Nanoformulations of the Piper auritum Kunth (Piperales: Piperaceae) Essential Oil for the Control of Spodoptera frugiperda (J.E. Smith) (Lepidoptera: Noctuidae)
Abstract
1. Introduction
2. Materials and Methods
2.1. Plants
2.2. Essential Oil Extraction
2.3. Piper auritum Essential Oil Nanoformulations
2.3.1. Nanoemulsion
2.3.2. Microemulsion and Silver Nanoparticles
2.3.3. Stability of Piper auritum Essential Oil in Formulations
2.4. Bioassays
2.5. Contact Toxicity and Repellent Effects
2.6. Statistical Analysis
3. Results
3.1. Piper auritum Essential Oil
3.2. Silver Nanoparticles
3.3. Characteristics of the Piper auritum Essential Oil Formulations
3.4. FTIR Spectra
3.5. Composition of the Piper auritum Essential Oil in Formulations and Stability
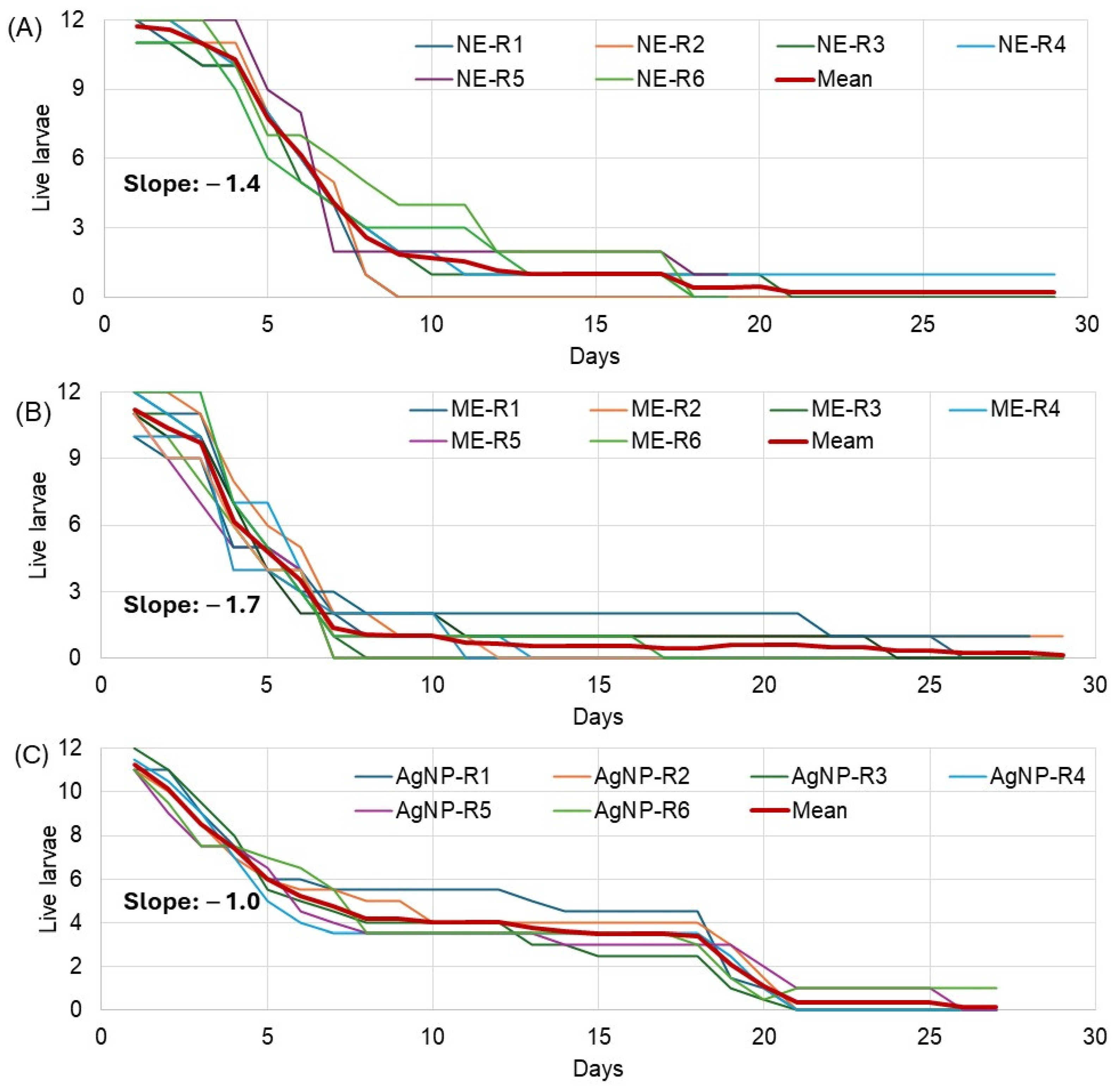
3.6. Larvicidal Activity of the Piper auritum Essential Oil Formulations
3.7. Biological Activity of Piper auritum Essential Oil in a Nanoemulsion Formulation
3.8. Contact Toxicity and Repellent Effects
4. Discussion
5. Conclusions
Supplementary Materials
Author Contributions
Funding
Institutional Review Board Statement
Data Availability Statement
Acknowledgments
Conflicts of Interest
Abbreviations
| AgNPs | Silver nanoparticles |
| EO | Essential oil |
| DW | Deionized water |
| ME | Microemulsion |
| NE | Nanoemulsion |
| NPs | Nanoparticles |
| SP80 | Span 80 |
| TW80 | Tween 80 |
References
- Montezano, D.G.; Specht, A.; Sosa-Gómez, D.R.; Roque-Specht, V.F.; Sousa-Silva, J.C.; Paula-Moraes, S.V.; Peterson, J.A.; Hunt, T.E. Host Plants of Spodoptera frugiperda (Lepidoptera: Noctuidae) in the Americas. Afr. Entomol. 2018, 26, 286–300. [Google Scholar] [CrossRef]
- Mendesil, E.; Tefera, T.; Blanco, C.A.; Paula-Moraes, S.V.; Huang, F.; Viteri, D.M.; Hutchison, W.D. The invasive fall armyworm, Spodoptera frugiperda, in Africa and Asia: Responding to the food security challenge, with priorities for integrated pest management research. J. Plant Dis. Prot. 2023, 130, 1175–1206. [Google Scholar] [CrossRef]
- Kartakis, S.; Horrocks, K.J.; Cingiz, K.; Darren, J.; Kriticos, D.J.; Justus Wesseler, J. Migration extent and potential economic impact of the fall armyworm in Europe. Sci. Rep. 2025, 15, 17405. [Google Scholar] [CrossRef] [PubMed]
- Zhao, Y.; Huang, J.; Ni, H.; Guo, D.; Yang, F.; Wang, X.; Wu, S.; Gao, C. Susceptibility of fall armyworm, Spodoptera frugiperda (J.E. Smith), to eight insecticides in China, with special reference to lambda-cyhalothrin. Pestic. Biochem. Physiol. 2020, 168, 104623. [Google Scholar] [CrossRef] [PubMed]
- Amaral, F.S.A.; Guidolin, A.S.; Salmeron, E.; Kanno, R.H.; Padovez, F.E.O.; Fatoretto, J.C.; Omoto, C. Geographical distribution of Vip3Aa20 resistance allele frequencies in Spodoptera frugiperda (Lepidoptera: Noctuidae) populations in Brazil. Pest Manag. Sci. 2020, 76, 169–178. [Google Scholar] [CrossRef]
- Boaventura, D.; Bolzan, A.; Padovez, F.E.O.; Okuma, D.M.; Omoto, C.; Nauen, R. Detection of a ryanodine receptor target-site mutation in diamide insecticide resistant fall armyworm, Spodoptera frugiperda. Pest Manag. Sci. 2020, 76, 47–54. [Google Scholar]
- Diab, M.; Abu-Elsaoud, A.; Ghareeb, E.; El-Azeem, E.A.; Elkelish, A.; Salama, M. Biocontrol potential of Saccharomyces as a sustainable approach targeting Spodoptera frugiperda. Sci. Rep. 2025, 15, 32429. [Google Scholar] [CrossRef] [PubMed]
- Sagar, G.C.; Aastha, B.; Laxman, K. An introduction of fall armyworm (Spodoptera frugiperda) with management strategies: A review paper. Nippon. J. Environ. Sci. 2020, 1, 1010. [Google Scholar] [CrossRef]
