Defoliation, Shoot Plasticity, Sward Structure and Herbage Utilization in Pasture: Review of the Underlying Ecophysiological Processes
Abstract
:1. Introduction
1.1. Plasticity of Sward Structure in Relation to Defoliation and Sward Management
1.2. Understanding Sward Structure Plasticity: The Need for Integrating Physiological and Environmental Processes
2. Defoliation Patterns, Sward Structure and Light Environment
2.1. Defoliation Patterns in Relation to Sward Management
2.2. Plant Morphogenesis is the Driver of Sward Structure, Plasticity and Adaptation to Management

2.3. The Role of Light Signals in Plant Responses to Defoliation
3. Defoliation Patterns, Light Environment and Dynamics of Sward Structural Components
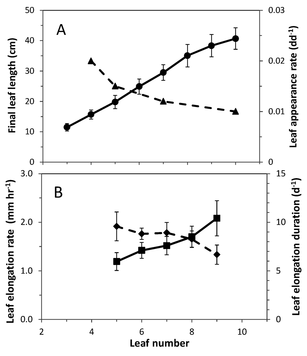
3.1. Leaf Appearance Rate

3.2. Leaf Growth Rate
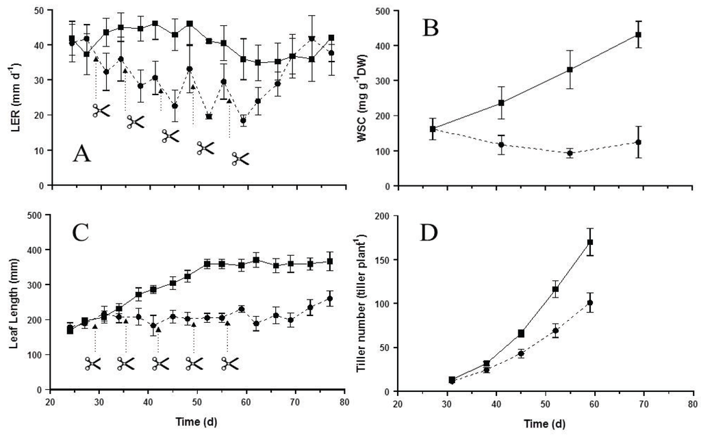
) applied to ryegrass plants, followed by a lax period allowing leaf growth recovery, on leaf elongation rate per tiller (LER, A),water-soluble carbohydrate concentration (WSC) in the leaf base (B), final leaf length (C) and tiller number per plant (D). ■ Undefoliated control plants; ● defoliated plants; d: day. Arrows indicate timing of the successive defoliations. Plants were grown under constant controlled conditions. Defoliated plants were clipped at a 5-cm stubble height [98].
) applied to ryegrass plants, followed by a lax period allowing leaf growth recovery, on leaf elongation rate per tiller (LER, A),water-soluble carbohydrate concentration (WSC) in the leaf base (B), final leaf length (C) and tiller number per plant (D). ■ Undefoliated control plants; ● defoliated plants; d: day. Arrows indicate timing of the successive defoliations. Plants were grown under constant controlled conditions. Defoliated plants were clipped at a 5-cm stubble height [98].
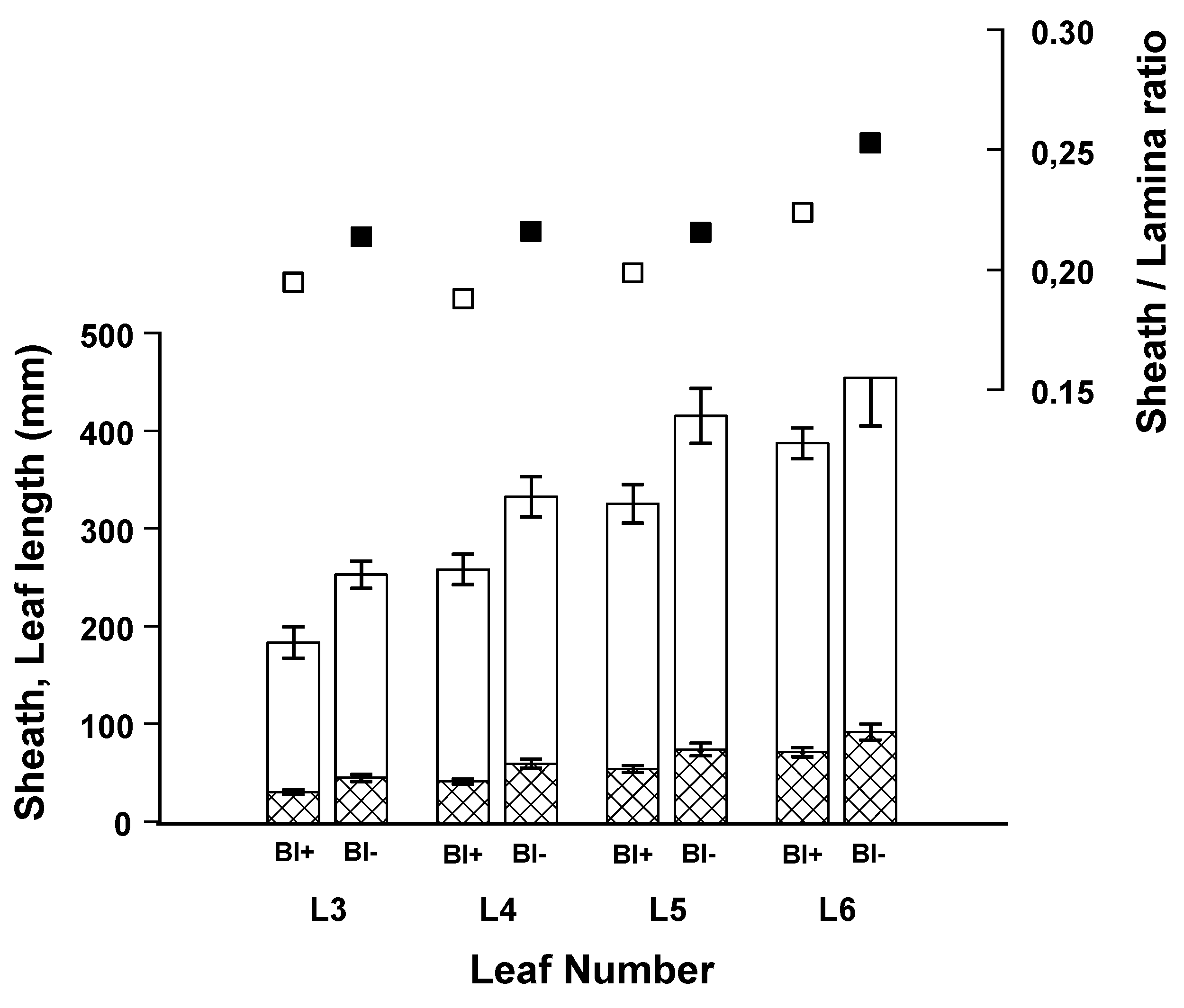
3.3. Consequences of Defoliation on Leaf Length


3.4. Defoliation and Tillering

4. Grazing Management, Herbage Production and Efficiency of Herbage Utilization
| Herbage Growth Rate (kg·OM·ha−1·day−1) | Stocking Density (Sheep·ha−1) | Defoliation Interval (Days) | Herbage Use Efficiency (%) | |
|---|---|---|---|---|
| N1 | 56 | 28 | 28.4 | 57 |
| N2 | 76 | 36 | 20.5 | 73 |
5. Conclusions
Acknowledgments
Author Contributions
Conflicts of Interest
References
- Jackson, D.K. The influence of patterns of defoliation on sward morphology. In Pasture Utilization by the Grazing Animals; Hodgson, J., Jackson, D.K., Eds.; British Grassland Society: Hurley, UK, 1976; pp. 51–60. [Google Scholar]
- Hodgson, J.; Bircham, J.S.; Grant, S.A.; King, J. The influence of cutting and grazing management on herbage growth and utilization. In Plant Physiology and Herbage Production; Occasional Symposium of the British Grassland Society; Wright, C.E., Ed.; British Grassland Society: Hurley, UK, 1981; pp. 51–62. [Google Scholar]
- Davies, A. The regrowth of grass swards. In The Grass Crop: The Physiological Basis of Production; Jones, M.B., Lazenby, A., Eds.; Chapman and Hall: London, UK, 1988; pp. 85–127. [Google Scholar]
- Hodgson, J.; Capriles, J.M.; Fenlon, J.S. The influence of sward characteristics on the herbage intake of grazing calves. J. Agric. Sci. Camb. 1977, 89, 743–750. [Google Scholar] [CrossRef]
- Wade, M.H.; Peyraud, J.L.; Lemaire, G.; Cameron, E.A. The dynamics of daily area and depth of grazing and herbage intake of cows in a five day paddock system. In Proceedings of the XVIth International Grassland Congress, Nice, France, 4–11 October 1989; Association Française pour la Production Fourragère: Versailles, France, 1989; pp. 1111–1112. [Google Scholar]
- Wade, M.H. Factors Affecting the Availability of Vegetative Lolium perenne to Grazing Dairy Cows with Special Reference to Sward Characteristics, Stocking Rate and Grazing Method. Ph.D. Thesis, Rennes University, Rennes, France, March 1991. [Google Scholar]
- Peyraud, J.L.; Gonzalez-Rodrigez, A. Relations between grass production, supplementation and intake in grazing dairy cows. In Grassland Farming. Balancing Environmental and Economic Demands, Proceedings of the 18th General Meeting of the European Grassland Federation, Aalborg, Denmark, 22–25 May 2000; Soegaard, K., Ohlsson, C., Sehested, J., Hutchings, N.J., Kristensen, T., Eds.; British Grassland Society: Reading, UK, 2000; pp. 269–282. [Google Scholar]
