; however, water use efficiency (as the ratio of yield to the seasonal crop water use) of spinach was increased in most cases [5,7]. Reducing nitrogen fertilizer use in spinach will be a challenge. The crop has a shallow root system, a high N demand, which occurs over a short period, and strict quality standards for a deep green color that tends to encourage N applications beyond the agronomic requirements to maximize yield [6]. Addressing these challenges requires that nitrogen fertilizer is applied at the optimal time and rate based on crop uptake and the soil–nitrogen test, and that irrigation water is efficiently applied to minimize leaching. The unpublished data from a survey conducted by the University of California Cooperative Extension Monterey county indicates that spinach-growers generally apply more water than that needed by crop water (100% to 150% more).
Downy mildew on spinach is a widespread and very destructive disease in California. It is a disease that is the most significant issue facing the spinach industry, and crop losses can be significant in all areas where spinach is produced [8]. Peronospora effusa is an obligate oomycete that causes downy mildew of spinach. Spinach growers rely on host resistance and fungicides to manage downy mildew. This dependence on resistance was relatively effective until recently, when malignant forms of P. effusa began to emerge in rapid succession [9]. In recent years, several new downy mildew races have appeared in the state of California, raising concerns about the ability to manage this threat and causing the industry to consider research strategies to address the problem. Organic spinach producers are especially vulnerable to these virulent strains because synthetic fungicide use is prohibited, and choice in regard to variety is determined at planting. This has led to significant yield losses in organic spinach production.
Like all downy mildew pathogens, P. effusa requires cool and wet conditions for infection and disease development [8,10]. The California industry is known for using very high planting densities and a large number of seed lines per bed [10]. For the baby leaf or clipped markets, the planting density is usually 8.6–9.8 million seeds per hectare [11]. The dense canopy of spinach retains much moisture, and creates ideal conditions for infection and disease development. Spores (called sporangia) are dispersed at short distances via wind or splashing water, or at medium distances via wind. In addition, most conventional and organic spinach fields are irrigated by sprinkler irrigation in California. Overhead irrigation deposits free moisture on leaf surfaces and increases relative humidity in the canopy, which contributes to the speed and severity of downy mildew epidemics within a field when other conditions, such as temperature, are favorable. Production practices that reduce the favorability of the spinach canopy for downy mildew development are needed to reduce losses to downy mildew in both organic and conventional production.
Because most conventional and organic spinach fields are irrigated by sprinkler irrigation in California, overhead irrigation could contribute to the speed and severity of downy mildew epidemics within a field when other conditions, such as temperature, are favorable. While preventing downy mildew on spinach is of high interest of organic vegetable production in California, integrated approaches are greatly required to reduce yield losses from this major disease. New irrigation management techniques and practices in spinach production may have a significant economic impact to the leafy greens industry through the control of downy mildew. In addition to losses from plant pathogens, new irrigation practices could reduce risks to food safety caused by overhead application of irrigation water.
Drip irrigation has revolutionized crop production systems in western states of the US by increasing yields and water-use efficiency in many crops [12]. Sub-surface drip irrigation was successfully implemented on vegetable crops, such as processing tomato, where yields have increased by 20–50% over recent years since this practice was adapted [13]. While sub-surface drip irrigation has been utilized primarily for high-value specialty crops, several studies have reported the benefits of its application for agronomic low-value crops [12,13,14,15,16]. Drip irrigation was evaluated versus micro-sprinkler irrigation in spinach [17]. The drip was found to be better than the micro-sprinkler because of greater yields and the lower installation cost. The effectiveness of drip fertigation for reducing nitrate in spinach was reported by Takebe et al. [18]. Drip fertigation was considered to reduce nitrate more stably. In addition to higher yield, sub-surface and surface drip irrigation can reduce risks of plant diseases in vegetables by minimizing leaf wetness and waterlogged soil conditions.
Adapting drip irrigation for high-density spinach plantings may be a possible solution to reduce losses from downy mildew, improve crop productivity and quality, and conserve water and fertilizer. Currently, drip irrigation is not used for producing spinach in California, and there is a lack of information on the viability of this technology and optimal practices for irrigating spinach with drips. In fact, to our knowledge, few studies have been conducted to assess the potential benefit of drip irrigation for this high-density planted spinach. As an initial test, the main objective of this project was to evaluate the viability of adapting drip irrigation for organic spinach production. The project was particularly aimed at understanding the system design to successfully produce spinach, and to conduct a preliminary assessment on the impact of drip irrigation on the management of spinach downy mildew.

2. Materials and Methods

The field experiments were carried out over two crop seasons at the organic field of the University of California Desert Research and Extension Center (UC DREC) (32°48′35″ N; 115° 26′39″ W; 22 m below mean sea level) located in the Imperial Valley, California. The field had a silty clay soil (the top 30 cm soil surface contains 14% sand, 42% silt, and 44% clay). Soil characteristics referring to three genetic horizons selected from the soil survey are presented in Table 1. Soil pH ranged between 7.94 and 8.04, and its electric conductivity was from 1.3 to 2.9 dS m−1. The area has a desert climate with a mean annual rainfall of 76 mm and air temperature of 22 °C. Spinach can typically grow from October to March in this region. The average pH and electrical conductivity of water supply (surface water from the Colorado River) was 8.0 and 1.18 ds/m during the experiment, respectively.

