Effects of Olive Mill Wastewater on Soil Microarthropods and Soil Chemistry in Two Different Cultivation Scenarios in Israel and Palestinian Territories
Abstract
:1. Introduction
2. Material and Methods
2.1. Study Design
2.1.1. Site Description

2.1.2. Experimental Design
| Parameter | OMW |
|---|---|
| pH | 4.6 |
| EC (mS·cm−1) | 10.8 |
| Dry mass (mg·g−1) | 53 |
| DOC (g·L−1) | 26 |
| Phenols (g·L−1) | 3.5 |
| SUVA254 nm (L·mgC−1·m−1) | 1.3 |
| K+ (mg·L−1) | 5290 |
| Ca2+ (mg·L−1) | 252 |
| Mg2+ (mg·L−1) | 171 |
| Na+ (mg·L−1) | 105 |
| Cl− (mg·L−1) | 1278 |
| PO43− (mg·L−1) | 765 |
| SO42− (mg·L−1) | 158 |
2.2. Soil Analysis
2.3. Soil Arthropod Sampling and Community Analysis
2.4. Data Analysis
3. Results and Discussion
3.1. Comparison of Fields before Olive Mill Wastewater (OMW) Application
| Parameter | Bait Reema | Gilat | Parameter | Bait Reema | Gilat |
|---|---|---|---|---|---|
| Annual Rainfall (mm) | 19.2 | 20.4 | DOC (mg kg−1) | 590 | 132 |
| Average Temperature (°C) | 615 | 213 | SUVA254 nm (L mgC−1·m−1) | 1.8 | 1.9 |
| Sand (%) | 22 | 56 | SPC (mg TA·kg−1) | 35 | 9 |
| Silt (%) | 40 | 13 | EC (mS·cm−1) | 0.3 | 0.2 |
| Clay (%) | 38 | 31 | K+ (mg·kg−1) | 357 | 71 |
| Water content (%) | 7.6 | 9.1 | Ca2+ (mg·kg−1) | 853 | 81 |
| Ctot (g·kg−1) | 71.3 | 21.5 | Mg2+ (mg·kg−1) | 80 | 20 |
| LOI (g·kg−1) | 101.5 | 23.4 | Na+ (mg·kg−1) | 30 | 93 |
| Carbonate (g·(kg mineral mass)−1) | 213 | 82.6 | Cl− (mg·kg−1) | 67 | 163 |
| δ13C (‰) | −9.2 | −8.7 | NO3− (mg·kg−1) | 144 | 116 |
| N (g·kg−1) | 2.2 | <0.1 | PO43− (mg·kg−1) | 143 | 6 |
| C/N | 32.4 | >215 | SO42− (mg·kg−1) | 81 | 252 |