- Prache, S.; Peyraud, J.L. Foraging behaviour and intake in temperate cultivated grasslands. In Proceedings of the 19th International Grassland Congress, Sao Pedro, Brazil, 11–21 February 2001; Gomide, J.A., Mattos, W.R.S., DaSilva, S.C., Eds.; FEALQ: Piracicaba, Brazil, 2001; pp. 309–319. [Google Scholar]
- Delagarde, R.; Prache, S.; D’Hour, P.; Petit, M. Ingestion de l’herbe par les ruminants au pâturage. Fourrages 2001, 166, 189–212. [Google Scholar]
- Peyraud, J.L.; Comeron, E.A.; Wade, M.H.; Lemaire, G. The effect of daily herbage allowance, herbage mass and animal factors upon herbage intake by grazing dairy cows. Ann. Zootech. 1996, 45, 201–217. [Google Scholar] [CrossRef]
- Hodgson, J. Influence of sward characteristics on diet selection and herbage intake by the grazing animal. In Nutritional Limits to Animal Production from Pasture; Hacker, J.B., Ed.; CAB International: Wallingford, UK, 1982; pp. 153–166. [Google Scholar]
- Barthram, G.T.; Grant, S.A. Defoliation of ryegrass-dominated swards by sheep. Grass Forage Sci. 1984, 39, 211–219. [Google Scholar] [CrossRef]
- Parsons, A.J.; Johnson, I.R.; Harvey, A. Use of a model to optimize the interaction between frequency and severity of intermittent defoliation and to provide a fundamental comparison of the continuous and intermittent defoliation of grass. Grass Forage Sci. 1988, 43, 49–59. [Google Scholar] [CrossRef]
- Briske, D.D. Strategies of plant survival in grazed systems: A functional interpretation. In The Ecology and Management of Grazing Systems; Hodgson, J., Illius, A.W., Eds.; CABI International: Wallingford, UK, 1996; pp. 37–67. [Google Scholar]
- Hodgson, J.; Da Silva, S.C. Sustainability of grazing systems: Goals, concepts and methods. In Grassland Ecophysiology and Grazing Ecology; Lemaire, G., Hodgson, J., de Moraes, A., de Carvalho, P.C.F., Nabinger, C., Eds.; CABI Publishing: Wallingford, UK, 2000; pp. 1–13. [Google Scholar]
- Parsons, A.J. The effects of season and management on the growth of grass swards. In The Grass Crop: The Physiological Basis of Production; Jones, M.B., Lazenby, A., Eds.; Chapman and Hall: London, UK, 1988; pp. 129–177. [Google Scholar]
- Chapman, D.F.; Lemaire, G. Morphogenetic and structural determinants of plant regrowth after defoliation. In Proceedings of the XVII International Grassland Congress, Palmerston North, New Zealand, 8–21 February 1993; New Zealand Grassland Association: Palmerston North, New Zealand, 1993; pp. 95–104. [Google Scholar]
- Lemaire, G.; Chapman, D. Tissue flows in grazed communities. In The Ecology and Management of Grazing Systems; Hodgson, J., Ed.; Centre for Agriculture and Biosciences International: Wallingford, UK, 1996; pp. 3–36. [Google Scholar]
- Davies, A. Tissue turnover in the sward. In Sward Measurement Handbook, 2nd ed.; Hodgson, J., Baker, R.D., Davies, A., Laidlaw, A.S., Leaver, J.D., Eds.; The British Grassland Society Publication: Reading, UK, 1981; pp. 183–215. [Google Scholar]
- Grant, S.A.; Barthram, G.T.; Torvell, L.; King, J.; Smith, H.K. Sward management, lamina turnover and tiller population density in continuously stocked Lolium perenne-dominated swards. Grass Forage Sci. 1983, 38, 333–344. [Google Scholar] [CrossRef]
- Westoby, M. The self-thinning rule. Adv. Ecol. Res. 1984, 14, 167–225. [Google Scholar]
- Sackville-Hamilton, N.R.; Matthew, C.; Lemaire, G. Self-thinning: A re-evaluation of concepts and status. Ann. Bot. 1995, 7, 569–577. [Google Scholar] [CrossRef]
- Matthew, C.; Lemaire, G.; Sackville-Hamilton, N.R.; Hernandez-Garay, A. A modified self-thinning equation to describe size: Density relationships for defoliated swards. Ann. Bot. 1995, 7, 579–587. [Google Scholar] [CrossRef]
- Hernandez-Garay, A.; Matthew, C.; Hodgson, J. Tiller size/density compensation in perennial ryegrass miniature swards subject to differing defoliation heights and a proposed productivity index. Grass Forage Sci. 1999, 54, 347–356. [Google Scholar] [CrossRef]
