Abstract
Thermal-based germination models are widely used to predict germination rate and germination timing of plants. However, comparison of model parameters between large numbers of species is rare. In this study, seeds of 27 species including 12 C4 and 15 C3 species were germinated at a range of constant temperatures from 5 °C to 40 °C. We used a modified thermal time model to calculate germination parameters at suboptimal temperatures. Generally, the optimal germination temperature was higher for C4 species than for C3 species. The thermal time constant for the 50% germination percentile was significantly higher for C3 than C4 species. The thermal time constant of perennials was significantly higher than that of annuals. However, differences in base temperatures were not significant between C3 and C4, or annuals and perennial species. The relationship between germination rate and seed mass depended on plant functional type and temperature, while the base temperature and thermal time constant of C3 and C4 species exhibited no significant relationship with seed mass. The results illustrate differences in germination characteristics between C3 and C4 species. Seed mass does not affect germination parameters, plant life cycle matters, however.
1. Introduction
Temperature not only affects seed formation and development, but also influences seed germination and seedling establishment [1,2]. Fastest germination usually occurs at optimal temperatures [3] or over an optimal temperature range [4]. Seeds germinate at lower percentages and rates at temperatures lower or higher than the optimum [5]. Extreme high temperature will kill seeds [6], while extreme low temperature impedes the start of germination-physiological processes [7].
The rate of germination (defined as the reciprocal of the time taken for 50% seeds to germinate) usually increases linearly with temperature in the suboptimal range and then decreases linearly [8,9,10]. Garcia-Huidobro et al. [11] developed a linear thermal time model (TT model) to calculate the cardinal temperatures and the thermal time constant at suboptimal (θ1(g)) and supraoptimal temperatures (θ2(g)) of different subpopulations (germination fractions/percentiles) g in a seed lot. The two equations are:
GRg = 1/tg = (T − Tb(g)) / θ1(g) T < To
GRg = 1/tg = (Tc(g) − T) / θ2(g) T > To
For any given subpopulation, germination rate can be described by two straight lines. The slopes of the two lines are θ1(g) and θ2(g) with the intersection of the two lines defined as To. The two points where germination percentages equal zero were defined as the base, Tb(g), and maximal temperature, Tc(g), respectively [11].
Recently, we showed that for ryegrass and tall fescue species, germination rate was not significantly different over an optimal temperature range, thus we proposed a modified thermal time model (MTT model), with equations as follows [4]:
GRg = 1/tg = (T − Tb(g)) / θ1(g) T < Tol(g)
GRg = 1/tg = K Tol(g) ≤ T ≤ Tou(g)
GRg = 1/tg = (Tc(g) − T) / θ2(g) T > Tou(g)
Where Tol is the lower limit of the optimum temperature range and Tou is the upper limit of the optimum temperature range. Different subpopulations in a seed population may have different Tol and Tou values. K is the average value of Tol to Tou for a given subpopulation.
The base temperature and thermal time constant in the model have great significance, and can be used to compare germination timing between different species or for the same species in different habitats or climatic conditions [12,13]. However, most studies use the thermal time model to investigate intraspecific variation of germination or differences between several species [3,14,15,16]. However, comparison of thermal time model parameters between large numbers of species and between different functional groups is lacking [17,18]. Knowing and comparing the base temperature and thermal time constant at the species level can increase our ability to predict species distribution shift under climate change. It may also provide useful information for plant breeding purposes.
It is widely accepted that high temperature favours C4 species while low temperature favours C3 species. Physiological models predict that the C3 vs. C4 crossover temperature of net assimilation rates (i.e., the temperature above which C4 plants have higher net assimilation rates than C3 plants) is approximately 22 °C [19]. However, it remains unclear whether there are significant differences in germination base temperature and thermal time constant between the two groups.
Seed mass is one of the most important functional traits, which affects many aspects of species’ regeneration processes [20], including germination. Compared with small seeded species, large seeded species generally germinate better under drought [21], shade [22] and salt conditions [23]. The relationship between seed mass and thermal time parameters has not been tested.
In this study, we used the modified thermal time model to calculate the base temperatures and thermal time constants of different C3 and C4 species in the Songnen grassland. We had two main objectives: (1) to compare the difference of germination response and model parameters between C3 and C4 species; (2) to test the relationship between model parameters and seed size within the two group species.
2. Materials and Methods
2.1. Plant Materials and Habitats
Twenty seven species were used in this study, among which Plantago asiatica, Saussurea glomerata, Lactuca indica, Cynanchum sibiricum, Dracocephalum moldavica, Cynanchum chinense, Allium odorum, Convolvulus arvensis, Pharbitis purpurea, Bidens parviflora, Achillea mongolica, Potentilla chinensis, Stipa baicalensis, Lappula echinata, Incarvillea sinensis were C3 species, Kochia prostrate, Artemisia anethifolia, Salsola collina, Portulaca oleracea, Setaria viridis, Chenopodium album, Amaranthus retroflexus, Amaranthus blitoides, Chloris virgata, Eriochloa villosa, Euphorbia humifusa, Echinochloa crusgalli were C4 species [24,25]. Species information was given in Table 1. Mature seeds were collected in autumn from wild populations in Changling, Jilin Province of China. The seeds were stored in cloth bags in a fridge at 4 °C until used. Mean seed mass was calculated by weighing 30 seeds of each species on a microbalance, with five replicates.
2.2. Germination Tests
The experiments were conducted in programmed chambers (HPG-400HX; Harbin Donglian Electronic and Technology Co. Ltd., Harbin, China) under a 12-h light/12-h dark photoperiod, with light at approximately 200 μmol·m−2s−1 supplied by cool white fluorescent lamps (Sylvania). Eight constant temperature treatments from 5 °C to 40 °C at 5 °C intervals were set in different chambers. There were four replicates at each temperature. For each replicate, 100 seeds were germinated on two layers of filter paper in Petri dishes (10 cm in diameter). The filter paper was kept moistened with distilled water. Seeds were considered to have germinated when the radicle emerged, and germinated seeds were removed. Germination was recorded every 8 h in the first week, every 12 h in the second week and then once a day as germination rates decreased. Germination tests were terminated when no seeds had germinated for 3 consecutive days.
Table 1.
