Crop and Tillage Effects on Water Productivity of Dryland Agriculture in Argentina
Abstract
:1. Introduction
2. Materials and Methods
| BD | PWP | FC | Clay + Silt | C | P | N | |
|---|---|---|---|---|---|---|---|
| (Mg m−3) | (mm) | (mm) | (g kg−1) | (Mg ha−1) | (Mg ha−1) | (Mg ha−1) | |
| CT | 1.18a | 6.7b | 11.9b | 459a | 13.8b | 0.20b | 1.26b |
| NT | 1.14a | 7.4a | 13.8a | 441a | 15.8a | 0.35a | 1.37a |

3. Results and Discussion
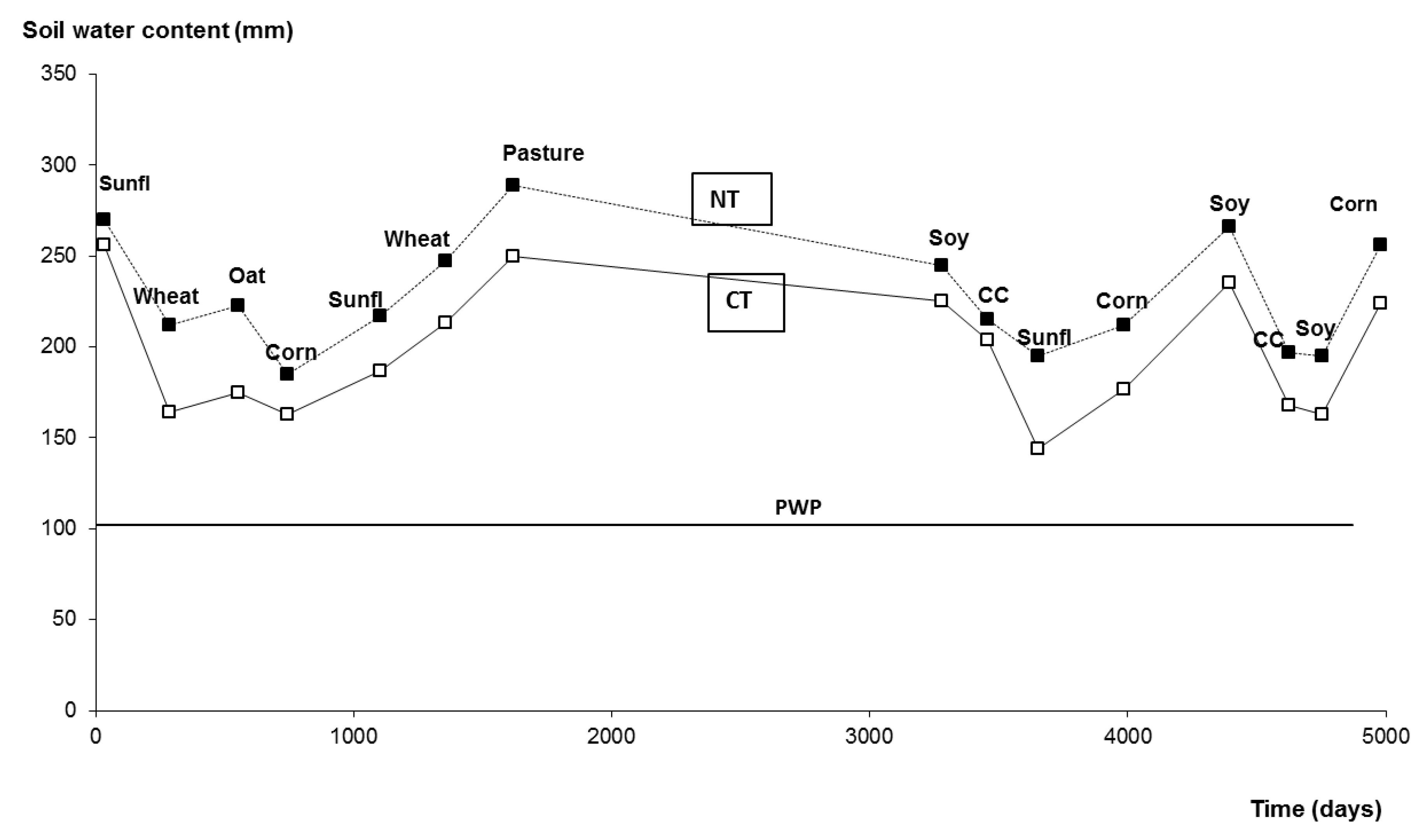
3.1. Water Content of Soils
| Yield | AWC | CWU | WP | |||||||||
| (Mg ha−1) | (mm) | (mm) | (kg grain ha−1 mm−1) | |||||||||
| CT | NT | p | CT | NT | p | CT | NT | p | CT | NT | p | |
| SC | 2.96 | 3.37 | NS | 90b | 115a | <0.0001 | 590b | 612a | 0.005 | 4.9 | 5.6 | NS |
| WC | 2.43 | 3.08 | 69b | 99a | 0.0034 | 411 | 447 | 5.6 | 6.9 | |||
| Average | 2.87b | 3.32a | 0.05 | 82b | 109a | <0.0001 | 560b | 586a | 0.0007 | 4.9b | 5.8a | 0.068 |

3.2. Crop Yields and Water Productivity

| Crops | Water content (mm) | Yield | Water productivity | ||||||
|---|---|---|---|---|---|---|---|---|---|
| (Mg ha−1) | (kg grain ha−1mm−1) | ||||||||
| CT | NT | p | CT | NT | p | CT | NT | p | |
| Sunflower | 91 | 114 | NS | 2.2b | 2.6a | 0.06 | 3.5 | 3.9 | NS |
| (n = 4) | |||||||||
| Corn | 86b | 116a | 0.01 | 5.2 | 5.7 | NS | 8.8 | 9.8 | NS |
| (n = 3) | |||||||||
| Soybean | 97 | 129 | - | 1.1 | 1.5 | - | 1.9 | 2.4 | - |
| (n = 2) | |||||||||
| Wheat | 86 | 128 | - | 2.4 | 3.1 | - | 5.6 | 6.9 | - |
| (n = 2) | |||||||||
| Average | 90b | 119a | 0.0001 | 2.9b | 3.3a | 0.05 | 4.9b | 5.8a | 0.06 |
4. Conclusions
References
- Rockström, J.; Karlberg, L.; Wani, S.P.; Barron, J.; Hatibu, N.; Oweis, T.; Bruggeman, A.; Farahani, J.; Qiang, Z. Managing water in rainfed agriculture—The need for a paradigm shift. Agric. Water Manag. 2010, 97, 543–550. [Google Scholar] [CrossRef]
- De Fraiture, C.; Molden, D.; Wichelns, D. Investing in water for food, ecosystems, and livelihoods: An overview of the comprehensive assessment of water management in agriculture. Agric. Water Manag. 2010, 97, 495–501. [Google Scholar] [CrossRef]
- Bossio, D.; Geheb, K.; Critchley, W. Managing water by managing land: Addressing land degradation to improve water productivity and rural livelihoods. Agric. Water Manag. 2010, 97, 536–542. [Google Scholar] [CrossRef]
- Noellemeyer, E.; Frank, F.; Alvarez, C.; Morazzo, G.; Quiroga, A. Carbon contents and aggregation related to soil physical and biological properties under a land-use sequence in the semiarid region of central Argentina. Soil Tillage Res. 2008, 99, 179–190. [Google Scholar] [CrossRef]
- Hatfield, J.L.; Sauer, T.J.; Prueger, J.H. Managing soils to achieve greater water use efficiency: A review. Agron. J. 2001, 280, 271–280. [Google Scholar]
- Rockström, J.; Kaumbutho, P.; Mwalley, J.; Nzabi, A.W.; Temesgen, M.; Mawenya, L.; Barron, J.; Mutua, J.; Damgaard-Larsen, S. Conservation farming strategies in East and Southern Africa: Yields and rain water productivity from on-farm action research. Soil Tillage Res. 2009, 103, 23–32. [Google Scholar] [CrossRef]
