Abstract
Weed hoeing can be successfully performed in wide row crops, such as sugar beet, maize, soybean and wide spaced cereals. However, little experience is available for hoeing in narrow cereal row spaces below 200 mm. Yet, mechanical weed control can pose an alternative to herbicide applications by reducing the herbicide resistant populations present in the field. In this experiment, it was investigated whether hoeing is feasible in cereals with 150 and 125 mm row spacings. The trial was set up at two locations (Ihinger Hof and Kleinhohenheim) in southwest Germany. Three different conventional hoeing sweeps, a goosefoot sweep, a no-till sweep and a down-cut side knife were adjusted to the small row widths, and hoeing was performed once with a tractor and a standard hoeing frame which was guided by a second human operator. The average grain yield, crop and weed biomass, and weed control efficacy of each treatment were recorded. The goosefoot and no-till sweep were tested at driving speeds of 4 and 6 km·h−1. The down-cut side knife was applied at 4 km·h−1. The results indicate that hoeing caused no yield decrease in comparison to a conventional herbicide application or manual weeding. The highest yield with a mechanical treatment was recorded for the no-till sweeps at both trial locations. Hoeing was performed successfully in narrowly spaced cereals of 150 and 125 mm, and the weed control efficacy of the mechanical treatments ranged from 50.9% at Kleinhohenheim to 89.1% at Ihinger Hof. Future experiments are going to focus on more distinct driving speeds ranging from 2 to 10 km·h−1 and performing more than one pass with the hoe. Additionally, combining the mechanical weeding tools with a camera-steered hoeing frame could increase accuracy, allow for higher working speeds and substitute the second human operator guiding the hoe.
1. Introduction
Mechanical weed control can be a successful tool for integrated pest management, in order to suppress herbicide resistant weeds. In cereals, a harrow is the most common tool for mechanical weed control of the inter- and intrarow spaces [1]. It can mainly target small weed seedlings which are uprooted or covered with soil by the metal tines. Larger weeds, perennial species and monocot weed species, in particular, are less affected by the harrowing. Due to these limitations, the interrow spaces between crop rows could be treated with more aggressive methods, such as hoeing [2,3,4]. Interrow hoeing is practiced in organic cereal farming, with row distances of at least 200 mm in Northern Europe. According to Boström et al. [5], doubling the row space from 120 mm to 240 mm, however, reduces grain yields in cereals by 12–16%. These findings are supported by Fahad et al. [6], who stated that narrow row spacings lead to an increase in yield compared to wide row spacings. Moreover, narrowly seeded cereals can better suppress weed infestation compared to wider sowing [7,8,9]. This emphasizes the need to develop new hoeing systems for narrowly spaced cereal systems [4]. Row widths below 200 mm demand adjusted weeding blades and steering technologies to fit into the narrow row spaces and to guide the blades between the crop rows [10]. Camera-steered systems are already available on the market for wide row crops, such as sugar beet, maize and soybeans [10,11,12,13,14]. Studies with vision-based hoe guidance have also been undertaken in wide cereal row spacings [3,10,12,15]. Yet, before adjusting sensor systems to narrow cereal rows, the impact of hoeing on crop yield, crop and weed biomass as well as on the weed control efficacy (WC) have to be investigated.
At two locations, three different cultivation sweeps were adjusted to row spacings of 150 and 125 mm, and spring barley and spring oats were tested at different driving speeds. The aim of this study was to assess grain yield, aboveground crop and weed biomass as well as the weed control efficacy for each tool. Untreated control plots, herbicide application and manual weed control served as references to the mechanical treatments.
2. Materials and Methods
2.1. Experimental Sites and Design
In 2017, two field trials were conducted at separate research locations of the University of Hohenheim in the southwest of Germany. The aim was to test the feasibility and performance of three different mechanical weeding tools in narrow row distances of 150 and 125 mm in spring cereals. The first location, Ihinger Hof (IHO, 48.74° N, 8.92° E), was a conventional farming system, situated near Renningen, at an altitude of 478 m above sea level. The second location was at the organically certified research site of Kleinhohenheim (KH, 48.73° N, 9.20° E) with an elevation of 400 m above sea level. The average annual rainfall for both research locations was similar with 690 mm (IHO) and 700 mm (KH). On both farms, the soil type was a loamy clay. The top 300 mm of soil was composed as follows: at IHO, there was 27.92% clay, 12.49% sand and 59.59% silt. At KH, the composition was 23.35% clay, 11.74% sand and 64.91% silt. Therefore, similar soil conditions existed at both locations. Due to the loam it was important to have dry conditions for the mechanical applications, otherwise no proper soil mixing effect would have been achieved.
The trials were set up as a randomized complete block design with four repetitions. The trial at IHO consisted of seven treatments. Treatments included an untreated control (CON), a single herbicide application (HERB) and five mechanical treatments, namely goosefoot sweeps at 4 km·h−1 (GFS(4)), goosefoot sweeps at 6 km·h−1 (GFS(6)), no-till sweeps at 4 km·h−1 (NTS(4)), no-till sweeps at 6 km·h−1 (NTS(6)) and down-cut side knives at 4 km·h−1 (DSK). A detailed treatment description can be found in Table A1. Spring barley (cv. “Planet”) was sown on 29 March 2017 with 300 viable seeds·m−2 at a row distance of 150 mm. Mechanical treatments were applied once at crop stage BBCH (Biologische Bundesanstalt, Bundessortenamt und CHemische Industrie) 14–15 [16]. The weed development ranged between the cotyledon stage and the four true leaf stage. The herbicide “Axial komplett” (45 g active ingredient (a.i.) L−1 pinoxaden + 5 g a.i. L−1 florasulam) was sprayed once with 1.1 L·ha−1 at crop stage BBCH 14 with a plot sprayer (Schachtner-Fahrzeug- und Gerätetechnik, Ludwigsburg, Germany) at 2.5 km·h−1 and a calibration to deliver 200 L·ha−1. The untreated control was left untreated for the entire growing season. The plot size at IHO was 3 m by 12 m. In order to reduce possible border effects, only the 10 center rows of each plot were harvested. At IHO, the hoe was mounted on a Fendt tractor (model 207) with 2 m wide tracks.
