Modeling the Performance of a Continuous Durum Wheat Cropping System in a Mediterranean Environment: Carbon and Water Footprint at Different Sowing Dates, Under Rainfed and Irrigated Water Regimes
Abstract
1. Introduction
2. Materials and Methods
2.1. Context of the Investigated Scenarios
2.2. Simulation Setup
2.3. Environmental Performance Assessment
2.4. Data Analysis
3. Results
3.1. Pedo-Climatic Characterization of the Area
3.2. Environmental Impact from Soil and Crop Management
3.3. System Performance
3.4. Weighting of Key Factors on Productivity and Environmental Performance
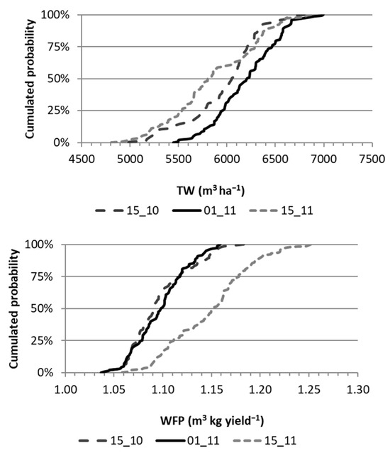
3.5. Comparative Variability Analysis of Cropping System Response to Primary Drivers
4. Discussion
5. Conclusions
Author Contributions
Funding
Institutional Review Board Statement
Data Availability Statement
Conflicts of Interest
References
- Falcone, G.; Stillitano, T.; Montemurro, F.; De Luca, A.I.; Gulisano, G.; Strano, A. Environmental and Economic Assessment of Sustainability in Mediterranean Wheat Production. Agron. Res. 2019, 17, 60–79. [Google Scholar] [CrossRef]
- FAO. FAO Statistical Yearbook 2013—World Food and Agriculture; FAO Statistical Yearbook; FAO: Rome, Italy, 2012; ISBN 978-92-5-107396-4. [Google Scholar]
- Tedone, L.; Ali, S.A.; Mastro, G.D. Optimization of Nitrogen in Durum Wheat in the Mediterranean Climate: The Agronomical Aspect and Greenhouse Gas (GHG) Emissions. In Nitrogen in Agriculture—Updates; Amanullah, K., Fahad, S., Eds.; InTech: London, UK, 2018; ISBN 978-953-51-3768-9. [Google Scholar]
- Martínez-Moreno, F.; Solís, I.; Noguero, D.; Blanco, A.; Özberk, İ.; Nsarellah, N.; Elias, E.; Mylonas, I.; Soriano, J.M. Durum Wheat in the Mediterranean Rim: Historical Evolution and Genetic Resources. Genet. Resour. Crop Evol. 2020, 67, 1415–1436. [Google Scholar] [CrossRef]
- Ahmad, W.; Ullah, N.; Xu, L.; El Sabagh, A. Editorial: Global Food and Nutrition Security Under Changing Climates. Front. Agron. 2022, 3, 799878. [Google Scholar] [CrossRef]
- Toscano, P.; Genesio, L.; Crisci, A.; Vaccari, F.P.; Ferrari, E.; Cava, P.L.; Porter, J.R.; Gioli, B. Empirical Modelling of Regional and National Durum Wheat Quality. Agric. For. Meteorol. 2015, 204, 67–78. [Google Scholar] [CrossRef]
- ISTAT. Available online: https://www.istat.it/it/files//2021/05/Tavole_dati_Indicatori_agro_ambientali_AEIs_2010_19_20_05_2021.xlsx. (accessed on 1 April 2024).