2.1. Experimental Design and Treatments

Experiment 1 (fall experiment): Land preparation was conducted in late September 2018, and untreated Viroflay spinach seeds were planted at a rate of 37 kg ha−1 on 31st October. For the research trial (Figure 1a), five irrigation system treatments consisted of two drip depths (driplines on the soil surface and driplines at 3.8 cm depth), two dripline spacings (three driplines on a 203 cm bed and four driplines on an 203 cm bed), and sprinkler irrigation (203 cm bed). The experiment was arranged in a randomized complete block with four replications. Each drip replication had three beds, and each sprinkler replication had six beds. The beds were 61 m long. Figure 2 presents the individual experimental beds with four driplines at 3.8 cm and on the soil.
All treatments were germinated by sprinklers (two sets of five-hour irrigations). A flow control drip tape from the Toro company was used with a hose diameter of 15.88 mm, wall thickness of 0.154 mm, emitter spacing of 20.3 cm, and operating emitter flowrate of 0.49 L/h using the Nelson sprinklers R200WF Rotator (280 L/h @ 3.45 Bar) were used with spacings of 12.2 m × 9.1 m. Water distribution uniformity was measured for the sprinkler irrigation using the ASABE (American Society of Agricultural and Biological Engineers) standard method [19]. The average distribution uniformity for the sprinkler irrigation was 80%, and an average of 92% was assumed as water distribution uniformity of the drip irrigation.
True 6-6-2 (a homogeneous pelleted fertilizer from True Organic Products) was applied at a rate of 89 kg of N per hectare as pre-plant fertilizer, and True 4-1-3 (a liquid fertilizer from True Organic Products) was applied as complementary fertilizer through injection into the irrigation system. For the drip treatments, True 4-1-3 was applied three times after germination (by crop harvest) at a rate of 45, 33, and 44 kg of N per hectare. This liquid fertilizer was applied at a rate of 56, 42, and 50 kg of N per hectare for the sprinkler irrigation system. Soil tests conducted before planting were used to determine the status of available nitrogen/nutrients to develop fertilizer recommendations to achieve optimum crop production and prevent nitrogen deficiency. Initially, the crop was irrigated with more water than required, as determined by following crop evapotranspiration (ET, as the sum of soil evaporation and plant transpiration), and using soil moisture data, we tried to irrigate spinach trials more than crop water requirements to make sure there was no water stress for the entire crop season. However, according to our data, this led to over-irrigation at some points in the early and mid-crop season. Irrigation events were typically scheduled once a week for the sprinkler treatments and twice a week for the drip treatments at the required running times of each system/treatment.
Experiment 2 (winter experiment): Untreated Viroflay spinach seeds were planted at a rate of 38 kg ha−1 on 28th January. For the research trial (Figure 1b), three irrigation system treatments consisted of two dripline spacings (three driplines on a 203 cm bed and four driplines on a 203 cm bed), and sprinkler irrigation (203 cm bed). All driplines were installed at 3.8 cm depth. The experiment was arranged in a randomized complete block with four replications. Each drip and sprinkler treatment replication consisted of three beds × 61 m length. All treatments were germinated by sprinklers (two sets of five hours). The buffer beds located between sprinkler and drip treatments were not planted. The drip treatments were more frequently irrigated (three times a week with shorter irrigation events) than the drip treatments in the fall trial.
True 6-6-2 organic fertilizer was applied before planting at a rate of 78 kg of N per hectare, and the crop was supplemented with True 4-1-3 liquid fertilizer injection into irrigation system. For the drip system, True 4-1-3 was applied four times after germination (by crop harvest) at a rate of 34, 45, 33, and 44 kg of N per hectare. In the sprinkler system, the same fertilizer was applied at a rate of 45, 45, 50, and 45 kg of N per hectare.

2.2. Field Measurements and Analysis

The actual crop ET (evapotranspiration) was measured using Tule Technology sensor (www.tuletechnologis.com) which uses the residual of energy balance method as surface renewal equipment. Using the actual crop water-use data measured and spatial California Irrigation Management Information System (CIMIS) data (http://wwwcimis.water.ca.gov/SpatialData.aspx), the actual crop coefficient curve was developed for each crop season. The reference ET (ETo) was retrieved from spatial CIMIS as well. Images were taken on weekly basis utilizing an infrared camera (NDVI digital camera, NDVI stands for the Normalized Difference Vegetation Index) to quantify the development of the crop canopy of each treatment over the crop seasons. The images were analyzed using PixelWrench2 software. Decagon 5TE sensors were installed at three depths (20, 30, and 45 cm) to monitor soil water content on a continuous basis. The numerous horizontal roots of spinach typically remain in the top 30 cm of soil with a spread of approximately 40 cm, while soil water storage at the top 45 cm (spinach crop root zone) was calculated using the soil water content data. The applied water for the irrigation treatments was measured throughout the crop seasons using magnetic flowmeters. The NDVI values and plant leaf wetness values were measured using Spectral Reflectance sensors (combination of SRS-Pi Hemispherical Sensor and SRS-Pr Field Stop Sensor) and dielectric leaf wetness sensors (PHYTOS 31), respectively (METER Group, Inc. USA) on a continuous basis. Leaf chlorophyll was measured using an atLEAF CHL STD sensor (FT Green LLC: Wilmington, DE, USA) on a weekly basis.
Shoot biomass (sum of the weight of leaves and stem represents shoot biomass) measurements at the final harvests were carried out in three sample areas of 0.56 m2 (0.92 m × 0.61 m) per replicate and treatment. The bed located in the center of each replication in each of the treatments was selected as the sample bed (four sample beds per each treatment, a total of 20 sample beds for five irrigation treatments in the fall trial and 14 sample beds for three irrigation treatments in the winter trial). Fresh weight was measured in order to determine shoot biomass accumulation. Leaf chlorophyll content was measured on 20 individual leaves in each of the sample beds. Weekly plant samples (shoots) were analyzed for total nitrogen at the UC Davis Analytical Lab. The statistical significances were performed using generalized linear mixed model using the GLIMMIX (generalized linear mixed models) procedure in SAS 9.4. (SAS Institute Inc., Cary, NC, USA)