Similar to IHO, the experiment at KH consisted of seven treatments: untreated control (CON), manual weeding (MANW), GFS(4), GFS(6), NTS(4), NTS(6) and DSK. A detailed treatment description can be found in Table A1. Due to the organic farming system, the herbicide application had to be replaced by two times manual weeding at crop stages BBCH 17–18 and BBCH 30. Manual weeding was performed by walking along the tractor tracks in order to avoid crop plant damage. Weeds were pulled by hand from the soil without the use of a garden hoe. Therefore, soil disturbance was reduced to a minimum. The first manual weed removal at BBCH 17–18 was conducted at the same time as the application of the mechanical treatments and again at 1 week after the herbicide application which was performed at IHO (BBCH 14). Spring oats cv. “Max” was sown on 17 March 2017 with 350 viable seeds·m−2 and a row distance of 125 mm. Mechanical treatments were applied at crop stage BBCH 17–18. At KH, the weed plant size was between the first and fifth true leaf during the application of the mechanical treatments. The plot size was 1.5 m by 12 m. Again, the harvesting of grains was performed in the 10 center rows only to reduce possible border effects. The working width of the hoe was adjusted to the plot size of 1.5 m and a Fendt tractor (model GT 350) with 1.5 m wide tracks was used for hoeing at Kleinhohenheim.
2.2. Weeding Tool Description and Implementation
Mechanical weeding tools were taken from different areas of agriculture, like vegetable farming, and adjusted for cereal cultivation of conventional farms in Northern Europe where typical row spacings are 150 mm and 125 mm. As with all mechanical weeding tools, adjustment of the hoeing depth, forward travel speed and tool width are essential to avoid crop damage or unsatisfying weed control [2,17]. Lowering the sweeps too deep into the ground may create large lumps of soil in which weeds can continue to grow [18]. In order to avoid crop damage due to misalignment of the sweeps, they were adjusted to their respective row width outside of the experiment in separate plots at each location. These additional plots consisted of the same crop with the same row distance as the actual experiment. This ensured optimal results when hoeing inside the experimental plots and minimized the risk of destroying plots. Other factors influencing the weeding result are the type and moisture content of the soil [19]. Favorable conditions for hoeing, namely dry and sunny weather with loose topsoil, were awaited to ensure optimal results. Hoeing was performed once at BBCH 14–15 in spring barley and at BBCH 17–18 in spring oats with a standard hoeing frame (Argus, K.U.L.T. Kress Umweltschonende Landtechnik GmbH, Vaihingen an der Enz, Germany). The working width was set to 3 m and 1.5 m at IHO and KH, respectively. The frame was equipped with K.U.L.T. DUO-parallelograms, as depicted in Figure 1. One parallelogram treated two interrow spaces. The DUO-parallelograms were chosen because they meet the requirements of a delicate tool for narrow row spaces while providing sufficient stability for effective mechanical weed control. A consistent soil working depth was achieved by adjusting the wheel height of each parallelogram, and uniform soil pressure was applied with a spring on every parallelogram. The sweeps were mounted behind the parallelograms on rigid toolbars, which were adjustable to the different hoeing widths at IHO and KH.
Figure 1.
Overview of the parallelogram system: two K.U.L.T. DUO-parallelograms with no-till sweeps for 150 mm row spacing.
None of the sweeps on the market are small enough to enable hoeing in small row spaces. Hence, for each sweep, a specific amount of blade width was removed either on both sides (e.g., GFS and NTS) or in the case of DSK, on one side only. Cutting was performed with an angle grinder in a straight line from the front until the back of the blades. The cutting edges were smoothed and sharpened to ensure good soil penetration. Figure 2 depicts the three sweep types used in this study. GFS and NTS were centered inside the interrow area, leaving a safety margin of >20 mm from the crop plants on each side. Both DSK were placed with the vertical knife as close to the crop as possible, leaving a 20 mm safety margin from the crop plants on the left and right sides. After the successful adjustment of each tool, the field application was performed. The hoe was manually steered by a second human operator riding in the back of the tractor aligning the frame with the crop rows.
Figure 2.
Group image of the three cultivation sweeps used in this study. From left to right: goosefoot sweep, no-till sweep and down-cut side knife. The depicted sweeps were adjusted to a row spacing of 150 mm.
2.2.1. Goosefoot Sweeps
Goosefoot sweeps are a common type of interrow weeding tool. The suggested working depth is between 20 to 30 mm. The commercial GFS were 160 mm in width. A safety margin of minimum 20 mm towards the cereal row on each blade side was taken into account to prevent crop damage. Cutting away 30 mm on each side resulted in a goosefoot sweep-width of 100 mm for the 150 mm row spacing in spring barley. For the smaller row spacing of 125 mm, a GFS-width of 80 mm remained. A visualization of the amount of sweep width taken away can be found in Table 1. The angle of the original sweeps or other features were not altered. The goosefoot sweeps are concave with a 20° drop-off, referred to as the sweep angle [20]), from the center to the outer points of the blade edges. They have a high “crown” with a moderate “shoulder” [21]. While traveling forward in the soil, the arched shape of the GFS leads to increased turbulences of soil particles. This causes the soil to be thrown sideways even at slower speeds when compared to other sweep types. The working depth of each goosefoot sweep was set to 20 mm. The rake angle is defined as the angle of the sweep in relation to the horizontal ground [20]. It can be altered by adjusting the angle of the hoeing frame and was set to 5° for the GFS in order to allow for good soil penetration. One goosefoot sweep per interrow space was mounted onto the hoe. The GFS were tested at tractor driving speeds of 4 and 6 km·h−1.
Table 1.
Top view of the commercial and adjusted goosefoot sweeps with the narrow row widths of 150 and 125 mm at Ihinger Hof and Kleinhohenheim, respectively. Hatched lines symbolize the area cut off from the commercial 160 mm wide goosefoot sweep. The plants to the left and right of the sweeps symbolize cereal rows.
2.2.2. No-Till Sweeps
In contrast to the goosefoot sweeps, the no-till sweeps have a flat shape, without any angle of elevation (see Table 2 and Figure 2 for a direct comparison). Therefore, their sweep angle can be defined as 0°. Their crown is flat with low shoulders [21]. NTS work, similar to GFS, in the center of the interrow space. However, less soil is disturbed compared to the GFS; tall weeds can be cut, and small weeds are uprooted. Due to their flat shape, the soil-burial effect is less than with GFS. Thus, a NTS moves less soil towards the crop row than a GFS with the same dimensions, working at the same driving speed. The NTS were also cut to widths of 100 mm (150 mm row spacing) and 80 mm (125 mm row spacing). It was seen as necessary to test both designs, GFS and NTS, for a comparison of their effects on grain yield, crop and weed biomass as well as on the weed control efficacy. Again, one NTS was mounted per interrow space. The working depth was adjusted to 20 mm and the tractor driving speeds were 4 and 6 km·h−1. Again, a rake angle of 5° was anticipated to ensure soil penetration without scrubbing of the sweeps over the soil surface.