Photosynthetic-type (P), family, life cycle, single seed weight (calculated from 30 seeds, n = 5) of 27 wild species in this study.
| P | Species | Family | Life Cycle | Seed Weight (mg) |
|---|---|---|---|---|
| C4 | Kochia prostrata | Amaranthaceae | Annual | 0.762 ± 0.013 |
| Chenopodium album | Amaranthaceae | Annual | 0.579 ± 0.006 | |
| Salsola collina | Amaranthaceae | Annual | 1.632 ± 0.064 | |
| Amaranthus blitoides | Amaranthaceae | Annual | 0.965 ± 0.019 | |
| Amaranthus retroflexus | Amaranthaceae | Annual | 0.502 ± 0.006 | |
| Setaria viridis | Poaceae | Annual | 0.815 ± 0.007 | |
| Chloris virgata | Poaceae | Annual | 0.629 ± 0.025 | |
| Echinochloa crusgalli | Poaceae | Annual | 1.836 ± 0.028 | |
| Eriochloa villosa | Poaceae | Annual | 3.549 ± 0.353 | |
| Portulaca oleracea | Portulacaceae | Annual | 0.134 ± 0.003 | |
| Euphorbia humifusa | Euphorbiaceae | Annual | 0.434 ± 0.007 | |
| Artemisia anethifolia | Compositae | Biennial | 1.019 ± 0.012 | |
| C3 | Lappula echinata | Boraginaceae | Annual | 2.170 ± 0.052 |
| Incarvillea sinensis | Bignoniaceae | Annual | 0.660 ± 0.010 | |
| Dracocephalum moldavica | Labiatae | Annual | 1.892 ± 0.031 | |
| Bidens parviflora | Compositae | Annual | 5.530 ± 0.139 | |
| Saussurea glomerata | Compositae | Perennial | 2.843 ± 0.077 | |
| Lactuca indica | Compositae | Perennial | 1.031 ± 0.028 | |
| Achillea mongolica | Compositae | Perennial | 0.030 ± 0.001 | |
| Allium odorum | Liliaceae | Perennial | 2.187 ± 0.017 | |
| Convolvulus arvensis | Convolvulaceae | Perennial | 31.82 ± 0.131 | |
| Pharbitis purpurea | Convolvulaceae | Perennial | 28.55 ± 0.442 | |
| Cynanchum sibiricum | Asclepiadaceae | Perennial | 5.973 ± 0.124 | |
| Cynanchum chinense | Asclepiadaceae | Perennial | 4.217 ± 0.070 | |
| Potentilla chinensis | Rosaceae | Perennial | 0.411 ± 0.010 | |
| Stipa baicalensis | Poaceae | Perennial | 7.980 ± 0.194 | |
| Plantago asiatica | Plantaginaceae | Perennial | 0.229 ± 0.002 |
2.3. Data Analysis
Germination data were arcsine transformed before being subjected to statistical analysis. For modeling purposes, a seed population was considered to be composed of subpopulations defined by differences in their relative germination rates (Garcia-Huidobro et al., 1982 [11]). In this study, the 1st and 50th germination percentiles were used to calculate thermal time model parameters, as they represent first germination and half of the seeds germination. Germination rates were defined as the reciprocal of 1% and 50% germination times. The differences between germination rates at different constant temperatures were tested by One-Way ANOVA (p < 0.05). The base temperature (Tb) and thermal time constant (θ1) at suboptimal temperatures of each species were predicted by the modified thermal time model (Equation (3) in the introduction). Differences in Tb and θ1 of C3 and C4 species were examined using Independent-Samples T test (p < 0.05). Linear regression was used to test the relationship between Tb, θ1 and seed mass of C3 and C4 species. Data transformation and analysis of variance were carried out in SPSS (version 13.0, SPSS Inc., Chicago, IL, USA). Regression and calculation of model parameters were carried out in SigmaPlot (version 10.0, Systat Software Inc., Richmond, CA, USA).
3. Results and Discussion
3.1. Germination Responses of C3 and C4 Species to Temperature
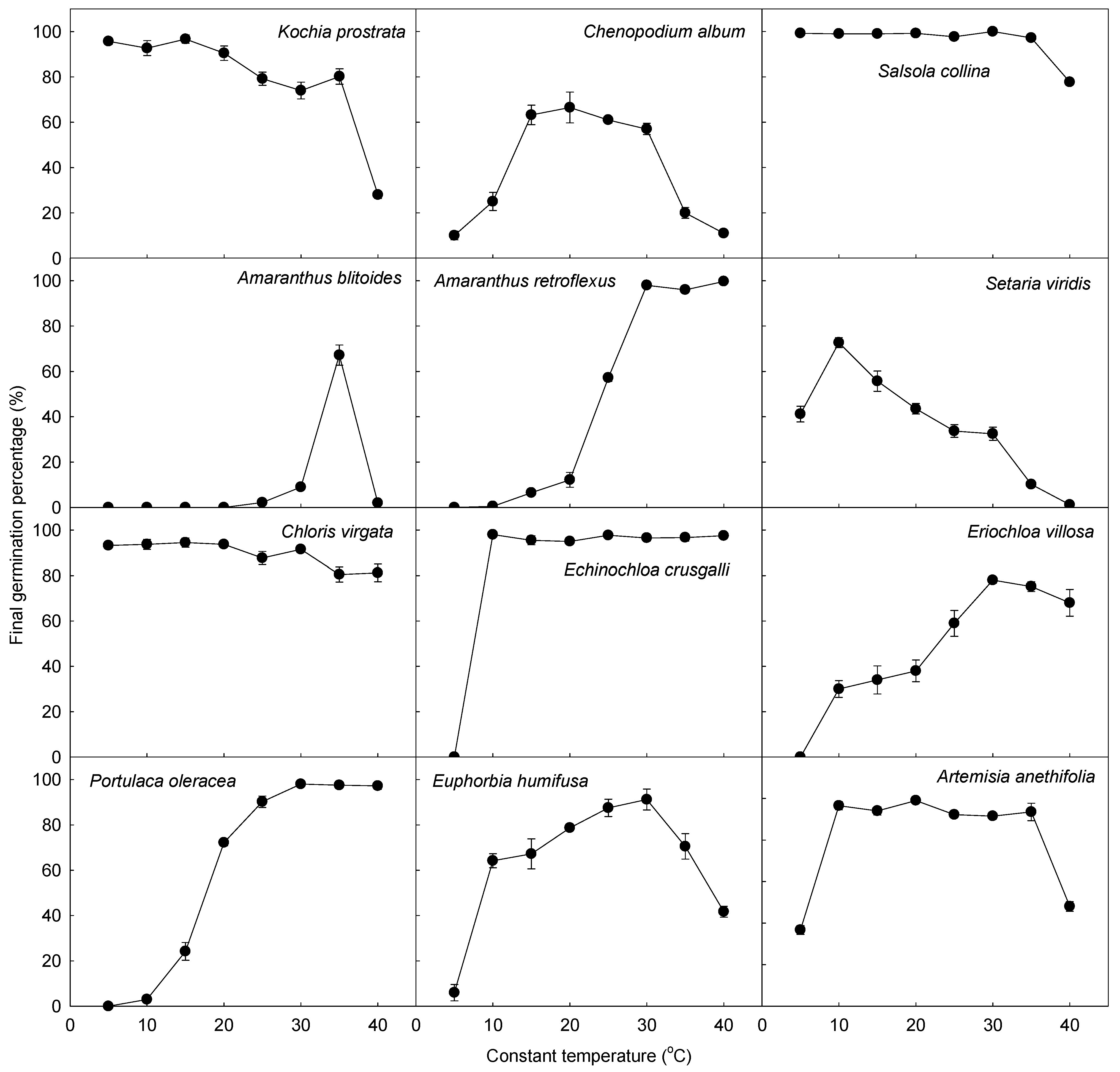
The twelve C4 species exhibited a variety of responses to constant temperatures (Figure 1). Seeds of Kochia prostrata, Salsola collina, Chloris virgata, Echinochloa crusgalli and Artemisia anethifolia germinated well (>80%) at a wide range of temperatures from 5–35 °C or 10–35 °C. The germination percentages of Amaranthus retroflexus, Eriochloa villosa and Portulaca oleracea increased with temperature until 30 °C, and then kept constant or decreased slightly. The germination percentages of Chenopodium album and Euphorbia humifusa increased with temperature, then decreased greatly above 30 °C. For Amaranthus blitoides and Setaria viridis, more than half of the seeds did not germinate at most temperatures.