2.3. Downy Mildew

Both replicate runs of the experiment were visually scouted by walking down arbitrarily selected rows of all treatments. When disease symptoms were observed, the number of plants exhibiting downy mildew symptoms was counted for the entire length of two of the three beds in each plot. To calculate disease incidence, or the percentage of plants affected by downy mildew, the number of plants in each bed was divided by the estimated plant population. The estimated plant population was determined from the seeding rate and the germination rate averaged over each treatment at emergence. Downy mildew incidence was analyzed in a generalized linear mixed model using the GLIMMIX procedure in SAS 9.4. A block was treated as a random effect, and options in the model statement included use of the beta distribution and the logit link function. Due to evidence for a significant effect of treatment, means were separated using the lsmeans statement with the Tukey-Kramer adjustment for multiple comparisons.

3. Results and Discussion

3.1. Weather Conditions

The daily air temperature, relative humidity, and wind speed variations were different over the fall and the winter experiments (Figure 3). At the fall trial, we observed a mean daily air temperature of 18.8 °C at the early- and mid-seasons when the temperature stayed above 6.5 °C at nighttime. The mean daily temperature decreased to 12.1 °C during the late season, and relative humidity dramatically increased over the last 10 days before the final harvest. An average daily wind speed of 1.5 m s−1 was observed during the fall experiment.
While a more variable air temperature was observed at the winter experiment, the mean daily temperature was 12.6 °C at the early- and mid-seasons, and the temperature fell below 1.0 °C for a few nights. Higher daytime relative humidity was measured during the early- and mid-seasons compared to the fall. Although there was not a significant difference between the average wind speed of the crop seasons, several windy days occurred during the winter season (hours with a wind speed of more than 8 m s−1). The cumulative ETo for the fall and winter crops was 122 and 177 mm, respectively.

3.2. Crop Water Use and Applied Water

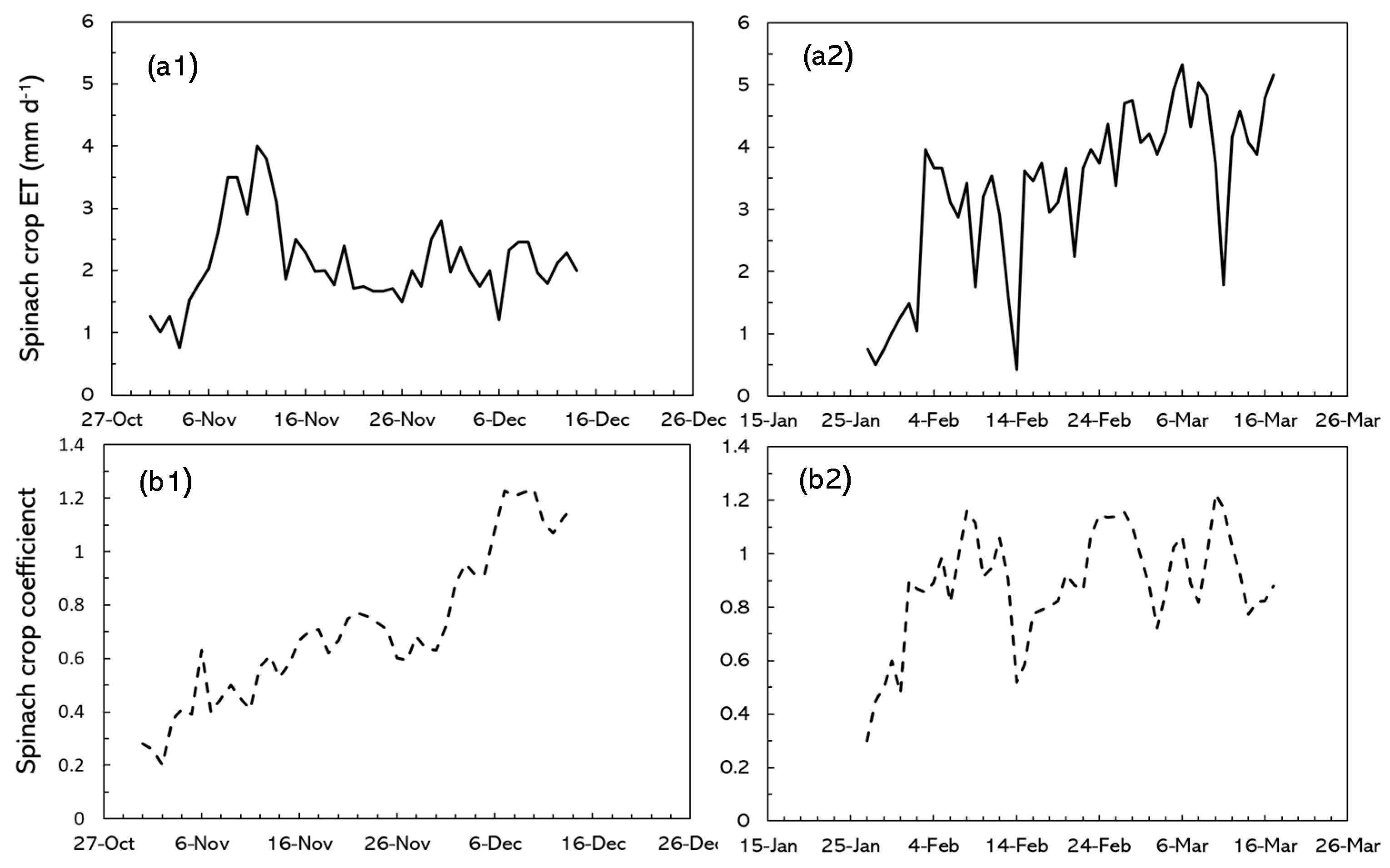
Total crop water use (seasonal ET) of 92.3 and 154.9 mm was measured in the fall and the winter trials, respectively. Variable daily crop ET and crop coefficient values were measured during the entire crop season (Figure 4). The maximum and minimum crop ET observed was 3.8 and 0.7 mm d−1 in the fall experiment and 5.3 and 0.3 mm d−1 in the winter experiment, respectively. A similar range of crop coefficient value (0.2–1.2) was obtained for both crop seasons. Piccinni et al. reported a crop water use of 157.5 mm and crop coefficient range of 0.2–1.5 for winter spinach in Texas using lysimeter measurements [20].
The total applied water for the sprinkler treatment was 144.8 and 225.2 mm in the fall and the winter trials, respectively. The total applied water for the drip treatments was 130.5 mm over the fall season and 202.4 mm over the winter season. Overall, an average of 11% more water was applied through the sprinkler system compared with the drip system to compensate for the lower water application uniformity of sprinkler irrigation system. A well-designed and properly managed drip irrigation usually has high distribution uniformity, and unlike conventional sprinkler irrigation systems, has the potential to conserve water because of a lower potential for tailwater runoff and deep percolation losses.
Soil water storage in the profile was calculated, assuming that the water content sensed at each depth was representative of the soil from that depth to the midpoint between the next upper and lower depths. A comparison of the soil water storage between sprinkler and drip (3.8–4B) treatments versus soil water storage in the average field capacity (FC) of the top 45 cm of the soil is shown in Figure 5. Even though there were differences between the daily available soil water in both treatments and crop seasons, the soil water storage amounts were uniformly maintained at around the average soil water storage of field capacity (19.35 cm at the top 45 cm of the soil). More uniform soil water availability in the drip treatment over the winter experiment could be as a result of more frequent irrigation events with shorter durations.