- Pala, M.; Ryan, J.; Zhang, H.; Singh, M.; Harris, H. Water-use efficiency of wheat-based rotation systems in a Mediterranean environment. Agric. Water Manag. 2007, 93, 136–144. [Google Scholar] [CrossRef]
- Fernandez, R.; Quiroga, A.; Noellemeyer, E.; Funaro, D.; Montoya, J.; Hitzmann, B.; Peinemann, N. A study of the effect of the interaction between site-specific conditions, residue cover and weed control on water storage during fallow. Agric. Water Manag. 2008, 95, 1028–1040. [Google Scholar] [CrossRef]
- Moret, D.; Arrue, J.; Lopez, M.; Gracia, R. Influence of fallowing practices on soil water and precipitation storage efficiency in semiarid Aragon (in Spain). Agric. Water Manag. 2006, 82, 161–176. [Google Scholar] [CrossRef]
- Dardanelli, J.L.; Bachmeier, O.A.; Sereno, R.; Gil, R. Rooting depth and soil water extraction patterns of different crops in a silty loam Haplustoll. Field Crops Res. 1997, 54, 29–38. [Google Scholar] [CrossRef]
- Franzluebbers, A. Water infiltration and soil structure related to organic matter and its stratification with depth. Soil and Tillage Res. 2002, 66, 197–205. [Google Scholar] [CrossRef]
- Baumhardt, R. Residue management and tillage effects on soil-water storage and grain yield of dryland wheat and sorghum for a clay loam in Texas. Soil and Tillage Res. 2002, 68, 71–82. [Google Scholar] [CrossRef]
- Nielsen, D.; Miller, P. Efficient water use in dryland cropping systems in the Great Plains. Agron. J. 2005, 372, 364–372. [Google Scholar] [CrossRef]
- Ramakrishna, A.; Tam, H.M.; Wani, S.P.; Long, T.D. Effect of mulch on soil temperature, moisture, weed infestation and yield of groundnut in northern Vietnam. Field Crops Res. 2006, 95, 115–125. [Google Scholar] [CrossRef]
- Schuller, P.; Walling, D.E.; Sepúlveda, A.; Castillo, A.; Pino, I. Changes in soil erosion associated with the shift from conventional tillage to a no-tillage system, documented using 137Cs measurements. Soil Tillage Res. 2007, 94, 183–192. [Google Scholar] [CrossRef]
- Alletto, L.; Coquet, Y.; Justes, E. Effects of tillage and fallow period management on soil physical behaviour and maize development. Agric. Water Manag. 2011, 102, 74–85. [Google Scholar] [CrossRef]
- Quiroga, A.; Funaro, D. Factores edáficos y de manejo que condicionan la eficiencia del barbecho en la región pampeana. Ciencia del Suelo 2005, 23, 79–86. [Google Scholar]
- Fengrui, L.; Songling, Z.; Geballe, G.T. Water use patterns and agronomic performance for some cropping systems with and without fallow crops in a semi-arid environment of northwest China. Agric. Ecosyst. Environ. 2000, 79, 129–142. [Google Scholar] [CrossRef]
- Monzon, J.P.; Sadras, V.O.; Andrade, F.H. Modelled yield and water use efficiency of maize in response to crop management and Southern Oscillation Index in a soil-climate transect in Argentina. Field Crops Res. 2012, 130, 8–18. [Google Scholar] [CrossRef]