| pH | 8.2 | 8.8 | WDPT (s) | 2 | 1 |
| Treatment | CECeff | Exchangeable Cations | ||||||
|---|---|---|---|---|---|---|---|---|
| mmol·kg−1 | Na+ mmol·kg−1 | K+ mmol·kg−1 | Mg2+ mmol·kg−1 | Ca2+ mmol·kg−1 | BS % | Carbonate g·(kg mineral mass)−1 | ||
| Bait Reema | P | 117 a | 0.3 a | 1.2 a | 4.4 a | 32.3 a | 64 a | 213 a |
| W | 117 a | 0.2 a | 1.3 a | 5.9 b | 35.0 b | 71 a | 218 a | |
| O | 116 a | 0.2 a | 3.1 b | 5.1 c | 32.8 a | 68 a | 202 a | |
| Gilat | P | 33 a | 0.5 a | 0.5 a | 2.1 a | 12.2 a | 90 a | 82.7 a |
| W | 32 a | 0.4 a | 0.5 a | 2.2 a | 11.1 ab | 87 a | 87.8 a | |
| O | 35 b | 0.4 a | 1.4 b | 2.5 a | 10.9 b | 83 b | 86.7 a | |
| Treatment | Bait Reema | Gilat | |||||
|---|---|---|---|---|---|---|---|
| 1 | 2 | 3 | 1 | 2 | 3 | ||
| H′ | P | 1.74 | 1.93 | 1.90 | 0.82 | 0.83 | 0.64 |
| W | 2.08 | 1.72 | 1.53 | 0.70 | 0.56 | 0.91 | |
| O | 2.22 | 1.81 | 2.27 | 0.55 | 1.12 | 1.23 | |
| J | P | 0.83 | 0.85 | 0.85 | 0.81 | 0.67 | 0.73 |
| W | 0.75 | 0.67 | 0.60 | 0.63 | 0.51 | 0.91 | |
| O | 0.84 | 0.76 | 0.88 | 0.88 | 0.87 | 0.83 | |

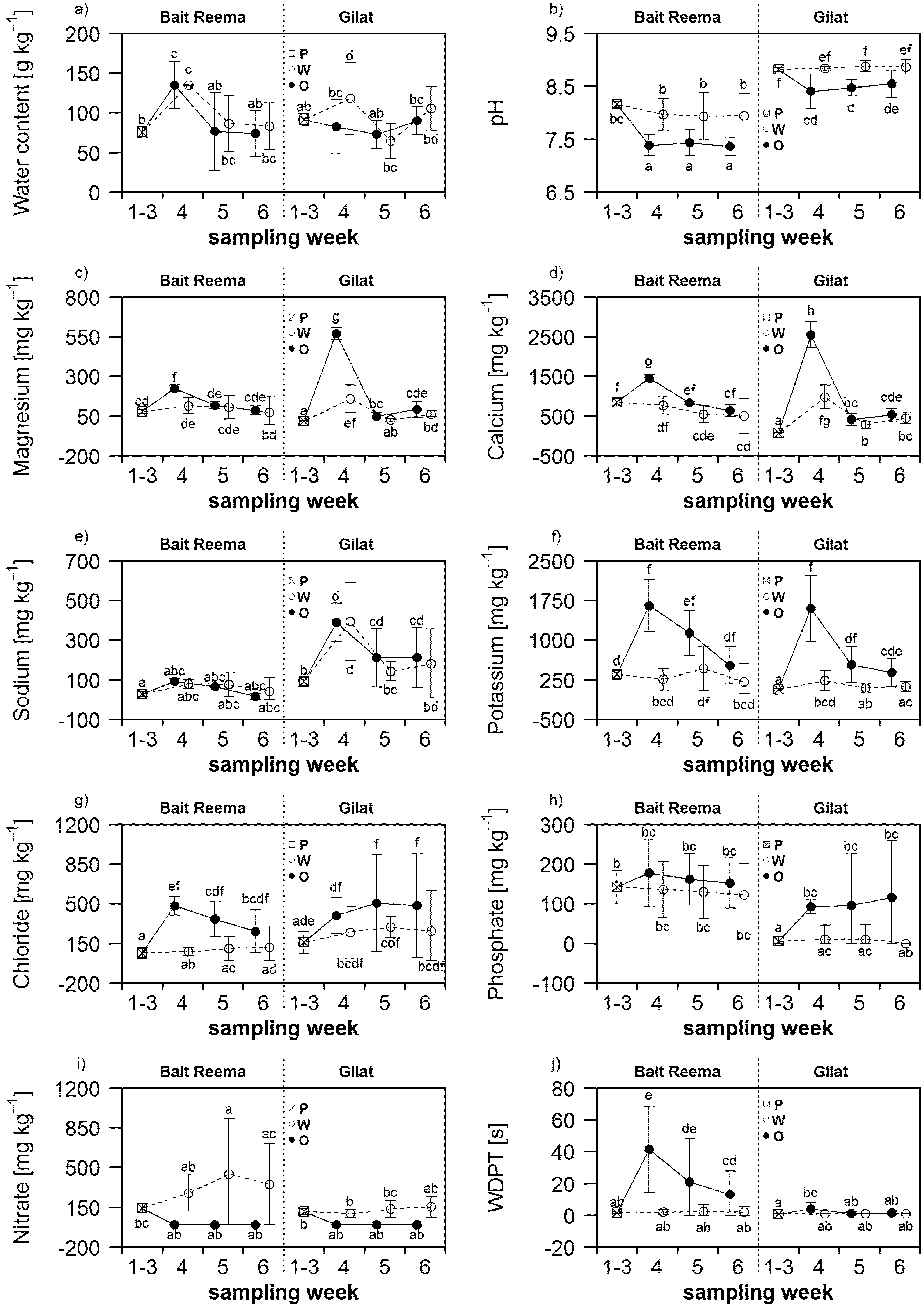
3.2. Effects of OMW and Water Application on Soil Properties

3.3. Effects of OMW and Water Application on Soil Arthropod Communities


3.3.1. Hypothesis I: Interplay between Water Availability and Toxic Effects
3.3.2. Hypothesis II: Interplay between Toxic and Beneficial Effects of OMW Constituents
3.3.3. Hypothesis III: Interplay between Stress Factors
4. Conclusions
Acknowledgments
Author Contributions
References
- Saadi, I.; Laor, Y.; Raviv, M.; Medina, S. Land spreading of olive mill wastewater: Effects on soil microbial activity and potential phytotoxicity. Chemosphere 2007, 66, 75–83. [Google Scholar] [CrossRef] [PubMed]