- Matthew, C.; Assuero, S.G.; Black, C.K.; Sackville-Hamilton, N.R. Tiller dynamics in grazed swards. In Grassland Ecophysiology and Grazing Ecology; Lemaire, G., Hodgson, J., de Moraes, A., de Carvalho, P.C.F., Nabinger, C., Eds.; CABI Publishing: Wallingford, UK, 2000; pp. 127–150. [Google Scholar]
- Hodgson, J.; Ollerenshaw, J.H. The frequency and severity of defoliation of individual tillers in set-stocked swards. Grass Forage Sci. 1969, 24, 226–234. [Google Scholar] [CrossRef]
- Mazzanti, A.; Lemaire, G. Effect of nitrogen fertilization on herbage production of tall fescue swards continuously grazed by sheep. 2. Consumption and efficiency of herbage utilization. Grass Forage Sci. 1994, 49, 352–359. [Google Scholar] [CrossRef]
- Lemaire, G.; Da Silva, S.C.; Agnusdei, M.; Wade, M.; Hodgson, J. Interactions between leaf lifespan and defoliation frequency in temperate and tropical pastures: A review. Grass Forage Sci. 2009, 64, 341–353. [Google Scholar] [CrossRef]
- Lemaire, G.; Agnusdei, M. Leaf tissue turnover and efficiency of herbage utilization. In Grassland Ecophysiology and Grazing Ecology; Lemaire, G., Hodgson, J., de Moraes, A., de Carvalho, P.C.F., Nabinger, C., Eds.; CABI Publishing: Wallingford, UK, 2000; pp. 265–287. [Google Scholar]
- Dale, J.E. Some effects of temperature and irradiance on growth of the first four leaves of wheat Triticum aestivum. Ann. Bot. 1982, 50, 851–858. [Google Scholar]
- Kasperbauer, M.J. Spectral distribution of light in a tobacco canopy and effects of end-of-day light quality on growth and development. Plant Physiol. 1971, 47, 775–778. [Google Scholar] [CrossRef] [PubMed]
- Smith, H. The ecological functions of the phytochrome family. Clues to a transgenic program of crop improvement. Photochem. Photobiol. 1992, 56, 815–822. [Google Scholar] [CrossRef]
- Smith, H. Physiological and ecological function within the phytochrome family. Ann. Rev. Plant Biol. 1995, 46, 289–315. [Google Scholar] [CrossRef]
- Smith, H. Phytochromes and light signal perception by plants—An emerging synthesis. Nature 2000, 407, 585–591. [Google Scholar] [CrossRef] [PubMed]
- Ballaré, C.L.; Sanchez, R.A.; Scopel, A.L.; Casal, J.J.; Ghersa, C.M. Early detection of neighbour plants by phytochrome perception of spectral changes in reflected sunlight. Plant Cell Environ. 1987, 10, 551–557. [Google Scholar]
- Robin, C.; Varlet-Grancher, C.; Gastal, F.; Flenet, F.; Guckert, A. Photomorphogenesis of white clover (Trifolium repens L.): Phytochrome mediated effects on 14C-assimilate partitioning. Eur. J. Agron. 1992, 1, 235–240. [Google Scholar] [CrossRef]
- Ballaré, C.; Casal, J. Light signals perceived by crop and weed plants. Field Crops Res. 2000, 67, 149–160. [Google Scholar] [CrossRef]
- Kebrom, T.; Brutnell, T. The molecular analysis of the shade avoidance syndrome in the grasses has begun. J. Exp. Bot. 2007, 58, 3079–3089. [Google Scholar] [CrossRef] [PubMed]
- Taiz, L.; Zeiger, E. Growth and development. In Plant Physiology; Sinauer Associates Inc.: Sunderland, MA, USA, 1998; pp. 483–517. [Google Scholar]
- Ballaré, C.; Scopel, A.; Sanchez, R. Photocontrol of stem elongation in plant neighborhoods—Effects of photon fluence rate under natural conditions of radiation. Plant Cell Environ. 1991, 14, 57–65. [Google Scholar] [CrossRef]
- Gautier, H.; Varlet-Grancher, C.; Baudry, N. Effects of blue light on the vertical colonization of space by white clover and their consequences for dry matter distribution. Ann. Bot. 1997, 80, 665–671. [Google Scholar] [CrossRef]
- Aphalo, P.; Ballaré, C.; Scopel, A. Plant-plant signalling, the shade-avoidance response and competition. J. Exp. Bot. 1999, 50, 1629–1634. [Google Scholar] [CrossRef]
- Christophe, A.; Moulia, B.; Varlet-Grancher, C. Quantitative contributions of blue light and PAR to the photocontrol of plant morphogenesis in Trifolium repens (L.). J. Exp. Bot. 2006, 57, 2379–2390. [Google Scholar] [CrossRef] [PubMed]
- Barillot, R.; Frak, E.; Combes, D.; Durand, J.L.; Escobar-Gutierrez, A.J. What determines the complex kinetics of stomatal conductance under blueless PAR in Festuca arundinacea? Subsequent effects on leaf transpiration. J. Exp. Bot. 2010, 61, 2795–2806. [Google Scholar] [CrossRef] [PubMed]