- Paredes-Sánchez, F.A.; Rivera, G.; Bocanegra-García, V.; Martínez-Padrón, H.Y.; Berrones-Morales, M.; Niño-García, N.; Herrera-Mayorga, V. Advances in Control Strategies against Spodoptera frugiperda. A Review. Molecules 2021, 26, 5587. [Google Scholar] [CrossRef]
- Abbas, A.; Ullah, F.; Hafeez, M.; Han, X.; Dara, M.Z.N.; Gul, H.; Zhao, C.R. Biological Control of Fall Armyworm, Spodoptera frugiperda. Agronomy 2022, 12, 2704. [Google Scholar] [CrossRef]
- Van den Berg, J.; du Plessis, H. Chemical Control and Insecticide Resistance in Spodoptera frugiperda (Lepidoptera: Noctuidae). J. Econ. Entomol. 2022, 115, 1761–1771. [Google Scholar] [CrossRef]
- Prasanna, B.M.; Bruce, A.; Beyene, Y.; Makumbi, D.; Gowda, M.; Asim, M.; Martinelli, S.; Head, G.P.; Parimi, S. Host plant resistance for fall armyworm management in maize: Relevance, status and prospects in Africa and Asia. Theor. Appl. Genet. 2022, 135, 3897–3916. [Google Scholar] [CrossRef] [PubMed]
- Samal, I.; Bhoi, T.K.; Mahanta, D.K.; Komal, J. Bibliometric analysis of invasive fall armyworm, Spodoptera frugiperda (Lepidoptera: Noctuidae). Biologia 2025, 80, 355–368. [Google Scholar] [CrossRef]
- Sisay, B.; Tefera, T.; Wakgari, M.; Ayalew, G.; Mendesil, E. The Efficacy of Selected Synthetic Insecticides and Botanicals against Fall Armyworm, Spodoptera frugiperda, in Maize. Insects 2019, 10, 45. [Google Scholar] [CrossRef] [PubMed]
- Mumtaz, H.; Majeed, M.Z.; Afzal, M.; Arshad, M.; Mehmood, A.; Qasim, M. The Efficacy of Selected Synthetic Insecticide Formulations against Fall Armyworm Spodoptera frugiperda (J.E. Smith) Under Laboratory, Semi-Field and Field Conditions. Pakistan J. Zool. 2024, 56, 147–155. [Google Scholar] [CrossRef]
- Isman, M.B. Botanical Insecticides in the Twenty-First Century-Fulfilling Their Promise? Annu. Rev. Entomol. 2020, 65, 233–249. [Google Scholar] [CrossRef]
- Sarmah, K.; Anbalagan, T.; Marimuthu, M.; Mariappan, P.; Angappan, S.; Vaithiyanathan, S. Innovative formulation strategies for botanical- and essential oil-based insecticides. J. Pest Sci. 2024, 98, 1–30. [Google Scholar] [CrossRef]
- Usseglio, V.L.; Dambolena, J.S.; Zunino, M.P. Can Essential Oils Be a Natural Alternative for the Control of Spodoptera frugiperda? A Review of Toxicity Methods and Their Modes of Action. Plants 2023, 12, 3. [Google Scholar] [CrossRef]
- Amchi Bordoloi, P.; Rajkumari, P.; Borah, N.; Kumar Borah, B. Essential oil: A biopesticide in insect-pest management. Int. J. Adv. Biochem. Res. 2024, 8, 1284–1289. [Google Scholar] [CrossRef]
- Oliveira, J.A.C.; Fernandes, L.A.; Figueiredo, K.G.; Corrêa, E.J.A.; Lima, L.H.F.; Alves, D.S.; Bertolucci, S.K.V.; Carvalho, G.A. Effects of Essential Oils on Biological Characteristics and Potential Molecular Targets in Spodoptera frugiperda. Plants 2024, 13, 1801. [Google Scholar] [CrossRef]
- Secretaría de Agricultura y Desarrollo Rural. Modificación a la Norma Oficial Mexicana NOM-032-SAG/FITO-2014; Diario Oficial de la Federación (DOF): Mexico City, Mexico, 2023. Available online: https://platiica.economia.gob.mx/normalizacion/nom-032-sag-fito-2014/ (accessed on 20 January 2026).
- Environmental Protection Agency (EPA). Active Ingredients Allowed in Minimum Risk Pesticide Products; U.S. Environmental Protection Agency: Washington, DC, USA, 2024. Available online: https://www.epa.gov/minimum-risk-pesticides/active-ingredients-allowed-minimum-risk-pesticide-products (accessed on 20 January 2026).