- Laor, Y.; Saadi, I.; Raviv, M.; Medina, S.; Erez-Reifen, D.; Eizenbergc, H. Land spreading of olive mill wastewater in Israel: Current knowledge, practical experience, and future research needs. Isr. J. Plant Sci. 2011, 59, 39–51. [Google Scholar] [CrossRef]
- Cohen, A.; Sever, Y.; Tzipori, A.; Fiman, D. West bank streams monitoring. Stream pollution evaluation based on sampling during the year 2007. Technique Repor; In Environmental Unit; Israel Nature and National Parks Protection Authority: Jerusalem, Israel, 2008. [Google Scholar]
- Mekki, A.; Dhouib, A.; Sayadi, S. Changes in microbial and soil properties following amendment with treated and untreated olive mill wastewater. Microbiol. Res. 2006, 161, 93–101. [Google Scholar] [CrossRef] [PubMed]
- Da Luz, T.N.; Ribeiro, R.; Sousa, J.P. Avoidance tests with collembola and earthworms as early screening tools for site-specific assessment of polluted soils. Environ. Toxicol. Chem. 2004, 23, 2188–2193. [Google Scholar] [CrossRef] [PubMed]
- Chartzoulakis, K.; Psarras, G.; Moutsopoulou, M.; Stefanoudaki, E. Application of olive mill wastewater to a cretan olive orchard: Effects on soil properties, plant performance and the environment. Agric. Ecosyst. Environ. 2010, 138, 293–298. [Google Scholar] [CrossRef]
- Laor, Y.; Raviv, M.; Capua, S. The Israeli Olive Oil Industry and Viable Solutions for Its Associated Wastes, Proceeding of the International Conference on New Technologies for the Treatment and Valorization of Agro Byproducts, Terni, Italy, 3–5 October 2007.