Table 2.
Top view of the commercial and the adjusted no-till sweeps to the narrow row widths of 150 and 125 mm at Ihinger Hof and Kleinhohenheim, respectively. Hatched lines symbolize the area cut off from the commercial 160 mm wide no-till sweep. The plants left and right of the sweeps symbolize cereal rows.
2.2.3. Down-Cut Side Knives
The down-cut side knife originally stems from vegetable cultivation systems. It consists of a blade with a 90° bend which ends in a knife-like blade cutting through the soil horizontally. Therefore, DSK have a blade sweep angle of 0°, similar to the principle of NTS. However, a rake angle of 5° had to be applied because otherwise, the DSK would not have penetrated the soil at IHO and KH. The vertical part of the blade, which is above ground, was placed near the crop row, moving parallel to the row, in the region between the inter- and intrarow space. Its main purpose is to precut the dead plant matter that is crossing the blades’ path. Due to this design, no soil is moved into the intrarow space of the crop rows. Since each DSK consists of only one vertical blade, two are needed to cover each row. The side knives were cut to 90 mm (150 mm row spacing) and 70 mm (125 mm row spacing) in width. A detailed view of the DSK is depicted in Table 3. The first DSK was placed with the vertical part on the right border between the inter- and intrarow area in the direction of movement. Thus, the blade of the DSK was left-oriented and moved over the majority of the interrow space. The second DSK can be presented as a symmetrical mirror image of the first one. The vertical part was placed on the left border between the inter- and intrarow area and the knife blade was respectively right-oriented. The two blades of the side knives had 33% and 43% overlap in the middle of the interrow space, for the row distances of 150 mm and 125 mm, respectively. The working depth for the DSK was also set to 20 mm.
Table 3.
Side view of the commercial down-cut side knife and top view of the down-cut side knives adjusted to the narrow row widths of 150 and 125 mm at Ihinger Hof and Kleinhohenheim, respectively. Hatched lines (here only shown for the 125 mm row width) indicate the blade length that was cut off from the commercial knife blade to fit the side knives between the cereal rows. The plants left and right of the side knives symbolize cereal rows.
2.3. Data Collection
At both research locations, weed plants per m2 were counted for each plot three days prior to hoeing and the herbicide application. Three days after hoeing, weed plants were counted again for the mechanical treatments at IHO and KH. After a waiting period of three weeks, weed plants were also counted for the herbicide treatment at IHO. Weed counts were made with a quadrat of 1/9 m2, and 5 samples were collected per plot. An above ground biomass cut of 1 m2 was performed at BBCH 51 in the spring barley and the spring oats. The plant matter was separated into weed and crop plants. The fresh crop weight was measured shortly after taking the biomass cuts (data not shown). The plant material was then placed in a drying chamber for 48 h at 80 °C. After the drying process, the dry masses of the crop and weed plants were weighed and recorded for each plot. In order to assess the grain yield (t·ha−1), only the ten center rows of each plot were harvested. The harvest was performed with two plot combine harvesters. The plots at IHO were harvested on 4 August 2017 with a “Zürn” combine harvester. At KH, the harvest of the oat grains took place on 1 August 2017 with a “Wintersteiger” combine harvester.
2.4. Data Analysis
The data were analyzed with the R Studio software (Version 1.0.136, RStudio Team, Boston, MA, USA). Prior to the analysis, the data was tested for homogeneity of variance and normal distribution of the residues. An analysis of variance (ANOVA) was performed, and the means of every observation were compared with Duncan’s multiple range test at α ≤ 0.05. The model used was the following:
where Yijk is the result (e.g., grain yield) of treatment i at the driving speed j at block k. µ is the general mean, ai is the yield attributed to treatment i, bj is the effect of speed j, (ab)ij is the effect of the interaction between treatment i and speed j, while bk is the block effect of block k, while eijk is the residual error of that specific plot.
The weed frequency (%) and weed density (weeds·m−2) were calculated in accordance with Nkoa et al. [22] as:
The weed control efficacy (WC) was calculated in accordance with Rasmussen [23] as:
where ds is the weed density (weeds·m−2) after application of the treatments and du is the weed density (weeds·m−2) in unweeded control plots.
3. Results
3.1. Results at Ihinger Hof
Spring barley yields were higher in the treatments with mechanical weeding compared to the untreated control (Figure 3a). The highest spring barley grain yield of 9.8 t·ha−1 within the mechanical treatments was recorded with the NTS at a 6 km·h−1 driving speed. The NTS application at 4 km·h−1 also resulted in higher yields than hoeing with GFS or DSK. The average yield of the untreated control plots was 7.4 t·ha−1, which is still a relatively high grain yield for spring barley. The herbicide treatment reached an average yield of 10.3 t·ha−1. The treatments NTS(4), NTS(6) and the herbicide application showed significant differences compared to the untreated control. The lowest yield of 8.6 t·ha−1 for the mechanical treatments was obtained with GFS at 6 km·h−1. Reducing the tractor driving speed to 4 km·h−1 resulted in a crop yield of 9.5 t·ha−1 for the NTS and 8.9 t·ha−1 for the GFS treatment. However, the data analysis did not show any significant interaction between treatment and speed, because the differences between each driving speed were only minor. Therefore, no significant grain yield differences could be observed between GFS at 4 and 6 km·h−1 and NTS at 4 and 6 km·h−1. From each plot, grain samples were taken and their moisture contents measured. Averaged over all treatments, the dry substance content of the spring barley was 84.6%. Thus, no significant differences were observed between the treatments concerning grain moisture content. The spring barley dry mass was the highest for the NTS(6) and the lowest for the DSK treatment (Figure 3b). The untreated control gained average dry mass yields similar to those of NTS(4) and the herbicide application.
Figure 3.
(a) Spring barley grain yield; (b) spring barley dry mass recorded at Ihinger Hof in 2017. Means with the same letter are not significantly different according to Duncan’s multiple range test at α ≤ 0.05. CON = untreated control, HERB = herbicide application, GFS(4) = goosefoot sweeps 4 km·h−1, GFS(6) = goosefoot sweeps 6 km·h−1, NTS(4) = no-till sweeps 4 km·h−1, NTS(6) = no-till sweeps 6 km·h−1, DSK = down-cut side knife 4 km·h−1.