3.3. Crop Canopy over the Season

Crop canopy cover is defined as the percentage of plant material which covers the soil surface, and can be a very useful index for estimating the crop coefficient. Here, the canopy cover percentage was developed for each of the irrigation treatments (Figure 6). Canopy cover percentages show that the leaf density of drip irrigation treatments was slightly behind (1–4 days depending upon the irrigation treatment and crop season) than that of the sprinkler irrigation treatments.
The individual canopy cover curves for each season demonstrate that spinach crop water requirements and irrigation scheduling could be different in fall and winter seasons. For instance, in this study, an average of 52% and 70% of canopy crop coverage was observed 30 days after planting in the winter and the fall crop season, respectively. We may expect a longer season for spinach planted in the winter than the fall in the Imperial Valley, though it may change depending on the specific weather conditions. Figure 6 shows the canopy cover for individual experimental beds with four driplines planted at two different dates.

3.4. Crop Growth and Greenness

Few differences between drip and sprinkler treatments were visible for the winter planted trial, while more differences were observed in the fall experiment in November. Leaves began to yellow in between the drip laterals in plots with the three-dripline treatments. A possible reason for this may be that the fertigation did not move the N in between the driplines. The total plant tissue N content of the drip treatments with three driplines in bed was less than the sprinkler treatment on the 30th of November (1.8% N for the drip vs. 3.2% N for the sprinkler), while the difference in N content of the tissue was less between the sprinkler treatment and the drip treatment with four driplines in the bed (Figure 7). Overall, a higher plant-tissue nitrogen content was observed for the sprinkler treatment compared to drip treatments.
The leaf chlorophyll content (Figure 8) was also higher in the sprinkler treatments compared to the drip treatments, though the drip treatment with four driplines at 3.8 cm depth was numerically more similar to sprinkler treatments and sometime had a greater leaf chlorophyll content during the crop seasons. A greater level of leaf chlorophyll content in the late season was observed at the winter experiment than the fall experiment for both sprinkler and drip treatments. For instance, the total leaf chlorophyll content of the sprinkler treatment two days before the final harvest at the winter trial was 4 µg cm−2 more than leaf chlorophyll content of sprinkler treatment at the fall trial. Variable leaf chlorophyll content was observed over the plant development in each of the treatments, which corresponds to the plant N accumulation over the growing seasons.
Figure 9 shows the average day NDVI values for the drip treatment with four driplines (the 3.8D-4B treatment) and the sprinkler treatment for the fall season experiment. The results indicated that the NDVI values varied from 0.2 (two weeks after planting) to 0.84 (the day before final harvest). By late November, the NDVI values were very similar in both irrigation treatments, where this index had higher values in the drip treatment even over a short period. The results demonstrated lower NDVI values in the drip treatment than sprinkler treatment over the last two weeks of the crop season.
The values of total plant nitrogen content, leaf chlorophyll content of spinach, and NDVI confirmed that N uptake at the drip treatments was not entirely as effective as the sprinkler treatment, particularly in the fall experiment. The nutrient management issue in spinach drip irrigation in combination with water management is likely a critical issue that we need to learn more about, since it may affect the adoption and viability of the drip for spinach production. Spinach is a very fast short-season crop, and hence, water and nitrogen management may significantly influence the leaf as the major organ for important physiological processes and essential indicator used to measure the growth and yield of the crop. While the leaf area and shoot biomass of spinach are greatly affected by water and nitrogen levels [4], this dependency is likely more critical in organic spinach.

