Agroclimatic Risk Zoning of Avocado (Persea americana) in the Hydrographic Basin of Paraná River III, Brazil
Abstract
1. Introduction
2. Materials and Methods
2.1. Climate Variability
2.2. Agroclimatic Risk Zoning
- (a)
- Annual Water Deficiency (AWD): This was estimated using the method of Thornthwaite and Matter (1955), and obtained by calculating the normal climatological water balance for the meteorological stations. We used a value of 100 mm for the available water capacity in the soil, considering that the avocado root system explores the soil profile to a depth of more than 1 m [26]. The results obtained were interpolated using the ArcGIS 10.0 geographic information system to generate the annual water deficit maps. The following thresholds were considered for the risk of water deficiency: high risk—AWD > 100 mm; low risk—AWD < 100 mm [20,27,28].
- (b)
- Average Annual Temperature (Ta): Meteorological data from historical series of average temperatures observed inside meteorological shelters were used to estimate the average annual temperature. Using the Ta value, regression was applied as a function of latitude, longitude, and altitude for the whole basin. The risk classes defined for Ta were as follows: high risk—below 19 °C; medium risk—between 19 and 21 °C; low risk—greater than 21 °C [26,29,30].
- (c)
- Frost Risk: We used meteorological data from the thirteen-season historical series, taking into account occurrences of temperatures of 1 °C or below as observed within the meteorological shelters, to calculate the risk of frost. The probabilities of annual frost occurrence were calculated and correlated with altitude and latitude, obtaining a regression equation for the risk of frost. Using adjusted regressions, values greater than 40% were considered to be high risk [26,28,29].
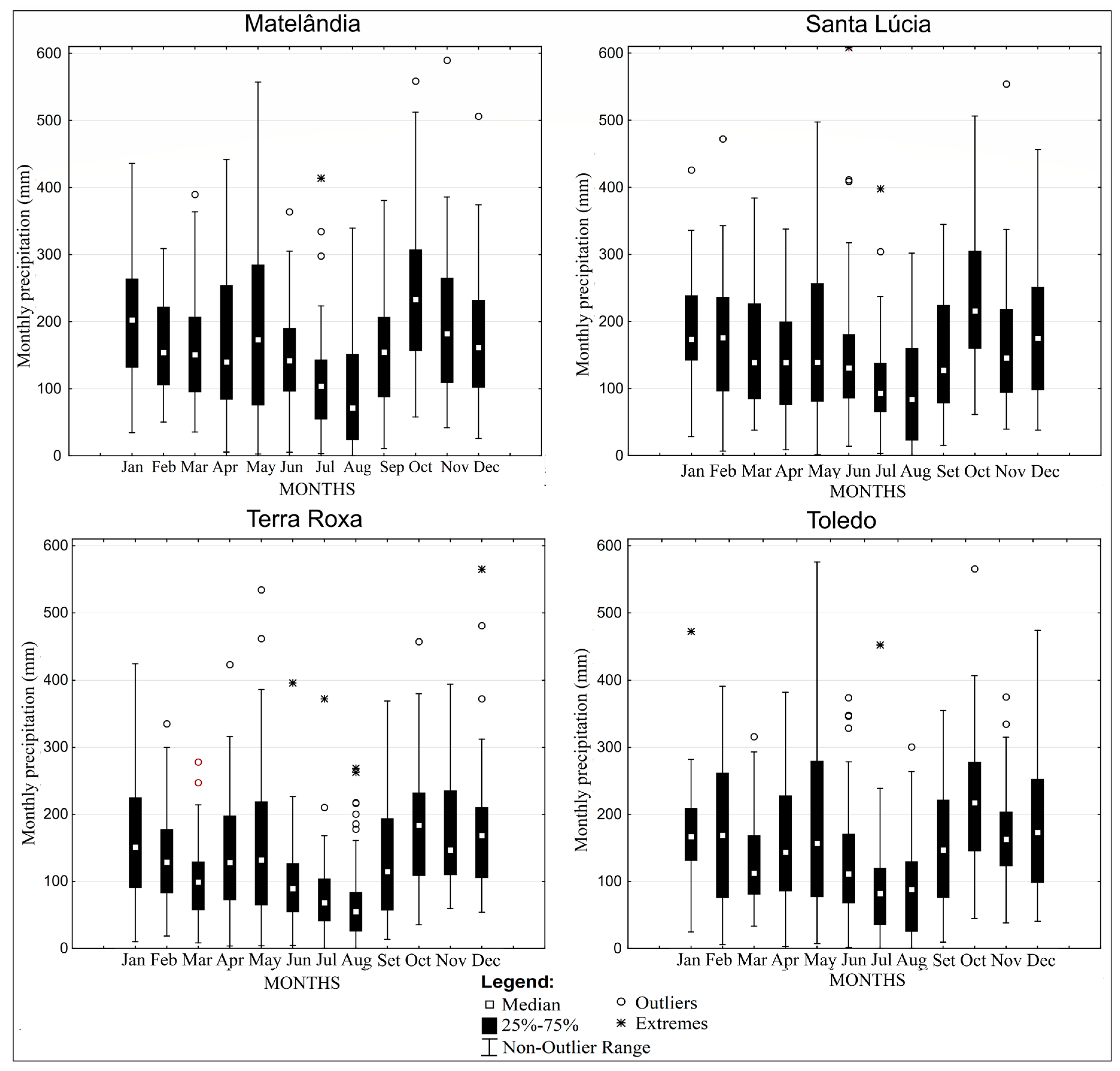
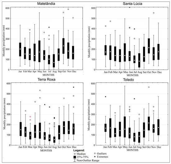
3. Results and Discussion
4. Conclusions
Author Contributions
Funding
Acknowledgments
Conflicts of Interest
References
- Cambui, E.C.B.; de Vasconcelos, R.N.; Mariano-Neto, E.; Viana, B.F.; Cardoso, M.Z. Positive forestry: The effect of rubber tree plantations on fruit feeding butterfly assemblages in the Brazilian Atlantic forest. For. Ecol. Manag. 2017, 397, 150–156. [Google Scholar] [CrossRef]
- Oliveira, A.; Amaro, A.L.; Pintado, M. Impact of food matrix components on nutritional and functional properties of fruit-based products. Curr. Opin. Food Sci. 2018, 22, 153–159. [Google Scholar] [CrossRef]