- European Parliament and Council of the European Union (EU). Regulation (EC) No 1107/2009 concerning the placing of plant protection products on the market. Off. J. Eur. Union 2009, 1–50. Available online: https://www.legislation.gov.uk/eur/2009/1107 (accessed on 20 January 2026).
- Pavela, R.; Benelli, G. Essential Oils as Ecofriendly Biopesticides? Challenges and Constraints. Trends Plant Sci. 2016, 21, 1000–1007. [Google Scholar] [CrossRef]
- Ayllón-Gutiérrez, R.; Díaz-Rubio, L.; Montano-Soto, M.; Haro-Vázquez, M.d.P.; Córdova-Guerrero, I. Applications of Plant Essential Oils in Pest Control and Their Encapsulation for Controlled Release: A Review. Agriculture 2024, 14, 1766. [Google Scholar] [CrossRef]
- Elsharkawy, E.E. Nanotechnology Applications of Pesticide Formulations. J. Nanomed. 2020, 3, 1029. [Google Scholar]
- Jyotsna, B.; Patil, S.; Prakash, Y.S.; Rathnagiri, P.; Kishor, P.K.; Jalaja, N. Essential oils from plant resources as potent insecticides and repellents: Current status and future perspectives. Biocatal. Agric. Biotechnol. 2024, 61, 103395. [Google Scholar] [CrossRef]
- Gupta, R.; Malik, P.; Rani, R.; Solanki, R.; Ameta, R.K.; Malik, V.; Mukherjee, T.K. Recent progress on nanoemulsions mediated pesticides delivery: Insights for agricultural sustainability. Plant Nano Biol. 2024, 8, 100073. [Google Scholar] [CrossRef]
- Zhao, X.; Cui, H.; Wang, Y.; Sun, C.; Cui, B.; Zeng, Z. Development Strategies and Prospects of Nano-based Smart Pesticide Formulation. J. Agric. Food Chem. 2018, 66, 6504–6512. [Google Scholar] [CrossRef]
- Scott, I.M.; Jensen, H.R.; Philogene, B.; Arnason, J.T. A review of Piper spp. (Piperaceae) phytochemistry, insecticidal activity and mode of action. Phytochem. Rev. 2008, 7, 65–75. [Google Scholar] [CrossRef]
- Da Silva, J.K.; Da Trindade, R.; Alves, N.S.; Figueiredo, P.L.; Maia, J.G.S.; Setzer, W.N. Essential Oils from Neotropical Piper Species and Their Biological Activities. Int. J. Mol. Sci. 2017, 18, 2571. [Google Scholar] [CrossRef]
- Salehi, B.; Zakaria, Z.A.; Gyawali, R.; Ibrahim, S.A.; Rajkovic, J.; Shinwari, Z.K.; Khan, T.; Sharifi-Rad, J.; Ozleyen, A.; Turkdonmez, E.; et al. Piper Species: A Comprehensive Review on Their Phytochemistry, Biological Activities and Applications. Molecules 2019, 24, 1364. [Google Scholar] [CrossRef]
- Ripoll-Aristizábal, D.C.; Patiño-Ladino, O.J.; Prieto-Rodríguez, J.A. Essential oils and phenylpropanoids from Piper: Bioactivity and enzyme inhibition in Sitophilus zeamais and Tribolium castaneum. J. Stored Prod. Res. 2025, 114, 102714. [Google Scholar] [CrossRef]
- Fan, L.S.; Muhamad, R.; Omar, D.; Rahmani, M. Insecticidal properties of Piper nigrum fruit extracts and essential oils against Spodoptera litura. Int. J. Agric. Biol. 2011, 13, 517–522. [Google Scholar]
- Ávila Murillo, M.C.; Cuca Suareza, L.E.; Cerón Salamanca, J.A. Actividad insecticida sobre Spodoptera frugiperda (Lepidóptera: Noctuidae) de los compuestos aislados de la parte aérea de Piper septuplinervium (Miq.) C. DC. y las inflorescencias de Piper subtomentosum Trel. & Yunck. (Piperaceae). Quim. Nova 2014, 37, 442–446. [Google Scholar] [CrossRef]
- Mgbeahuruike, E.E.; Yrjönen, T.; Vuorela, H.; Holm, Y. Bioactive compounds from medicinal plants: Focus on Piper species. S. Afr. J. Bot. 2017, 112, 54–69. [Google Scholar]
- Jiménez-Durán, A.; Barrera-Cortés, J.; Lina-García, L.P.; Santillan, R.; Soto-Hernández, R.M.; Ramos-Valdivia, A.C.; Ponce-Noyola, T.; Ríos-Leal, E. Biological Activity of Phytochemicals from Agricultural Wastes and Weeds on Spodoptera frugiperda (J.E. Smith) (Lepidoptera: Noctuidae). Sustainability 2021, 13, 13896. [Google Scholar] [CrossRef]