3.5. Leaf Wetness

Figure 10 shows the probe output of the leaf wetness sensors placed in the sprinkler treatment and drip treatment (3.8D-4B) for a period of 12 days during the fall season experiment. At this period, there were two irrigation events in each of the treatments, and two rainy days. The sensor output from dew was typically lower (less than 700 counts) than that from the rain or the irrigation event. The results revealed that sprinkler-irrigated crop canopies remained wet 24.3% (= (70 h/288 h) × 100) times longer during this period than the crop canopy irrigated with drip treatment.
Spinach downy mildew requires a cool environment with long periods of leaf wetness or high humidity. Wet foliage is especially favorable. Considering the above analysis, and in the case where the weather and farming conditions are similar, there is higher risk for infection and downy mildew disease development in spinach irrigated by sprinklers in comparison with spinach irrigated by drips. The air temperature and relative humidity pattern (Figure 2) indicate that there was a desirable weather condition and more possibility for downy mildew disease in mid-December, but the fall experiment was just terminated at the time. The next desirable period was mid-February when temperatures had cooled to the range believed to be optimal for downy mildew, days became windier, and there was a period of leaf surface wetness caused by sprinkler irrigation, rainfall, or high relative humidity.

3.6. Shoot Biomass

The effects of various irrigation treatments on spinach shoot biomass yield over the two experimental seasons are summarized in Table 2 and Figure 11. In the fall trial, the mean biomass yield in the sprinkler treatment was 13,905 kg ha−1, approximately 9% more than the 3.8D-4B treatment. The lowest mean yield (11,136 kg ha−1) was observed in the 0D-3B treatment. Statistical analysis indicated very strong evidence (p = 0.001) for an overall effect of the irrigation system on spinach yield. A significant difference between the individual treatments was investigated using the Tukey-HSD analysis. The results demonstrated a significant yield difference between the sprinkler irrigation and each of the drip irrigation treatments (p values of 0.0001 to 0.0009). Even though no significant yield difference was obtained between the surface drip and sub-surface drip (driplines at 3.8 cm depth) with the same dripline number in bed (p value of 0.8276 for the three-dripline and 0.1995 for the four-dripline), the number of driplines in bed had a very significant impact on spinach biomass yield (p values of 0.0001 to 0.0009).
In the winter trial, the mean biomass yield in the sprinkler treatment was 14,886 kg ha−1, approximately 7% more than the 3.8D-4B treatment. Statistical analysis indicated strong evidence (p = 0.0424) for an overall effect of irrigation system on spinach fresh yield. While we could not find a significant difference between the impact of the sprinkler and the 3.8D-4B irrigation treatments on spinach yield (p = 0.1161), there was a statistically significant yield difference between the sprinkler and the 3.8D-3B irrigation treatments (p = 0.04147).
The yield reduction in drip irrigation treatments compared to the sprinkler irrigation ranged between 7% (the 3.8D-4B treatment against the sprinkler treatment in the winter trial) and 24.8% (the 0D-3B treatment against the sprinkler treatment in the fall trial). The yield difference may have likely been caused by suboptimal irrigation and nutrient management conditions of the drip treatments. Since drip irrigation was tested for the first time for spinach in this study, subsequent trials need to plan for irrigation and nutrient improvements and be conducted in different aspects. These practices had to be adjusted in real time as the study progressed. The biomass yield reported here are related to a final harvest, which was on the same day for all the treatments. Since the findings showed that the leaf density of drip irrigation treatments was more behind than sprinkler treatment, scheduling a different harvest time for the drip treatments may compensate for some of the yield reductions against the sprinkler treatment.
Several factors influence appropriate drip irrigation management, including system design, soil characteristics, and environmental conditions. The influences of these factors can be integrated into a practical and efficient system which determine the quantity and timing of drip irrigation. Drip irrigation offers the potential for precise water management, and also provides the ideal vehicle to deliver nutrients in a timely and efficient manner. However, achieving high water and nutrient use efficiency while maximizing crop productivity requires intensive and proper management.
However, the 7% through 13% shoot biomass difference between the four dripline treatments and the sprinkler treatment demonstrates the potential of sub-surface drip irrigation for profitable spinach production. This yield difference could be reduced through optimal system design and better irrigation and nutrient management practices for the drip system.
Optimizing water and nitrogen management had not been an objective for this study, therefore, evaluating water use efficiency of the treatments may not be an interest to be discussed. With the 7% lower biomass yield and 11% less applied water in the 3.8D-4B than the sprinkler treatment, we may simply conclude that drip irrigation may have the potential to enhance the efficiency of water use in spinach production or at least at this point, there is no major difference between the two systems regarding this indicator. High water use efficiency for sub-surface drip irrigation was reported by researchers for multiple crops [12,13,15,21].

