Adjustment of Weed Hoeing to Narrowly Spaced Cereals
Abstract
:1. Introduction
2. Materials and Methods
2.1. Experimental Sites and Design
2.2. Weeding Tool Description and Implementation
2.2.1. Goosefoot Sweeps
2.2.2. No-Till Sweeps
2.2.3. Down-Cut Side Knives
2.3. Data Collection
2.4. Data Analysis
3. Results
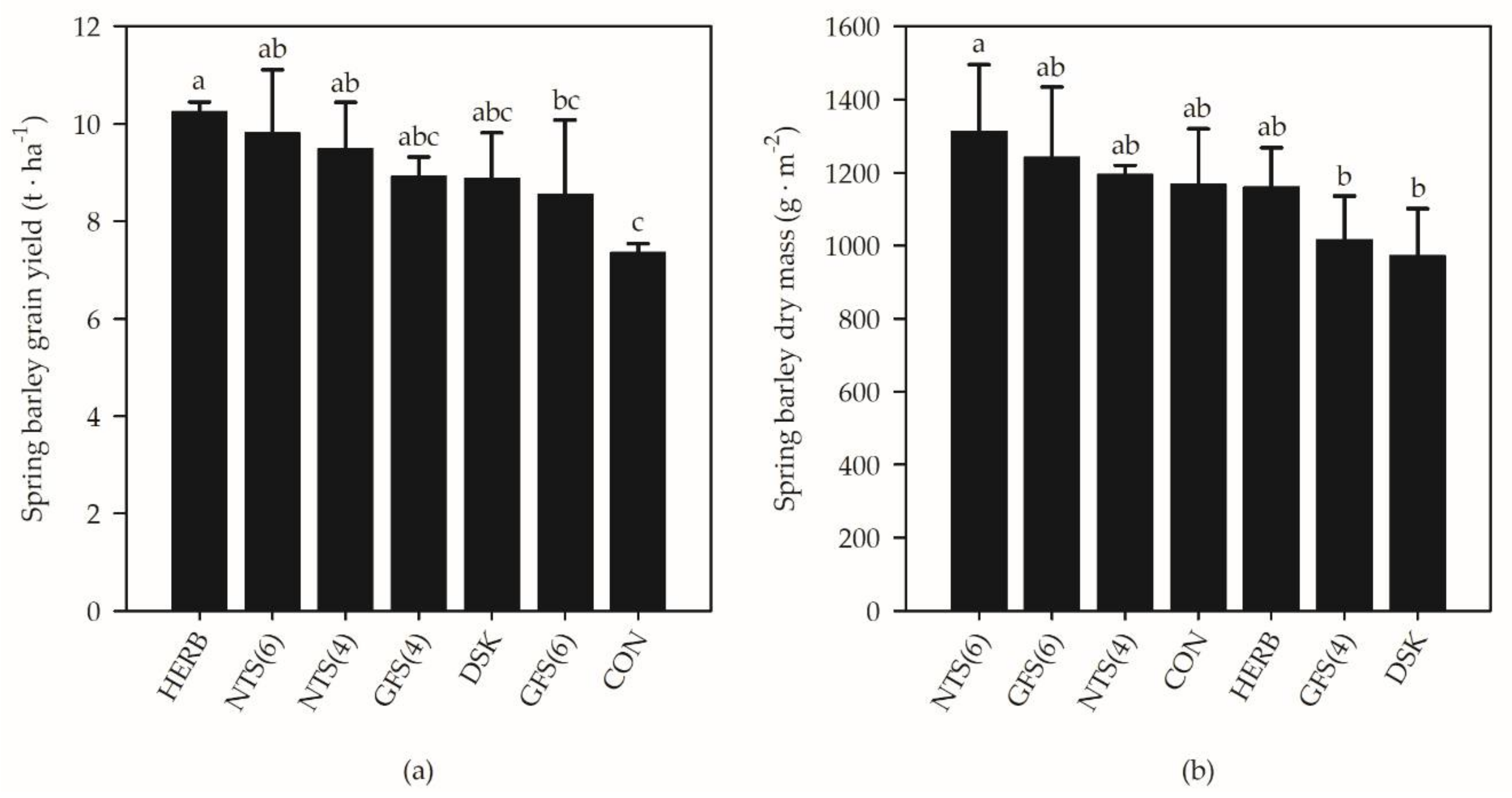
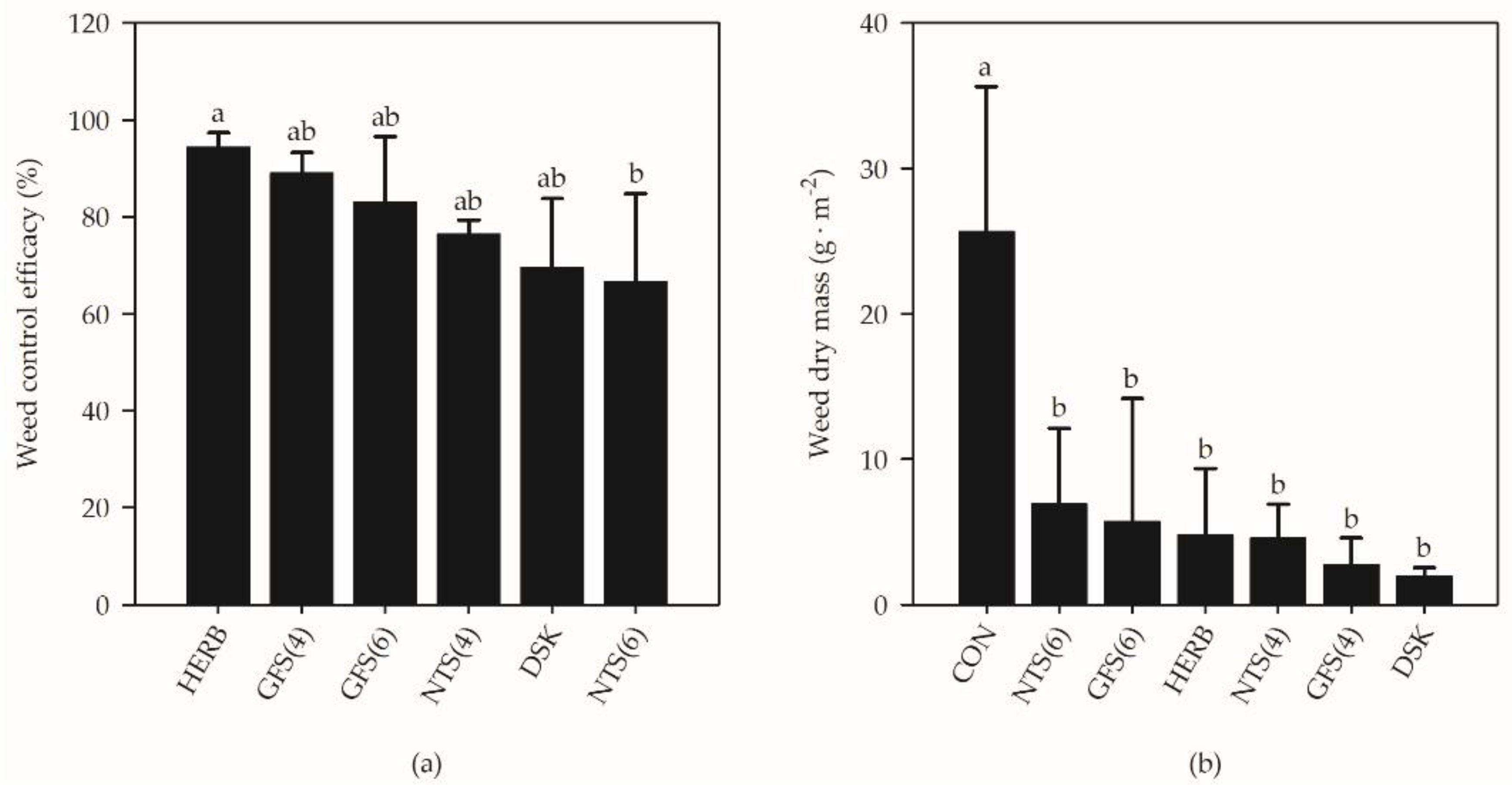
3.1. Results at Ihinger Hof
3.2. Results at Kleinhohenheim
4. Discussion
5. Conclusions
Acknowledgments
Author Contributions
Conflicts of Interest
Appendix A
| Treatment | Treatment Description | Driving Speed | Ihinger Hof | Kleinhohenheim |
|---|---|---|---|---|
| Untreated control | No weed plants removed | × | × | |
| Herbicide treatment | 49.5 g a.i. ha−1 pinoxaden + 5.5 g a.i. ha−1 florasulam (Axial komplett, Syngenta Agro GmbH, Ketsch, Germany), applied with plot sprayer | 2.5 km·h−1 | × | |
| Manual weeding | Manual weeding | × | ||
| Goosefoot sweep | ![]() | 4 km·h−1 and 6 km·h−1 | × | × |
| No-till sweep | ![]() | 4 km·h−1 and 6 km·h−1 | × | × |
| Down-cut side knife | ![]() | 4 km·h−1 | × | × |
| Location | Weed Species | Frequency (%) | Mean Density (Species·m−2) |
|---|---|---|---|
| Ihinger Hof | Chenopodium album L. | 78.4 | 19.1 |
| Convolvulus arvensis L. | 56.3 | 11.8 | |
| Polygonum convolvulus L. | 37.8 | 5.3 | |
| Thlaspi arvense L. | 31.6 | 7.1 | |
| Others 1 | 44.2 | 4.7 | |
| Kleinhohenheim | Thlaspi arvense L. | 92.9 | 26.5 |
| Galium aparine L. | 78.6 | 18.3 | |
| Lamium purpureum L. | 61.9 | 9.9 | |
| Matricaria inodora L. | 60.7 | 17.4 | |
| Sinapis arvensis L. | 52.4 | 11.1 | |
| Polygonum convolvulus L. | 41.7 | 5.9 | |
| Cirsium arvense L. | 28.6 | 6.4 | |
| Others 2 | 60.7 | 7.9 |
References
- Rasmussen, J. Testing Harrows for Mechanical Control of Annual Weeds in Agricultural Crops. Weed Res. 1992, 32, 267–274. [Google Scholar] [CrossRef]
- Terpstra, R.; Kouwenhoven, J.K. Inter-Row and Intra-Row Weed Control with a Hoe-Ridger. J. Agric. Eng. Res. 1981, 26, 127–134. [Google Scholar] [CrossRef]
- Tillett, N.D.; Hague, T. Computer-Vision-Based Hoe Guidance for Cereals—An Initial Trial. J. Agric. Eng. Res. 1999, 74, 225–236. [Google Scholar] [CrossRef]
