Interactions Between Leaf Area Dynamics and Vineyard Performance, Environment, and Viticultural Practices
Abstract
1. Introduction
2. Materials and Methods
2.1. Study Site
2.2. Experiment Design
2.3. Data Collection and Feature Engineering
2.3.1. Field Data
| Stage 0 Budbreak–Flowering (07–69) | Stage 1 Flowering–Bunch Closure (69–79) | Stage 2 Bunch Closure–Veraison (79–85) | Stage 3 Veraison–Harvest (85–89) | Post-Harvest (89–91) | Pruning | |
|---|---|---|---|---|---|---|
| Range of start dates | 7 March– 6 April | 18 April– 14 May | 30 May– 11 June | 23 June– 18 July | 27 July– 19 August | 5 February–7 March |
| Mean start date | 19 March | 6 May | 4 June | 29 June | 9 August | 22 February |
| Average duration (days) | 48 | 29 | 25 | 41 | 52 | - |
2.3.2. Meteorological Data
- -
- Total and Spring precipitation: the accumulated precipitation (mm) during the winter and spring preceding each growing season. The total precipitation and spring precipitation were accumulated from 1 October to 30 April and from 1 March to 30 April of each winter and spring, respectively. The range of values during the experimental period was very wide (250–555 mm in total, 24–134 mm in spring, Table 2), with quite high CVs (21.44% and 50.83%).
- -
- Temperature: minimum, maximum, and mean daily temperature values were averaged across phenological stages for each season.
- -
- Vapor pressure deficit (VPD): daily VPD values were calculated using the Magnus formula [34] and minimum, maximum, and mean daily values were averaged across phenological stages for each growing season. The calculation was performed as follows:
- -
- Total chilling hours: the accumulated number of cool hours during each winter preceding the growing seasons. They were calculated using the scoring system: hourly temperature below 7 °C = 1 chilling hour; between 7 °C and 10 °C = 0.5 chilling hour; between 10 °C and 18 °C = 0; and above 18 °C = − 1 chilling hour. The daily chilling hours were then summed, while negative chilling hours were counted as 0. Daily chilling hours were accumulated between November and April and provided as total seasonal chilling hours (Table 2). During the experimental period, the values ranged between 197 and 571 chilling hours, with a CV of 31.3%.
- -
- Reference evapotranspiration (ETo): this was calculated using the FAO Penman–Monteith equation [28]. The daily mean values were averaged for each phenological stage during each growing season. Values ranged between 2.3 and 8.2 mm d−1, with CV = 27.5%.
- -
- Wind speed: hourly means were averaged for each phenological stage during each growing season, ranging between 4.5 and 7.4 mm s−1.
- -
- Mean radiation: the hourly values were summed into daily records, and further averaged on the phenological stage scale. Values ranged between 14.2 and 28 MJ m−2 d−1.
- -
- Relative humidity (RH): mean daily RH values were averaged for each phenological stage. Values ranged from 50% to 78% with a low variance (CV = 10.45%).
| Category | Variable | Min | Max | Median | Mean ± SD | CV (%) |
|---|---|---|---|---|---|---|
| Yield components | Clusters per vine | 23 | 110 | 62 | 64.17 ± 19.28 | 30.05 |
| Yield (t ha−1) | 5.19 | 34.81 | 17.57 | 18.16 ± 5.85 | 32.2 | |
| Cluster weight (g) | 51.66 | 199 | 121 | 123.79 ± 25.91 | 20.93 | |
| Pruning components | Canes per vine | 16 | 48 | 32 | 32.33 ± 6.11 | 18.91 |
| Pruning weight (kg) | 0.19 | 2.54 | 1.16 | 1.23 ± 0.47 | 38.27 | |
| Cane weight (g) | 0 | 78.89 | 36.03 | 38.4 ± 14.45 | 37.63 | |