- Cabrera, F.; López, R.; Martinez-Bordiú, A.; de Lome, E.D.; Murillo, J.M. Land treatment of olive oil mill wastewater. Int. Biodeterior. Biodegrad. 1996, 38, 215–225. [Google Scholar] [CrossRef]
- Schaumann, G.E.; Borisover, M.; Nasser, A.; Bukhanovsky, N.; Hasan, J.; Marei Sawalha, A. Potential effects of olive oil production waste water on soil quality. Acta Hortic. 2010, 888, 337–344. [Google Scholar]
- Mekki, A.; Dhouib, A.; Aloui, F.; Sayadi, S. Olive wastewater as an ecological fertiliser. Agron. Sustain. Dev. 2006, 26, 61–67. [Google Scholar] [CrossRef]
- Gonzalez-Vila, F.J.; Verdejo, T.; Delrio, J.C.; Martin, F. Accumulation of hydrophobic compounds in the soil lipidic and humic fractions as result of a long-term land treatment with olive oil mill effluents (alpechin). Chemosphere 1995, 31, 3681–3686. [Google Scholar] [CrossRef]
- S’Habou, R.Z.; Ben Dhia, H. Characterisation and environnemental impacts of olive oil wastewater disposal. Environ. Technol. 2005, 26, 35–45. [Google Scholar] [CrossRef] [PubMed]
- Peikert, B.; Schaumann, G.E.; Keren, Y.; Bukhanovsky, N.; Borisover, M.; Abo Garfha, M.; Hassan, J.; Dag, A. Characterization of topsoils subjected to poorly controlled olive oil mill wastewater pollution in west bank and israel. Agric. Ecosyst. Environ. 2015, 199, 176–189. [Google Scholar] [CrossRef]
- Sierra, J.; Marti, E.; Montserrat, G.; Cruanas, R.; Garau, M.A. Characterisation and evolution of a soil affected by olive oil mill wastewater disposal. Sci. Total Environ. 2001, 279, 207–214. [Google Scholar] [CrossRef]
- Paredes, M.J.; Monteoliva-Sanchez, M.; Moreno, E.; Perez, J.; Ramos-Cormenzana, A.; Martinez, J. Effect of waste waters from olive oil extraction plants on the bacterial population of soil. Chemosphere 1986, 15, 659–664. [Google Scholar] [CrossRef]
- Asfi, M.; Ouzounidou, G.; Moustakas, M. Evaluation of olive oil mill wastewater toxicity on spinach. Environ. Sci. Pollut. Res. Int. 2012, 19, 2363–2371. [Google Scholar] [CrossRef] [PubMed]
- Buchmann, C.; Felten, A.; Peikert, B.; Muñoz, K.; Bandow, N.; Dag, A.; Schaumann, G.E. Development of phytotoxicity and composition of a soil treated with olive mill wastewater (omw): An incubation study. Plant Soil 2015, 386, 99–112. [Google Scholar] [CrossRef]
- Justino, C.; Pereira, R.; Freitas, A.; Rocha-Santos, T.; Panteleitchouk, T.; Duarte, A. Olive oil mill wastewaters before and after treatment: A critical review from the ecotoxicological point of view. Ecotoxicology 2012, 21, 615–629. [Google Scholar] [CrossRef] [PubMed]
- Brussaard, L. Biodiversity and ecosystem functioning in soil. Ambio 1997, 26, 563–570. [Google Scholar]
- Lavelle, P.; Decaëns, T.; Aubert, M.; Barot, S.; Blouin, M.; Bureau, F.; Margerie, P.; Mora, P.; Rossi, J.-P. Soil invertebrates and ecosystem services. Eur. J. Soil Biol. 2006, 42, 3–15. [Google Scholar] [CrossRef]
- Di Bene, C.; Pellegrino, E.; Debolini, M.; Silvestri, N.; Bonari, E. Short- and long-term effects of olive mill wastewater land spreading on soil chemical and biological properties. Soil Biol. Biochem. 2013, 56, 21–30. [Google Scholar] [CrossRef]
- Piotrowska, A.; Iamarino, G.; Rao, M.A.; Gianfreda, L. Short-term effects of olive mill waste water (OMW) on chemical and biochemical properties of a semiarid mediterranean soil. Soil Biol. Biochem. 2006, 38, 600–610. [Google Scholar] [CrossRef]