- Rezzouk, F.Z.; Gracia-Romero, A.; Kefauver, S.C.; Nieto-Taladriz, M.T.; Serret, M.D.; Araus, J.L. Durum Wheat Ideotypes in Mediterranean Environments Differing in Water and Temperature Conditions. Agric. Water Manag. 2022, 259, 107257. [Google Scholar] [CrossRef]
- Xynias, I.N.; Mylonas, I.; Korpetis, E.G.; Ninou, E.; Tsaballa, A.; Avdikos, I.D.; Mavromatis, A.G. Durum Wheat Breeding in the Mediterranean Region: Current Status and Future Prospects. Agronomy 2020, 10, 432. [Google Scholar] [CrossRef]
- Todorović, M.; Mehmeti, A.; Cantore, V. Impact of Different Water and Nitrogen Inputs on the Eco-Efficiency of Durum Wheat Cultivation in Mediterranean Environments. J. Clean. Prod. 2018, 183, 1276–1288. [Google Scholar] [CrossRef]
- Soto-Gómez, D.; Pérez-Rodríguez, P. Sustainable Agriculture through Perennial Grains: Wheat, Rice, Maize, and Other Species. A. Review. Agric. Ecosyst. Environ. 2022, 325, 107747. [Google Scholar] [CrossRef]
- Ross-Ibarra, J.; Morrell, P.L.; Gaut, B.S. Plant Domestication, a Unique Opportunity to Identify the Genetic Basis of Adaptation. Proc. Natl. Acad. Sci. USA 2007, 104, 8641–8648. [Google Scholar] [CrossRef]
- Howells, M.; Hermann, S.; Welsch, M.; Bazilian, M.; Segerström, R.; Alfstad, T.; Gielen, D.; Rogner, H.; Fischer, G.; Van Velthuizen, H.; et al. Integrated Analysis of Climate Change, Land-Use, Energy and Water Strategies. Nat. Clim. Change 2013, 3, 621–626. [Google Scholar] [CrossRef]
- Turral, H.; Burke, J.J.; Faurès, J.-M. Climate Change, Water and Food Security; FAO Water Reports; Food and Agriculture Organization of the United Nations: Rome, Italy, 2011; ISBN 978-92-5-106795-6. [Google Scholar]
- Cox, T.S.; Glover, J.D.; Van Tassel, D.L.; Cox, C.M.; DeHaan, L.R. Prospects for Developing Perennial Grain Crops. BioScience 2006, 56, 649. [Google Scholar] [CrossRef]
- Pimentel, D.; Cerasale, D.; Stanley, R.C.; Perlman, R.; Newman, E.M.; Brent, L.C.; Mullan, A.; Chang, D.T.-I. Annual vs. Perennial Grain Production. Agric. Ecosyst. Environ. 2012, 161, 1–9. [Google Scholar] [CrossRef]
- Gallucci, T.; Lagioia, G.; Piccinno, P.; Lacalamita, A.; Pontrandolfo, A.; Paiano, A. Environmental Performance Scenarios in the Production of Hollow Glass Containers for Food Packaging: An LCA Approach. Int. J. Life Cycle Assess 2021, 26, 785–798. [Google Scholar] [CrossRef]
- Garcia-Garcia, G.; Azanedo, L.; Rahimifard, S. Embedding Sustainability Analysis in New Food Product Development. Trends Food Sci. Technol. 2021, 108, 236–244. [Google Scholar] [CrossRef]
- Hatt, S.; Artru, S.; Brédart, D.; Lassois, L.; Francis, F.; Haubruge, É.; Garré, S.; Stassart, P.M.; Dufrêne, M.; Monty, A.; et al. Towards sustainable food systems: The concept of agroecology and how it questions current research practices. A review. Biotechnol. Agron. Soc. Environ. 2016, 20, 215–224. [Google Scholar] [CrossRef]
- Mäkinen, H.; Kaseva, J.; Trnka, M.; Balek, J.; Kersebaum, K.C.; Nendel, C.; Gobin, A.; Olesen, J.E.; Bindi, M.; Ferrise, R.; et al. Sensitivity of European Wheat to Extreme Weather. Field Crops Res. 2018, 222, 209–217. [Google Scholar] [CrossRef]
- Trnka, M.; Olesen, J.E.; Kersebaum, K.C.; Skjelvåg, A.O.; Eitzinger, J.; Seguin, B.; Peltonen-Sainio, P.; Rötter, R.; Iglesias, A.; Orlandini, S.; et al. Agroclimatic Conditions in Europe under Climate Change: Agroclimatic Conditions in Europe under CC. Glob. Change Biol. 2011, 17, 2298–2318. [Google Scholar] [CrossRef]