- Ritchie, J.T.; Basso, B. Water use efficiency is not constant when crop water supply is adequate or fixed: The role of agronomic management. Eur. J. Agron. 2008, 28, 273–281. [Google Scholar] [CrossRef]
- Passioura, J. Increasing crop productivity when water is scarce—From breeding to field management. Agric. Water Manag. 2006, 80, 176–196. [Google Scholar] [CrossRef]
- Xue, Q.; Zhu, Z.; Musick, J.T.; Stewart, B.A.; Dusek, D. Physiological mechanisms contributing to the increased water-use efficiency in winter wheat under deficit irrigation. J. Plant Physiol. 2006, 163, 154–164. [Google Scholar] [CrossRef]
- Purcell, L.C.; Edwards, J.T.; Brye, K.R. Soybean yield and biomass responses to cumulative transpiration: Questioning widely held beliefs. Field Crops Res. 2007, 101, 10–18. [Google Scholar] [CrossRef]
- Salvagiotti, F.; Cassman, K.G.; Specht, J.E.; Walters, D.T.; Weiss, A.; Dobermann, A. Nitrogen uptake, fixation and response to fertilizer N in soybeans: A review. Field Crops Res. 2008, 108, 1–13. [Google Scholar] [CrossRef]
- Calvin, P.A. Interannual variation in soybean yield: Interaction among rainfall, soil depth and crop management. Field Crops Res. 1999, 63, 237–246. [Google Scholar] [CrossRef]
- Alvarez, R.; Steinbach, H.S. A review of the effects of tillage systems on some soil physical properties, water content, nitrate availability and crops yield in the Argentine Pampas. Soil Tillage Res. 2009, 104, 1–15. [Google Scholar] [CrossRef]
- Lal, R.; Reicosky, D.C.; Hanson, J.D. Evolution of the plow over 10,000 years and the rationale for no-till farming. Soil Tillage Res. 2007, 93, 1–12. [Google Scholar] [CrossRef]
- Molden, D.; Oweis, T.; Steduto, P.; Bindraban, P.; Hanjra, M.A.; Kijne, J. Improving agricultural water productivity: Between optimism and caution. Agric. Water Manag. 2010, 97, 528–535. [Google Scholar] [CrossRef]
- Argentinean Ministry of Agriculture, official FOB prices. or www.minagri.gov.ar (accessed on 06 May 2012).
© 2013 by the authors; licensee MDPI, Basel, Switzerland. This article is an open-access article distributed under the terms and conditions of the Creative Commons Attribution license (http://creativecommons.org/licenses/by/3.0/).
Share and Cite
Noellemeyer, E.; Fernández, R.; Quiroga, A. Crop and Tillage Effects on Water Productivity of Dryland Agriculture in Argentina. Agriculture 2013, 3, 1-11. https://doi.org/10.3390/agriculture3010001
Noellemeyer E, Fernández R, Quiroga A. Crop and Tillage Effects on Water Productivity of Dryland Agriculture in Argentina. Agriculture. 2013; 3(1):1-11. https://doi.org/10.3390/agriculture3010001
Chicago/Turabian StyleNoellemeyer, Elke, Romina Fernández, and Alberto Quiroga. 2013. "Crop and Tillage Effects on Water Productivity of Dryland Agriculture in Argentina" Agriculture 3, no. 1: 1-11. https://doi.org/10.3390/agriculture3010001
APA StyleNoellemeyer, E., Fernández, R., & Quiroga, A. (2013). Crop and Tillage Effects on Water Productivity of Dryland Agriculture in Argentina. Agriculture, 3(1), 1-11. https://doi.org/10.3390/agriculture3010001