- Davies, A. Leaf tissue remaining after cutting and regrowth in perennial ryegrass. J. Agric. Sci. 1974, 82, 165–172. [Google Scholar] [CrossRef]
- Hume, D.E. Effect of cutting on production and tillering in prairie grass (Bromus willdenowii Kunth) compared with two ryegrass (Lolium) species. 1. Vegetative plants. Ann. Bot. 1991, 67, 533–541. [Google Scholar]
- Van Loo, E.N. On the Relation between Tillering, Leaf Area Dynamics and Growth of Perennial Ryegrass (Lolium perenne L.). Ph.D. Thesis, Wageningen University, Wageningen, The Netherlands, May 1993. [Google Scholar]
- Grant, S.A.; Barthram, G.T.; Torvell, L. Components of regrowth in grazed and cut Lolium perenne swards. Grass Forage Sci. 1981, 36, 155–168. [Google Scholar] [CrossRef]
- Gautier, H.; Varlet-Grancher, C.; Hazard, L. Tillering responses to the light environment and to defoliation in populations of perennial ryegrass (Lolium perenne L.) selected for contrasting leaf length. Ann. Bot. 1999, 83, 423–429. [Google Scholar] [CrossRef]
- Hernandez-Garay, A.; Matthew, C.; Hodgson, J. The influence of defoliation height on dry-matter partitioning and CO2 exchange of perennial ryegrass miniature swards. Grass Forage Sci. 2000, 55, 372–376. [Google Scholar] [CrossRef]
- Bos, H.J.; Neuteboom, J.H. Morphological analysis of leaf and tiller number dynamics of wheat (Triticum aestivum L.): Responses to temperature and light intensity. Ann. Bot. 1998, 81, 131–139. [Google Scholar] [CrossRef]
- Thomas, H.; Norris, I.A. The influence of light and temperature during winter on growth and death in simulated swards of Lolium perenne. Grass Forage Sci. 1981, 36, 107–116. [Google Scholar] [CrossRef]
- Robson, M.J.; Ryle, G.J.A.; Woledge, J. The grass plant—Its form and function. In The Grass Crop: The Physiological Basis of Production; Jones, M.B., Lazenby, A., Eds.; Chapman and Hall: London, UK, 1988; pp. 25–83. [Google Scholar]
- Berone, G.D.; Lattanzi, F.A.; Agnusdei, M.G.; Bertolotti, N. Growth of individual tillers and tillering rate of Lolium perenne and Bromus stamineus subjected to two defoliation frequencies in winter in Argentina. Grass Forage Sci. 2008, 63, 504–512. [Google Scholar] [CrossRef]
- Gastal, F.; Verdenal, A.; Barre, P. The effect of blue light on leaf growth and plant development in two morphologically contrastd perennial ryegrass genotypes: Cellular basis and ecological implications. In XXth International Grassland Congress, Dublin, Ireland, 26 June–1 July 2005; O’Mara, F.P., Wilkins, R.J., ‘t Mannetje, L., Lovett, D.K., Rogers, D.A.M., Boland, T.M., Eds.; Wageningen Academic Publishers: Wageningen, Netherlands, 2005; p. 202. [Google Scholar]
- Robson, M.J. The effect of temperature on the growth of S.170 tall fescue (Festuca arundinacea). I. Constant temperature. J. Appl. Ecol. 1972, 9, 643–653. [Google Scholar] [CrossRef]
- Miglietta, F. Effect of photoperiod and temperature on leaf initiation rates in wheat (Triticum spp.). Field Crops Res. 1989, 21, 121–130. [Google Scholar] [CrossRef]
- Skinner, R.H.; Nelson, C.J. Estimation of potential tiller production and site usage during tall fescue canopy development. Ann. Bot. 1992, 70, 493–499. [Google Scholar]
- Skinner, R.H.; Nelson, C.J. Role of leaf appearance rate and the coleoptile tiller in regulating tiller production. Crop Sci. 1994, 34, 71–75. [Google Scholar] [CrossRef]
- Billiard, D. Rythme de développement des feuilles sur une talle de graminée tropicale (Hyparrhenia diplandra): 1. Résultats expérimentaux. Acta Oecol. 1994, 15, 577–591. [Google Scholar]
- Lestienne, F.; Gastal, F.; Moulia, B.; Thornton, B. Pattern of leaf and tiller development of perennial ryegrass plants. In Multi-Function Grasslands: Quality Forages, Animal Products and Landscapes, Proceedings of the 19th General Meeting of the European Grassland Federation, La Rochelle, France, 27–30 May 2002; Durand, J.L., Emile, J.C., Huyghe, C., Lemaire, G., Eds.; Association Française pour la Production Fourragère: Versailles, France, 2002; pp. 332–333. [Google Scholar]
- Bélanger, G. Incidence de la Fertilisation Azotée et de la Saison sur la Croissance, L’assimilation et la Répartition du Carbone dans un Couvert de Fétuque Elevée en Conditions Naturelles. Ph.D. Thesis, Paris XI University, Orsay, France, October 1990. [Google Scholar]