- Chen, D.; Suter, H.; Islam, A.; Edis, R.; Freney, J.R.; Walker, C.N. Prospects of Improving Efficiency of Fertiliser Nitrogen in Australian Agriculture: A Review of Enhanced Efficiency Fertilisers. Soil Res. 2008, 46, 289. [Google Scholar] [CrossRef]
- Tomaz, A. An Overview on the Use of Enhanced Efficiency Nitrogen Fertilizers in Irrigated Mediterranean Agriculture. Biomed. J. Sci. Tech. Res. 2017, 1, 1938–1940. [Google Scholar] [CrossRef]
- Oliveira, P.; Patanita, M.; Dôres, J.; Boteta, L.; Palma, J.F.; Patanita, M.I.; Guerreiro, I.; Penacho, J.; Costa, M.N.; Rosa, E.; et al. Combined Effects of Irrigation Management and Nitrogen Fertilization on Soft Wheat Productive Responses under Mediterranean Conditions. E3S Web Conf. 2019, 86, 00019. [Google Scholar] [CrossRef]
- Patanita, M.; Tomaz, A.; Ramos, T.; Oliveira, P.; Boteta, L.; Dôres, J. Water Regime and Nitrogen Management to Cope with Wheat Yield Variability under the Mediterranean Conditions of Southern Portugal. Plants 2019, 8, 429. [Google Scholar] [CrossRef] [PubMed]
- Ali Fallahi, H.; Nasseri, A.; Siadat, A. Wheat Yield Components Are Positively Influenced by Nitrogen Application under Moisture Deficit Environments. Int. J. Agric. Biol. 2008, 10, 6. [Google Scholar]
- Zeleke, K.T.; Nendel, C. Analysis of Options for Increasing Wheat (Triticum aestivum L.) Yield in South-Eastern Australia: The Role of Irrigation, Cultivar Choice and Time of Sowing. Agric. Water Manag. 2016, 166, 139–148. [Google Scholar] [CrossRef]
- Liu, W.; Wang, J.; Wang, C.; Ma, G.; Wei, Q.; Lu, H.; Xie, Y.; Ma, D.; Kang, G. Root Growth, Water and Nitrogen Use Efficiencies in Winter Wheat Under Different Irrigation and Nitrogen Regimes in North China Plain. Front. Plant Sci. 2018, 9, 1798. [Google Scholar] [CrossRef]
- Howell, T.A. Enhancing Water Use Efficiency in Irrigated Agriculture. Agron. J. 2001, 93, 281–289. [Google Scholar] [CrossRef]
- Katerji, N.; Mastrorilli, M.; Rana, G. Water Use Efficiency of Crops Cultivated in the Mediterranean Region: Review and Analysis. Eur. J. Agron. 2008, 28, 493–507. [Google Scholar] [CrossRef]
- Zwart, S.J.; Bastiaanssen, W.G.M.; De Fraiture, C.; Molden, D.J. A Global Benchmark Map of Water Productivity for Rainfed and Irrigated Wheat. Agric. Water Manag. 2010, 97, 1617–1627. [Google Scholar] [CrossRef]
- Pereira, L.S.; Cordery, I.; Iacovides, I. Improved Indicators of Water Use Performance and Productivity for Sustainable Water Conservation and Saving. Agric. Water Manag. 2012, 108, 39–51. [Google Scholar] [CrossRef]
- Zhang, W.; Liu, G.; Sun, J.; Fornara, D.; Zhang, L.; Zhang, F.; Li, L. Temporal Dynamics of Nutrient Uptake by Neighbouring Plant Species: Evidence from Intercropping. Funct. Ecol. 2017, 31, 469–479. [Google Scholar] [CrossRef]
- Levidow, L.; Zaccaria, D.; Maia, R.; Vivas, E.; Todorovic, M.; Scardigno, A. Improving Water-Efficient Irrigation: Prospects and Difficulties of Innovative Practices. Agric. Water Manag. 2014, 146, 84–94. [Google Scholar] [CrossRef]
- Fernández, J.E.; Alcon, F.; Diaz-Espejo, A.; Hernandez-Santana, V.; Cuevas, M.V. Water Use Indicators and Economic Analysis for On-Farm Irrigation Decision: A Case Study of a Super High Density Olive Tree Orchard. Agric. Water Manag. 2020, 237, 106074. [Google Scholar] [CrossRef]
- Hoekstra, A.Y. Virtual Water Trade: Proceedings of the International Expert Meeting on Virtual Water Trade. 2003, p. 93. Available online: https://ihedelftrepository.contentdm.oclc.org/digital/collection/p21063coll3/id/10351 (accessed on 1 July 2024).