3.7. Downy Mildew Incidence

Downy mildew was not observed in the fall experiment. In the winter experiment, downy mildew activity was first confirmed in the study area on 5 March. Disease incidence was rated on 11 March. Downy mildew incidence was low on this date, with only two beds (0.12% and 0.20%) exhibiting incidence values above 0.1% (Figure 12). Mean downy mildew incidence in plots irrigated with sprinklers following emergence was 0.08%, approximately 4 to 5× higher than treatments irrigated with drip following emergence. Statistical analysis indicated evidence (p = 0.0461) for an overall effect of irrigation treatment on downy mildew.
Analysis of means suggested that all three treatments were statistically similar. However, a pairwise comparison revealed some evidence that downy mildew incidence was lower in plots irrigated with 3.8D-4B (p = 0.0671) or 3.8D-3B (p = 0.1139) following emergence when compared to the sprinkler.
The likely mechanism causing this effect was a reduction under drip irrigation of leaf wetness, which is critical for infection and sporulation by the downy mildew pathogen. Additional repetitions of this experiment in higher disease pressure situations are needed for further evaluation of the ability of drip irrigation to reduce downy mildew. Another mechanism that could partially account for the observed differences among the treatments is that the leaf density in drip-irrigated plots was slightly behind that of the sprinkler irrigated plots in time. A less dense canopy could reduce the leaf wetness potential, and in turn, disease incidence potential. However, it is unclear if the magnitude of differences in density could account for the magnitude in differences in downy mildew incidence between sprinkler- and drip-irrigated treatments.
Perhaps the most important benefit of drip for spinach production could be less yield loss as a result of downy mildew management. Spinach is a high-value crop—for instance, the value of spinach per kg was about $2 in 2016 [22]. While more data are needed to conduct an economic feasibility analysis of drip irrigation for spinach production, the results of this study demonstrated a positive impression. The initial cost associated with a drip system for spinach fields is estimated at about $3000 to $4000 per hectare in the region.

4. Conclusions

This study demonstrated the potential for drip irrigation to be used to produce organic spinach, conserve water, enhance the efficiency of water use, and reduce incidence of downy mildew. Further work is needed to comprehensively evaluate the viability of utilizing drips—specifically, the optimal system design, the impacts of irrigation and nitrogen management practices in various soil types and climates, and strategies to maintain productivity and economic viability at spinach. Assessing drip irrigation for the entire crop season, including germination, could be another research interest since spinach is a short-season crop and combining the sprinkler for crop germination and drip for such a short period might cause some practical issues.

Author Contributions

Conceptualization, A.M. and M.C.; Data curation, A.M.; Formal analysis, A.M.; Investigation, A.M. and A.P.; Methodology, A.M., M.C. and A.P.; Project administration, A.M.; Supervision, A.M.; Writing—original draft, A.M.; Writing—review & editing, A.M., M.C. and A.P.

Funding

This research was funded by the California Leafy Greens Research Board.

Conflicts of Interest

The authors declare no conflict of interest.