- Duru, M.; Ducrocq, H. Growth and senescence of the successive grass leaves on a tiller. Ontogenic development and effect of temperature. Ann. Bot. 2000, 85, 635–643. [Google Scholar] [CrossRef]
- Davies, A.; Evans, M.E.; Exley, J.K. Regrowth of perennial ryegrass as affected by simulated leaf sheaths. J. Agric. Sci. 1983, 101, 131–137. [Google Scholar] [CrossRef]
- Skinner, R.H.; Morgan, J.A.; Hanson, J.D. Carbon and nitrogen reserve remobilization following defoliation: Nitrogen and elevated CO2 effects. Crop Sci. 1999, 39, 1749–1756. [Google Scholar] [CrossRef]
- Schnyder, H.; Schaüfele, R.; de Visser, R.; Nelson, C.J. An integrated view of C and N uses in leaf growth zones of defoliated grasses. In Grassland Ecophysiology and Grazing Ecology; Lemaire, G., Hodgson, J., de Moraes, A., de Carvalho, P.C.F., Nabinger, C., Eds.; CABI Publishing: Wallingford, UK, 2000; pp. 41–60. [Google Scholar]
- De Visser, R.; Vianden, H.; Schnyder, H. Kinetics and relative significance of remobilized and current C and N incorporation in leaf and root growth zones of Lolium perenne after defoliation: Assessment by 13C and 15N steady-state labelling. Plant Cell Environ. 1997, 20, 37–46. [Google Scholar] [CrossRef]
- Schnyder, H.; Nelson, C.J. Growth rates and assimilate partitioning in the elongation zone of tall fescue leaf blades at high and low irradiance. Plant Physiol. 1989, 90, 1201–1206. [Google Scholar] [CrossRef] [PubMed]
- Allard, G.; Nelson, C.J.; Pallardy, S.G. Shade effects on growth of tall fescue: I. Leaf anatomy and dry matter partitioning. Crop Sci. 1991, 31, 163–171. [Google Scholar] [CrossRef]
- Volenec, J.J.; Nelson, C.J. Carbohydrate metabolism in leaf meristems of tall fescue. 2. Relationship to leaf elongation rates modified by nitrogen fertilization. Plant Physiol. 1984, 74, 595–600. [Google Scholar] [CrossRef] [PubMed]
- Schnyder, H.; Nelson, C.J. Growth rates and carbohydrate fluxes within the elongation zone of tall fescue leaf blades. Plant Physiol. 1987, 85, 548–553. [Google Scholar] [CrossRef] [PubMed]
- Gastal, F.; Nelson, C.J. Nitrogen use within the growing leaf blade of tall fescue. Plant Physiol. 1994, 105, 191–197. [Google Scholar] [PubMed]
- Schaüfele, R.; Schnyder, H. Cell growth analysis during steady and non-steady growth in leaves of perennial ryegrass (Lolium perenne L.) subject to defoliation. Plant Cell Environ. 2000, 23, 185–194. [Google Scholar] [CrossRef]
- Morvan-Bertrand, A.; Boucaud, J.; Le Saos, J.; Prud’homme, M.P. Roles of the fructans from leaf sheaths and from the elongating leaf bases in the regrowth following defoliation of Lolium perenne L. Planta 2001, 213, 109–120. [Google Scholar] [CrossRef] [PubMed]
- Davidson, J.L.; Milthorpe, F.L. The effect of defoliation on the carbon balance in Dactylis glomerata. Ann. Bot. 1966, 30, 185–198. [Google Scholar]
- Ryle, G.J.A.; Powell, C.E. Defoliation and regrowth in the gramineous plant: The role of current assimilates. Ann. Bot. 1975, 39, 297–310. [Google Scholar]
- Pollock, C.J.; Cairns, A.J. Fructan metabolism in grasses and cereals. Ann. Rev. Plant Biol. 1991, 42, 77–101. [Google Scholar] [CrossRef]
- Ourry, A.; Boucaud, J.; Duyme, M. Sink control of nitrogen uptake and assimilation during regrowth after-cutting of ryegrass (Lolium perenne L.). Plant Cell Environ. 1990, 13, 185–189. [Google Scholar] [CrossRef]
- Thornton, B.; Millard, P. Increased defoliation frequency depletes remobilization of nitrogen for leaf growth in grasses. Ann. Bot. 1997, 80, 89–95. [Google Scholar] [CrossRef]
- Morvan-Bertrand, A.; Boucaud, J.; Prud’homme, M.P. Influence of initial levels of carbohydrates, fructans, nitrogen, and soluble proteins on regrowth of Lolium perenne L.cv. Bravo following defoliation. J. Exp. Bot. 1999, 50, 1817–1826. [Google Scholar] [CrossRef]
- Thornton, B.; Millard, P.; Bausenwein, U. Reserve formation and recycling of carbon and nitrogen during regrowth of defoliated plants. In Grassland Ecophysiology and Grazing Ecology; Lemaire, G., Hodgson, J., de Moraes, A., de Carvalho, P.C.F., Nabinger, C., Eds.; CABI Publishing: Wallingford, UK, 2000; pp. 85–99. [Google Scholar]