- Melander, B.; Cirujeda, A.; Jørgensen, M.H. Effects of Inter-Row Hoeing and Fertilizer Placement on Weed Growth and Yield of Winter Wheat. Weed Res. 2003, 43, 428–438. [Google Scholar] [CrossRef]
- Boström, U.; Anderson, L.E.; Wallenhammar, A.C. Seed Distance in Relation to Row Distance: Effect on Grain Yield and Weed Biomass in Organically Grown Winter Wheat, Spring Wheat and Spring Oats. Field Crop. Res. 2012, 134, 144–152. [Google Scholar] [CrossRef]
- Fahad, S.; Hussain, S.; Chauhan, B.S.; Saud, S.; Wu, C.; Hassan, S.; Tanveer, M.; Jan, A.; Huang, J. Weed Growth and Crop Yield Loss in Wheat As Influenced by Row Spacing and Weed Emergence Times. Crop Prot. 2015, 71, 101–108. [Google Scholar] [CrossRef]
- Mohler, C.L. Enhancing the Competitive Ability of Crops. In Ecological Management of Agricultural Weeds; Cambridge University Press: Cambridge, UK, 2001; pp. 269–321. ISBN 9780511541810. [Google Scholar]
- Gallandt, E.R.; Weiner, J.; Gallandt, E.R.; Weiner, J. Crop-Weed Competition. In Els; John Wiley & Sons, Ltd.: Chichester, UK, 2015; pp. 1–9. ISBN 9780470015902. [Google Scholar]
- Kolb, L.N.; Gallandt, E.R.; Mallory, E.B. Impact of Spring Wheat Planting Density, Row Spacing, and Mechanical Weed Control on Yield, Grain Protein, and Economic Return in Maine. Weed Sci. 2012, 60, 244–253. [Google Scholar] [CrossRef]
- Tillett, N.D.; Hague, T. Increasing Work Rate in Vision Guided Precision Banded Operations. Biosyst. Eng. 2006, 94, 487–494. [Google Scholar] [CrossRef]
- Wiltshire, J.J.J.; Tillett, N.D.; Hague, T. Agronomic Evaluation of Precise Mechanical Hoeing And Chemical Weed Control in Sugar Beet. Weed Res. 2003, 43, 236–244. [Google Scholar] [CrossRef]
- Tillett, N.; Hague, T.; Garford, P.; Watts, P. Development of A Commercial Vision Guided Inter-Row Hoe: Achievements, Problems and Future Directions. In Proceedings of the 4th European Conference on Precision Agriculture, Berlin, Germany, 15–19 June 2003; ISBN 90-76998-21-3. [Google Scholar]
- Kunz, C.; Weber, J.; Gerhards, R. Benefits Of Precision Farming Technologies for Mechanical Weed Control in Soybean and Sugar Beet—Comparison of Precision Hoeing with Conventional Mechanical Weed Control. Agronomy 2015, 5, 130–142. [Google Scholar] [CrossRef]