| Leaf area index | Mean LAI at Stage 0 (m2 m−2) | 0.31 | 0.78 | 0.52 | 0.52 ± 0.1 | 19 |
| Mean LAI at Stage 1 (m2 m−2) | 0.77 | 1.92 | 1.19 | 1.22 ± 0.24 | 19.3 | |
| Mean LAI at Stage 2 (m2 m−2) | 0.7 | 2.48 | 1.4 | 1.39 ± 0.36 | 26.02 | |
| Mean LAI at Stage 3 (m2 m−2) | 0.78 | 2.56 | 1.33 | 1.41 ± 0.38 | 27.21 | |
| Mean LAI at Post-harvest (m2 m−2) | 0.6 | 2 | 1.2 | 1.22 ± 0.27 | 21.96 | |
| Irrigation treatments | Irrigation per season (mm) | 191.7 | 710.8 | 397.1 | 396.4 ± 126.6 | 31.93 |
| Meteorology (at the phenological stage scale) | Total (seasonal) precipitation (mm) | 250.8 | 555.3 | 441.8 | 421.53 ± 90.39 | 21.44 |
| Spring precipitation (mm) | 23.8 | 134.4 | 73.9 | 72.09 ± 36.64 | 50.83 | |
| Mean temperature (°C) | 9.62 | 26.64 | 22.99 | 21.26 ± 4.76 | 22.39 | |
| Maximum temperature (°C) | 13.37 | 36.93 | 30.06 | 27.78 ± 5.98 | 21.54 | |
| Minimum temperature (°C) | 6.79 | 21.74 | 17.74 | 16.57 ± 4.2 | 25.36 | |
| Mean vapor pressure deficit (kPa) | 0.3 | 1.96 | 1.17 | 1.11 ± 0.37 | 33.85 | |
| Minimum vapor pressure deficit (kPa) | 0.02 | 0.45 | 0.18 | 0.18 ± 0.1 | 57.03 | |
| Maximum vapor pressure deficit (kPa) | 0.64 | 4.77 | 2.82 | 2.57 ± 0.95 | 37.07 | |
| Chilling hours | 197.5 | 571.5 | 409.25 | 390.5 ± 122.14 | 31.28 | |
| Mean ETo (mm day−1) | 2.32 | 8.16 | 6.69 | 6.07 ± 1.67 | 27.52 | |
| Mean wind speed (m s−1) | 4.53 | 7.4 | 5.62 | 5.72 ± 0.62 | 10.81 | |
| Mean radiation (MJ m−2 day−1) | 14.18 | 28.11 | 22.3 | 22.93 ± 3.92 | 17.08 | |
| Mean relative humidity (%) | 49.61 | 77.89 | 66.69 | 65.97 ± 6.89 | 10.45 |
2.4. Modeling Framework
2.4.1. Irrigation and Leaf Area Variations Among Seasons and Treatments
2.4.2. LAI Associations to Environmental and Irrigation Factors
2.4.3. LAI Phenology Effects on Reproductive and Pruning Components
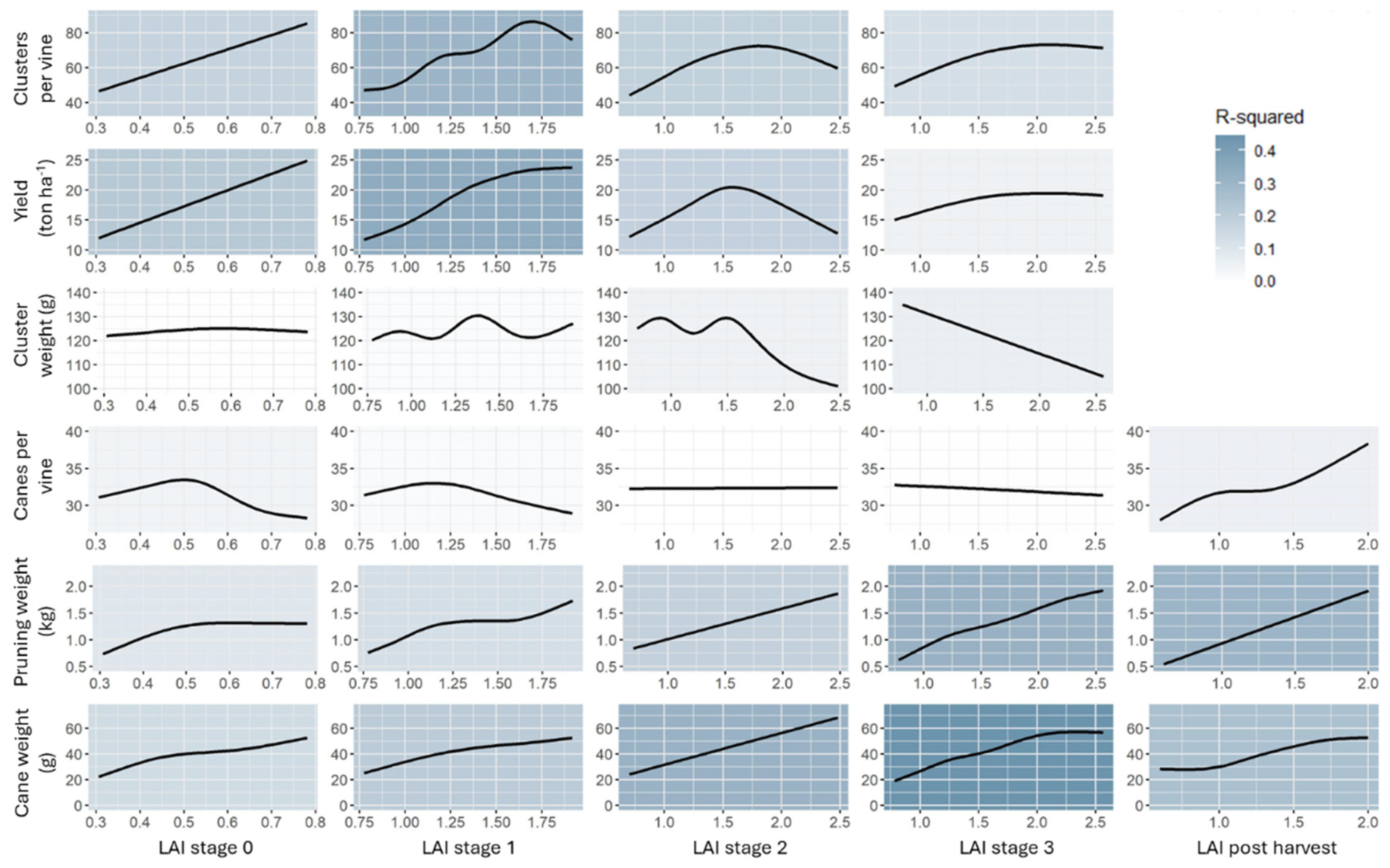
- Yield and pruning components were separately analyzed against LAI values at each phenological stage, and against LAI values from the previous season. This analysis was conducted using the generalized additive model (GAM), to enable quantifying the non-linearity of some of the relationships. GAM is an additive model technique where the influence of each covariate is captured by a smooth function [41]. These smooth functions can adapt to both linear and non-linear relationships, providing greater flexibility compared to traditional linear models. The degree of smoothness in the model is controlled by a smoothing parameter, which helps to prevent overfitting by penalizing overly complex models [42]. In this study, the spline function was used for smoothing the covariates, and Gaussian distribution was assumed. All GAMs were applied using 8 knots to avoid overfitting the relationships. The coefficient of determination (R2) was extracted from each model to define the proportion of variance in the response variable explained by the model. In addition, for each model the partial dependent plot was extracted to visualize the patterns of relationship between LAI and each component. GAMs were fitted using the “mgcv” package in R [43], and the partial plots were produced using the “pdp” package [44]. Heatmaps were subsequently produced based on R2 values to enable comparison between the strengths of the different models, while incorporating the partial plots to illustrate the nature of the relationships between LAI and the respective components. The plots were generated using “ggplot2” package in R [45], with coding support from ChatGPT-4-turbo. The codes were checked and revised to produce the desired figures.