- Lestienne, F.; Thornton, B.; Gastal, F. Impact of defoliation intensity and frequency on N uptake and mobilization in Lolium perenne. J. Exp. Bot. 2006, 57, 997–1006. [Google Scholar] [CrossRef] [PubMed]
- Avice, J.C.; Ourry, A.; Lemaire, G.; Boucaud, J. Nitrogen and carbon flows estimated by 15N and 13C pulse-chase labelling during regrowth of alfalfa. Plant Physiol. 1996, 112, 282–290. [Google Scholar]
- Richards, J.H. Physiology of plants recovering from defoliation. In Proceedings of the XVII International Grassland Congress, Palmerston North, New Zealand, 8–21 February 1993; New Zealand Grassland Association: Palmerston North, New Zealand, 1993; pp. 85–94. [Google Scholar]
- Schnyder, H.; de Visser, R. Fluxes of reserve-derived and currently assimilated carbon and nitrogen in perennial ryegrass recovering from defoliation. The regrowing tiller and its component functionally distinct zones. Plant Physiol. 1999, 119, 1423–1435. [Google Scholar] [CrossRef] [PubMed]
- Morvan-Bertrand, A.; Pavis, N.; Boucaud, J.; Prud’homme, M.P. Partitioning of reserve and newly assimilated carbon in roots and leaf tissues of Lolium perenne during regrowth after defoliation: Assessment by 13C steady-state labelling and carbohydrate analysis. Plant Cell Environ. 1999, 22, 1097–1108. [Google Scholar] [CrossRef]
- Lee, J.M.; Donaghy, D.J.; Sathish, P.; Roche, J.R. Interaction between water-soluble carbohydrate reserves and defoliation severity on the regrowth of perennial ryegrass (Lolium perenne L.)-dominant swards. Grass Forage Sci. 2009, 64, 266–275. [Google Scholar] [CrossRef]
- Donaghy, D.J.; Turner, L.R.; Adamczewski, K.A. Effect of defoliation management on water-soluble carbohydrate energy reserves, dry matter yields, and herbage quality of tall fescue. Agron. J. 2008, 100, 122–127. [Google Scholar] [CrossRef]
- Turner, L.R.; Donaghy, D.J.; Lane, P.A.; Rawnsley, R.P. Effect of defoliation management, based on leaf stage, on perennial ryegrass (Lolium perenne L.), prairie grass (Bromus willdenowii Kunth.) and cocksfoot (Dactylis glomerata L.) under dryland conditions. 1. Regrowth, tillering and water-soluble carbohydrate concentration. Grass Forage Sci. 2006, 61, 164–174. [Google Scholar]
- Turner, L.R.; Donaghy, D.J.; Lane, P.A.; Rawnsley, R.P. Patterns of leaf and root regrowth, and allocation of water-soluble carbohydrate reserves following defoliation of plants of prairie grass (Bromus willdenowii Kunth.). Grass Forage Sci. 2007, 62, 497–506. [Google Scholar] [CrossRef]
- Mazzanti, A.; Lemaire, G.; Gastal, F. The effect of nitrogen fertilisation upon the herbage production of tall fescue swards continuously grazed with sheep. 1. Herbage growth dynamics. Grass Forage Sci. 1994, 49, 111–120. [Google Scholar] [CrossRef]
- Gastal, F.; Dawson, L.; Thornton, B. N use efficiency of perennial grasses is affected by their tolerance to defoliation. In Proceedings of the 19th General Meeting of the European Grassland Federation, La Rochelle, France, 27–30 May 2002; Durand, J.L., Emile, J.C., Huyghe, C., Lemaire, G., Eds.; Association Française pour la Production Fourragère: Versailles, France, 2002; pp. 296–297. [Google Scholar]
- Gastal, F.; Dawson, L.A.; Thornton, B. Responses of plant traits of four grass species from contrasting habitats to defoliation and N supply. Nut. Cycl. Agroecosyst. 2010, 88, 245–258. [Google Scholar] [CrossRef]
- Cullen, B.R.; Chapman, D.F.; Quigley, P.E. Comparative defoliation tolerance of temperate perennial grasses. Grass Forage Sci. 2006, 61, 405–412. [Google Scholar] [CrossRef]
- Casal, J.J.; Sanchez, R.A.; Deregibus, V.A. The effect of light quality on shoot extension growth in three species of grasses. Ann. Bot. 1987, 59, 1–7. [Google Scholar]
- Skinner, R.H.; Simmons, S.R. Modulation of leaf elongation, tiller appearance and tiller senescence in spring barley by far-red light. Plant Cell Environ. 1993, 16, 555–562. [Google Scholar] [CrossRef]
- Gautier, H.; Varlet-Grancher, C. Regulation of leaf growth of grass by blue light. Physiol. Plant. 1996, 98, 424–430. [Google Scholar] [CrossRef]
- Gastal, F.; INRA, Lusignan, France. Unpublished work. 2003.