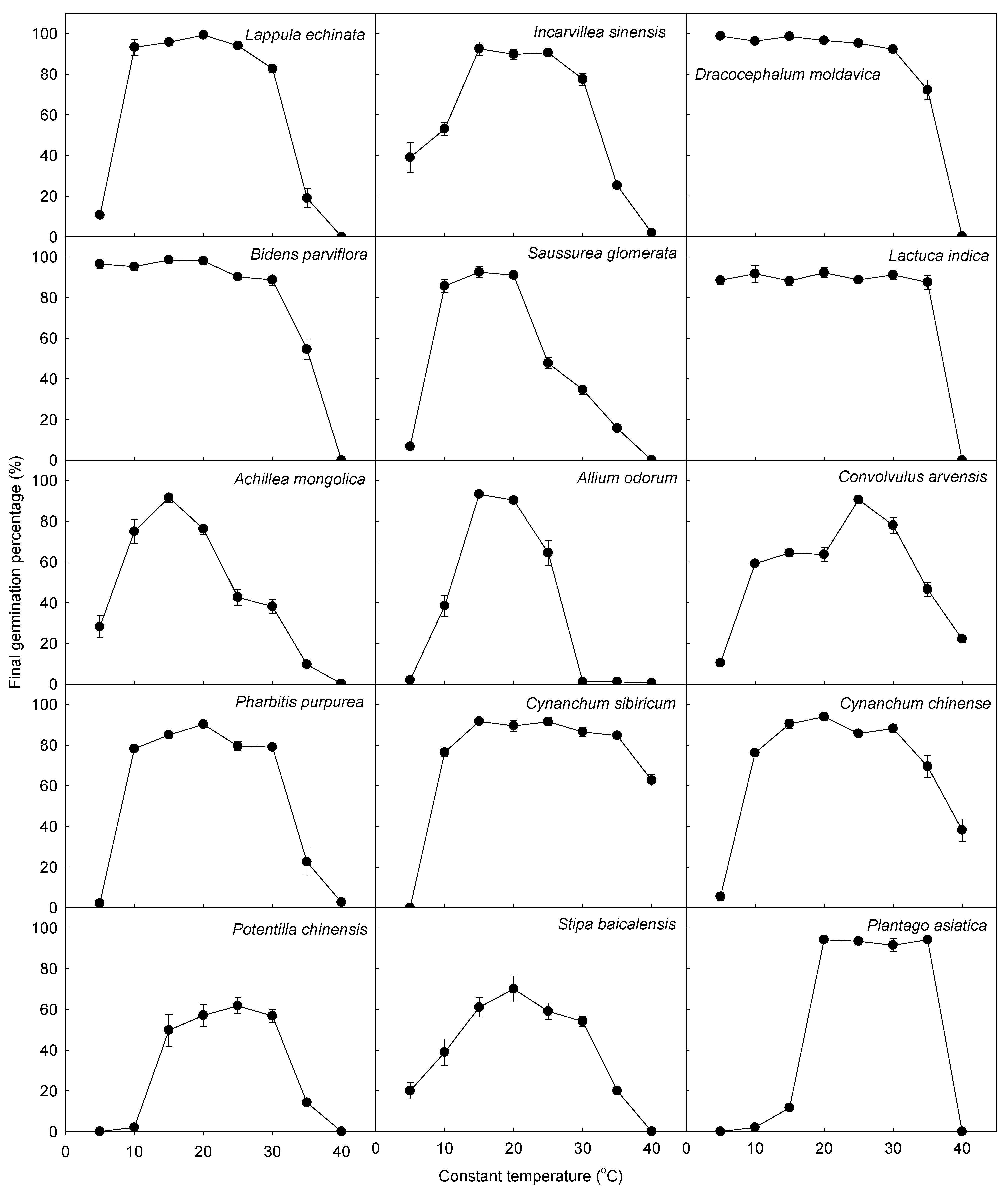
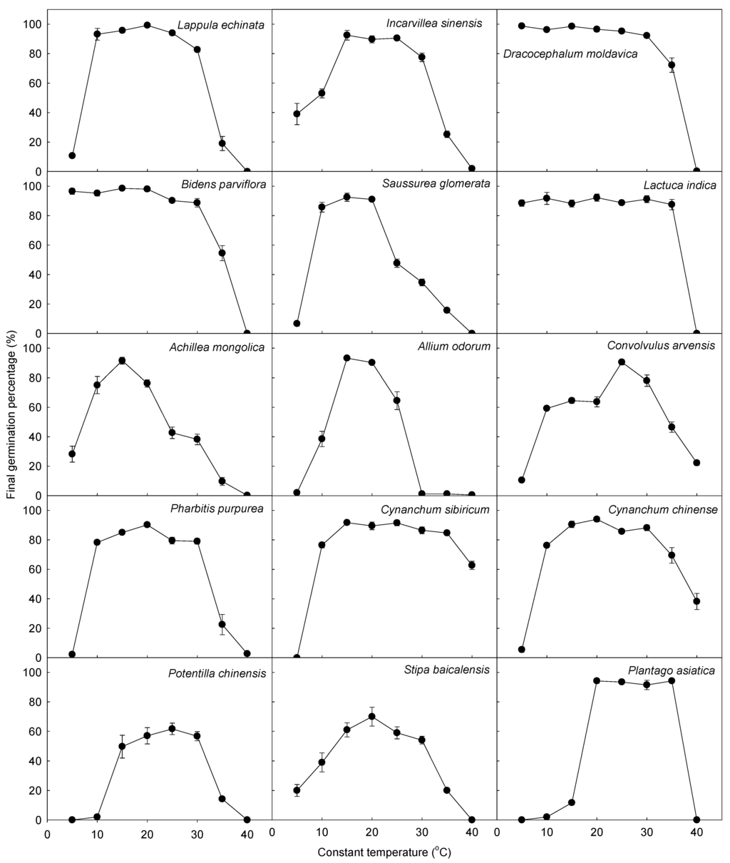
For most C3 species, the relationship between germination percentage and temperature resembled an upside-down “U” or “V” (Figure 2). Only three species Dracocephalum moldavica, Bidens parviflora and Lactuca indica had more than 90% seed germination at all temperatures from 5 °C until 30 °C or 35 °C.