- Dudeen, B.; Lacirignola, C.; Montanarella, L.; Steduto, P.; Zdruli, P. The soils of palestine (the west bank and gaza strip) current status and future perspectives. In Soil Resources of Southern and Eastern Mediterranean Countries; Centre International de Hautes Etudes Agronomiques Méditerranéennes (CIHEAM): Bari, Italy, 2001; Volume 34, pp. 203–225. [Google Scholar]
- Wiesman, Z. Desert Olive Oil Cultivation: Advanced Bio Technologie; Elsevier Science: New York, NY, USA, 2009. [Google Scholar]
- Palestinian Central Bureau of Statistics; Palestinian Meteorological Directorate. Press released on the occasion of world meteorological day. In PCBS; 23 March 2011. [Google Scholar]
- Dan, J.; Yaalon, D.H.; Koyumdjisky, H.; Raz, Z. The soil association map of Israel. Isr. J. Earth-Sci. 1972, 21, 29–49. [Google Scholar]
- Diehl, D.; Bayer, J.V.; Woche, S.K.; Bryant, R.; Doerr, S.H.; Schaumann, G.E. Reaction of soil water repellency to artificially induced changes in soil pH. Geoderma 2010, 158, 375–384. [Google Scholar] [CrossRef]
- Box, J.D. Investigation of the folin-ciocalteau phenol reagent for the determination of polyphenolic substances in natural waters. Water Resour. 1983, 17, 511–525. [Google Scholar]
- Tullgren, A. Ein sehr einfacher Ausleseapparat für terricole Tierfaunen. Z. Angew. Entomol. 1918, 4, 149–150. [Google Scholar]
- Gerson, U.; Smiley, R.L.; Ochoa, R. Mites (Acari) for Pest Control; John Wiley & Sons: London, UK, 2008; p. 540. [Google Scholar]
- Weigmann, G. Hornmilben (Oribatida). Die Tierwelt Deutschlands, Teil 76; Goecke & Evers: Keltern, Germany, 2006; p. 520. [Google Scholar]
- Bellinger, P.F.; Christiansen, K.A.; Janssens, F. Checklist of the Collembola of the World. Available online: http://www.collembola.org (accessed on 10 September 2015).
- R Core Team. R: A Language and Environment for Statistical Computing; R Foundation for Statistical Computing: Vienna, Austria, 2013. [Google Scholar]
- Oksanen, J.; Blanchet, F.G.; Kindt, R.; Legendre, P.; Minchin, P.R.; O’Hara, R.B.; Simpson, G.L.; Solymos, P.; Stevens, M.H.H.; Wagner, H. Vegan: Community Ecology Package. R Package Version 2.3-0. 2015. Available online: http://CRAN.R-project.org/package=vegan (accessed on 10 September 2015).
- Veneables, W.N.; Ripley, B.D. Modern Applied Statistics with S; Springer: New York, NY, USA, 2002. [Google Scholar]
- Hothorn, T.; Bretz, F.; Westfall, P. Simultaneous inference in general parametric models. Biom. J. 2008, 50, 346–363. [Google Scholar] [CrossRef] [PubMed]
- Shapiro, S.S.; Wilk, M.B. An analysis of variance test for normality (complete samples). Biometrika 1965, 52, 591–611. [Google Scholar] [CrossRef]
- Brown, M.B.; Forsythe, A.B. Robust tests for equality of variances. In Contributions to Probability and Statistics; Stanford University Press: Stanford, CA, USA, 1960. [Google Scholar]
- Lane, P.W. Generalized linear models in soil science. Eur. J. Soil Sci. 2002, 53, 241–251. [Google Scholar] [CrossRef]
- Magurran, A.E. Ecological Diversity and Its Measurement; Croom-Helm: London, UK, 1988. [Google Scholar]
- Legendre, P.; Gallagher, E. Ecologically meaningful transformations for ordination of species data. Oecologia 2001, 129, 271–280. [Google Scholar] [CrossRef]
- Oksanen, J.; Guillaume Blanchet, F.; Kindt, R.; Legendre, P.; Minchin, P.R.; O’Hara, R.B.; Simpson, G.L.; Solymos, P.; Stevens, M.H.H.; Wagner, H. Vegan: Community Ecology Package. R package version 2.3-0. Available online: http://CRAN.R-project.org/package=vegan (accessed on 10 September 2015).