- Skinner, R.H.; Nelson, C.J. Effect of tiller trimming on phyllochron and tillering regulation during tall fescue development. Crop Sci. 1994, 34, 1267–1273. [Google Scholar] [CrossRef]
- Casal, J.J.; Alvarez, M.A. Blue light effects on the growth of Lolium multiflorum Lam. leaves under natural radiation. New Phytol. 1988, 109, 41–45. [Google Scholar] [CrossRef]
- Bahmani, I.; Hazard, L.; Varlet-Grancher, C.; Betin, M.; Lemaire, G.; Matthew, C.; Thom, E.R. Differences in tillering of long- and short-leaved perennial ryegrass genetic lines under full light and shade treatments. Crop Sci. 2000, 40, 1095–1102. [Google Scholar] [CrossRef]
- Wilson, R.E.; Laidlaw, A.S. The role of the sheath tube in the development of expanding leaves in perennial ryegrass. Ann. Appl. Biol. 1985, 106, 385–391. [Google Scholar] [CrossRef]
- Casey, I.A.; Brereton, A.J.; Laidlaw, A.S.; McGilloway, D.A. Effects of sheath tube length on leaf development in perennial ryegrass (Lolium perenne L.). Ann. Appl. Biol. 1999, 134, 251–257. [Google Scholar] [CrossRef]
- Bos, H.J.; Neuteboom, J.H. Growth of individual leaves of spring wheat (Triticum aestivum L.) as influenced by temperature and light intensity. Ann. Bot. 1998, 81, 141–149. [Google Scholar] [CrossRef]
- Skinner, R.H.; Nelson, C.J. Elongation of the grass leaf and its relationship to the phyllochrone. Crop Sci. 1995, 35, 4–10. [Google Scholar] [CrossRef]
- Verdenal, A.; Combes, D.; Escobar-Gutierrez, A.J. A study of ryegrass architecture as a self-regulated system, using functional-structural plant modelling. Funct. Plant Biol. 2008, 35, 911–924. [Google Scholar] [CrossRef]
- Neuteboom, J.H.; Lantiga, E.A. Tillering potential and relationship between leaf and tiller production in perennial ryegrass. Ann. Bot. 1989, 63, 265–270. [Google Scholar]
- Skinner, R.H.; Nelson, C.J. Epidermal cell division and the coordination of leaf and tiller development. Ann. Bot. 1994, 74, 9–15. [Google Scholar] [CrossRef] [PubMed]
- Nelson, C.J. Shoot morphological plasticity of grasses: Leaf growth vs. Tillering. In Grassland Ecophysiology and Grazing Ecology; Lemaire, G., Hodgson, J., de Moraes, A., de Carvalho, P.C.F., Nabinger, C., Eds.; CABI Publishing: Wallingford, UK, 2000; pp. 101–126. [Google Scholar]
- Simon, J.C.; Lemaire, G. Tillering and leaf area index in grasses in vegetative phase. Grass Forage Sci. 1987, 42, 373–380. [Google Scholar] [CrossRef]
- Deregibus, V.A.; Sanchez, R.A.; Casal, J.J. Effects of light quality on tiller production in Lolium sp. Plant Physiol. 1983, 72, 900–912. [Google Scholar] [CrossRef] [PubMed][Green Version]
- Casal, J.J.; Deregibus, V.A.; Sanchez, R.A. Variations in tiller dynamics and morphology in Lolium multiflorum Lam. vegetative and reproductive plants as affected by differences in red/far-red irradiation. Ann. Bot. 1985, 56, 553–559. [Google Scholar]
- Skalova, H. Morphological plasticity of Festuca rubra clones from three neighbouring communities in response to red: Far-red levels. Folia Geobot. 2005, 40, 77–90. [Google Scholar] [CrossRef]
- Evers, J.; Vos, J.; Andrieu, B.; Struik, P. Cessation of tillering in spring wheat in relation to light interception and red: Far-red ratio. Ann. Bot. 2006, 97, 649–658. [Google Scholar] [CrossRef] [PubMed]
- Williamson, M.; Wilson, G.; Hartnett, D. Controls on bud activation and tiller initiation in C3 and C4 tallgrass prairie grasses: The role of light and nitrogen. Botany 2012, 90, 1221–1228. [Google Scholar] [CrossRef]
- Ong, C.J. The physiology of tiller death in grasses. 1. The influence of tiller age, size and position. J. Br. Grass. Soc. 1978, 33, 197–203. [Google Scholar] [CrossRef]
- Bircham, J.S.; Hodgson, J. The influence of sward conditions on rates of herbage growth and senescence in mixed swards under continuous stocking management. Grass Forage Sci. 1983, 38, 323–331. [Google Scholar] [CrossRef]
- Parsons, A.J.; Leafe, E.L.; Colett, B.; Penning, P.D.; Lewis, J. The physiology of grass production under grazing. 2. Photsynthesis, crop growth and animal intake of continuously grazed swards. J. App. Ecol. 1983, 20, 127–139. [Google Scholar] [CrossRef]
- Rodriguez Palma, R. Fertilizacion Nitrogenada de un Pastizal de la Pampa Defirimada: Cecimiento y Utilization del Forraje Bajo Pastoreo de Vacunos. Master’s Thesis, Faculty of Agricultural Sciences, University of Mar del Plata, Mar del Plata, Argentina, 1998. [Google Scholar]