- To determine the relative importance of LAI values at different stages (including the current and previous season) on yield and pruning components, we employed the eXtreme Gradient Boosting (XGBoost) algorithm. XGBoost is a powerful ensemble learning method that combines multiple decision trees to create a robust predictive model in an iterative manner, with each subsequent tree focusing on correcting the errors of its predecessors. XGBoost incorporates regularization techniques to prevent overfitting and can effectively handle complex relationships between variables [46]. Given the potential non-linearity and interactions between LAI at different stages and the yield/pruning components, XGBoost was selected for its ability to capture these complex relationships and its strong predictive performance. The model was trained using 100 boosting rounds with the squared error objective function, a learning rate of 0.3, maximum tree depth of 6, and a uniform sampling method. Finally, the relative contribution of the features (e.g., LAI at the different stages at current and previous season) were extracted and visualized. The XGBoost algorithm was applied using the “xgboost” package in R [47] and the results were visualized using “ggplot2” [45]. To evaluate model reliability, a validation process was conducted for each yield and pruning component. The dataset was randomly split into training (80%) and testing (20%) subsets. The model was trained on the training set and then used to predict the component values for the test set. Model accuracy was assessed using the following metrics:
- -
- Pearson correlation (r), which measures the strength and direction of the linear relationship between predicted and observed values. Higher absolute values of ‘r’ indicate stronger correlations.
- -
- Paired t-test (t), which evaluates whether the mean predicted values differ significantly from the mean observed values in the test set.
- -
- Kolmogorov–Smirnov (D), which compares the distribution of predicted values to the distribution of observed values in the test set to assess whether they are statistically different.
- -
- Mean absolute error (MAE), which measures the average absolute difference between predicted and observed values. MAE was further normalized to the range of the test set to provide the error in percentage. MAE was calculated using the “Metrics” library in R [48].
3. Results
3.1. Quantified Irrigation and Leaf Area Variations Among Seasons and Treatments
3.2. Quatification of LAI Associations to Environmental and Irrigation Factors
3.3. Modeled LAI Phenology Effects on Reproductive and Pruning Components
4. Discussion
4.1. Influence of Water Availability on Leaf Area
4.2. Environmental and Seasonal Drivers of Leaf Area Variability
4.3. Effects of Leaf Area on Yield and Pruning Components
4.4. Practical Implications for Vineyard Management
5. Conclusions
Author Contributions
Funding
Institutional Review Board Statement
Data Availability Statement
Acknowledgments
Conflicts of Interest
Abbreviations
| ETo | Reference evapotranspiration |
| ETc | Crop evapotranspiration |
| LAI | Leaf area index |
| VPD | Vapor pressure deficit |
| MAE | Mean absolute error |
References
- Watson, D.J. Comparative Physiological Studies on the Growth of Field Crops: I. Variation in Net Assimilation Rate and Leaf Area between Species and Varieties, and within and between Years. Ann. Bot. 1947, 11, 41–76. [Google Scholar] [CrossRef]
- White, W.A.; Alsina, M.M.; Nieto, H.; McKee, L.G.; Gao, F.; Kustas, W.P. Determining a robust indirect measurement of leaf area index in California vineyards for validating remote sensing-based retrievals. Irrig. Sci. 2018, 37, 269–280. [Google Scholar] [CrossRef]
- Sun, L.; Gao, F.; Anderson, M.; Kustas, W.; Alsina, M.; Sanchez, L.; Sams, B.; McKee, L.; Dulaney, W.; White, W.; et al. Daily Mapping of 30 m LAI and NDVI for Grape Yield Prediction in California Vineyards. Remote Sens. 2017, 9, 317. [Google Scholar] [CrossRef]