- Mekonnen, M.M.; Hoekstra, A.Y. The Green, Blue and Grey Water Footprint of Crops and Derived Crop Products. Hydrol. Earth Syst. Sci. 2011, 15, 1577–1600. [Google Scholar] [CrossRef]
- Ababaei, B.; Etedali, H.R. Estimation of Water Footprint Components of Iran’s Wheat Production: Comparison of Global and National Scale Estimates. Environ. Process. 2014, 1, 193–205. [Google Scholar] [CrossRef]
- ISO 14046:2014; Environmental Management–Water Footprint–Principles, Requirements and Guidelines. International Organization for Standardization: Geneva, Switzerland, 2014.
- Steen-Olsen, K.; Weinzettel, J.; Cranston, G.; Ercin, A.E.; Hertwich, E.G. Carbon, Land, and Water Footprint Accounts for the European Union: Consumption, Production, and Displacements through International Trade. Environ. Sci. Technol. 2012, 46, 10883–10891. [Google Scholar] [CrossRef] [PubMed]
- Rodriguez, C.I.; Ruiz De Galarreta, V.A.; Kruse, E.E. Analysis of Water Footprint of Potato Production in the Pampean Region of Argentina. J. Clean. Prod. 2015, 90, 91–96. [Google Scholar] [CrossRef]
- Perry, C. Water Footprints: Path to Enlightenment, or False Trail? Agric. Water Manag. 2014, 134, 119–125. [Google Scholar] [CrossRef]
- Khan, S.; Hanjra, M.A. Footprints of Water and Energy Inputs in Food Production–Global Perspectives. Food Policy 2009, 34, 130–140. [Google Scholar] [CrossRef]
- Ruddiman, W.F. The Anthropogenic Greenhouse Era Began Thousands of Years Ago. Clim. Change 2003, 61, 261–293. [Google Scholar] [CrossRef]
- Janzen, H.H.; Beauchemin, K.A.; Bruinsma, Y.; Campbell, C.A.; Desjardins, R.L.; Ellert, B.H.; Smith, E.G. The Fate of Nitrogen in Agroecosystem: An Illustration Using Canadian Estimates. Nutr. Cycl. Agroecosyst. 2003, 67, 85–102. [Google Scholar] [CrossRef]
- Pattara, C.; Raggi, A.; Cichelli, A. Life Cycle Assessment and Carbon Footprint in the Wine Supply-Chain. Environ. Manag. 2012, 49, 1247–1258. [Google Scholar] [CrossRef]
- Zubelzu, S.; Álvarez, R.; Hernández, A. Methodology to Calculate the Carbon Footprint of Household Land Use in the Urban Planning Stage. Land Use Policy 2015, 48, 223–235. [Google Scholar] [CrossRef]
- Brentrup, F.; Küsters, J.; Lammel, J.; Kuhlmann, H. Methods to Estimate On-Field Nitrogen Emissions from Crop Production as an Input to LCA Studies in the Agricultural Sector. Int. J. LCA 2000, 5, 349. [Google Scholar] [CrossRef]
- AquaCrop-GIS. Available online: https://www.fao.org/aquacrop/software/aquacrop-gis/en/ (accessed on 1 April 2024).
- Garofalo, P.; Parlavecchia, M.; Giglio, I.; Campobasso, I.; Ventrella, D. Developing a Software for Measuring Carbon and Water Footprint of Organic Durum Wheat Cultivation Systems: The Smart Future Organic Farming (SFOF) Project. In Proceedings of the XXV Convegno Nazionale di Agrometeorologia, Matera, Italy, 14–16 June 2023; pp. 100–103. [Google Scholar]
- Censimento Agricoltura. 2020. Available online: https://www.istat.it/notizia/censimento-agricoltura-2020-online-i-principali-dati/ (accessed on 1 September 2024).
- Regional Land Use Cover. 2011. Available online: https://pugliacon.regione.puglia.it/web/sit-puglia-sit/uso-del-suolo (accessed on 10 July 2024).