- Soussana, J.F.; Lemaire, G. Coupling carbon and nitrogen cycles for environmentally sustainable intensification of grasslands and crop-livestock systems. Agric. Ecosyst. Environ. 2014, 190, 9–17. [Google Scholar] [CrossRef]
- Billiard, D. Development rate of leaves along the tiller of a tropical grass (Hyparrhenia Diplandra). 2. Modelling. Acta Oecol. 1994, 15, 715–726. [Google Scholar]
- Hirata, M. Linking management, environment and morphogenetic and structural components of a sward for simulating tiller density dynamics in Bahiagrass (Paspalum notatum). Agriculture 2015, 5, 330–343. [Google Scholar] [CrossRef]
- Durand, J.L.; Schaufele, R.; Gastal, F. Grass leaf elongation rate as a function of developmental stage and temperature: Morphological analysis and modelling. Ann. Bot. 1999, 83, 577–588. [Google Scholar] [CrossRef]
- Gautier, H.; Mech, R.; Prusinkiewicz, P.; Varlet-Grancher, C. 3D architectural modelling of aerial photomorphogenesis in white clover (Trifolium repens L.) using L-systems. Ann. Bot. 2000, 85, 359–370. [Google Scholar] [CrossRef]
- Fournier, C.; Durand, J.L.; Ljutovac, S.; Schaufele, R.; Gastal, F.; Andrieu, B. A functional-structural model of elongation of the grass leaf and its relationships with the phyllochron. New Phytol. 2005, 166, 881–894. [Google Scholar] [CrossRef] [PubMed]
- Fournier, C.; Andrieu, B.; Buck-Sorlinz, G.; Evers, J.B.; Drouet, J.L.; Escobar-Gutierrez, A.J.; Vos, J. Functional-structural modelling of Gramineae. In Functional-Structural Plant Modelling in Crop Production; Vos, J., Marcelis, L.F.M., DeVisser, P.H.B., Struik, P.C., Evers, J.B., Eds.; Springer: Dordrecht, Netherlands, 2007; Volume 2, pp. 175–186. [Google Scholar]
- Evers, J.B.; Vos, J.; Chelle, M.; Andrieu, B.; Fournier, C.; Struik, P. Simulating the effects of localized red:far-red ratio on tillering in spring wheat (Triticum aestivum) using a three-dimensional virtual plant model. New Phytol. 2007, 176, 325–336. [Google Scholar] [CrossRef] [PubMed]
- Robin, C.; Hay, M.J.M.; Newton, P.C.D.; Greer, D.H. Effect of light quality (red/far-red ratio) at the apical bud of the main stolon on morphogenesis of Trifolium repens L. Ann. Bot. 1994, 74, 119–123. [Google Scholar] [CrossRef]
- Robin, C.; Hay, M.J.M.; Newton, P.C.D. Effect of light quality (red/far-red ratio) and defoliation treatments applied at a single phytomer on axillary bud outgrowth in Trifolium repens L. Oecologia 1994, 100, 236–242. [Google Scholar] [CrossRef]
- Christophe, A.; Moulia, B.; Varlet-Grancher, C.; Durand, J.L. Red:far red ratio responses of spacer length in two contrasted clones of white clover. In Multi-Function Grasslands: Quality Forages, Animal Products and Landscapes, Proceedings of the 19th General Meeting of the European Grassland Federation, La Rochelle, France, 27–30 May 2002; Durand, J.L., Emile, J.C., Huyghe, C., Lemaire, G., Eds.; Association Française pour la Production Fourragère: Versailles, France, 2002; pp. 288–289. [Google Scholar]
© 2015 by the authors; licensee MDPI, Basel, Switzerland. This article is an open access article distributed under the terms and conditions of the Creative Commons Attribution license (http://creativecommons.org/licenses/by/4.0/).
Share and Cite
Gastal, F.; Lemaire, G. Defoliation, Shoot Plasticity, Sward Structure and Herbage Utilization in Pasture: Review of the Underlying Ecophysiological Processes. Agriculture 2015, 5, 1146-1171. https://doi.org/10.3390/agriculture5041146
Gastal F, Lemaire G. Defoliation, Shoot Plasticity, Sward Structure and Herbage Utilization in Pasture: Review of the Underlying Ecophysiological Processes. Agriculture. 2015; 5(4):1146-1171. https://doi.org/10.3390/agriculture5041146
Chicago/Turabian StyleGastal, François, and Gilles Lemaire. 2015. "Defoliation, Shoot Plasticity, Sward Structure and Herbage Utilization in Pasture: Review of the Underlying Ecophysiological Processes" Agriculture 5, no. 4: 1146-1171. https://doi.org/10.3390/agriculture5041146
APA StyleGastal, F., & Lemaire, G. (2015). Defoliation, Shoot Plasticity, Sward Structure and Herbage Utilization in Pasture: Review of the Underlying Ecophysiological Processes. Agriculture, 5(4), 1146-1171. https://doi.org/10.3390/agriculture5041146