- Ohana-Levi, N.; Gao, F.; Knipper, K.; Kustas, W.P.; Anderson, M.C.; del Mar Alsina, M.; Sanchez, L.A.; Karnieli, A. Time-series clustering of remote sensing retrievals for defining management zones in a vineyard. Irrig. Sci. 2022, 1, 801–815. [Google Scholar] [CrossRef]
- Leolini, L.; Bregaglio, S.; Ginaldi, F.; Costafreda-Aumedes, S.; Di Gennaro, S.F.; Matese, A.; Maselli, F.; Caruso, G.; Palai, G.; Bajocco, S.; et al. Use of remote sensing-derived fPAR data in a grapevine simulation model for estimating vine biomass accumulation and yield variability at sub-field level. Precis. Agric. 2023, 24, 705–726. [Google Scholar] [CrossRef]
- Munitz, S.; Schwartz, A.; Netzer, Y. Effect of timing of irrigation initiation on vegetative growth, physiology and yield parameters in Cabernet Sauvignon grapevines. Aust. J. Grape Wine Res. 2020, 26, 220–232. [Google Scholar] [CrossRef]
- Williams, L.E.; Ayars, J.E. Grapevine water use and the crop coefficient are linear functions of the shaded area measured beneath the canopy. Agric. For. Meteorol. 2005, 132, 201–211. [Google Scholar] [CrossRef]
- Ben-Asher, J.; Tsuyuki, I.; Bravdo, B.-A.; Sagih, M. Irrigation of grapevines with saline water: I. Leaf area index, stomatal conductance, transpiration and photosynthesis. Agric. Water Manag. 2006, 83, 13–21. [Google Scholar] [CrossRef]
- Ohana-Levi, N.; Munitz, S.; Ben-Gal, A.; Schwartz, A.; Peeters, A.; Netzer, Y. Multiseasonal grapevine water consumption—Drivers and forecasting. Agric. For. Meteorol. 2020, 280, 107796. [Google Scholar] [CrossRef]
- Netzer, Y.; Yao, C.; Shenker, M.; Bravdo, B.A.; Schwartz, A. Water use and the development of seasonal crop coefficients for Superior Seedless grapevines trained to an open-gable trellis system. Irrig. Sci. 2009, 27, 109–120. [Google Scholar] [CrossRef]
- Ohana-Levi, N.; Cohen, Y.; Munitz, S.; Michaelovsky, R.; Ferman Mintz, D.; Hagag, N.; Getz, Y.; Netzer, Y. The response of yield, number of clusters, and cluster weight to meteorological factors and irrigation practices in grapevines: A multi-experiment study. Sci. Hortic. 2024, 326, 112761. [Google Scholar] [CrossRef]
- Somkuwar, S.G.; Taware, P.B.; Bondage, D.D.; Nawale, S. Influence of shoot density on leaf area, yield and quality of Tas-A-Ganesh grapes (Vitis vinifera L.) grafted on Dog Ridge rootstock. Int. Res. J. Plant Sci. 2012, 3, 94–99. [Google Scholar]
- Hunter, J.J. Implications of Seasonal Canopy Management and Growth Compensation in Grapevine. S. Afr. J. Enol. Vitic. 2000, 21, 81–91. [Google Scholar] [CrossRef][Green Version]
- Munitz, S.; Schwartz, A.; Netzer, Y. Water consumption, crop coefficient and leaf area relations of a Vitis vinifera cv. “Cabernet Sauvignon” vineyard. Agric. Water Manag. 2019, 219, 86–94. [Google Scholar] [CrossRef]
- Ohana-Levi, N.; Munitz, S.; Ben-Gal, A.; Netzer, Y. Evaluation of within-season grapevine evapotranspiration patterns and drivers using generalized additive models. Agric. Water Manag. 2020, 228, 105808. [Google Scholar] [CrossRef]
- Lavee, S.; May, P. Dormancy of grapevine buds—Facts and speculation. Aust. J. Grape Wine Res. 1997, 3, 31–46. [Google Scholar] [CrossRef]
- Picón-Toro, J.; González-Dugo, V.; Uriarte, D.; Mancha, L.A.; Testi, L. Effects of canopy size and water stress over the crop coefficient of a “Tempranillo” vineyard in south-western Spain. Irrig. Sci. 2012, 30, 419–432. [Google Scholar] [CrossRef]
- Mancha, L.A.; Uriarte, D.; Prieto, M.D.H. Characterization of the Transpiration of a Vineyard under Different Irrigation Strategies Using Sap Flow Sensors. Water 2021, 13, 2867. [Google Scholar] [CrossRef]
- Bahat, I.; Netzer, Y.; Grünzweig, J.M.; Alchanatis, V.; Peeters, A.; Goldshtein, E.; Ohana-Levi, N.; Ben-Gal, A.; Cohen, Y. In-season interactions between vine vigor, water status and wine quality in terrain-based management-zones in a ‘Cabernet Sauvignon’ vineyard. Remote Sens. 2021, 13, 1636. [Google Scholar] [CrossRef]
- Arab, S.T.; Noguchi, R.; Matsushita, S.; Ahamed, T. Prediction of grape yields from time-series vegetation indices using satellite remote sensing and a machine-learning approach. Remote Sens. Appl. Soc. Environ. 2021, 22, 100485. [Google Scholar] [CrossRef]