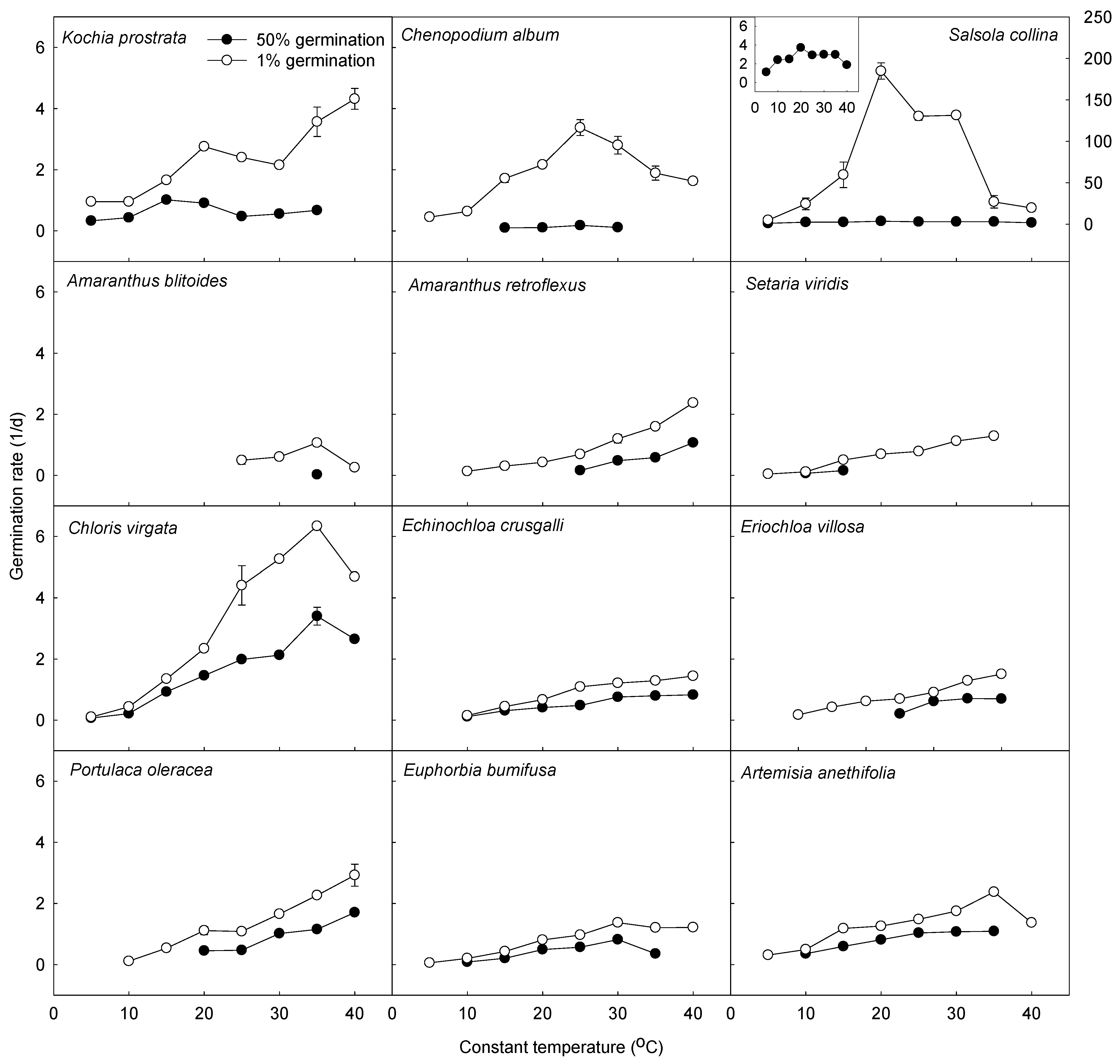
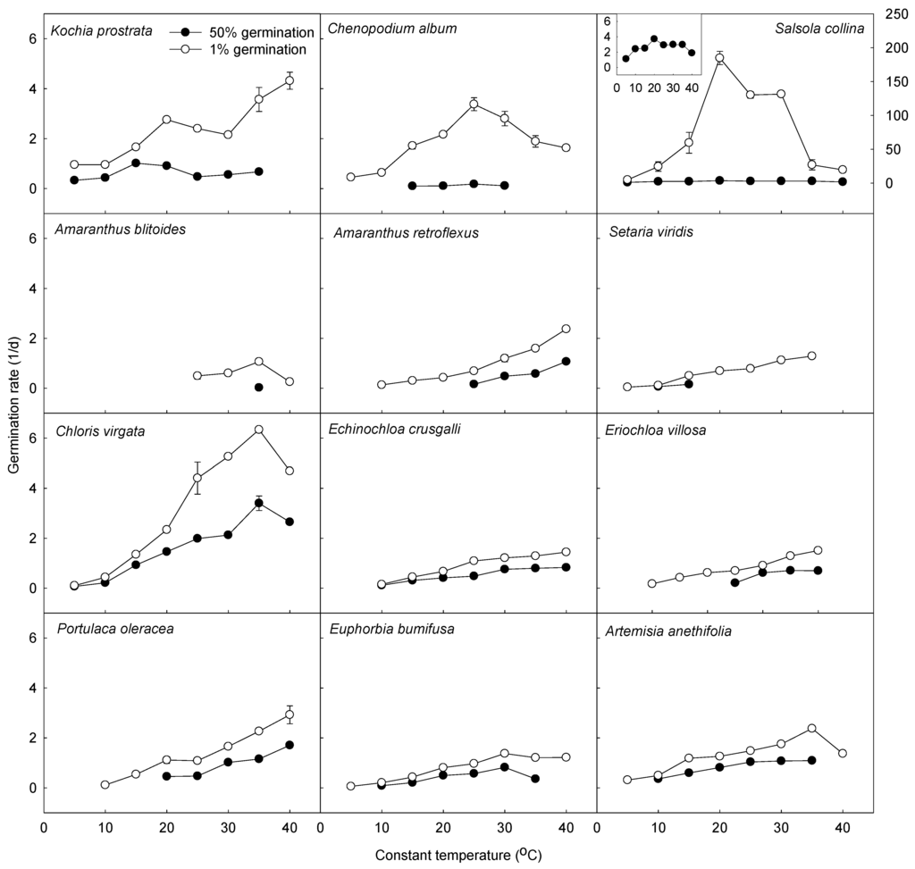
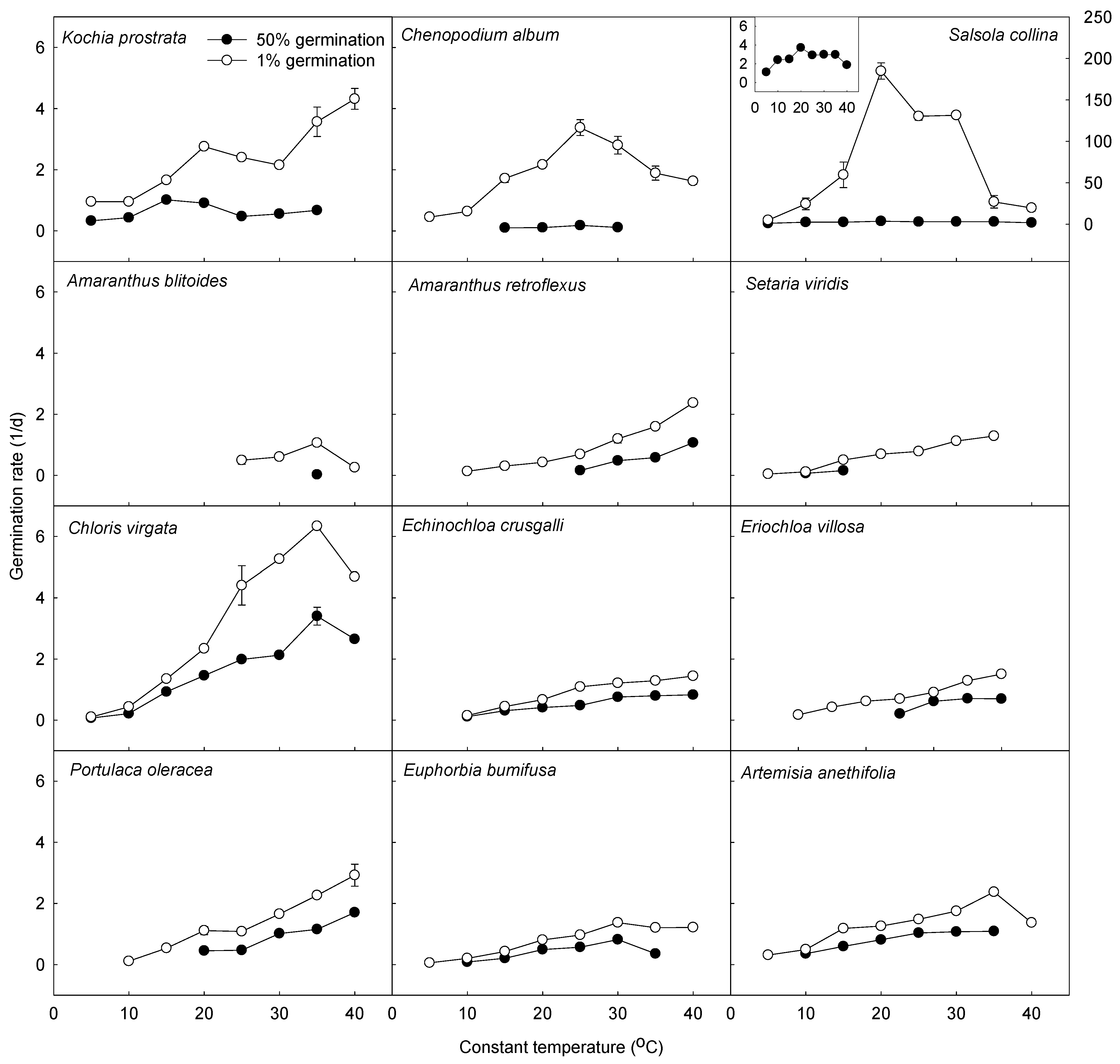
The germination rate either increased with temperature until 40 °C, or increased until an optimal temperature, then decreased, irrespective of whether they were C3 or C4 species (Figure 3 and Figure 4). The trends of germination rate change with temperature were similar for 1% and 50% germination percentiles of each species. The germination rates of C4 species were generally higher than those of C3 species, with S. collina most rapid, and C. virgata next.
C3 and C4 species are classified by their photosynthetic pathway. C3 species are mainly distributed to high latitude regions with cooler climate, while C4 species are generally found at low latitudes with warmer climate and strong light [26]. From our study, the two types of species also had different germination responses to temperature [27]. The twelve C4 species used were all annual or biennial and distributed widely in the research region; More than half these species had a wide optimal temperature range. At 5 °C, seven species exhibited no seed germination or lower than 10 percent of seeds germinated; however, all the C4 species could germinate at 40 °C (Figure 1). By contrast, twelve of fifteen C3 species could germinate at 5 °C and ten of the fifteen species could not germinate at 40 °C (Figure 2). Seeds of C4 species germinated faster than those of C3 species at the optimal 30 °C (p < 0.05). Plant responses to temperature reflect the environments in which those species live, thus the differences in germination optima between species may have ecological significance [12].