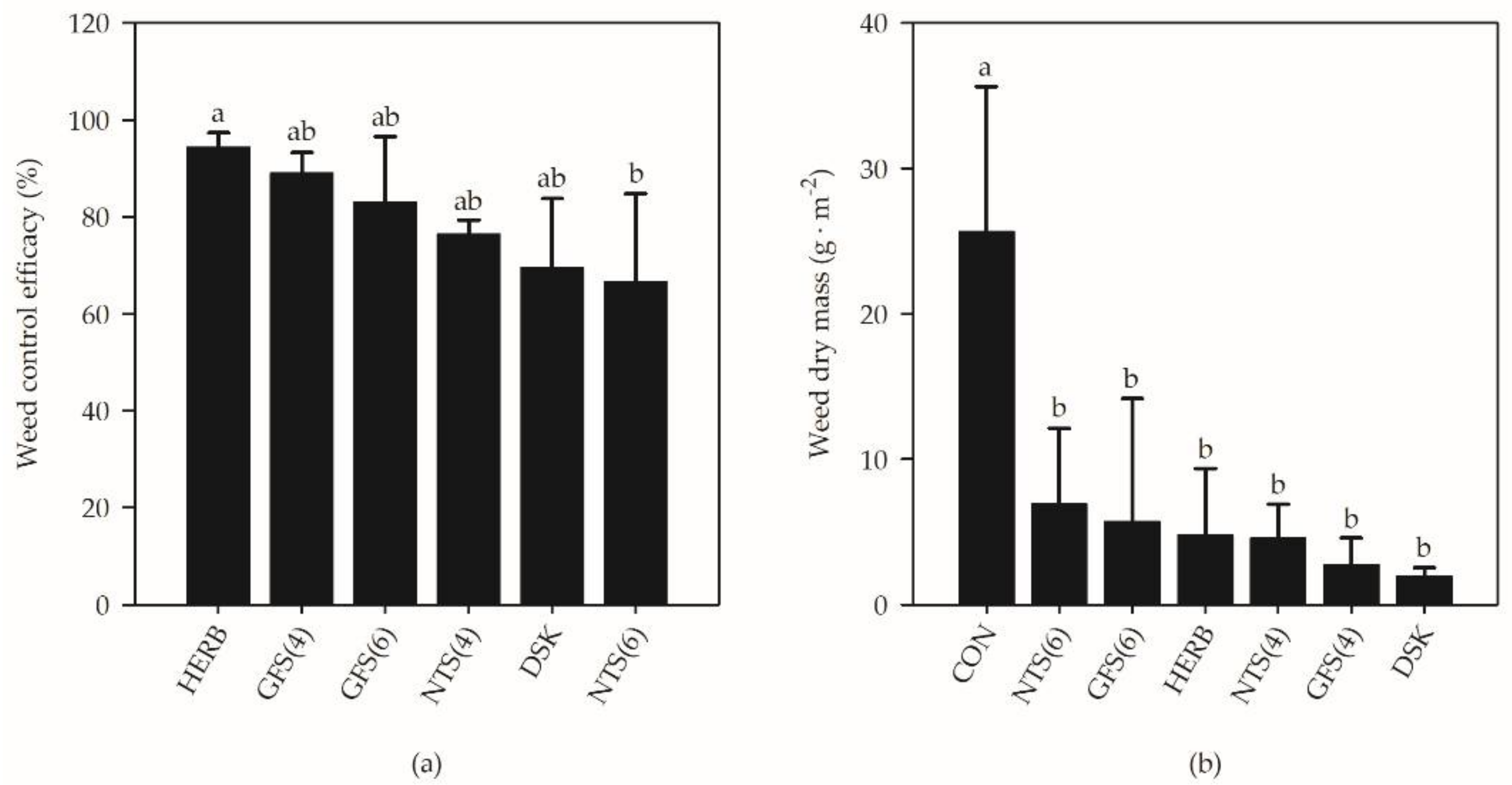
The weed species composition at IHO showed that no monocot weeds were present during this study (Appendix Table A2). However, dicot weed species, such as Chenopodium album L. and Convolvulus arvensis L., were typical for spring cereal cropping systems. All treatments obtained significant weed reduction compared to the untreated control (Figure 4a). The untreated control showed a 68.8% increase in weed plants (data not shown). Among the mechanical treatments, no significant differences were observed concerning the weed control efficacy. However, the weed control efficacy of NTS(6) was the lowest (66.8%) and GFS(4) displayed the highest (89.1%) weed control efficacy. The largest decrease of weeds was achieved in the plots treated with the herbicide, with a weed control efficacy of 94.4% on average. The statistical analysis only showed significant differences of the herbicide treatment compared to the NTS(6) treatment. There was no interaction between treatment and speed for GFS and NTS at 4 and 6 km·h−1. Despite no interaction between treatment and speed, treatments with GFS(4) showed a weed control efficacy of 89.1%, and hoeing with GFS(6) led to 83.2% weed control efficacy. The no-till sweeps produced weed control efficacies of 76.5% (NTS(4)) and 66.8% (NTS(6)). The weed dry matter was significantly lower for all treatments compared to the untreated control (Figure 4b). Inside the untreated control, the weed dry mass was, on average, 25.7 g·m−2. All mechanical treatments recorded significantly less dry weed mass. However, none of the mechanical treatments was different from each other. The lowest dry matter data was measured in the GFS(4) and DSK treatments with 2.7 and 2.0 g·m−2, respectively. The weed dry matter of the untreated control was more than twelve times higher than the mechanical treatment with DSK. Plots treated with an herbicide produced, on average, 4.8 g·m2 of dry weed matter.
Figure 4.
(a) Mean weed control efficacy in spring barley; (b) weed dry mass in spring barley recorded at Ihinger Hof in 2017. Means with the same letter are not significantly different according to Duncan’s multiple range test at α ≤ 0.05. CON = untreated control, HERB = herbicide application, GFS(4) = goosefoot sweeps 4 km·h−1, GFS(6) = goosefoot sweeps 6 km·h−1, NTS(4) = no-till sweeps 4 km·h−1, NTS(6) = no-till sweeps 6 km·h−1, DSK = down-cut side knife 4 km·h−1.