- Greer, D.H.; Weedon, M.M. Interactions between light and growing season temperatures on, growth and development and gas exchange of Semillon (Vitis vinifera L.) vines grown in an irrigated vineyard. Plant Physiol. Biochem. 2012, 54, 59–69. [Google Scholar] [CrossRef] [PubMed]
- Intrigliolo, D.S.; Castel, J.R. Response of grapevine cv. “Tempranillo” to timing and amount of irrigation: Water relations, vine growth, yield and berry and wine composition. Irrig. Sci. 2010, 28, 113–125. [Google Scholar] [CrossRef]
- Williams, L.E. Growth of ‘Thompson Seedless’ Grapevines: I. Leaf Area Development and Dry Weight Distribution. J. Am. Soc. Hortic. Sci. 1987, 112, 325–330. [Google Scholar] [CrossRef]
- Ramos, M.C. Projection of phenology response to climate change in rainfed vineyards in north-east Spain. Agric. For. Meteorol. 2017, 247, 104–115. [Google Scholar] [CrossRef]
- Yu, R.; Fidelibus, M.W.; Kennedy, J.A.; Kurtural, S.K. Precipitation before Flowering Determined Effectiveness of Leaf Removal Timing and Irrigation on Wine Composition of Merlot Grapevine. Plants 2021, 10, 1865. [Google Scholar] [CrossRef]
- Martínez-Lüscher, J.; Brillante, L.; Nelson, C.C.; Al-Kereamy, A.M.; Zhuang, S.; Kurtural, S.K. Precipitation before bud break and irrigation affect the response of grapevine ‘Zinfandel’ yields and berry skin phenolic composition to training systems. Sci. Hortic. 2017, 222, 153–161. [Google Scholar] [CrossRef]
- van Es, H.M.; Gomes, C.P.; Sellmann, M.; van Es, C.L. Spatially-Balanced Complete Block designs for field experiments. Geoderma 2007, 140, 346–352. [Google Scholar] [CrossRef]
- Allen, R.G.; Pereira, L.S.; Raes, D.; Smith, M. Crop Evapotranspiration-Guidelines for Computing Crop Water Requirements-FAO Irrigation and Drainage Paper 56; Food and Agriculture Organization: Rome, Italy, 1998. [Google Scholar]
- Ohana-Levi, N.; Mintz, D.F.; Hagag, N.; Stern, Y.; Munitz, S.; Friedman-Levi, Y.; Shacham, N.; Grünzweig, J.M.; Netzer, Y. Grapevine responses to site-specific spatiotemporal factors in a Mediterranean climate. Agric. Water Manag. 2022, 259, 107226. [Google Scholar] [CrossRef]
- Ohana-Levi, N.; Zachs, I.; Hagag, N.; Shemesh, L.; Netzer, Y. Grapevine stem water potential estimation based on sensor fusion. Comput. Electron. Agric. 2022, 198, 107016. [Google Scholar] [CrossRef]
- Kennedy, J. Understanding grape berry development. Pract. Winer. Vineyard 2002, 4, 1–5. [Google Scholar]
- Netzer, Y.; Munitz, S.; Shtein, I.; Schwartz, A. Structural memory in grapevines: Early season water availability affects late season drought stress severity. Eur. J. Agron. 2019, 105, 96–103. [Google Scholar] [CrossRef]
- Moritz, S.; Bartz-Beielstein, T. imputeTS: Time Series Missing Value Imputation in R. R J. 2017, 9, 207–218. [Google Scholar] [CrossRef]
- Xu, J.; Wei, Q.; Peng, S.; Yu, Y. Error of Saturation Vapor Pressure Calculated by Different Formulas and Its Effect on Calculation of Reference Evapotranspiration in High Latitude Cold Region. Procedia Eng. 2012, 28, 43–48. [Google Scholar] [CrossRef]
- Wickham, H.; Francois, R.; Henry, L.; Muller, K. dplyr: A Grammar of Data Manipulation. R Package Version 1.0.8. 2022. Available online: https://CRAN.R-project.org/package=dplyr (accessed on 13 February 2025).
- Wickham, H. Reshaping Data with the reshape package. J. Stat. Softw. 2007, 21, 1–20. [Google Scholar] [CrossRef]
- Grolemund, G.; Wickham, H. Dates and Times Made Easy with lubridate. J. Stat. Softw. 2011, 40, 1–25. [Google Scholar] [CrossRef]
- de Mendiburu, F. agricolae: Statistical Procedures for Agricultural Research. R Package Version 1.3-5. 2021. Available online: https://cran.r-project.org/web/packages/agricolae/index.html (accessed on 13 February 2025).
- R Core Team R: A Language and Environment for Statistical Computing 2021. Available online: https://www.R-project.org/ (accessed on 13 February 2025).
- Wei, T.; Simko, V.; Levy, M.; Xie, Y.; Jin, Y.; Zemla, J.; Freidank, M.; Cai, J.; Protivinsky, T. Package “corrplot”: Visualization of a Correlation Matrix 2021. Available online: https://github.com/taiyun/corrplot (accessed on 13 February 2025).