- Kunz, C.; Weber, J.F.; Peteinatos, G.G.; Sökefeld, M.; Gerhards, R. Camera Steered Mechanical Weed Control In Sugar Beet, Maize And Soybean. Precis. Agric. 2017. [Google Scholar] [CrossRef]
- Home, M.C.W.; Tillett, N.D.; Hague, T.; Godwin, R.J. An Experimental Study of Lateral Positional Accuracy Achieved during Inter-Row Cultivation. In Proceedings of the 5th European Weed Research Society Workshop on Physical and Cultural Weed Control, Pisa, Italy, 11–13 March 2002; pp. 101–110. [Google Scholar]
- Lancashire, P.D.; Bleiholder, H.; Den Boom, T.V.; Langeluddeke, P.; Stauss, R.; Weber, E.; Witzenberger, A. A uniform decimal code for growth stages of crops and weeds. Ann. Appl. Biol. 1991, 119, 561–601. [Google Scholar] [CrossRef]
- Kouwenhoven, J.K.; Terpstra, R. Sorting Action of Tines and Tine-Like Tools in the Field. J. Agric. Eng. Res. 1979, 24, 95–113. [Google Scholar] [CrossRef]
- Mattsson, B.; Nylander, C.; Ascard, J. Comparison of Seven Inter-Row Weeders. In Proceedings of the 3rd International Conference IFOAM, Non-Chemical Weed Control, Linz, Austria, 1990; pp. 91–107. [Google Scholar]
- Bàrberi, P. Weed Management in Organic Agriculture: Are We Addressing The Right Issues? Weed Res. 2002, 42, 177–193. [Google Scholar] [CrossRef]
- Welsh, J.P.; Tillett, N.D.; Home, M.; King, J.A. A Review of Knowledge: Inter-Row Hoeing and Its Associated Agronomy in Organic Cereal and Pulse Crops. Res. Policy 2002, 15, 1–21. [Google Scholar]
- Bowman, G.; Outreach, S. Steelin The Field. A Farmer’s Guide to Weed Management Tools; Sustainable Agriculture Network Publications: Burlington, VT, USA, 2002; ISBN 188862602x. [Google Scholar]
- Nkoa, R.; Owen, M.D.K.; Swanton, C.J. Weed Abundance, Distribution, Diversity, and Community Analyses. Weed Sci. 2015, 63, 64–90. [Google Scholar] [CrossRef]
- Rasmussen, J. A Model For Prediction of Yield Response In Weed Harrowing. Weed Res. 1991, 31, 401–408. [Google Scholar] [CrossRef]
- Rasmussen, J.; Svenningsen, T. Selective Weed Harrowing in Cereals. Biol. Agric. Hortic. 1995, 12, 29–46. [Google Scholar] [CrossRef]