- Legendre, P.; Anderson, M.J. Distance-based redundancy analysis: Testing multispecies responses in multifactorial ecological experiments. Ecol. Monogr. 1999, 69, 1–24. [Google Scholar] [CrossRef]
- Bisdom, E.B.A.; Dekker, L.W.; Schoute, J.F.T. Water repellency of sieve fractions from sandy soils and relationships with organic material on soil structure. Geoderma 1993, 56, 105–118. [Google Scholar] [CrossRef]
- Wallwork, J.A.; Macquitty, M.; Silva, S.; Whitford, W.G. Seasonality of some chihuahuan desert soil oribatid mites (Acari: Cryptostigmata). J. Zool. 1986, 208, 403–416. [Google Scholar] [CrossRef]
- Al-Khalifa, M.S.; Bayoumi, B.M. Distribution of soil mites and collembolans under pine trees in riyadh region, Saudi Arabia. Acta Arachnol. 1983, 32, 27–36. [Google Scholar] [CrossRef]
- Andrén, O.; Lagerlöf, J. Soil fauna (microarthropods, enchytraeids, nematodes) in Swedish agricultural cropping systems. Acta Agric. Scand. 1983, 33, 33–52. [Google Scholar] [CrossRef]
- Hansen, R.A.; Coleman, D.C. Litter complexity and composition are determinants of the diversity and species composition of oribatid mites (Acari: Oribatida) in litterbags. Appl. Soil Ecol. 1998, 9, 17–23. [Google Scholar] [CrossRef]
- Anderson, J.M.; Hall, H. Cryptostigmata species diversity and soil habitat structure. Ecol. Bull. 1977, 25, 473–475. [Google Scholar]
- May, R.; Cody, M.; Diamond, J. Patterns of species abundance and diversity. In Ecology and Evolution of Communities; Harvard University Press: Cambridge, MA, USA, 1975; pp. 81–120. [Google Scholar]
- Postma-Blaauw, M.B.; De Goede, R.G.M.; Bloem, J.; Faber, J.H.; Brussaard, L. Agricultural intensification and de-intensification differentially affect taxonomic diversity of predatory mites, earthworms, enchytraeids, nematodes and bacteria. Appl. Soil Ecol. 2012, 57, 39–49. [Google Scholar] [CrossRef]
- Behan-Pelletier, V.M. Oribatid mite biodiversity in agroecosystems: Role for bioindication. Agric. Ecosyst. Environ. 1999, 74, 411–423. [Google Scholar] [CrossRef]
- Steinberger, Y.; Ben-Ythak, N. Water effect on rebudia pinata decomposition and microarthropod population in Negev desert. Arid Soil Res. Rehabil. 1990, 4, 117–130. [Google Scholar] [CrossRef]
- Paredes, M.J.; Moreno, E.; Ramos-Cormenzana, A.; Martinez, J. Characteristics of soil after pollution with waste waters from olive oil extraction plants. Chemosphere 1987, 16, 1557–1564. [Google Scholar] [CrossRef]
- Bravo, L. Polyphenols: Chemistry, dietary sources, metabolism, and nutritional significance. Nutr. Rev. 1998, 56, 317–333. [Google Scholar] [CrossRef] [PubMed]
- Weishaar, J.L.; Aiken, G.R.; Bergamaschi, B.A.; Fram, M.S.; Fujii, R.; Mopper, K. Evaluation of specific ultraviolet absorbance as an indicator of the chemical composition and reactivity of dissolved organic carbon. Environ. Sci. Technol. 2003, 37, 4702–4708. [Google Scholar] [CrossRef]
- Doerr, S.H.; Shakesby, S.H.; Walsh, R.P.D. Soil water repellency: Its causes, characteristics and hydro-geomorphological significance. Earth-Sci. Rev. 2000, 51, 33–65. [Google Scholar] [CrossRef]