- Hastie, T.; Tibshirani, R. Generalized Additive Models. Stat. Sci. 1986, 1, 297–310. [Google Scholar] [CrossRef]
- Wood, S.N. Stable and Efficient Multiple Smoothing Parameter Estimation for Generalized Additive Models. J. Am. Stat. Assoc. 2012, 99, 673–686. [Google Scholar] [CrossRef]
- Wood, S.N. Generalized Additive Models, 2nd ed.; Chapman and Hall/CRC: New York, NY, USA, 2017; ISBN 9781315370279. [Google Scholar]
- Greenwell, B.M. pdp: An R package for constructing partial dependence plots. R J. 2017, 9, 421–436. [Google Scholar] [CrossRef]
- Wickham, H. ggplot2: Elegant Graphics for Data Analysis; Springer: New York, NY, USA, 2016; ISBN 9780387981406. [Google Scholar]
- Chen, T.; Guestrin, C. XGBoost: A scalable tree boosting system. In Proceedings of the ACM SIGKDD International Conference on Knowledge Discovery and Data Mining, San Francisco, CA, USA, 13–17 August 2016; pp. 785–794. [Google Scholar] [CrossRef]
- Chen, T.; He, T.; Benesty, M.; Khotilovich, V.; Tang, Y.; Cho, H.; Chen, K.; Mitchell, R.; Cano, I.; Zhou, T.; et al. xgboost: Extreme Gradient Boosting 2022. Available online: https://CRAN.R-project.org/package=xgboost (accessed on 13 February 2025).
- Hamner, B.; Frasco, M.; Ledell, E. Package “Metrics”—Evaluation Metrics for Machine Learning. 2018. Available online: https://CRAN.R-project.org/package=Metrics (accessed on 13 February 2025).
- Munitz, S.; Netzer, Y.; Schwartz, A. Sustained and regulated deficit irrigation of field-grown Merlot grapevines. Aust. J. Grape Wine Res. 2016, 1, 87–94. [Google Scholar] [CrossRef]
- Intrigliolo, D.S.; Castel, J.R. Effects of Irrigation on the Performance of Grapevine cv. Tempranillo in Requena, Spain. Am. J. Enol. Vitic. 2008, 59, 30–38. [Google Scholar] [CrossRef]
- Camps, J.O.; Ramos, M.C. Grape harvest and yield responses to inter-annual changes in temperature and precipitation in an area of north-east Spain with a Mediterranean climate. Int. J. Biometeorol. 2012, 56, 853–864. [Google Scholar] [CrossRef] [PubMed]
- Ramos, M.C.; Mulligan, M. Spatial modelling of the impact of climate variability on the annual soil moisture regime in a mechanized Mediterranean vineyard. J. Hydrol. 2005, 306, 287–301. [Google Scholar] [CrossRef]
- Junquera, P.; Lissarrague, J.R.; Jiménez, L.; Linares, R.; Baeza, P. Long-term effects of different irrigation strategies on yield components, vine vigour, and grape composition in cv. Cabernet-Sauvignon (Vitis vinifera L.). Irrig. Sci. 2012, 30, 351–361. [Google Scholar] [CrossRef]
- Zufferey, V.; Spring, J.L.; Verdenal, T.; Dienes, A.; Belcher, S.; Lorenzini, F.; Koestel, C.; Rösti, J.; Gindro, K.; Spangenberg, J.; et al. The influence of water stress on plant hydraulics, gas exchange, berry composition and quality of Pinot Noir wines in Switzerland. OENO One 2017, 51, 37–57. [Google Scholar] [CrossRef]
- Hochberg, U.; Degu, A.; Gendler, T.; Fait, A.; Rachmilevitch, S. The variability in the xylem architecture of grapevine petiole and its contribution to hydraulic differences. Funct. Plant Biol. 2014, 42, 357–365. [Google Scholar] [CrossRef]
- Herrera, J.C.; Savoi, S.; Dostal, J.; Elezovic, K.; Chatzisavva, M.; Forneck, A.; Savi, T. The legacy of past droughts induces water-sparingly behaviour in Grüner Veltliner grapevines. Plant Biol. 2024. [Google Scholar] [CrossRef]
- Shtein, I.; Wolberg, S.; Munitz, S.; Zait, Y.; Rosenzweig, T.; Grünzweig, J.M.; Ohana-Levi, N.; Netzer, Y. Multi-seasonal water-stress memory versus temperature-driven dynamic structural changes in grapevine. Tree Physiol. 2021, 41, 1199–1211. [Google Scholar] [CrossRef]
- Lavoie-Lamoureux, A.; Sacco, D.; Risse, P.A.; Lovisolo, C. Factors influencing stomatal conductance in response to water availability in grapevine: A meta-analysis. Physiol. Plant. 2017, 159, 468–482. [Google Scholar] [CrossRef]
- Buttrose, M.S. Some Effects of Light Intensity and Temperature on Dry Weight and Shoot Growth of Grape-Vine. Ann. Bot. 1968, 32, 753–765. [Google Scholar] [CrossRef]
- Lavee, S. Grapevine (Vitis vinifera) Growth and Performance in Warm Climates. Temp. Fruit Crop. Warm Clim. 2000, 343–366. [Google Scholar] [CrossRef]