- Hsiao, T.C.; Heng, L.; Steduto, P.; Rojas-Lara, B.; Raes, D.; Fereres, E. AquaCrop—The FAO Crop Model to Simulate Yield Response to Water: III. Parameterization and Testing for Maize. Agron. J. 2009, 101, 448–459. [Google Scholar] [CrossRef]
- Steduto, P.; Hsiao, T.C.; Raes, D.; Fereres, E. AquaCrop—The FAO Crop Model to Simulate Yield Response to Water: I. Concepts and Underlying Principles. Agron. J. 2009, 101, 426–437. [Google Scholar] [CrossRef]
- Raes, D.; Steduto, P.; Hsiao, T.C.; Fereres, E. AquaCrop—The FAO Crop Model to Simulate Yield Response to Water: II. Main Algorithms and Software Description. Agron. J. 2009, 101, 438–447. [Google Scholar] [CrossRef]
- Doorenbos, J. Yield Response to Water; FAO Irrigation and Drainage Paper; Reprint; FAO: Rome, Italy, 1996; ISBN 978-92-5-100744-0. [Google Scholar]
- Heng, L.K.; Hsiao, T.; Evett, S.; Howell, T.; Steduto, P. Validating the FAO AquaCrop Model for Irrigated and Water Deficient Field Maize. Agron. J. 2009, 101, 488–498. [Google Scholar] [CrossRef]
- Muroyiwa, G.; Mhizha, T.; Mashonjowa, E.; Muchuweti, M. Evaluation of FAO AquaCrop Model for Ability to Simulate Attainable Yields and Water Use for Field Tomatoes Grown Under Deficit Irrigation in Harare, Zimbabwe. Afr. Crop Sci. J. 2022, 30, 245–269. [Google Scholar] [CrossRef]
- Wellens, J.; Raes, D.; Fereres, E.; Diels, J.; Coppye, C.; Adiele, J.G.; Ezui, K.S.G.; Becerra, L.-A.; Selvaraj, M.G.; Dercon, G.; et al. Calibration and Validation of the FAO AquaCrop Water Productivity Model for Cassava (Manihot Esculenta Crantz). Agric. Water Manag. 2022, 263, 107491. [Google Scholar] [CrossRef]
- Harmonized World Soil Database; Version 2.0; FAO; International Institute for Applied Systems Analysis (IIASA): Laxenburg, Austria, 2023; ISBN 978-92-5-137499-3.
- AGRI4CAST. Available online: https://Agri4cast.Jrc.Ec.Europa.Eu/DataPortal/Index.Aspx?O=d (accessed on 1 May 2024).
- Trombetta, A.; Iacobellis, V.; Tarantino, E.; Gentile, F. Calibration of the AquaCrop Model for Winter Wheat Using MODIS LAI Images. Agric. Water Manag. 2016, 164, 304–316. [Google Scholar] [CrossRef]
- CWFP. Carbon and Water Footprint Tool. Available online: https://Sfof-85d3d.Web.App/#/Home (accessed on 15 March 2024).
- Patouillard, L.; Bulle, C.; Querleu, C.; Maxime, D.; Osset, P.; Margni, M. Critical Review and Practical Recommendations to Integrate the Spatial Dimension into Life Cycle Assessment. J. Clean. Prod. 2018, 177, 398–412. [Google Scholar] [CrossRef]
- European Commission, Joint Research Centre, Institute for Environment and Sustainability. Characterisation Factors of the ILCD Recommended Life Cycle Impact Assessment Methods. Database and Supporting Information. First Edition. February. Available online: https://eplca.jrc.ec.europa.eu/uploads/LCIA-characterization-factors-of-the-ILCD.pdf (accessed on 15 April 2024).
- Smith, B.J. Fuel Consumption Models for Tractors with Partial Drawbar Loads. Master’s Thesis, University of Nebraska, Lincoln, NE, USA, 2015. [Google Scholar]
- Mubako, S.T. Blue, green, and grey water quantification approaches: A bibliometric and literature review. J. Contemp. Wat. Res. Ed. 2018, 165, 4–19. [Google Scholar] [CrossRef]
- IPCC. 2006. Available online: https://www.ipcc-nggip.iges.or.jp/public/2006gl/vol4.html (accessed on 10 May 2024).