3.2. Results at Kleinhohenheim
Compared to the unweeded plots, significant differences in the spring oats grain yield were measured for all treatments except hoeing with GFS(6). The average grain yield of the untreated control was 7.5 t·ha−1 (Figure 5a). All other treatments had a higher average grain yield. No significant interactions existed between treatment and speed when both driving speeds of 4 and 6 km·h−1 were tested. The highest yield (10.2 t·ha−1) was achieved with NTS(4). At a tractor driving speed of 6 km·h−1, the yield for the NTS treatment was lower, with an average of 9 t·ha−1. Treatments GFS(4) and DSK showed similar high results of 9.5 and 9.2 t·ha−1, respectively. Manual weed removal recorded an average grain yield of 9.7 t·ha−1. The proportion of grain dry weight was similar for all treatments, with an average of 88.7%. Similarly to the results at Ihinger Hof, there were no significant statistical differences among treatments concerning the dry crop biomass of all treatments (Figure 5b). The average crop dry weights for all treatments ranged from 2100 g·m−2 (NTS(6)) to 1927 g·m−2 (NTS(4)).
Figure 5.
(a) Spring oats grain yield; (b) spring oats dry mass recorded at Kleinhohenheim in 2017. Means with the same letter are not statistically different according to Duncan’s multiple range test at α ≤ 0.05. CON = untreated control, MANW = manual weeding, GFS(4) = goosefoot sweeps 4 km·h−1, GFS(6) = goosefoot sweeps 6 km·h−1, NTS(4) = no-till sweeps 4 km·h−1, NTS(6) = no-till sweeps 6 km·h−1, DSK = down-cut side knife 4 km·h−1.
The weed species composition at KH was different from IHO, but again, it was noticed that no monocot weed species were present (Appendix Table A2). All mechanical treatments were able to reduce the weed density to a statistical significant extent (Figure 6a). The untreated control showed an increase in weed plants between the measurements of up to 52.7% (data not shown). Manual weeding almost removed all of the weeds with a weed control efficacy of 96.9%. The average weed control efficacies of GFS(4), GFS(6) and NTS(6) was 38.6, 50.9 and 47.7% respectively. With 34.3%, hoeing with no-till sweeps at 4 km h−1 recorded the lowest weed control efficacy. Inside the untreated control, an average weed dry mass of 34.4 g·m−2 was measured (Figure 6b). Despite having the highest weed control efficacy at Kleinhohenheim, GFS(6) recorded a higher weed dry mass (17.0 g·m−2) than the other hoeing treatments. The lowest weed dry mass was measured in the manually weeded plots. The treatments NTS(4), GFS(4) and DSK had similar low dry masses of 10.7, 9.3 and 8.7 g·m−2, respectively.
Figure 6.
(a) Mean weed control efficacy in spring oats; (b) weed dry mass in spring oats recorded at Kleinhohenheim in 2017. Means with the same letter are not statistically different according to Duncan’s multiple range test at α ≤ 0.05. CON = untreated control, MANW = manual weeding, GFS(4) = goosefoot sweeps 4 km·h−1, GFS(6) = goosefoot sweeps 6 km·h−1, NTS(4) = no-till sweeps 4 km·h−1, NTS(6) = no-till sweeps 6 km·h−1, DSK = down-cut side knife 4 km·h−1.
4. Discussion
Hoeing with different sweep types in narrow cereal rows did not decrease grain yields in this experiment. These findings agree with Rasmussen and Svenningsen [24] who found that hoeing combined with harrowing did not negatively influence cereal crop yield. However, no effect of interaction between driving speed and treatment on the yield results was found in the present study. Melander et al. [4] reported that hoeing with goosefoot sweeps at different driving speeds had no significant effect on winter wheat yields in 240 mm wide row spacing. Paarlberg et al. [25] investigated different cultivation systems in maize, including mechanical weeding. The authors concluded that the hoeing blade style had less distinct effects on yield. Yields were positively influenced by the flat shaped cultivators, similar to the no-till sweeps used in the present experiment. The findings at IHO and KH confirm the tendency that NTS leads to higher grain yields than the other sweep types. Possibly due to limited soil movement into the row, crop plants are less influenced by NTS as they are with GFS at the same speed. This could be especially important for small crop plants, such as cereals. Even though none of the cereal plants in our study were covered by soil, it was observed that goosefoot sweeps moved more soil into the row. The no-till sweeps penetrated the soil well, but due to their flat shape, the soil was neither mixed, nor moved as much, compared to goosefoot sweeps. The same principle applied for hoeing with DSK, due to their flat blade which only cuts through the soil instead of mixing it and the protective vertical blade on one side. The effect of additional soil movement into the intrarow space has to be investigated in further studies. Information about this effect could be obtained by measuring the height of the ridge that is formed by transporting soil into the crop rows [26]. The yield results in summer barley were exceptionally high for the untreated control, and weeds did not compete with the crop plants, as expected. Much lower yield results for the untreated control were also anticipated at KH. Future experiments could benefit from evenly sowing artificial weeds, such as Brassica napus L. or Sinapis alba L., as has been done in other studies concerned with mechanical weeding [4,9,27,28,29]. An increase in weed density could help to accentuate possible effects of different mechanical weeding tools and should be considered. However, sowing of artificial weeds also poses the risk of misjudging the effect of a treatment on a particular weed species. In order to assess the impact of artificial weeds on research results, separate field trials with different densities of artificially sown weeds should be performed. At the moment, it is most important to acknowledge the positive effects of hoeing on grain yields and that narrow row distances are not a limiting factor. Furthermore, even if weed densities are low, mechanical treatments must be carried out to prevent an increase in the weed seed bank and weed dispersal [24]. Furthermore, mechanical cultivation can reduce the use of herbicides and the potential herbicide resistance.
Findings from Melander et al. [4] demonstrated that crop biomass is not significantly affected by intrarow hoeing. Similar results were obtained with the dry weight of the aboveground crop biomass in the current experiment. No significant differences were obtained in the 150 and 125 mm seeded cereals between all treatments compared to the herbicide application and manual weeding. During the experiments, apparent crop damage was not observed. Mechanical weeding did not disrupt plant growth by destroying or uprooting entire barley or oat plants, which could lead to decreased crop biomass. The adjustment of the sweeps to the row widths outside of the experiment in additional trial plots was successful in ensuring optimal hoeing results. The dry crop biomass was not decreased to an extent where hoeing in row spaces of 150 mm and 125 mm would pose an obvious risk for the farmer.