- Gardiner, B.; Berry, P.; Moulia, B. Review: Wind impacts on plant growth, mechanics and damage. Plant Sci. 2016, 245, 94–118. [Google Scholar] [CrossRef]
- Jaffe, M.J. Thigmomorphogenesis: The response of plant growth and development to mechanical stimulation—With special reference to Bryonia dioica. Planta 1973, 114, 143–157. [Google Scholar] [CrossRef] [PubMed]
- Pollastrini, M.; Di Stefano, V.; Ferretti, M.; Agati, G.; Grifoni, D.; Zipoli, G.; Orlandini, S.; Bussotti, F. Influence of different light intensity regimes on leaf features of Vitis vinifera L. in ultraviolet radiation filtered condition. Environ. Exp. Bot. 2011, 73, 108–115. [Google Scholar] [CrossRef]
- Dobrowski, S.Z.; Ustin, S.L.; Wolpert, J.A. Grapevine dormant pruning weight prediction using remotely sensed data. Aust. J. Grape Wine Res. 2003, 9, 177–182. [Google Scholar] [CrossRef]
- Netzer, Y.; Suued, Y.; Harel, M.; Ferman-Mintz, D.; Drori, E.; Munitz, S.; Stanevsky, M.; Grünzweig, J.M.; Fait, A.; Ohana-Levi, N.; et al. Forever Young? Late Shoot Pruning Affects Phenological Development, Physiology, Yield and Wine Quality of Vitis vinifera cv. Malbec. Agriculture 2022, 12, 605. [Google Scholar] [CrossRef]
- Santesteban, L.G.; Miranda, C.; Royo, J.B. Regulated deficit irrigation effects on growth, yield, grape quality and individual anthocyanin composition in Vitis vinifera L. cv. “Tempranillo”. Agric. Water Manag. 2011, 98, 1171–1179. [Google Scholar] [CrossRef]
- Reynolds, A.G.; Vanden Heuvel, J.E. Influence of Grapevine Training Systems on Vine Growth and Fruit Composition: A Review. Am. J. Enol. Vitic. 2009, 60, 251–268. [Google Scholar] [CrossRef]
- Vasconcelos, M.C.; Castagnoli, S. Leaf Canopy Structure and Vine Performance. Am. J. Enol. Vitic. 2000, 51, 390–396. [Google Scholar] [CrossRef]
- Gatti, M.; Pirez, F.J.; Chiari, G.; Tombesi, S.; Palliotti, A.; Merli, M.C.; Poni, S. Phenology, canopy aging and seasonal carbon balance as related to delayed winter pruning of vitis vinifera L. cv. sangiovese grapevines. Front. Plant Sci. 2016, 7, 195118. [Google Scholar] [CrossRef]
- Levin, A.; DeJong, T.M. Fundamentals of Tree and Vine Physiology. In Advanced Automation for Tree Fruit Orchards and Vineyards. Agriculture Automation and Control; Springer: Cham, Switzerland, 2023; pp. 1–23. [Google Scholar] [CrossRef]
- Uriarte, D.; Mancha, L.A.; Moreno, D.; Bejarano, M.A.; Valdés, E.; Talaverano, I.; Prieto, M.H. Effects of timing of water deficit induction on “Doña Blanca” white grapevine under semi-Arid growing conditions of south-western Spain. Acta Hortic. 2017, 1150, 493–500. [Google Scholar] [CrossRef]
- Bindon, K.A.; Dry, P.R.; Loveys, B.R. The interactive effect of pruning level and irrigation strategy on water use efficiency of Vitis vinifera L. cv. Shiraz. S. Afr. J. Enol. Vitic. 2008, 29, 59–70. [Google Scholar] [CrossRef][Green Version]
- Hamman, R.A.J.; Dami, I.E. Effects of irrigation on wine grape growth and fruit quality. Horttechnology 2000, 10, 162–168. [Google Scholar] [CrossRef]
- Intrigliolo, D.S.; Castel, J.R.; Cárcel, S. Effects of crop level and irrigation on yield and wine quality of tempranillo grapevines in a dry year. Acta Hortic. 2008, 792, 371–378. [Google Scholar] [CrossRef]
- Monteiro, A.I.; Malheiro, A.C.; Bacelar, E.A. Morphology, Physiology and Analysis Techniques of Grapevine Bud Fruitfulness: A Review. Agriculture 2021, 11, 127. [Google Scholar] [CrossRef]
- Collins, C.; Rawnsley, B. Factors influencing primary bud necrosis (PBN) in Australian vineyards. Acta Hortic. 2005, 689, 81–86. [Google Scholar] [CrossRef]
- Rumbolz, J.; Gubler, W.D. Susceptibility of grapevine buds to infection by powdery mildew Erysiphe necator. Plant Pathol. 2005, 54, 535–548. [Google Scholar] [CrossRef]
- Collins, C.; Coles, R.; Conran, J.G.; Rawnsley, B. The progression of primary bud necrosis in the grapevine cv. Shiraz (Vitis vinifera L.): A histological analysis. Vitis 2006, 45, 57–62. [Google Scholar] [CrossRef]
- Lavee, S.; Melamu, H.; Ziv, M.; Bernstein, Z. Necrosis in grapevine buds (Vitis vinifera cv. Queen of Vineyard) I. Relation to vegetative vigor1). Vitis 1981, 20, 8–14. [Google Scholar]
- Monteiro, A.I.; Ferreira, H.; Ferreira-Cardoso, J.V.; Malheiro, A.C.; Bacelar, E.A.; Deloire, A. Assessment of bud fruitfulness of three grapevine varieties grown in northwest Portugal. OENO One 2022, 56, 385–395. [Google Scholar] [CrossRef]