Figure 1.
Final germination percentages of C4 species at a range of constant temperatures from 5 °C to 40 °C. Bars represent ±SE (n = 4).
Figure 1.
Final germination percentages of C4 species at a range of constant temperatures from 5 °C to 40 °C. Bars represent ±SE (n = 4).

Figure 2.
Final germination percentages of C3 species at a range of constant temperatures from 5 °C to 40 °C Bars represent ±SE (n = 4).
Figure 2.
Final germination percentages of C3 species at a range of constant temperatures from 5 °C to 40 °C Bars represent ±SE (n = 4).

Figure 3.
Germination rates of C4 species for 1% (○) and 50% (●) germination percentiles at a range of constant temperatures from 5 °C to 40 °C. Bars represent ±SE (n = 4). For Salsola collina, scaling of y axis was given on the right-hand side; the enlarged figure was for 50% germination percentile.
Figure 3.
Germination rates of C4 species for 1% (○) and 50% (●) germination percentiles at a range of constant temperatures from 5 °C to 40 °C. Bars represent ±SE (n = 4). For Salsola collina, scaling of y axis was given on the right-hand side; the enlarged figure was for 50% germination percentile.

Figure 4.
Germination rates of C3 species for 1% (○) and 50% (●) germination percentiles at a range of constant temperatures from 5 °C to 40 °C. Bars represent ±SE (n = 4).
Figure 4.
Germination rates of C3 species for 1% (○) and 50% (●) germination percentiles at a range of constant temperatures from 5 °C to 40 °C. Bars represent ±SE (n = 4).

3.2. Comparison of Model Parameters between C3 and C4 Species
We used the modified thermal time model to predict base temperature and thermal time constant of a range of C4 and C3 species (Table 2 and Table 3). As a whole, the estimation was accurate (p < 0.05), except the 50% germination percentile for several species (e.g., K. prostrata, Lappula echinata) and 1% germination percentile for S. collina, A. blitoides, and Saussurea glomerata. The poor fit for these species was due to the lower number of regression points (three or four). The average base temperature of C3 species for the 1% germination percentile (Tb = 3.8 ± 0.4 °C, n = 14) was lower than that for C4 species (Tb = 4.9 ± 1.4 °C, n = 10), with the difference approaching significance (p = 0.074). The average thermal time constant of C3 species for 1% germination percentile (θ1 = 24.7 ± 4.0 °C·d, n = 14) was higher than that of C4 species (θ1 = 15.2 ± 2.2 °C·d, n = 10) (p = 0.45). The differences between model parameters of C3 and C4 species for 50% germination percentile (n = 5 for C3, n = 7 for C4) were similar, with a significant difference in θ1 (p < 0.05). Among the 27 species in this study, the differences in base temperature were not significant between annuals and perennials, but the differences in thermal time constant were significant between annuals and perennials (16.0 °C·d and 26.2 °C·d, respectively; p < 0.01). This result was consistent with previous research [17], which indicated that germination responses to temperature was related to plant life cycle.
Table 2.
Estimated parameters of thermal time model for 1% and 50% germination percentiles (G) of C4 species at suboptimal temperatures.
| Species | G | N | Tb (°C) | θ1 (°C·d) | R2 | p |
|---|---|---|---|---|---|---|
| Kochia prostrata | 1% | 8 | −3.6 | 11.1 | 0.85 | 0.001 |
| 50% | 3 | 1.4 | 14.6 | 0.86 | 0.24 | |
| Chenopodium album | 1% | 5 | 3.7 | 6.8 | 0.95 | 0.0044 |
| 50% | 3 | 1.7 | 126.6 | 0.81 | 0.28 | |
| Salsola collina | 1% | 4 | 6.5 | 0.09 | 0.84 | 0.08 |
| 50% | 4 | −2.8 | 6.3 | 0.92 | 0.04 | |
| Amaranthus blitoides | 1% | 3 | 17.3 | 17.6 | 0.89 | 0.21 |
| 50% | ||||||
| Amaranthus retroflexus | 1% | 7 | 11.6 | 13.9 | 0.92 | 0.0006 |
| 50% | 4 | 22.3 | 17.7 | 0.94 | 0.031 | |
| Setaria viridis | 1% | 7 | 4.8 | 23.3 | 0.98 | < 0.0001 |
| 50% | 2 | |||||
| Chloris virgata | 1% | 6 | 7.0 | 4.5 | 0.95 | 0.0008 |
| 50% | 7 | 6.3 | 9.4 | 0.96 | 0.0001 | |
| Echinochloa crusgalli | 1% | 7 | 4.4 | 22.9 | 0.95 | 0.0002 |
| 50% | 5 | 5.8 | 34.4 | 0.95 | 0.0042 | |
| Eriochloa villosa | 1% | 7 | 6.4 | 23.3 | 0.97 | < 0.0001 |
| 50% | 2 | |||||
| Portulaca oleracea | 1% | 7 | 9.4 | 11.3 | 0.96 | < 0.0001 |
| 50% | 5 | 14.9 | 15.7 | 0.93 | 0.008 | |
| Euphorbia humifusa | 1% | 6 | 5.4 | 18.9 | 0.98 | 0.0001 |
| 50% | 5 | 8.1 | 27.3 | 0.98 | 0.0016 | |
| Artemisia anethifolia | 1% | 7 | 0.3 | 15.6 | 0.96 | 0.0001 |
| 50% | 4 | 2.0 | 22.2 | 0.99 | 0.0002 |
N, number of values; Tb, base temperature; θ1, thermal time constant; R2 and p represent the coefficient of determination and probability for the fitting.
Table 3.