- Mechri, B.; Attia, F.; Braham, M.; Elhadj, S.B.; Hammami, M. Agronomic application of olive mill wastewaters with phosphate rock in a semi-arid mediterranean soil modifies the soil properties and decreases the extractable soil phosphorus. J. Environ. Manag. 2007, 85, 1088–1093. [Google Scholar] [CrossRef] [PubMed]
- Giovannini, G.; Lucchesi, S.; Cervelli, S. Water-repellent substances and aggregate stability in hydrophobic soil. Soil Sci. 1983, 135, 110–113. [Google Scholar] [CrossRef]
- Clothier, B.E.; Vogeler, I.; Magesan, G.N. The breakdown of water repellency and solute transport through a hydrophobic soil. J. Hydrol. 2000, 231–232, 255–264. [Google Scholar] [CrossRef]
- Steinmetz, Z.; Kurtz, M.P.; Dag, A.; Zipori, I.; Schaumann, G.E. The seasonal influence of olive mill wastewater applications on an orchard soil under semi-arid conditions. J. Plant Nutr. Soil Sci. 2015, 178, 641–648. [Google Scholar] [CrossRef]
- Mahmoud, M.; Janssen, M.; Haboub, N.; Nassour, A.; Lennartz, B. The impact of olive mill wastewater application on flow and transport properties in soils. Soil Tillage Res. 2010, 107, 36–41. [Google Scholar] [CrossRef]
- Tsiafouli, M.A.; Kallimanis, A.S.; Katana, E.; Stamou, G.P.; Sgardelis, S.P. Responses of soil microarthropods to experimental short-term manipulations of soil moisture. Appl. Soil Ecol. 2005, 29, 17–26. [Google Scholar] [CrossRef]
- Mitchell, M.J. Life history strategies of oribatid mites. In Biology of Oribatid Mites; Dindal, D.L., Ed.; SUNY-CESF: Syracuse, NY, USA, 1977; pp. 65–69. [Google Scholar]
- Skubala, P.; Gulvik, M. Pioneer oribatid mite communities (Acari, oribatida) in newly exposed natural (glacier foreland) and anthropogenic (post-industrial dump) habitats. Pol. J. Ecol. 2005, 53, 395–407. [Google Scholar]
- Minor, M.A.; Norton, R.A. Effects of soil amendments on assemblages of soil mites (Acari: Oribatida, mesostigmata) in short-rotation willow plantings in central New York. Can. J. For. Res. 2004, 34, 1417–1425. [Google Scholar] [CrossRef]
- Lebrun, P.; Vanstraalen, N.M. Oribatid mites—Prospects for their use in ecotoxicology. Exp. Appl. Acarol. 1995, 19, 361–379. [Google Scholar] [CrossRef]
- Skubala, P.; Slaskiego, W.U.; Katowice, P. Colonization and Development of Oribatid Mite Communities (Acari, Oribatida) on Post-Industrial Dumps. Wydawnictwo Uniwersytetu Slaskiego: Katowice, Poland, 2004. [Google Scholar]
- Ribeiro, L.P.; Gama-Rodrigues, E.F.; Moço, M.K.D.S.; Gama-Rodrigues, A.C. Influence of mineral fertilization on edaphic fauna in Acacia auriculiformis (a. Cunn) plantations. Rev. Bras. Ciênc. Solo 2014, 38, 39–49. [Google Scholar] [CrossRef]
- Tomczyk, A.; Suszko, M. The role of phenols in the influence of herbal extracts from salvia officinalis l. And Matricaria chamomilla L. On two-spotted spider mite Tetranychus urticae koch. Biol. Lett. 2012, 48, 193. [Google Scholar] [CrossRef]
- Bi, J.L.; Felton, G.W. Foliar oxidative stress and insect herbivory: Primary compounds, secondary metabolites, and reactive oxygen species as components of induced resistance. J. Chem. Ecol. 1995, 21, 1511–1530. [Google Scholar] [CrossRef] [PubMed]
- Paraskeva, P.; Diamadopoulos, E. Technologies for olive mill wastewater (OMW) treatment: A review. J. Chem. Technol. Biotechnol. 2006, 81, 1475–1485. [Google Scholar] [CrossRef]