References

  1. California Department of Food and Agriculture (CDFA). California Agricultural Statistics Review; Agricultural Statistical Overview: Sacramento, CA, USA, 2018.
  2. Ortiz, C. Office of the Agricultural Commissioner Sealer of Weights and Measures-Imperial County; Annual Crop and Livestock Report: Imperial County, CA, USA, 2018. [Google Scholar]
  3. Birdsall, S. Office of the Agricultural Commissioner Sealer of Weights and Measures-Imperial County; Annual Crop and Livestock Report: Imperial County, CA, USA, 2009. [Google Scholar]
  4. Zhang, J.; Sha, Z.; Zhang, Y.; Bei, Z.; Cao, L. The effects of different water and nitrogen levels on yield, water and nitrogen utilization efficiencies of spinach. Can. J. Plant Sci. 2015, 95, 671–679. [Google Scholar] [CrossRef]
  5. Cantliffe, D.J. Nitrate accumulation in vegetable crops as affected by photoperiod and light duration. J. Amer. Soc. Hort. Sci. 1972, 97, 414–418. [Google Scholar]
  6. Heinrich, A.; Smith, R.; Cahn, M. Nutrient and Water Use of Fresh Market Spinach. HortTechnology 2013, 23, 325–333. [Google Scholar] [CrossRef]
  7. Zhang, J.; Bei, Z.; Zhang, Y.; Cao, L. Growth Characteristics, Water and Nitrogen Use Efficiencies of Spinach in Different Water and Nitrogen Levels. Sains Malays. 2014, 43, 1665–1671. [Google Scholar]
  8. Choudhury, R.A.; Koike, S.T.; Fox, A.D.; Anchieta, A.; Subbarao, K.V.; Klosterman, S.J.; McRoberts, N. Season-Long Dynamics of Spinach Downy Mildew Determined by Spore Trapping and Disease Incidence. Phytopathology 2016, 106, 1311–1318. [Google Scholar] [CrossRef] [PubMed]
  9. Correll, J.C.; Bluhm, B.H.; Feng, C.; Lamour, K.; Du Toit, L.J.; Koike, S.T. Spinach: Better management of downy mildew and white rust through genomics. Eur. J. Plant Pathol. 2011, 129, 193–205. [Google Scholar] [CrossRef]
  10. Correll, J.C.; Feng, C.; Matheron, M.E.; Porchas, M.; Koike, S.T. Evaluation of spinach varieties for downy mildew resistance. Plant Dis. Manag. Rep. 2017, 11, 122. [Google Scholar]
  11. Koike, S.; Cahn, M.; Cantwell, M.; Fennimore, S.; Natwick, E.; Smit, R.; Takele, E. Spinach Production in California; University of California Agriculture and Natural Resources: Auckland, CA, USA, 2011; ISBN 978-1-60107-719-6. [Google Scholar]
  12. Montazar, A.; Bali, K.; Zaccaria, D.; Putnam, D. Viability of subsurface drip irrigation for alfalfa production in the low desert of California. In Proceedings of the ASABE International Meeting, Detroit, MI, USA, 29 July–1 August 2018. [Google Scholar]
  13. Hartz, T.K.; Bottoms, T.G. Nitrogen requirements of drip-irrigated processing tomatoes. HortScience 2009, 44, 1988–1993. [Google Scholar] [CrossRef]
  14. Lamm, F.R.; Camp, C.R. Subsurface drip irrigation. In Microirrigation for Crop Production—Design, Operation and Management; Lamm, F.R., Ayars, J.E., Nakayama, F.S., Eds.; Elsevier Publications: Amsterdam, The Netherlands, 2017; Chapter 13; pp. 473–551. [Google Scholar]
  15. Lamm, F.R.; Bordovsky, J.P.; Schwankl, L.J.; Grabow, G.L.; Enciso-Medina, J.; Peters, R.T.; Colaizzi, P.D.; Trooien, T.P.; Porter, D.O. Subsurface Drip Irrigation: Status of the Technology. In 2010 5th National Decennial Irrigation Conference; Phoenix Convention Center: Phoenix, AZ, USA, 5–8 December 2010. [Google Scholar]
  16. Montazar, A.; Putnam, D.; Bali, K.; Zaccaria, D. A model to assess the economic viability of alfalfa production under subsurface Drip Irrigation in California. Irrig. Drain. 2017, 66, 90–102. [Google Scholar] [CrossRef]
  17. Luque Quispe, M.R. Evaluation of drip and Microasperation Irrigation Methods in Spinach (Spinaca oleracea) and Swiss Lettuce (Valerianella locusta) in Walipinis. Brigham Young University. Available online: https://scholarsarchive.byu.edu/etd (accessed on 13 June 2019).
  18. Takebe, M.; Okazaki, K.; Kagishita, K.; Karasawa, T. Effect of drip fertigation system on nitrate control in spinach Spinacea oleracea L. Soil Sci. Plant Nutr. 2006, 52, 251. [Google Scholar] [CrossRef]
  19. ASAE Standards. Procedure for Sprinkler Testing and Performance Reporting; ASAE: St. Joseph, MI, USA, 1985. [Google Scholar]
  20. Piccinni, G.; Ko, J.; Marek, T.; Leskovar, D.I. Crop Coefficients Specific to Multiple Phenological Stages for Evapotranspiration-based Irrigation Management of Onion and Spinach. HotrtScience 2009, 44, 421–425. [Google Scholar] [CrossRef]
  21. Montazar, A.; Radawich, J.; Zaccaria, D.; Bali, K.; Putnam, D. Increasing water use efficiency in alfalfa production through deficit irrigation strategies under subsurface drip irrigation. Water shortage and drought: From challenges to solution. In Proceedings of the USCID Water Management Conference, San Diego, CA, USA, 17–20 May 2016. [Google Scholar]
  22. Ortiz, C. Office of the Agricultural Commissioner Sealer of Weights and Measures–Imperial County; Annual Crop and Livestock Report: Imperial County, CA, USA, 2017. [Google Scholar]
Figure 1. The fall (a) and winter (b) experiment layouts (not to scale). Sprinkler: treatment irrigated by sprinklers; 3.8D-3B: treatment with three driplines in each bed installed at 3.8 cm depth; 3.8D-4B: treatment with four driplines in each bed installed at 3.8 cm depth; 0D-4B: treatment with four driplines in each bed on the soil surface; 0D-3B: treatment with three driplines in each bed on the soil surface.
Figure 1. The fall (a) and winter (b) experiment layouts (not to scale). Sprinkler: treatment irrigated by sprinklers; 3.8D-3B: treatment with three driplines in each bed installed at 3.8 cm depth; 3.8D-4B: treatment with four driplines in each bed installed at 3.8 cm depth; 0D-4B: treatment with four driplines in each bed on the soil surface; 0D-3B: treatment with three driplines in each bed on the soil surface.
Agriculture 09 00177 g001
Figure 2. Beds with four driplines in the fall crop season. The pictures demonstrate individual beds with four driplines at 3.8 cm depth 30 days after planting (a) and on the soil surface 12 days after planting (b).
Figure 2. Beds with four driplines in the fall crop season. The pictures demonstrate individual beds with four driplines at 3.8 cm depth 30 days after planting (a) and on the soil surface 12 days after planting (b).
Agriculture 09 00177 g002
Figure 3. Daily air temperature (a), relative humidity (a), and wind speed (b) over the fall season (October through December, left side of the figures) and the winter season (January through March, right side of the figures).