- Henin, S.; Dupuis, M. Essai de Bilan de La Matière Organique Du Sol; Dunod (impr. de Chaix): Paris, France, 1945. [Google Scholar]
- Garofalo, P.; Ventrella, D.; Kersebaum, K.C.; Gobin, A.; Trnka, M.; Giglio, L.; Dubrovský, M.; Castellini, M. Water Footprint of Winter Wheat Under Climate Change: Trends and Uncertainties Associated to the Ensemble of Crop Models. Sci. Total Environ. 2019, 658, 1186–1208. [Google Scholar] [CrossRef] [PubMed]
- Padovan, G.; Martre, P.; Semenov, M.A.; Masoni, A.; Bregaglio, S.; Ventrella, D.; Lorite, I.J.; Santos, C.; Bindi, M.; Ferrise, R.; et al. Understanding Effects of Genotype × Environment × Sowing Window Interactions for Durum Wheat in the Mediterranean Basin. Field Crops Res. 2020, 259, 107969. [Google Scholar] [CrossRef]
- Liu, J.; He, Q.; Zhou, G.; Song, Y.; Guan, Y.; Xiao, X.; Sun, W.; Shi, Y.; Zhou, K.; Zhou, S.; et al. Effects of Sowing Date Variation on Winter Wheat Yield: Conclusions for Suitable Sowing Dates for High and Stable Yield. Agronomy 2023, 13, 991. [Google Scholar] [CrossRef]
- Fazily, T. Effect of Sowing Dates and Seed Rates on Growth and Yield of Different Wheat Varieties: A Review. Int. J. Adv. Agric. Sci. Technol. 2021, 8, 10–26. [Google Scholar] [CrossRef]
- Karam, F.; Kabalan, R.; Breidi, J.; Rouphael, Y.; Oweis, T. Yield and Water-Production Functions of Two Durum Wheat Cultivars Grown Under Different Irrigation and Nitrogen Regimes. Agric. Water Manag. 2009, 96, 603–615. [Google Scholar] [CrossRef]
- Li, J.; Inanaga, S.; Li, Z.; Eneji, A.E. Optimizing Irrigation Scheduling for Winter Wheat in the North China Plain. Agric. Water Manag. 2005, 76, 8–23. [Google Scholar] [CrossRef]
- Alhajj Ali, S.; Tedone, L.; Verdini, L.; De Mastro, G. Effect of Different Crop Management Systems on Rainfed Durum Wheat Greenhouse Gas Emissions and Carbon Footprint Under Mediterranean Conditions. J. Clean. Prod. 2017, 140, 608–621. [Google Scholar] [CrossRef]
- Maraseni, T.N.; Cockfield, G. Does the Adoption of Zero Tillage Reduce Greenhouse Gas Emissions? An Assessment for the Grains Industry in Australia. Agric. Syst. 2011, 104, 451–458. [Google Scholar] [CrossRef]
- Bahrani, M.J.; Kheradnam, M.; Emam, Y.; Ghadiri, H.; Assad, M.T. Effects of tillage methods on wheat yield and yield components in continuous wheat cropping. Exp. Agric. 2002, 38, 389–395. [Google Scholar] [CrossRef]
- Busscher, W.J.; Bauer, P.J.; Frederick, J.R. Deep Tillage Management for High Strength Southeastern USA Coastal Plain Soils. Soil Tillage Res. 2006, 85, 178–185. [Google Scholar] [CrossRef]
- Sainju, U.M.; Lenssen, A.; Caesar-Tonthat, T.; Waddell, J. Tillage and Crop Rotation Effects on Dryland Soil and Residue Carbon and Nitrogen. Soil Sci. Soc. Am. J. 2006, 70, 668–678. [Google Scholar] [CrossRef]
- Chauhan, B.S.; Gill, G.S.; Preston, C. Tillage System Effects on Weed Ecology, Herbicide Activity and Persistence: A Review. Aust. J. Exp. Agric. 2006, 46, 1557. [Google Scholar] [CrossRef]
- Cech, R.; Leisch, F.; Zaller, J.G. Pesticide Use and Associated Greenhouse Gas Emissions in Sugar Beet, Apples, and Viticulture in Austria from 2000 to 2019. Agriculture 2022, 12, 879. [Google Scholar] [CrossRef]