- Lemus de la Cruz, A.S.; Barrera-Cortés, J.; Lina-García, L.P.; Ramos-Valdivia, A.C.; Santillán, R. Nanoemulsified Formulation of Cedrela odorata Essential Oil and its Larvicidal Effect against Spodoptera frugiperda (J.E. Smith). Molecules 2022, 27, 2975. [Google Scholar] [CrossRef]
- Siqueira-Ferraz, M.S.S.; Faroni, L.R.D.; Heleno, F.F.; de Sousa, A.H.; Prates, L.H.F.; Rodrigues, A.A.Z. Method Validation and Evaluation of Safrole Persistence in Cowpea Beans Using Headspace Solid-Phase Microextraction and Gas Chromatography. Molecules 2021, 26, 6914. [Google Scholar] [CrossRef]
- Mojet, B.L.; Ebbesenz, S.D.; Lefferts, L. Light at the interface: The potential of attenuated total reflection infrared spectroscopy for understanding heterogeneous catalysis in water. Chem. Soc. Rev. 2010, 39, 4643–4655. [Google Scholar] [CrossRef]
- Mihaylov, M.Y.; Zdravkova, V.R.; Ivanova, E.Z.; Aleksandrov, H.A.; Petkov, P.S.; Vayssilov, G.N.; Hadjiivanov, K.I. Infrared spectra of surface nitrates: Revision of the current opinions based on the case study of ceria. J. Catal. 2021, 394, 245–258. [Google Scholar] [CrossRef]
- Feitosa, B.d.S.; Ferreira, O.O.; Franco, C.d.J.P.; Karakoti, H.; Kumar, R.; Cascaes, M.M.; Jawarkar, R.D.; Mali, S.N.; Cruz, J.N.; de Menezes, I.C.; et al. Chemical Composition of Piper nigrum L. Cultivar Guajarina Essential Oils and Their Biological Activity. Molecules 2024, 29, 947. [Google Scholar] [CrossRef]
- Assunção, J.A.S.; Machado, D.B.; Felisberto, J.S.; Chaves, D.S.A.; Campos, D.R.; Cid, Y.P.; Sadgrove, N.J.; Ramos, Y.J.; Moreira, D.d.L. Insecticidal activity of essential oils from Piper aduncum against Ctenocephalides felis felis: A promising approach for flea control. Braz. J. Vet. Parasitol. 2024, 33, e007624. [Google Scholar] [CrossRef]
- Haselton, A.T.; Acevedo, A.; Kuruvilla, J.; Werner, E.; Kiernan, J.; Dhar, P. Repellency of a-pinene against the house fly, Musca domestica. Phytochemistry 2015, 117, 469–475. [Google Scholar] [CrossRef]
- Chaudhary, A.; Sharma, P.; Nadda, G.; Tewary, D.K.; Singh, B. Chemical composition and larvicidal activities of the Himalayan cedar, Cedrus deodara essential oil and its fractions against the diamondback moth, Plutella xylostella. J. Insect Sci. 2011, 11, 157. [Google Scholar] [CrossRef] [PubMed]
- Benelli, G.; Govindarajan, M.; Rajeswary, M.; Senthilmurugan, S.; Vijayan, P.; Alharbi, N.S.; Kadaikunnan, S.; Khaled, J.M. Larvicidal activity of Blumea eriantha essential oil and its components against six mosquito species, including Zika virus vectors: The promising potential of (4E,6Z)-allo-ocimene, carvotanacetone and dodecyl acetate. Parasitol. Res. 2017, 116, 1175–1188. [Google Scholar] [CrossRef] [PubMed]
- Huong, L.T.; Hung, N.H.; Dai, D.N.; Tai, T.A.; Hien, V.T.; Satyal, P.; Setzer, W.N. Chemical Compositions and Mosquito Larvicidal Activities of Essential Oils from Piper Species Growing Wild in Central Vietnam. Molecules 2019, 24, 3871. [Google Scholar] [CrossRef]
- Karthik-Raja, R.; Prabu Kumar, S.; Balasubramani, G.; Sankaranarayanan, C.; Liu, B.; Hazir, S.; Narayanan, M. An updated review on green synthesized nanoparticles to control insect pests. J. Pest Sci. 2025, 98, 31–50. [Google Scholar] [CrossRef]
- Eid, A.M.; Hawash, M. Evaluación biológica del aceite de safrol y del nanoemulgel de aceite de safrol como antioxidante, antidiabético, antibacteriano, antifúngico y anticancerígeno. BMC Complement. Med. Ther. 2021, 21, 159. [Google Scholar] [CrossRef] [PubMed]