The weed control efficacies of the mechanical treatments ranged from 66.8% to 89.1% at IHO. At KH, hoeing resulted in weed control efficacies of 34.3% to 50.9%. The lower weed control efficacy at KH may be due to the contrasting experimental sites and an overall higher weed count at KH. Goosefoot sweeps resulted in the highest weed control efficacies at IHO and KH. Hoeing with NTS or DSK resulted in lower weed control efficacies, possibly due to less soil being moved into the intrarow space. However, the total weed biomass was reduced effectively at both trial locations by all mechanical treatments. During the experiments, it was observed that the two weed species, Convolvulus arvensis L. and Cirsium arvense L., were able to regenerate lost plant parts that were cut off during the process of hoeing within 14 days. Therefore, these species pose a great risk concerning effective mechanical weed control, and special attention should be directed towards them throughout the year with suitable farm management strategies. The regenerative ability of C. arvense has been addressed by several studies [30,31,32]. One approach suggests the cutting of C. arvense below the soil surface with goosefoot sweeps [33,34] to prevent larger root parts from dispersing across the field. During harvest, single C. arvensis plants had overgrown the spring barley at IHO and became a harvest issue because the plants got tangled up inside the header of the plot combine harvester. It is therefore strongly suggested that more than one pass with the hoe is performed at the previously suggested hoeing depth of 20 to 30 mm if weed species such as C. arvensis and C. arvense are present inside the field.
Especially in crops with narrow row spaces, manual steering of a hoe over a long period of time can be tiresome. Crop yields can be decreased due to steering mistakes during the application of mechanical weed control treatments and must be avoided [15]. Therefore, accurate steering of the implements along crop rows is important [35]. In the present study it has been shown that hoeing in narrowly spaced cereals is not an issue, and the development of an automatic steering system for these farming conditions seems feasible and is encouraged. The system should have a vision control, composed of a stereo camera to monitor crop rows in front of the hoe. The data provided by the camera can be used to control a hydraulic side shifting frame which follows and adjusts to the crop rows where necessary. A side shifting capability of ±200 mm to the left and right would suffice. For effective weed control, the system should be capable of recognizing cereal rows as early as BBCH 13. The precision of the hoe would be increased, and hoeing could be performed closely to the crop plants. It would also relieve the tractor driver and reduce the risk of crop damage due to steering mistakes of the implement. Furthermore, higher driving speeds can be realized with a camera steered hoe, and more field area can be treated within the same time span [13,15,36]. Additionally, the hoe should be equipped with light emitting diode (LED) spotlights in order to perform weeding during the nighttime. Combining a camera steered system with RTK-GPS (real time kinematics global positioning system) would further increase accuracy and could improve the weeding result. Today, RTK-GPS already has sub-centimeter accuracy [37,38]. Together with a camera-guided hoeing frame, the results for the farmer would mean great improvement concerning the area that could be covered by mechanical weeding compared to manual steering of the hoe.
Pullen & Cowell [28] investigated the interrow performance of different mechanical tools. The authors concluded that a down-cut side knife is the most promising and simplest tool for high-speed hoeing. The present study partially agrees. Pullen & Cowell [28] performed mechanical treatments at much higher driving speeds (up to 11 km·h−1). We agree that DSK-type sweeps can be a good choice for such conditions and may have a high soil mixing effect and a satisfying weed control efficacy, while protecting the crop plants from excess soil coverage. However, while the DSK reached a similar high, but not the highest, yield result as other mechanical treatments, a few disadvantages were observed in the present study. Firstly, two sweeps instead of one are required for hoeing inside the interrow area (Table 3). From a practical perspective, adjusting two implements per interrow area is more time consuming and more complicated than using a single implement, as in, for example, goosefoot or no-till sweeps. Due to the constricted space in the 125 mm row spacing, placement of two side knives between rows was difficult to achieve, because both knives were on one parallelogram and had to fit next to each other in the confined space of the hoeing frame. Side by side mounting was only achieved with difficulty, and a frame with parallelograms placed in offset to each other is recommended for future experiments to avoid space issues when working with sweeps such as side knives in narrow row widths. The second, yet seemingly obvious disadvantage, is that side knives do not carry any soil into the row due to the vertical knife acting as protection for the crop plants [21]. Thus, small weed plants which may have been covered by soil with goosefoot or no-still sweeps inside the crop row are spared and can continue competing with crop plants for space, nutrients and water. Finger weeders, used in maize or sugar beets, are not an option for narrow cereal rows because the neighboring crop rows get tangled up in the finger weeders. A third problem that was encountered were crop residues, which the DSK did not always cut through. This led to clogging of soil and plant matter at the 90° bend of the vertical and horizontal knife. Cleaning the knives between each hoe pass was time-consuming, because the second human operator had to dismount from the hoe. Additionally, the shape of the DSK was not optimal for hoeing in grass-like crops, such as cereals. It was observed that single oat and barley leaves could be cut off at the leaf tip due to the down-cut shape of the knives. Even though this occurred only in a few cases and the biomass cuts did not show a reduction of dry mass for the DSK treatment, this could be an issue. Especially in young growth stages, this may lead to negative effects on plant development and yield. Furthermore, mechanical damage to leaves and other plant parts enables pathogens to enter the plants easily and must be avoided.
5. Conclusions
Hoeing in narrowly spaced cereals has been successfully performed. Further investigations have to show if hoeing with side knives remains a feasible option compared to other sweep types, such as goosefoot and no-till sweeps. Unfortunately, only limited numbers of studies exist which have investigated the effects of different hoeing blade shapes. Future experiments will examine the necessary speed and sweep shape and size (width and length) to achieve optimal yield results and a satisfactory weed control efficacy. A tendency for no-till sweeps to lead to higher average yields than goosefoot sweeps and down-cut side knives was observed. However, goosefoot sweeps generally measured higher weed control efficacies than other mechanical treatments. If there is an effect of driving speed, it has to be investigated by applying a range of speed intensities. Field trials are going to be continued with the presented sweep types at different tractor driving speeds ranging from “slow” (2 km·h−1) to “fast” (10 km·h−1) in future studies. The effect of multiple hoe passes at different speeds on grain yield, crop biomass and weed control efficacy in narrowly spaced cereals has to be clarified further. The current results suggest that performing consecutive hoe passes could be beneficial in order to achieve higher weed control efficacy, especially for perennial weeds such as Convolvulus arvensis L. and Cirsium arvense L. Combining the adjusted tools with a camera-based vision system for row recognition and a hydraulically controlled side-shifting frame would facilitate the hoeing process further. A camera-based system might also allow for a smaller safety distance of the sweeps towards the crop rows and would thereby increase the mechanically treated area of the field.
Acknowledgments
The authors would like to thank Sebastian Bökle and Aline Huber for their support during the field experiments at Ihinger Hof. We are also grateful for the assistance of K.U.L.T. Kress Umweltschonende Landtechnik GmbH, Vaihingen an der Enz, Germany and their provision of technical equipment. This project was funded by the German Federal Ministry of Food and Agriculture.