- Paarlberg, K.R.; Hanna, H.M.; Erbach, D.C.; Hartzler, R.G. Cultivator Design for Interrow Weed Control in No-Till Corn. Appl. Eng. Agric. 1998, 14, 353–361. [Google Scholar] [CrossRef]
- Zhang, X.; Chen, Y. Soil Disturbance and Cutting Forces of Four Different Sweeps for Mechanical Weeding. Soil Tillage Res. 2017, 168, 167–175. [Google Scholar] [CrossRef]
- Rasmussen, J. Yield response models for mechanical weed control by harrowing at early crop growth stages in peas (Pisum sativum L.). Weed Res. 1993, 33, 231–240. [Google Scholar] [CrossRef]
- Pullen, D.W.M.; Cowell, P.A. An Evaluation of The Performance of Mechanical Weeding Mechanisms for Use in High Speed Inter-Row Weeding of Arable Crops. J. Agric. Eng. Res. 1997, 67, 27–34. [Google Scholar] [CrossRef]
- Pérez-Ruiz, M.; Gonzalez-De-Santos, P.; Ribeiro, A.; Fernandez-Quintanilla, C.; Peruzzi, A.; Vieri, M.; Tomic, S.; Agüera, J. Highlights And Preliminary Results For Autonomous Crop Protection. Comput. Electron. Agric. 2015, 110, 150–161. [Google Scholar] [CrossRef]
- Hamdoun, A.M. Regenerative Capacity of Root Fragments of Cirsium arvense (L.) Scop. Weed Res. 1972, 12, 128–136. [Google Scholar] [CrossRef]
- Sciegienka, J.; Keren, E.; Menalled, F. Impact Of Root Fragment Dimension, Weight, Burial Depth, and Water Regime on Cirsium Arvense Emergence and Growth. Can. J. Plant Sci. 2011, 91, 1027–1036. [Google Scholar] [CrossRef]
- Donald, W.W. The Biology of Canada Thistle (Cirsium arvense). Rev. Weed Sci. 1994, 6, 77–101. [Google Scholar]
- Tiley, G.E.D. Biological Flora of The British Isles: Cirsium arvense (L.) Scop. J. Ecol. 2010, 98, 938–983. [Google Scholar] [CrossRef]
- Donald, W. Management and Control of Canada Thistle (Cirsium arvense). Weed Sci. Soc. Am. 1990, 5, 193–250. [Google Scholar]
- Melander, B.; Hartvig, P. Yield Responses of Weed-Free Seeded Onions [Allium Cepa (L.)] to Hoeing Close to The Row. Crop Prot. 1997, 16, 687–691. [Google Scholar] [CrossRef]
- Wilson, J.N. Guidance of Agricultural Vehicles—A Historical Perspective. Comput. Electron. Agric. 2000, 25, 3–9. [Google Scholar] [CrossRef]