- Agovino, M.; Casaccia, M.; Ciommi, M.; Ferrara, M.; Marchesano, K. Agriculture, climate change and sustainability: The case of EU-28. Ecol. Indic. 2019, 105, 525–543. [Google Scholar] [CrossRef]
- Ezenne, G.I.; Jupp, L.; Mantel, S.K.; Tanner, J.L. Current and potential capabilities of UAS for crop water productivity in precision agriculture. Agric. Water Manag. 2019, 218, 158–164. [Google Scholar] [CrossRef]
- Hassani, Y.; Shahdany, S.M.H.; Maestre, J.M.; Zahraie, B.; Ghorbani, M.; Hennebery, S.R.; Kulshreshtha, S.N. An economic-operational framework for optimum agricultural water distribution in irrigation districts without water marketing. Agric. Water Manag. 2019, 221, 348–361. [Google Scholar] [CrossRef]
- Novoa, V.; Ahumada-Rudolph, R.; Rojas, O.; Sáez, K.; de la Barrera, F.; Arumí, J.L. Understanding agricultural water footprint variability to improve water management in Chile. Sci. Total Environ. 2019, 670, 188–199. [Google Scholar] [CrossRef]
- Ogilvie, A.; Riaux, J.; Massuel, S.; Mulligan, M.; Belaud, G.; Le Goulven, P.; Calvez, R. Socio-hydrological drivers of agricultural water use in small reservoirs. Agric. Water Manag. 2019, 218, 17–29. [Google Scholar] [CrossRef]
- Mendonça, E.S.; Stott, D.E. Characteristics and decomposition rates of pruning esidues from a shaded coffee system in Southeastern Brazil. Agrofor. Syst. 2003, 57, 117–125. [Google Scholar] [CrossRef]
- Giraldo, J.F.; Jaramillo, A. Ciclo hidrológico y transporte de nutrimentos en cafetales bajo diferentes densidades de sombrío de guamo. Cenicafé (Colombia) 2004, 55, 52–68. [Google Scholar]
- Perfecto, I.; Vandermeer, J.; Mas, A.; Pinto, L.S. Biodiversity, yield, and shade coffee certification. Ecol. Econ. 2005, 54, 435–446. [Google Scholar] [CrossRef]
- Jaramillo-Botero, C.; Santos, R.H.S.; Fardim, M.P.; Pontes, T.M.; Sarmiento, F. Produção de serapilheira e aporte de nutrientes de espécies arbóreas nativas em um sistema agroflorestal na Zona da Mata de Minas Gerais. Revista Árvore 2008, 32, 869–877. [Google Scholar] [CrossRef]
- Silva, J.; Jucksch, I.; Maia, C.I.; Feres, A.; Castro Tavares, R. Fauna do solo em sistemas de manejo com café. J. Biotechnol. Biodivers. 2012, 3, 59–71. [Google Scholar] [CrossRef]
- Meylan, L.; Merot, A.; Gary, C.; Rapidel, B. Combining a typology and a conceptual model of cropping system to explore the diversity of relationships between ecosystem services: The case of erosion control in coffee-based agroforestry systems in Costa Rica. Agric. Syst. 2013, 118, 52–64. [Google Scholar] [CrossRef]
- Castro, P.R.; Kluge, R.A. Ecofisiologia de Fruteiras: Abacateiro, Aceroleira, Macieira, Pereira e Videira; Editora Agronomica Ceres Ltda: Piracicaba, Brazil, 2003. [Google Scholar]