Author Contributions
All authors contributed extensively to this work. Jannis Machleb and Benjamin L. Kollenda organized the execution of the experimental setup, analyzed the data, evaluated the results and drafted the manuscript. Gerassimos G. Peteinatos helped in the data analysis and participated in the draft of the manuscript and its revisions. Roland Gerhards helped in designing the experiment, the drafting and revision of the paper.
Conflicts of Interest
The authors declare no conflict of interest.
Appendix A
Table A1.
Overview of the treatments at Ihinger Hof and Kleinhohenheim in 2017.
Table A1.
Overview of the treatments at Ihinger Hof and Kleinhohenheim in 2017.
| Treatment | Treatment Description | Driving Speed | Ihinger Hof | Kleinhohenheim |
|---|---|---|---|---|
| Untreated control | No weed plants removed | × | × | |
| Herbicide treatment | 49.5 g a.i. ha−1 pinoxaden + 5.5 g a.i. ha−1 florasulam (Axial komplett, Syngenta Agro GmbH, Ketsch, Germany), applied with plot sprayer | 2.5 km·h−1 | × | |
| Manual weeding | Manual weeding | × | ||
| Goosefoot sweep | ![]() | 4 km·h−1 and 6 km·h−1 | × | × |
| No-till sweep | ![]() | 4 km·h−1 and 6 km·h−1 | × | × |
| Down-cut side knife | ![]() | 4 km·h−1 | × | × |
Naming of the hoeing implements has been done according to [7,21,39] and personal correspondence with the manufacturer of the implements (K.U.L.T., Vaihingen a. d. Enz). Checks (×) indicate the application of the respective treatment.
Table A2.
Weed composition at the two research locations Ihinger Hof and Kleinhohenheim in 2017.
Table A2.
Weed composition at the two research locations Ihinger Hof and Kleinhohenheim in 2017.
| Location | Weed Species | Frequency (%) | Mean Density (Species·m−2) |
|---|---|---|---|
| Ihinger Hof | Chenopodium album L. | 78.4 | 19.1 |
| Convolvulus arvensis L. | 56.3 | 11.8 | |
| Polygonum convolvulus L. | 37.8 | 5.3 | |
| Thlaspi arvense L. | 31.6 | 7.1 | |
| Others 1 | 44.2 | 4.7 | |
| Kleinhohenheim | Thlaspi arvense L. | 92.9 | 26.5 |
| Galium aparine L. | 78.6 | 18.3 | |
| Lamium purpureum L. | 61.9 | 9.9 | |
| Matricaria inodora L. | 60.7 | 17.4 | |
| Sinapis arvensis L. | 52.4 | 11.1 | |
| Polygonum convolvulus L. | 41.7 | 5.9 | |
| Cirsium arvense L. | 28.6 | 6.4 | |
| Others 2 | 60.7 | 7.9 |
1 Cirsium arvense L., Veronica persica L., and Stellaria media L. 2 Capsella bursa-pastoris L., Chenopodium album L., Persicaria maculosa L., Stellaria media L. and Sonchus arvensis L.
References
- Rasmussen, J. Testing Harrows for Mechanical Control of Annual Weeds in Agricultural Crops. Weed Res. 1992, 32, 267–274. [Google Scholar] [CrossRef]
- Terpstra, R.; Kouwenhoven, J.K. Inter-Row and Intra-Row Weed Control with a Hoe-Ridger. J. Agric. Eng. Res. 1981, 26, 127–134. [Google Scholar] [CrossRef]
- Tillett, N.D.; Hague, T. Computer-Vision-Based Hoe Guidance for Cereals—An Initial Trial. J. Agric. Eng. Res. 1999, 74, 225–236. [Google Scholar] [CrossRef]
- Melander, B.; Cirujeda, A.; Jørgensen, M.H. Effects of Inter-Row Hoeing and Fertilizer Placement on Weed Growth and Yield of Winter Wheat. Weed Res. 2003, 43, 428–438. [Google Scholar] [CrossRef]
- Boström, U.; Anderson, L.E.; Wallenhammar, A.C. Seed Distance in Relation to Row Distance: Effect on Grain Yield and Weed Biomass in Organically Grown Winter Wheat, Spring Wheat and Spring Oats. Field Crop. Res. 2012, 134, 144–152. [Google Scholar] [CrossRef]
- Fahad, S.; Hussain, S.; Chauhan, B.S.; Saud, S.; Wu, C.; Hassan, S.; Tanveer, M.; Jan, A.; Huang, J. Weed Growth and Crop Yield Loss in Wheat As Influenced by Row Spacing and Weed Emergence Times. Crop Prot. 2015, 71, 101–108. [Google Scholar] [CrossRef]
- Mohler, C.L. Enhancing the Competitive Ability of Crops. In Ecological Management of Agricultural Weeds; Cambridge University Press: Cambridge, UK, 2001; pp. 269–321. ISBN 9780511541810. [Google Scholar]
- Gallandt, E.R.; Weiner, J.; Gallandt, E.R.; Weiner, J. Crop-Weed Competition. In Els; John Wiley & Sons, Ltd.: Chichester, UK, 2015; pp. 1–9. ISBN 9780470015902. [Google Scholar]
- Kolb, L.N.; Gallandt, E.R.; Mallory, E.B. Impact of Spring Wheat Planting Density, Row Spacing, and Mechanical Weed Control on Yield, Grain Protein, and Economic Return in Maine. Weed Sci. 2012, 60, 244–253. [Google Scholar] [CrossRef]
- Tillett, N.D.; Hague, T. Increasing Work Rate in Vision Guided Precision Banded Operations. Biosyst. Eng. 2006, 94, 487–494. [Google Scholar] [CrossRef]
- Wiltshire, J.J.J.; Tillett, N.D.; Hague, T. Agronomic Evaluation of Precise Mechanical Hoeing And Chemical Weed Control in Sugar Beet. Weed Res. 2003, 43, 236–244. [Google Scholar] [CrossRef]
- Tillett, N.; Hague, T.; Garford, P.; Watts, P. Development of A Commercial Vision Guided Inter-Row Hoe: Achievements, Problems and Future Directions. In Proceedings of the 4th European Conference on Precision Agriculture, Berlin, Germany, 15–19 June 2003; ISBN 90-76998-21-3. [Google Scholar]