- Glenn, D.M.; Puterka, G.J.; Vander Zwet, T.; Byers, R.E.; Feldhake, C. Hydrophobic Particle films: A new paradigm for suppression of arthropod pests and plant diseases. J. Econ. Entomol. 1999, 92, 759–771. [Google Scholar] [CrossRef]
- Anyon, M.J.; Orchard, M.J.; Buzza, D.M.A.; Humphries, S.; Kohonen, M.M. Effect of particulate contamination on adhesive ability and repellence in two species of ant (hymenoptera; formicidae). J. Exp. Biol. 2012, 215, 605–616. [Google Scholar] [CrossRef]
- Van Straalen, N.M.; Verhoef, H.A. The development of a bioindicator system for soil acidity based on arthropod pH preferences. J. Appl. Ecol. 1997, 34, 217–232. [Google Scholar] [CrossRef]
- Hågvar, S.; Abrahamsen, G. Colonisation by enchytraeidae, collembola and acari in sterile soil samples with adjusted pH levels. Oikos 1980, 34, 245–258. [Google Scholar] [CrossRef]
- Xu, G.-L.; Kuster, T.M.; Günthardt-Goerg, M.S.; Dobbertin, M.; Li, M.-H. Seasonal exposure to drought and air warming affects soil collembola and mites. PLoS ONE 2012, 7, e43102. [Google Scholar] [CrossRef] [PubMed]
- Lindberg, N.; Engtsson, J.B.; Persson, T. Effects of experimental irrigation and drought on the composition and diversity of soil fauna in a coniferous stand. J. Appl. Ecol. 2002, 39, 924–936. [Google Scholar] [CrossRef]
- Cutz-Pool, L.Q.; Palacios-Vargas, J.G.; Castaño-Meneses, G.; García-Calderón, N.E. Edaphic collembola from two agroecosystems with contrasting irrigation type in hidalgo state, Mexico. Appl. Soil Ecol. 2007, 36, 46–52. [Google Scholar] [CrossRef]
© 2015 by the authors; licensee MDPI, Basel, Switzerland. This article is an open access article distributed under the terms and conditions of the Creative Commons Attribution license (http://creativecommons.org/licenses/by/4.0/).
Share and Cite
Kurtz, M.P.; Peikert, B.; Brühl, C.; Dag, A.; Zipori, I.; Shoqeir, J.H.; Schaumann, G.E. Effects of Olive Mill Wastewater on Soil Microarthropods and Soil Chemistry in Two Different Cultivation Scenarios in Israel and Palestinian Territories. Agriculture 2015, 5, 857-878. https://doi.org/10.3390/agriculture5030857
Kurtz MP, Peikert B, Brühl C, Dag A, Zipori I, Shoqeir JH, Schaumann GE. Effects of Olive Mill Wastewater on Soil Microarthropods and Soil Chemistry in Two Different Cultivation Scenarios in Israel and Palestinian Territories. Agriculture. 2015; 5(3):857-878. https://doi.org/10.3390/agriculture5030857
Chicago/Turabian StyleKurtz, Markus Peter, Benjamin Peikert, Carsten Brühl, Arnon Dag, Isaac Zipori, Jawad Hasan Shoqeir, and Gabriele Ellen Schaumann. 2015. "Effects of Olive Mill Wastewater on Soil Microarthropods and Soil Chemistry in Two Different Cultivation Scenarios in Israel and Palestinian Territories" Agriculture 5, no. 3: 857-878. https://doi.org/10.3390/agriculture5030857
APA StyleKurtz, M. P., Peikert, B., Brühl, C., Dag, A., Zipori, I., Shoqeir, J. H., & Schaumann, G. E. (2015). Effects of Olive Mill Wastewater on Soil Microarthropods and Soil Chemistry in Two Different Cultivation Scenarios in Israel and Palestinian Territories. Agriculture, 5(3), 857-878. https://doi.org/10.3390/agriculture5030857