Figure 3. Daily air temperature (a), relative humidity (a), and wind speed (b) over the fall season (October through December, left side of the figures) and the winter season (January through March, right side of the figures).
Agriculture 09 00177 g003
Figure 4. Daily spinach crop evapotranspiration or ET (a1,a2) and crop coefficient (b1,b2) values in the experimental seasons. The subfigures a1 and a2 show crop ET in the fall and spring trials, respectively, and the subfigures b1 and b2 show crop coefficient values in the fall and spring experimental seasons, respectively.
Figure 4. Daily spinach crop evapotranspiration or ET (a1,a2) and crop coefficient (b1,b2) values in the experimental seasons. The subfigures a1 and a2 show crop ET in the fall and spring trials, respectively, and the subfigures b1 and b2 show crop coefficient values in the fall and spring experimental seasons, respectively.
Agriculture 09 00177 g004
Figure 5. Soil water storage at the surface to a 45 cm-deep profile at the drip (3.8–4B) and sprinkler treatments in the fall (a) and winter (b) crop seasons. The blue line shows the soil water storage calculated using an average field capacity of the top 45 cm of the soil (0.43 m3 m−3).
Figure 5. Soil water storage at the surface to a 45 cm-deep profile at the drip (3.8–4B) and sprinkler treatments in the fall (a) and winter (b) crop seasons. The blue line shows the soil water storage calculated using an average field capacity of the top 45 cm of the soil (0.43 m3 m−3).
Agriculture 09 00177 g005
Figure 6. Canopy crop curve for the different irrigation treatments in the (a) winter crop season and (b) the fall crop season.
Figure 6. Canopy crop curve for the different irrigation treatments in the (a) winter crop season and (b) the fall crop season.
Agriculture 09 00177 g006
Figure 7. The trends of total plant nitrogen content over the fall crop season. The results are presented for the individual irrigation treatments.
Figure 7. The trends of total plant nitrogen content over the fall crop season. The results are presented for the individual irrigation treatments.
Agriculture 09 00177 g007
Figure 8. The trends of average leaf chlorophyll content of spinach at different irrigation treatments over (a) the fall crop season and (b) winter crop season.
Figure 8. The trends of average leaf chlorophyll content of spinach at different irrigation treatments over (a) the fall crop season and (b) winter crop season.
Agriculture 09 00177 g008
Figure 9. NDVI values of sprinkler and drip (3.8D-4B) treatments over the fall crop season. The daily values vary between a maximum during daytime and zero during nighttime.
Figure 9. NDVI values of sprinkler and drip (3.8D-4B) treatments over the fall crop season. The daily values vary between a maximum during daytime and zero during nighttime.
Agriculture 09 00177 g009
Figure 10. The row counts of leaf wetness sensors at the sprinkler and drip (3.8D-4B) treatments over a 12-day period in the fall crop season.
Figure 10. The row counts of leaf wetness sensors at the sprinkler and drip (3.8D-4B) treatments over a 12-day period in the fall crop season.
Agriculture 09 00177 g010
Figure 11. Mean yield data of the sample beds in each of the irrigation treatments at the fall experiment and (a) and the winter experiment (b). Horizontal red lines indicate the average for each treatment.
Figure 11. Mean yield data of the sample beds in each of the irrigation treatments at the fall experiment and (a) and the winter experiment (b). Horizontal red lines indicate the average for each treatment.
Agriculture 09 00177 g011
Figure 12. Raw data (all plots and beds within plots) of downy mildew incidence. Horizontal bars and labels indicate the mean for each treatment. Points are jittered to reduce overlap. The top line of x-axis labels indicate what the plot was germinated with, and the bottom row indicates the irrigation used following emergence.
Figure 12. Raw data (all plots and beds within plots) of downy mildew incidence. Horizontal bars and labels indicate the mean for each treatment. Points are jittered to reduce overlap. The top line of x-axis labels indicate what the plot was germinated with, and the bottom row indicates the irrigation used following emergence.
Agriculture 09 00177 g012
Table 1. Soil characteristics of the study site.
Table 1. Soil characteristics of the study site.
Soil ParametersSoil Depth
Generic horizon (cm)0–3030–6060–90
Texturesilty clay clay loamclay
Sand (%)14218
Silt (%)424134
Clay (%)443858
pH7.948.048.02
EC (dS m−1)1.31.42.9
Cation exchange capacity (meq/1000 g)48.650.754.0
Bulk density (g cm−3)1.541.481.45
Exchange sodium percentage (%)3.54.16
Table 2. Mean spinach fresh yield values of each irrigation treatment in each of the fall and winter experiments. Yields with different letters significantly differ (p < 0.05) by Tukey’s test.
Table 2. Mean spinach fresh yield values of each irrigation treatment in each of the fall and winter experiments. Yields with different letters significantly differ (p < 0.05) by Tukey’s test.
Fall 2018Winter 2019
Irrigation TreatmentFresh Yield (kg ha−1)Irrigation TreatmentFresh Yield (kg ha−1)
Sprinkler13,905 aSprinkler14,886 a
3.8D-4B12,753 b3.8D-4B13,914 ab
0D-4B12,273 b3.8D-3B13,580 b
0D-3B11,136 c--
3.8D-3B11,351 c--

Share and Cite

MDPI and ACS Style

Montazar, A.; Cahn, M.; Putman, A. Research Advances in Adopting Drip Irrigation for California Organic Spinach: Preliminary Findings. Agriculture 2019, 9, 177. https://doi.org/10.3390/agriculture9080177

AMA Style

Montazar A, Cahn M, Putman A. Research Advances in Adopting Drip Irrigation for California Organic Spinach: Preliminary Findings. Agriculture. 2019; 9(8):177. https://doi.org/10.3390/agriculture9080177

Chicago/Turabian Style

Montazar, Ali, Michael Cahn, and Alexander Putman. 2019. "Research Advances in Adopting Drip Irrigation for California Organic Spinach: Preliminary Findings" Agriculture 9, no. 8: 177. https://doi.org/10.3390/agriculture9080177

APA Style

Montazar, A., Cahn, M., & Putman, A. (2019). Research Advances in Adopting Drip Irrigation for California Organic Spinach: Preliminary Findings. Agriculture, 9(8), 177. https://doi.org/10.3390/agriculture9080177

Note that from the first issue of 2016, this journal uses article numbers instead of page numbers. See further details here.

Article Metrics

Back to TopTop