- Kunz, C.; Weber, J.; Gerhards, R. Benefits Of Precision Farming Technologies for Mechanical Weed Control in Soybean and Sugar Beet—Comparison of Precision Hoeing with Conventional Mechanical Weed Control. Agronomy 2015, 5, 130–142. [Google Scholar] [CrossRef]
- Kunz, C.; Weber, J.F.; Peteinatos, G.G.; Sökefeld, M.; Gerhards, R. Camera Steered Mechanical Weed Control In Sugar Beet, Maize And Soybean. Precis. Agric. 2017. [Google Scholar] [CrossRef]
- Home, M.C.W.; Tillett, N.D.; Hague, T.; Godwin, R.J. An Experimental Study of Lateral Positional Accuracy Achieved during Inter-Row Cultivation. In Proceedings of the 5th European Weed Research Society Workshop on Physical and Cultural Weed Control, Pisa, Italy, 11–13 March 2002; pp. 101–110. [Google Scholar]
- Lancashire, P.D.; Bleiholder, H.; Den Boom, T.V.; Langeluddeke, P.; Stauss, R.; Weber, E.; Witzenberger, A. A uniform decimal code for growth stages of crops and weeds. Ann. Appl. Biol. 1991, 119, 561–601. [Google Scholar] [CrossRef]
- Kouwenhoven, J.K.; Terpstra, R. Sorting Action of Tines and Tine-Like Tools in the Field. J. Agric. Eng. Res. 1979, 24, 95–113. [Google Scholar] [CrossRef]
- Mattsson, B.; Nylander, C.; Ascard, J. Comparison of Seven Inter-Row Weeders. In Proceedings of the 3rd International Conference IFOAM, Non-Chemical Weed Control, Linz, Austria, 1990; pp. 91–107. [Google Scholar]
- Bàrberi, P. Weed Management in Organic Agriculture: Are We Addressing The Right Issues? Weed Res. 2002, 42, 177–193. [Google Scholar] [CrossRef]
- Welsh, J.P.; Tillett, N.D.; Home, M.; King, J.A. A Review of Knowledge: Inter-Row Hoeing and Its Associated Agronomy in Organic Cereal and Pulse Crops. Res. Policy 2002, 15, 1–21. [Google Scholar]
- Bowman, G.; Outreach, S. Steelin The Field. A Farmer’s Guide to Weed Management Tools; Sustainable Agriculture Network Publications: Burlington, VT, USA, 2002; ISBN 188862602x. [Google Scholar]
- Nkoa, R.; Owen, M.D.K.; Swanton, C.J. Weed Abundance, Distribution, Diversity, and Community Analyses. Weed Sci. 2015, 63, 64–90. [Google Scholar] [CrossRef]
- Rasmussen, J. A Model For Prediction of Yield Response In Weed Harrowing. Weed Res. 1991, 31, 401–408. [Google Scholar] [CrossRef]
- Rasmussen, J.; Svenningsen, T. Selective Weed Harrowing in Cereals. Biol. Agric. Hortic. 1995, 12, 29–46. [Google Scholar] [CrossRef]
- Paarlberg, K.R.; Hanna, H.M.; Erbach, D.C.; Hartzler, R.G. Cultivator Design for Interrow Weed Control in No-Till Corn. Appl. Eng. Agric. 1998, 14, 353–361. [Google Scholar] [CrossRef]
- Zhang, X.; Chen, Y. Soil Disturbance and Cutting Forces of Four Different Sweeps for Mechanical Weeding. Soil Tillage Res. 2017, 168, 167–175. [Google Scholar] [CrossRef]
- Rasmussen, J. Yield response models for mechanical weed control by harrowing at early crop growth stages in peas (Pisum sativum L.). Weed Res. 1993, 33, 231–240. [Google Scholar] [CrossRef]
- Pullen, D.W.M.; Cowell, P.A. An Evaluation of The Performance of Mechanical Weeding Mechanisms for Use in High Speed Inter-Row Weeding of Arable Crops. J. Agric. Eng. Res. 1997, 67, 27–34. [Google Scholar] [CrossRef]
- Pérez-Ruiz, M.; Gonzalez-De-Santos, P.; Ribeiro, A.; Fernandez-Quintanilla, C.; Peruzzi, A.; Vieri, M.; Tomic, S.; Agüera, J. Highlights And Preliminary Results For Autonomous Crop Protection. Comput. Electron. Agric. 2015, 110, 150–161. [Google Scholar] [CrossRef]
- Hamdoun, A.M. Regenerative Capacity of Root Fragments of Cirsium arvense (L.) Scop. Weed Res. 1972, 12, 128–136. [Google Scholar] [CrossRef]
- Sciegienka, J.; Keren, E.; Menalled, F. Impact Of Root Fragment Dimension, Weight, Burial Depth, and Water Regime on Cirsium Arvense Emergence and Growth. Can. J. Plant Sci. 2011, 91, 1027–1036. [Google Scholar] [CrossRef]
- Donald, W.W. The Biology of Canada Thistle (Cirsium arvense). Rev. Weed Sci. 1994, 6, 77–101. [Google Scholar]
- Tiley, G.E.D. Biological Flora of The British Isles: Cirsium arvense (L.) Scop. J. Ecol. 2010, 98, 938–983. [Google Scholar] [CrossRef]
- Donald, W. Management and Control of Canada Thistle (Cirsium arvense). Weed Sci. Soc. Am. 1990, 5, 193–250. [Google Scholar]
- Melander, B.; Hartvig, P. Yield Responses of Weed-Free Seeded Onions [Allium Cepa (L.)] to Hoeing Close to The Row. Crop Prot. 1997, 16, 687–691. [Google Scholar] [CrossRef]
- Wilson, J.N. Guidance of Agricultural Vehicles—A Historical Perspective. Comput. Electron. Agric. 2000, 25, 3–9. [Google Scholar] [CrossRef]
- Zhang, N.; Wang, M.; Wang, N. Precision Agriculture—A Worldwide Overview. Comput. Electron. Agric. 2002, 36, 113–132. [Google Scholar] [CrossRef]
- Keicher, R.; Seufert, H. Automatic Guidance For Agricultural Vehicles in Europe. Comput. Electron. Agric. 2000, 25, 169–194. [Google Scholar] [CrossRef]
- Vincent, C.; Panneton, B.; Fleurat, F. Physical Control Methods In Plant Protection; Springer Science and Business Media: New York, NY, USA, 2001; ISBN 9783662045862. [Google Scholar]
© 2018 by the authors. Licensee MDPI, Basel, Switzerland. This article is an open access article distributed under the terms and conditions of the Creative Commons Attribution (CC BY) license (http://creativecommons.org/licenses/by/4.0/).

