Estimated parameters of thermal time model for 1% and 50% germination percentiles (G) of C3 species at suboptimal temperatures.
| Species | G | N | Tb (°C) | θ1 (°C·d) | R2 | p |
|---|---|---|---|---|---|---|
| Lappula echinata | 1% | 4 | 2.2 | 13.2 | 0.95 | 0.0241 |
| 50% | 3 | 1.0 | 25 | 0.90 | 0.20 | |
| Incarvillea sinensis | 1% | 5 | 3.2 | 27.5 | 0.95 | 0.0041 |
| 50% | 5 | 4.6 | 36.1 | 0.94 | 0.0072 | |
| Dracocephalum moldavica | 1% | 3 | 3.1 | 18.2 | 0.99 | 0.0231 |
| 50% | 3 | 2.3 | 34.4 | 0.99 | 0.0045 | |
| Bidens parviflora | 1% | 4 | 3.4 | 8.9 | 0.93 | 0.0352 |
| 50% | 3 | 3.6 | 12.2 | 0.93 | 0.17 | |
| Saussurea glomerata | 1% | 4 | −0.2 | 31.1 | 0.84 | 0.08 |
| 50% | 3 | 2.0 | 44.6 | 0.96 | 0.11 | |
| Lactuca indica | 1% | 4 | 3.3 | 17.9 | 0.99 | 0.0057 |
| 50% | 4 | 3.6 | 22.7 | 0.99 | 0.0037 | |
| Achillea mongolica | 1% | 6 | 1.1 | 33.8 | 0.96 | 0.0006 |
| 50% | 3 | 5.7 | 41.8 | 0.98 | 0.09 | |
| Allium odorum | 1% | 4 | 5.5 | 16.4 | 0.90 | 0.0494 |
| 50% | 2 | |||||
| Convolvulus arvensis | 1% | 5 | 2.9 | 13.2 | 0.92 | 0.0099 |
| 50% | 4 | 6.7 | 89.3 | 0.61 | 0.21 | |
| Pharbitis purpurea | 1% | 5 | 5.0 | 8.9 | 0.97 | 0.0026 |
| 50% | 3 | 7.7 | 13.3 | 0.90 | 0.20 | |
| Cynanchum sibiricum | 1% | 5 | 3.2 | 25.5 | 0.96 | 0.0037 |
| 50% | 3 | 7.6 | 28.2 | 0.99 | 0.0196 | |
| Cynanchum chinense | 1% | 6 | 4.6 | 26.6 | 0.97 | 0.0004 |
| 50% | 5 | 5.1 | 42.0 | 0.93 | 0.0076 | |
| Potentilla chinensis | 1% | 5 | 4.3 | 63.3 | 0.94 | 0.0058 |
| 50% | 2 | |||||
| Stipa baicalensis | 1% | 6 | 3.8 | 43.1 | 0.94 | 0.0013 |
| 50% | ||||||
| Plantago asiatica | 1% | 4 | 7.9 | 28.6 | 0.96 | 0.0001 |
| 50% | 3 | 0.8 | 70.9 | 0.88 | 0.22 |
N, number of values; Tb, base temperature; θ1, thermal time constant; R2 and p represent the coefficient of determination and probability for the fitting.
Compared to tropical and subtropical legumes [18], the temperate grassland species in our study had lower base temperature and thermal time constants. This is not completely coincident with other studies. Trudgill [28] found the base temperature of tropical plants was higher than that of temperate plants, but they also demonstrated that the thermal time constant of tropical plants was lower than that for temperate plants [12]. Therefore, tropical plants germinate faster than temperate plants. They suggested that temperate plants will suffer frost injury if they germinate too early, while tropical plants might suffer high temperature or drought if they germinate too late. The germination response to temperature is also related to phylogeny. Plants in the Poaceae and Cyperaceae have been noted to have lower and higher base temperature, respectively [29].
3.3. Relationship between Seed Mass and Germination Parameters
The relationship between germination rate and seed mass depended on plant functional type and temperature. For C4 species, big seeds had higher germination rates only at 5 °C (p < 0.05, Figure 5a). For C3 species however, germination rate increased with seed mass significantly over the temperature range 15–40 °C (p < 0.05, Figure 5b). Neither the base temperature nor thermal time constant of either C3 or C4 species had a significant relationship with seed mass (Figure 5c,d). The Tb of C3 species were more clustered around 5 °C, while C4 species were scattered from −3.6 °C to 11.6 °C. The opposite was noted for the thermal time constant. θ1 of C4 species was confined to 5–23 °C·d, but that of C3 species distributed from 9 °C·d to 63 °C·d.
To our knowledge, this is the first study to test the relationship between germination parameters and seed mass. It is interesting that larger seeds germinated faster for C4 species at low temperature, while seed mass was positively related to germination rate for C3 species at high temperatures. We speculate that larger seeds have an advantage under unfavorable conditions, although this hypothesis needs further study.
Figure 5.
The relationship between seed mass and germination parameters of C3 and C4 species (germination rate, (a), (b); base temperature, (c); thermal time constant, (d); significant linear regressions were given in figures (a), 5 °C; (b), 15 °C, 20 °C, 25 °C, 30 °C, 35 °C, 40 °C).
Figure 5.
The relationship between seed mass and germination parameters of C3 and C4 species (germination rate, (a), (b); base temperature, (c); thermal time constant, (d); significant linear regressions were given in figures (a), 5 °C; (b), 15 °C, 20 °C, 25 °C, 30 °C, 35 °C, 40 °C).

4. Conclusions
The germination response to temperature was species-dependent. Significant differences in the thermal time constants were noted between C3 and C4, and between annual and perennial species. Although seed mass significantly influenced germination rate at certain temperatures for C3 and C4, base temperature and thermal time constant were not related to seed mass.
Acknowledgments
We thank Louis Irving in University of Tsukuba for improving the English and the anonymous reviewers for their insightful comments. This work was funded by the State Key Basic Research Development Program (973 Program) (2015CB150800).
Author Contributions
Conceived and designed the experiments: Hongxiang Zhang and Daowei Zhou. Performed the experiments: Hongxiang Zhang and Yu Tian. Analyzed the data and manuscript writing: Hongxiang Zhang.
Conflicts of Interest
The authors declare no conflict of interest.