- Debraj, D.; Carpenter, J.; Vatti, A.K. Understanding the Effect of the Oil-to-Surfactant Ratio on Eugenol Oil-in-Water Nanoemulsions Using Experimental and Molecular Dynamics Investigations. Ind. Eng. Chem. Res. 2023, 62, 16766−16776. [Google Scholar] [CrossRef]
- Kopanichuk, I.V.; Vedenchuk, E.A.; Koneva, A.S.; Vanin, A.A. Structural properties of span 80/tween 80 reverse micelles by molecular dynamics simulations. J. Phys. Chem. B 2018, 122, 8047−8055. [Google Scholar] [CrossRef]
- Skoglund, S.; Lowe, T.A.; Hedberg, J.; Blomberg, E.; Wallinder, I.O.; Wold, S.; Lundin, M. Effect of laundry surfactants on surface charge and colloidal stability of silver nanoparticles. Langmuir ACS J. Surf. Colloids 2013, 29, 8882–8891. [Google Scholar] [CrossRef]
- Sethuram, L.; Thomas, J.; Mukherjee, A.; Chandrasekaran, N. Eugenol micro-emulsion reinforced with silver nanocomposite electrospun mats for wound dressing strategies. Mater. Adv. 2021, 2, 2971–2988. [Google Scholar] [CrossRef]
- Wang, Y.; Li, Q.; Peng, X.; Li, Z.; Xiang, J.; Chen, Y.; Hao, K.; Wang, S.; Nie, D.; Cui, Y.; et al. Green synthesis of silver nanoparticles through oil: Promoting full-thickness cutaneous wound healing in methicillin-resistant Staphylococcus aureus infections. Front. Bioeng. Biotechnol. 2022, 10, 856651. [Google Scholar] [CrossRef]
- Ma, C.; Liu, B.; Du, L.; Liu, W.; Zhu, Y.; Chen, T.; Wang, Z.; Chen, H.; Pang, Y. Green Preparation and Antibacterial Activity Evaluation of AgNPs-Blumea balsamifera Oil Nanoemulsion. Molecules 2024, 29, 2009. [Google Scholar] [CrossRef]
- Sarangi, A.; Das, B.S.; Panigrahi, L.L.; Arakha, M.; Bhattacharya, D. Formulation of Garlic Essential Oil-assisted Silver Nanoparticles and Mechanistic Evaluation of their Antimicrobial Activity against a Spectrum of Pathogenic Microorganisms. Curr. Top. Med. Chem. 2024, 24, 2000–2012. [Google Scholar] [CrossRef]
- Hongfang, G.; Hui, Y.; Chuang, W. Controllable preparation and mechanism of nano-silver mediated by the microemulsion system of the clove oil. Results Phys. 2017, 7, 3130–3136. [Google Scholar] [CrossRef]
- Wang, Y.; Cen, C.; Chen, J.; Zhou, C.; Fu, L. Nano-emulsification improves physical properties and bioactivities of Litsea cubeba essential oil. LWT—Food Sci. Technol. 2021, 137, 110361. [Google Scholar] [CrossRef]
- Li, H.-J.; Zhang, A.-Q.; Hu, Y.; Sui, L.; Qian, D.-J.; Chen, M. Large-scale synthesis and self-organization of silver nanoparticles with Tween 80 as a reductant and stabilizer. Nanoscale Res. Lett. 2012, 7, 612. [Google Scholar] [CrossRef] [PubMed]
- Ghaly, H.S.A.; Seyedasli, N.; Varamini, P. Enhanced nanoprecipitation method for the production of PLGA nanoparticles for oncology applications. AAPS J. 2025, 27, 113. [Google Scholar] [CrossRef] [PubMed]
- Dutra, K.; Wanderley-Teixeira, N.; Guedes, C.; Cruz, G.; Navarro, D.; Monteiro, A.; Agra, A.; Lapa Neto, C.; Teixeira, A. Toxicity of Essential Oils of Leaves of Plants from the Genus Piper with Influence on the Nutritional Parameters of Spodoptera frugiperda (J.E. Smith) (Lepidoptera: Noctuidae). J. Essent. Oil Bear. Plants 2020, 23, 213–229. [Google Scholar] [CrossRef]
- Abdullah, N.; Zain, W.; Hamid, H.; Ramli, N. Essential oil from Piperaceae as a potential for biopesticide agents: A review. Food Res. 2020, 4, 1–10. [Google Scholar] [CrossRef]
- Costa-Reverte, C.H.; Arantes da Silva, J.M.; Krinski, D.; Butnariu, A.R. Avaliação da eficiência de óleos essenciais de Piper arboreum e Piper fuligineum com mecanismo de contato para o controle de lepidópterpos-praga da cultura da soja. Rev. Científica Multidiscip. Núcleo Conhecimento 2025, 2, 53–83. [Google Scholar] [CrossRef]