- Araújo, R.G.; Rodriguez-Jasso, R.M.; Ruiz, H.A.; Pintado, M.M.E.; Aguilar, C.N. Avocado by-products: Nutritional and functional properties. Trends Food Sci. Technol. 2018, 80, 51–60. [Google Scholar] [CrossRef]
- Francisco, V.L.F.D.S.; Baptistella, C.S.L. Cultura do abacate no Estado de Sâo Paulo. Informações Econômicas 2005, 35, 27–41. Available online: http://www.iea.sp.gov.br/ftpiea/ie/2005/tec3-0505.pdf (accessed on 15 May 2019).
- Ipardes, Instituto Paranaense de Desenvolvimento Econômico e Social. Produção de Abacate; 2019. Available online: http://www.ipardes.gov.br/imp/index.php (accessed on 22 May 2019).
- Bonvehi, J.S.; Coll, F.V.; Bermejo, J.O. Characterization of avocado honey (Persea americana Mill.) produced in Southern Spain. Food Chem. 2019, 287, 214–221. [Google Scholar] [CrossRef]
- Freeman, S.; Miller, G.; Protasov, A.; Maymon, M.; Elazar, M.; David-Schwartz, R.; Zhou, J.; Mendel, Z. Aposymbiotic interactions of three ambrosia beetle fungi with avocado trees. Fungal Ecol. 2019, 39, 117–130. [Google Scholar] [CrossRef]
- Moreno-Ortega, G.; Pliego, C.; Sarmiento, D.; Barceló, A.; Martínez-Ferri, E. Yield and fruit quality of avocado trees under different regimes of water supply in the subtropical coast of Spain. Agric. Water Manag. 2019, 221, 192–201. [Google Scholar] [CrossRef]
- Rodríguez, I.; Cámara-Martos, F.; Flores, J.M.; Serrano, S. Spanish avocado (Persea americana Mill.) honey: Authentication based on its composition criteria, mineral content and sensory attributes. LWT 2019, 111, 561–572. [Google Scholar] [CrossRef]
- Santana, I.; Castelo-Branco, V.N.; Guimarães, B.M.; de Oliveira Silva, L.; Peixoto, V.O.D.S.; Cabral, L.M.C.; Freitas, S.P.; Torres, A.G. Hass avocado (Persea americana Mill.) oil enriched in phenolic compounds and tocopherols by expeller-pressing the unpeeled microwave dried fruit. Food Chem. 2019, 286, 354–361. [Google Scholar] [CrossRef]
- Shezi, S.; Magwaza, L.S.; Mashilo, J.; Tesfay, S.Z.; Mditshwa, A. Photosynthetic efficiency and relationship to mesocarp dry matter content of ‘Carmen’avocado (Persea americana Mill.) fruit in a cool subtropical climate. Sci. Hortic. 2019, 253, 209–216. [Google Scholar] [CrossRef]
- Tan, C.X. Virgin avocado oil: An emerging source of functional fruit oil. J. Funct. Foods 2019, 54, 381–392. [Google Scholar] [CrossRef]
- Nitsche, P.R.; Caramori, P.H.; Ricce, W.S.; Pinto, L.F.D. Atlas Climático do Estado do Paraná. Instituto Agronômico do Paraná 2019. Available online: http://www.iapar.br/modules/conteudo/conteudo.php?conteudo=677 (accessed on 2 May 2019).