- Zhang, N.; Wang, M.; Wang, N. Precision Agriculture—A Worldwide Overview. Comput. Electron. Agric. 2002, 36, 113–132. [Google Scholar] [CrossRef]
- Keicher, R.; Seufert, H. Automatic Guidance For Agricultural Vehicles in Europe. Comput. Electron. Agric. 2000, 25, 169–194. [Google Scholar] [CrossRef]
- Vincent, C.; Panneton, B.; Fleurat, F. Physical Control Methods In Plant Protection; Springer Science and Business Media: New York, NY, USA, 2001; ISBN 9783662045862. [Google Scholar]






| Ihinger Hof | Kleinhohenheim | |
|---|---|---|
| Row Width 150 mm | Row Width 125 mm | |
| Commercial blade width 160 mm | Adjusted blade width 100 mm | Adjusted blade width 80 mm |
![]() | ![]() | ![]() |
| Ihinger Hof | Kleinhohenheim | |
|---|---|---|
| Row Width 150 mm | Row Width 125 mm | |
| Commercial blade width 160 mm | Adjusted blade width 100 mm | Adjusted blade width 80 mm |
![]() | ![]() | ![]() |
| Ihinger Hof | Kleinhohenheim | |
|---|---|---|
| Row Width 150 mm | Row Width 125 mm | |
| Commercial blade width 200 mm | Adjusted blade width 90 mm | Adjusted blade width 70 mm |
![]() | ![]() | ![]() |
© 2018 by the authors. Licensee MDPI, Basel, Switzerland. This article is an open access article distributed under the terms and conditions of the Creative Commons Attribution (CC BY) license (http://creativecommons.org/licenses/by/4.0/).
Share and Cite
Machleb, J.; Kollenda, B.L.; Peteinatos, G.G.; Gerhards, R. Adjustment of Weed Hoeing to Narrowly Spaced Cereals. Agriculture 2018, 8, 54. https://doi.org/10.3390/agriculture8040054
Machleb J, Kollenda BL, Peteinatos GG, Gerhards R. Adjustment of Weed Hoeing to Narrowly Spaced Cereals. Agriculture. 2018; 8(4):54. https://doi.org/10.3390/agriculture8040054
Chicago/Turabian StyleMachleb, Jannis, Benjamin L. Kollenda, Gerassimos G. Peteinatos, and Roland Gerhards. 2018. "Adjustment of Weed Hoeing to Narrowly Spaced Cereals" Agriculture 8, no. 4: 54. https://doi.org/10.3390/agriculture8040054
APA StyleMachleb, J., Kollenda, B. L., Peteinatos, G. G., & Gerhards, R. (2018). Adjustment of Weed Hoeing to Narrowly Spaced Cereals. Agriculture, 8(4), 54. https://doi.org/10.3390/agriculture8040054