- Intrigliolo, D.S.; Lizama, V.; García-Esparza, M.J.; Abrisqueta, I.; Álvarez, I. Effects of post-veraison irrigation regime on Cabernet Sauvignon grapevines in Valencia, Spain: Yield and grape composition. Agric. Water Manag. 2016, 170, 110–119. [Google Scholar] [CrossRef]
- Petrie, P.R.; Cooley, N.M.; Clingeleffer, P.R. The effect of post-veraison water deficit on yield components and maturation of irrigated Shiraz (Vitis vinifera L.) in the current and following season. Aust. J. Grape Wine Res. 2004, 10, 203–215. [Google Scholar] [CrossRef]
- García-Fernández, M.; Sanz-Ablanedo, E.; Pereira-Obaya, D.; Ramón Rodríguez-Pérez, J.; Lukáš, J.; Hamouz, P.; Antonio Dominguez-Gómez, J. Vineyard Pruning Weight Prediction Using 3D Point Clouds Generated from UAV Imagery and Structure from Motion Photogrammetry. Agronomy 2021, 11, 2489. [Google Scholar] [CrossRef]






| Treatment | Mean LAI (mm2 mm−2) | Mean Irrigation Amount (mm d−1) | Yield (t ha−1) |
|---|---|---|---|
| Low | 1.02 ± 0.47 d | 1.85 ± 0.78 e | 16.9 ± 7.43 e |
| Medium | 1.17 ± 0.56 b | 2.85 ± 0.96 b | 19 ± 6.55 a |
| High | 1.28 ± 0.65 a | 3.8 ± 1.24 a | 18.7 ± 6.51 b |
| Low to High | 1.08 ± 0.49 c | 2.57 ± 1.2 c | 18.3 ± 5.64 c |
| High to Low | 1.17 ± 0.56 b | 2.42 ± 0.99 d | 18 ± 5.28 d |
| Season | Mean LAI (mm2 mm−2) | Mean Irrigation Amount (mm d−1) | Yield (t ha−1) |
|---|---|---|---|
| 2017 | 0.93 ± 0.4 g | 2.00 ± 0.85 e | 13.4 ± 0.32 f |
| 2018 | 1.02 ± 0.4 f | 1.96 ± 0.97 e | 15.3 ± 0.37 e |
| 2019 | 1.07 ± 0.49 e | 2.60 ± 1.05 d | 21.4 ± 0.45 c |
| 2020 | 1.13 ± 0.54 d | 2.89 ± 1.24 c | 21.9 ± 0.48 b |
| 2021 | 1.25 ± 0.62 c | 3.13 ± 1.32 b | 13.2 ± 0.33 g |
| 2022 | 1.29 ± 0.63 b | 3.05 ± 1.1 b | 17.0 ± 0.48 d |
| 2023 | 1.34 ± 0.65 a | 3.36 ± 1.2 a | 24.8 ± 0.72 a |
| Metric | n | Correlation | t-Test (p-Value) | KS Test (p-Value) | MAE (Normalized to the Range) |
|---|---|---|---|---|---|
| Clusters per vine | train = 350; test = 88 | 66.82 | t = −0.127 (p = 0.899) | D = 0.136 (p = 0.387) | 11.45 (14.49%) |
| Yield (t ha−1) | train = 372; test = 94 | 62.16 | t = −0.069 (p = 0.945) | D = 0.17 (p = 0.131) | 40.3 (13.82%) |
| Cluster weight (g) | train = 370; test = 92 | 39.46 | t = −0.101 (p = 0.92) | D = 0.239 (p = 0.01) | 22.5 (17.5%) |
| Canes per vine | train = 256; test = 64 | 8.69 | t = −0.211 (p = 0.833) | D = 0.185 (p = 0.211) | 5.72 (18.46%) |
| Pruning weight (kg) | train = 319; test = 80 | 52.66 | t = 0.529 (p = 0.598) | D = 0.162 (p = 0.241) | 0.346 (16.47%) |
| Cane weight (g) | train = 265; test = 68 | 53.95 | t = 1.408 (p = 0.162) | D = 0.235 (p = 0.05) | 10.1 (15.81%) |
Disclaimer/Publisher’s Note: The statements, opinions and data contained in all publications are solely those of the individual author(s) and contributor(s) and not of MDPI and/or the editor(s). MDPI and/or the editor(s) disclaim responsibility for any injury to people or property resulting from any ideas, methods, instructions or products referred to in the content. |
© 2025 by the authors. Licensee MDPI, Basel, Switzerland. This article is an open access article distributed under the terms and conditions of the Creative Commons Attribution (CC BY) license (https://creativecommons.org/licenses/by/4.0/).
Share and Cite
Netzer, Y.; Ohana-Levi, N. Interactions Between Leaf Area Dynamics and Vineyard Performance, Environment, and Viticultural Practices. Agriculture 2025, 15, 618. https://doi.org/10.3390/agriculture15060618
Netzer Y, Ohana-Levi N. Interactions Between Leaf Area Dynamics and Vineyard Performance, Environment, and Viticultural Practices. Agriculture. 2025; 15(6):618. https://doi.org/10.3390/agriculture15060618
Chicago/Turabian StyleNetzer, Yishai, and Noa Ohana-Levi. 2025. "Interactions Between Leaf Area Dynamics and Vineyard Performance, Environment, and Viticultural Practices" Agriculture 15, no. 6: 618. https://doi.org/10.3390/agriculture15060618
APA StyleNetzer, Y., & Ohana-Levi, N. (2025). Interactions Between Leaf Area Dynamics and Vineyard Performance, Environment, and Viticultural Practices. Agriculture, 15(6), 618. https://doi.org/10.3390/agriculture15060618