References
- Thompson, P.A. Characterisation of the germination response to temperature of species and ecotypes. Nature 1970, 225, 827–831. [Google Scholar] [CrossRef]
- Mott, J.J.; McKeon, G.M.; Moore, C.M. The effect of seed bed conditions on the germination of four Stylosanthes species in the Northern Territory. Aust. J. Agric. Res. 1976, 27, 811–823. [Google Scholar] [CrossRef]
- Alvarado, V.; Bradford, K.J. A hydrothermal time model explains the cardinal temperatures for seed germination. Plant Cell Environ. 2002, 25, 1061–1069. [Google Scholar] [CrossRef]
- Zhang, H.; McGill, C.R.; Irving, L.J.; Kemp, P.D.; Zhou, D. A modified thermal time model to predict germination rate of ryegrass and tall fescue at constant temperature. Crop Sci. 2013, 53, 240–249. [Google Scholar] [CrossRef]
- Mott, J.J.; Groves, R.H. Germination strategies. In The Biology of Australian Plants; Pate, J.S., McComb, A., Eds.; University of Western Australia Press: Perth, Australia, 1981; pp. 307–341. [Google Scholar]
- Murtagh, G.J. Effect of temperature on the germination of Glycine javanica. In Proceedings of the International Grassland Congress; Norman, M.J.T., Ed.; University of Queensland Press: Brisbane, Australia, 1970; pp. 574–578. [Google Scholar]
- Mayer, A.M.; Poljakoff-Mayber, A. The Germination of Seeds, 3rd ed.; Pergammon Press: Oxford, UK, 1982. [Google Scholar]
- Hegarty, T.W. Germination and other biological processes. Nature 1973, 243, 305–306. [Google Scholar] [CrossRef]
- Washitani, I.; Takenaka, A. Mathematical description of the seed germination dependency on time and temperature. Plant Cell Environ. 1984, 7, 359–362. [Google Scholar]
- Covell, S.; Ellis, R.H.; Roberts, E.H.; Summerfield, R.J. The influence of temperature on seed germination rate in grain legumes. 1. A comparison of chickpea, lentil, soyabean and cowpea at constant temperatures. J. Exp. Bot. 1986, 37, 705–715. [Google Scholar] [CrossRef]
- Garcia-Huidobro, J.; Monteith, J.L.; Squire, G.R. Time, temperature and germination of pearl millet (Pennisetum. typhoides S. and H.). 1. Constant temperature. J. Exp. Bot. 1982, 33, 288–296. [Google Scholar] [CrossRef]
- Trudgill, D.L.; Perry, J.N. Thermal time and ecological strategies––A unifying hypothesis. Ann. Appl. Biol. 1994, 125, 521–532. [Google Scholar] [CrossRef]
- Steinmaus, S.J.; Prather, T.S.; Holt, J.S. Estimation of base temperatures for nine weed species. J. Exp. Bot. 2000, 51, 275–286. [Google Scholar] [CrossRef]
- Ellis, R.H.; Covell, S.; Roberts, E.H.; Summerfield, R.J. The influence of temperature on seed germination rate in grain legumes. 2. Intraspecific variation in chickpea (Cicer. arietinum L.) at constant temperatures. J. Exp. Bot. 1986, 37, 1503–1515. [Google Scholar] [CrossRef]
- Larsen, S.U.; Bibby, B.M. Differences in thermal time requirement for germination of three turfgrass species. Crop. Sci. 2005, 45, 2030–2037. [Google Scholar] [CrossRef]
- Nori, H.; Moot, D.J.; Black, A.D. Thermal time requirements for germination of four annual clover species. N. Z. J. Agric. Res. 2014, 57, 30–37. [Google Scholar] [CrossRef]
- Trudgill, D.L.; Squire, G.R.; Thompson, K. A thermal time basis for comparing the germination requirements of some British herbaceous plants. New Phytol. 2000, 145, 107–114. [Google Scholar] [CrossRef]
- McDonald, C.K. Germination response to temperature in tropical and subtropical pasture legumes. 1. Constant temperature. Aust. J. Exp. Agric. 2002, 42, 407–419. [Google Scholar] [CrossRef]
- Murphy, B.P.; Bowman, D.M.J.S. Seasonal water availability predicts the relative abundance of C3 and C4 grasses in Australia. Global Ecol. Biogeogr. 2007, 16, 160–169. [Google Scholar] [CrossRef]
- Moles, A.T.; Ackerly, D.D.; Tweddle, J.C.; Dickie, J.B.; Smith, R.; Leishman, M.R.; Mayfield, M.M.; Pitman, A.; Wood, J.T.; Westoby, M. Global patterns in seed size. Global Ecol. Biogeogr. 2007, 16, 109–116. [Google Scholar] [CrossRef]
- Westoby, M.; Falster, D.S.; Moles, A.T.; Vest, P.A.; Wright, J.J. Plant ecological strategies: Some leading dimensions of variation between species. Ann. Rev. Ecol. Syst. 2002, 33, 125–159. [Google Scholar] [CrossRef]
- Foster, S.A.; Janson, C.H. The relationship between seed size and establishment conditions in tropical woody plants. Ecology 1985, 66, 773–780. [Google Scholar] [CrossRef]
- Zhang, H.; Zhang, G.; Lü, X.; Zhou, D.; Han, X. Salt tolerance during seed germination and early seedling stages of 12 halophytes. Plant Soil 2015, 388, 229–241. [Google Scholar] [CrossRef]
- Yin, L.; Li, M. A study on the geographic distribution and ecology of C4 plants in China. 1. C4 plant distribution in China and their relation with regional climatic condition. Acta Ecol. Sin. 1997, 17, 350–363. [Google Scholar]
- Tang, H.P.; Liu, S.R. The list of C4 plants in Nei Mongol area. Acta Sci. Nat. Univ. Nei Mong. 2001, 32, 431–438. [Google Scholar]
- Yin, L.; Zhu, L. C3 and C4 plants of forage resources in northeast grassland region of China. Inn. Mong. Pratac. 1990, 3, 32–40. [Google Scholar]
- Zhang, H.; Yu, Q.; Huang, Y.; Zheng, W.; Tian, Y.; Song, Y.; Li, G.; Zhou, D. Germination shifts of C3 and C4 species under simulated global warming scenario. PLoS ONE 2014, 9, e105139. [Google Scholar] [CrossRef]
- Trudgill, D.L. Why do tropical poikilothermic organisms tend to have higher threshold temperatures for development than temperate ones? Funct. Ecol. 1995, 9, 136–137. [Google Scholar]
- Grime, J.P.; Mason, G.; Curtis, A.V.; Rodman, J.; Band, S.R.; Mowforth, M.A.G.; Neal, A.M.; Shaw, S. A comparative study of germination characteristics in a local flora. J. Ecol. 1981, 64, 1017–1059. [Google Scholar] [CrossRef]
© 2015 by the authors; licensee MDPI, Basel, Switzerland. This article is an open access article distributed under the terms and conditions of the Creative Commons Attribution license (http://creativecommons.org/licenses/by/4.0/).