- Luneja, R.L.; Mkindi, A.G. Advances in botanical-based nanoformulations for sustainable cotton insect pest management in developing countries. Front. Agron. 2025, 7, 1558395. [Google Scholar] [CrossRef]
- Lima, R.K.; Cardoso, M.G.; Campos de Moraes, J.; Melo, B.A.; Rodrigues, V.G.; Guimarães, P.L. Insecticidal Activity of Long-pepper essential oil (Piper hispidinervum C. DC.) on fall armyworm Spodoptera frugiperda (J. E. Smith, 1797) (Lepidoptera: Noctuidae). Acta Amazon. 2008, 39, 377–382. [Google Scholar] [CrossRef]
- Fazolin, M.; Bizzo, H.R.; Monteiro, A.F.M.; Lima, M.E.C.; Maisforte, N.S.; Gama, P.E. Synergism in Two-Component Insecticides with Dillapiole against Fall Armyworm. Plants 2023, 12, 3042. [Google Scholar] [CrossRef] [PubMed]
- de Paula Rosetti, M.K.; Alves, D.S.; Luft, I.C.; Pompermayer, K.; Scolari, A.S.; de Souza e Silva, G.T.; de Oliveira, M.S.; Vanegas, J.A.G.; Pacule, H.B.; Silva, G.H.; et al. Duguetia lanceolata A. St.-Hil. (Annonaceae) Essential Oil: Toxicity against Spodoptera frugiperda (J. E. Smith) (Lepidoptera: Noctuidae) and Selectivity for the Parasitoid Trichogramma pretiosum Riley (Hymenoptera: Trichogrammatidae). Agriculture 2023, 13, 488. [Google Scholar] [CrossRef]
- Keerthi, M.C.; Suroshe, S.S.; Doddachowdappa, S.; Shivakumara, K.T.; Mahesha, H.S.; Rana, V.S.; Gupta, A.; Murukesan, A.; Casini, R.; Elansary, H.O.; et al. Bio-Intensive Tactics for the Management of Invasive Fall Armyworm for Organic Maize Production. Plants 2023, 12, 685. [Google Scholar] [CrossRef]
- Wangrawa, D.W.; Waongo, A.; Traore, F.; Ilboudo, Z.; Upshur, F.; Borovsky, D.; Lahondère, C.; Badolo, A.; Sanon, A. Insecticidal and Anti-Feeding Activities of Cymbopogon schoenanthus, Lippia multiflora, and Ocimum americanum Essential Oils Against Larvae and Pupae of Spodoptera frugiperda (Lepidoptera:Noctuidae). Acta Sci. Agric. 2023, 7, 50–62. [Google Scholar] [CrossRef]
- Gomez Da Camara, C.a.G.; Nascimento, A.F.D.; Monteiro, V.B.; De Moraes, M.M. Larvicidal, ovicidal and antifeedant activities of essential oils and constituents against Spodoptera frugiperda. Arch. Phytopathol. Plant Prot. 2022, 55, 851–873. [Google Scholar] [CrossRef]
- Reis, D.M.D.; De França, S.M.; Marques, I.S.; Cruz, G.D.S.; Filho, A.J.C.; De Araújo Gomes, B.; Filho, E.R.; Zuffo, A.M.; Barbosa, D.R.E. Essential oils of Alpinia zerumbet, Syzygium cumini, and Aniba rosaeodora: Toxicity, effects on nutritional components, and biological parameters of Spodoptera frugiperda (Lepidoptera: Noctuidae). J. Plant Dis. Prot. 2025, 132, 158. [Google Scholar] [CrossRef]
- Giraldi, G.T.; Amaral, W.D.; Zimmermann, R.C.; Mazarotto, E.J.; Schafaschek, A.M.; Gerber, A.E.; Maia, B.H.L.N.S.; Santos, E.F.D.; Da Silva, M.a.N.; Foester, L.A. Insecticidal activity, toxicity and biochemical alterations of Drimys brasiliensis essential oil against Spodoptera frugiperda. J. Pest Sci. 2024, 98, 693–703. [Google Scholar] [CrossRef]
- Giraldi, G.T.; Zimmermann, R.C.; Amaral, W.D.; Martins, C.E.N.; Schafaschek, A.M.; Maia, B.H.L.N.S.; Santos, E.F.D.; Mazarotto, E.J.; Da Silva, M.a.N.; Foester, L.A. Toxicity of essential oils from Baccharis species on Spodoptera frugiperda and their selectivity to the parasitoid Telenomus remus. J. Pest Sci. 2025, 98, 2247–2263. [Google Scholar] [CrossRef]
- Sadek, H.E.; Elbehery, H.H.; Mohamed, S.A.; El-Wahab, T.E.A. Genetic expressions and evaluation of insecticidal activity of some essential oil and methomyl lannate 90% against Spodoptera frugiperda. Bull. Natl. Res. Cent. 2024, 48, 15. [Google Scholar] [CrossRef]