- Lem, S.; Onghena, P.; Verschaffel, L.; Van Dooren, W. The heuristic interpretation of box plots. Learn. Instr. 2013, 26, 22–35. [Google Scholar] [CrossRef]
- Zaro, G.C.; Ricce, W.D.S.; Caramori, P.H.; Carvalho, S.L.C.; Vicentini, M.E. Zoneamento agroclimático para a cultura do abacateiro no Estado do Paraná. Revista Brasileira de Fruticultura 2014, 36, 363–372. [Google Scholar] [CrossRef][Green Version]
- Zaro, G.C.; Caramori, P.H.; Kitzberger, C.S.G.; Sales, F.A.; de Carvalho, S.L.C.; Prete, C.E.C. Phenological cycle and physicochemical characteristics of avocado cultivars in subtropical conditions. Aims Energy 2017, 5, 517–528. [Google Scholar] [CrossRef]
- Cunha, G.A.P.D. Applied aspects of pineapple flowering. Bragantia 2005, 64, 499–516. [Google Scholar] [CrossRef]
- Ricce, W.S.; de Carvalho, S.L.C.; Caramori, P.H.; Auler, P.A.M.; Roberto, S.R. Zoneamento agroclimático da cultura do abacaxizeiro no Estado do Paraná. Semina Ciências Agrárias 2014, 35, 2337–2345. [Google Scholar] [CrossRef]
- Caldana, N.F.S.; Junior, G.M.Y.; de Moura, D.A.V.; da Costa, A.B.F.; Caramori, P.H. Ocorrências de Alagamentos, Enxurradas e Inundações e a Variabilidade Pluviométrica na Bacia Hidrográfica do Rio Iguaçu. Revista Brasileira de Climatologia 2018, 23, 343–355. [Google Scholar] [CrossRef]
- Caldana, N.F.S.; Rudke, A.P.; da Silva, I.; Nitsche, P.R.; Caramori, P.H. Gênese, Impacto e a Variabilidade das Precipitações de Granizo na Mesorregião Centro-Sul Paranaense, Brasil. Caderno de Geografia 2019, 29, 61–80. [Google Scholar] [CrossRef]
- Caldana, N.F.S.; Martelócio, A.C. Gênese, frequência e intensidade das precipitações de granizo nas Mesorregiões Centro Oriental e Sudeste Paranaense, Brasil. GeoTextos 2019, 15, 205–229. [Google Scholar] [CrossRef]







© 2019 by the authors. Licensee MDPI, Basel, Switzerland. This article is an open access article distributed under the terms and conditions of the Creative Commons Attribution (CC BY) license (http://creativecommons.org/licenses/by/4.0/).
Share and Cite
Caldana, N.F.d.S.; Nitsche, P.R.; Martelócio, A.C.; Rudke, A.P.; Zaro, G.C.; Batista Ferreira, L.G.; Zaccheo, P.V.C.; Colucci de Carvalho, S.L.; Martins, J.A. Agroclimatic Risk Zoning of Avocado (Persea americana) in the Hydrographic Basin of Paraná River III, Brazil. Agriculture 2019, 9, 263. https://doi.org/10.3390/agriculture9120263
Caldana NFdS, Nitsche PR, Martelócio AC, Rudke AP, Zaro GC, Batista Ferreira LG, Zaccheo PVC, Colucci de Carvalho SL, Martins JA. Agroclimatic Risk Zoning of Avocado (Persea americana) in the Hydrographic Basin of Paraná River III, Brazil. Agriculture. 2019; 9(12):263. https://doi.org/10.3390/agriculture9120263
Chicago/Turabian StyleCaldana, Nathan Felipe da Silva, Pablo Ricardo Nitsche, Alan Carlos Martelócio, Anderson Paulo Rudke, Geovanna Cristina Zaro, Luiz Gustavo Batista Ferreira, Paulo Vicente Contador Zaccheo, Sergio Luiz Colucci de Carvalho, and Jorge Alberto Martins. 2019. "Agroclimatic Risk Zoning of Avocado (Persea americana) in the Hydrographic Basin of Paraná River III, Brazil" Agriculture 9, no. 12: 263. https://doi.org/10.3390/agriculture9120263
APA StyleCaldana, N. F. d. S., Nitsche, P. R., Martelócio, A. C., Rudke, A. P., Zaro, G. C., Batista Ferreira, L. G., Zaccheo, P. V. C., Colucci de Carvalho, S. L., & Martins, J. A. (2019). Agroclimatic Risk Zoning of Avocado (Persea americana) in the Hydrographic Basin of Paraná River III, Brazil. Agriculture, 9(12), 263. https://doi.org/10.3390/agriculture9120263