- Monteiro, I.N.; dos Santos, M.O.; de Oliveira, A.K.M.; Favero, S.; Garcia, N.Z.T.; Fernandes, Y.M.L.; Matias, R. Chemical analysis and insecticidal activity of Ocimum gratissimum essential oil and its major constituent against Spodoptera frugiperda (Smith, 1797) (Lepidoptera: Noctuidae). Res. Soc. Dev. 2020, 9, e4999119787. [Google Scholar] [CrossRef]
- Sombra, K.E.; De Aguiar, C.V.; De Oliveira, S.J.; Barbosa, M.G.; Zocolo, G.J.; Pastori, P.L. Potential pesticide of three essential oils against Spodoptera frugiperda (J.E. Smith) (Lepidoptera: Noctuidae). Chil. J. Agric. Res. 2020, 80, 617–628. [Google Scholar] [CrossRef]
- Knaak, N.; Wiest, S.L.F.; Andreis, T.F.; Fiuza, L.M. Toxicity of essential oils to the larvae of Spodoptera frugiperda (Lepidoptera: Noctuidae). J. Biopestic. 2013, 6, 49–53. [Google Scholar] [CrossRef]
- Mohammad, A.M.; Shaker, A.M.; Salem, O.M.A.; Elmashay, A.; Hassani, R. Screening the larvicidal activity of ZnO, CuO nanoparticles, and neem seed oil extract against the full armyworm Spodoptera frugiperda (J. E. Smith) (Lepidoptera, Noctuidae). Emir. J. Food Agric. 2024, 36, 1–9. [Google Scholar] [CrossRef]
- Fakeer, M.; Hammam, G.H.; Joo, J.H.; Hussein, K.A. Applicability of entomopathogenic fungi and essential oils against the fall armyworm Spodoptera frugiperda (Lepidoptera: Noctuidae). Int. J. Trop. Insect Sci. 2023, 44, 53–61. [Google Scholar] [CrossRef]
- Altaf, N.; Ullah, M.I.; Arshad, M.; Afzal, M.; Al-Shuraym, L.A.; Mehmood, N.; Hayat, Z.; Sayed, S.M. The chemical composition and biological activities of plant essential oils against Spodoptera frugiperda (J.E. Smith) (Lepidoptera: Noctuidae). J. Plant Dis. Prot. 2024, 131, 705–717. [Google Scholar] [CrossRef]
- Wangrawa, D.W.; Waongo, A.; Traore, F.; Sanou, D.; Lahondere, C.; Sané, A.R.; Borovsky, D.; Ouédraogo, S.N.; Sanon, A. The Essential Oils Compounds of Lippia multiflora Moldenke and Cymbopogon schoenanthus (L.) Spreng Repel and Affect the Survival of the Maize Pest Spodoptera frugiperda (Lepidoptera: Noctuidae) Larvae. Psyche J. Entomol. 2024, 2024, 1202962. [Google Scholar] [CrossRef]












| Phytochemical Compound | Family | September 2024 | May 2025 |
|---|---|---|---|
| Area% | Area% | ||
| 1R-α-Pinene | Monoterpenes | 1.175 | |
| β-Pinene | Monoterpenes | 1.07 | |
| o-Cymene | Monoterpenes | 1.42 | |
| ç-Terpinene | Monoterpenes | 2.76 | |
| Terpinolene | Monoterpenes | 2.41 | |
| Linalool | oxidized monoterpenes | 3.78 | |
| Allo-Ocimene | Monoterpenes | 1.059 | |
| Safrole | phenylpropanoids | 70.612 | 54.47 |
| Copaene | sesquiterpenes | 3.72 | |
| Caryophyllene | sesquiterpenes | 8.35 | |
| cis-β-Copaene | sesquiterpenes | 2.98 | |
| β-Germacrene | sesquiterpenes | 2.01 | |
| Nerolidol | oxidized sesquiterpenes | 1.71 | |
| α-Amorphene | sesquiterpenes | 1.134 | |
| α-Himachalene | sesquiterpenes | 2.266 | |
| Caryophyllene oxide | oxidized sesquiterpenes | 0.89 |
| Phytochemical Compound | EO | NE | AgNP | ME |
|---|---|---|---|---|
| Area% | Area% | Area% | Area% | |
| β-Pinene | 1.07 | 1.17 | - | - |
| o-Cymene | 1.42 | 1.28 | - | - |
| ç-Terpinene | 2.76 | 1.72 | - | - |
| Terpinolene | 2.41 | 1.49 | - | - |
| Linalool | 3.78 | 1.78 | 0.616 | - |
| Safrole | 54.47 | 60.93 | 76.50 | 40.77 |
| Copaene | 3.72 | 3.36 | 1.195 | 0.40 |
| Caryophyllene | 8.35 | 6.57 | 3.20 | 1.35 |
| Humulene | 0.93 | 0.83 | 0.46 | 0.29 |
| cis-β-Copaene | 2.98 | 1.97 | 0.58 | 0.28 |
| β-Germacrene | 2.01 | 1.2 | 0.91 | 0.29 |
| Myristicin | NI | 1.39 | 1.59 | 3.39 |
| Nerolidol | 1.71 | 1.09 | 1.69 | 7.98 |
| Caryophyllene oxide | 0.89 | 1.23 | 1.66 | 0.95 |
| Days | 7 | 15 | 30 | 60 |
|---|---|---|---|---|
| EO | Spatulenol Caryophyllene oxide alfa-himachalene (1.129%) cis-β-Copaene (0.806%) Phytol (3.421%) | |||
| AgNP | Safrole (1.619%) Myristicin (0.599%) cis-Sesquisabinene hydrate Spatulenol (0.592%) Epicubebol (1.45%) β-Copaene (0.607%) Caryophyllene oxide | cis-Sesquisabinene hydrate Epicubebol Phytol (3.235%) | ||
| ME | Safrole (0.673%) cis-Sesquisabinenhydrate Epicubebol | Safrole (2.95%) cis-Sesquisabinenhydrate Epicubebol (1.123%) Caryophyllene oxide (0.468%) | Safrole (1.8%) | Safrole (1.8%) |
| NE | Safrole Myristicin (1.053%) Geranyllinalool (5.473%) β-Copaene (1.067%) | Safrole (1.47%) Isoeugenol methyl ether (0.468%) β-Copaene (1.12%) Myristicin (8.292%) Geranyllinalool (15.356%) α-himachalene (0.638%) | Safrole (1.236%) β-Copaene (0.541%) Myristicin Geranyllinalool | Safrole (0.938%) Myristicin (0.702%) Geranyllinalool Epicubebol (0.935%) |
| LD50 (µg cm−2) | Limit Minimum | Limit Maximum | LD95 (µg cm−2) | Limit Minimum | Limit Maximum | χ2 | Slop | R2 | |
|---|---|---|---|---|---|---|---|---|---|
| EO-Eth | 0.13 | 0.09 | 0.19 | 7.46 | 3.69 | 22.56 | 19.25 | 0.82 | 0.77 |
| NE | 0.97 | 0.71 | 1.34 | 37.68 | 19.83 | 90.30 | 26.72 | 0.94 | 0.79 |
| ME | 9.42 | 6.47 | 11.27 | 23.72 | 18.21 | 49.69 | 2.71 | 3.54 | 0.78 |
| NP | 13.08 | 11.57 | 14.58 | 48.65 | 38.00 | 71.61 | 11.22 | 2.83 | 0.89 |
| SM | 2605.6 | 398.3 | 120,080.1 | *** | *** | *** | 17.14 | −0.27 | 0.62 |
Disclaimer/Publisher’s Note: The statements, opinions and data contained in all publications are solely those of the individual author(s) and contributor(s) and not of MDPI and/or the editor(s). MDPI and/or the editor(s) disclaim responsibility for any injury to people or property resulting from any ideas, methods, instructions or products referred to in the content. |
© 2026 by the authors. Licensee MDPI, Basel, Switzerland. This article is an open access article distributed under the terms and conditions of the Creative Commons Attribution (CC BY) license.
Share and Cite
Barrera-Cortés, J.; Sosa-Trejo, J.; Sánchez-Barrera, I.M.; Lina-García, L.P.; León Navarrete, F.D.; Mancera-López, M.E. Nanoformulations of the Piper auritum Kunth (Piperales: Piperaceae) Essential Oil for the Control of Spodoptera frugiperda (J.E. Smith) (Lepidoptera: Noctuidae). Agriculture 2026, 16, 308. https://doi.org/10.3390/agriculture16030308
Barrera-Cortés J, Sosa-Trejo J, Sánchez-Barrera IM, Lina-García LP, León Navarrete FD, Mancera-López ME. Nanoformulations of the Piper auritum Kunth (Piperales: Piperaceae) Essential Oil for the Control of Spodoptera frugiperda (J.E. Smith) (Lepidoptera: Noctuidae). Agriculture. 2026; 16(3):308. https://doi.org/10.3390/agriculture16030308
Chicago/Turabian StyleBarrera-Cortés, Josefina, Jocelyn Sosa-Trejo, Isabel M. Sánchez-Barrera, Laura P. Lina-García, Fabiola D. León Navarrete, and María E. Mancera-López. 2026. "Nanoformulations of the Piper auritum Kunth (Piperales: Piperaceae) Essential Oil for the Control of Spodoptera frugiperda (J.E. Smith) (Lepidoptera: Noctuidae)" Agriculture 16, no. 3: 308. https://doi.org/10.3390/agriculture16030308
APA StyleBarrera-Cortés, J., Sosa-Trejo, J., Sánchez-Barrera, I. M., Lina-García, L. P., León Navarrete, F. D., & Mancera-López, M. E. (2026). Nanoformulations of the Piper auritum Kunth (Piperales: Piperaceae) Essential Oil for the Control of Spodoptera frugiperda (J.E. Smith) (Lepidoptera: Noctuidae). Agriculture, 16(3), 308. https://doi.org/10.3390/agriculture16030308