- Shi, L.; Guo, Y.; Ning, J.; Lou, S.; Hou, F. Herbicide Applications Increase Greenhouse Gas Emissions of Alfalfa Pasture in the Inland Arid Region of Northwest China. Peer. J. 2020, 8, e9231. [Google Scholar] [CrossRef] [PubMed]
- Gong, H.; Li, J.; Liu, Z.; Zhang, Y.; Hou, R.; Ouyang, Z. Mitigated Greenhouse Gas Emissions in Cropping Systems by Organic Fertilizer and Tillage Management. Land 2022, 11, 1026. [Google Scholar] [CrossRef]
- Shakoor, A.; Shahbaz, M.; Farooq, T.H.; Sahar, N.E.; Shahzad, S.M.; Altaf, M.M.; Ashraf, M. A Global Meta-Analysis of Greenhouse Gases Emission and Crop Yield Under No-Tillage as Compared to Conventional Tillage. Sci. Total Environ. 2021, 750, 142299. [Google Scholar] [CrossRef]
- Kogan, F.N. Global Drought Watch from Space. Bull. Am. Meteorol. Soc. 1997, 78, 621–636. [Google Scholar] [CrossRef]
- Wang, X.; Liu, L. The Impacts of Climate Change on the Hydrological Cycle and Water Resource Management. Water 2023, 15, 2342. [Google Scholar] [CrossRef]
- Kirkegaard, J.; Christen, O.; Krupinsky, J.; Layzell, D. Break Crop Benefits in Temperate Wheat Production. Field Crops Res. 2008, 107, 185–195. [Google Scholar] [CrossRef]
- Gan, Y.; Liang, C.; Wang, X.; McConkey, B. Lowering Carbon Footprint of Durum Wheat by Diversifying Cropping Systems. Field Crops Res. 2011, 122, 199–206. [Google Scholar] [CrossRef]
- Biswas, W.K.; Barton, L.; Carter, D. Global Warming Potential of Wheat Production in Western Australia: A Life Cycle Assessment. Water Environ. J. 2008, 22, 206–216. [Google Scholar] [CrossRef]
- Gan, Y.; Liang, C.; Campbell, C.A.; Zentner, R.P.; Lemke, R.L.; Wang, H.; Yang, C. Carbon Footprint of Spring Wheat in Response to Fallow Frequency and Soil Carbon Changes over 25 Years on the Semiarid Canadian Prairie. Eur. J. Agron. 2012, 43, 175–184. [Google Scholar] [CrossRef]
- Engelbrecht, D.; Biswas, W.K.; Ahmad, W. An Evaluation of Integrated Spatial Technology Framework for Greenhouse Gas Mitigation in Grain Production in Western Australia. J. Clean. Prod. 2013, 57, 69–78. [Google Scholar] [CrossRef]
- Knudsen, M.T.; Meyer-Aurich, A.; Olesen, J.E.; Chirinda, N.; Hermansen, J.E. Carbon Footprints of Crops from Organic and Conventional Arable Crop Rotations–Using a Life Cycle Assessment Approach. J. Clean. Prod. 2014, 64, 609–618. [Google Scholar] [CrossRef]
- Zhang, G.; Wang, X.; Zhang, L.; Xiong, K.; Zheng, C.; Lu, F.; Zhao, H.; Zheng, H.; Ouyang, Z. Carbon and Water Footprints of Major Cereal Crops Production in China. J. Clean. Prod. 2018, 194, 613–623. [Google Scholar] [CrossRef]
- Garofalo, P.; Rinaldi, M. Water-Use Efficiency of Irrigated Biomass Sorghum in a Mediterranean Environment. Span. J. Agric. Res. 2013, 11, 1153–1169. [Google Scholar] [CrossRef]
- Oweis, T.; Zhang, H.; Pala, M. Water Use Efficiency of Rainfed and Irrigated Bread Wheat in a Mediterranean Environment. Agron. J. 2000, 92, 231. [Google Scholar] [CrossRef]
- Qiu, G.Y.; Wang, L.; He, X.; Zhang, X.; Chen, S.; Chen, J.; Yang, Y. Water Use Efficiency and Evapotranspiration of Winter Wheat and Its Response to Irrigation Regime in the North China Plain. Agric. For. Meteorol. 2008, 148, 1848–1859. [Google Scholar] [CrossRef]
- Deihimfard, R.; Rahimi-Moghaddam, S.; Collins, B.; Azizi, K. Future Climate Change Could Reduce Irrigated and Rainfed Wheat Water Footprint in Arid Environments. Sci. Total Environ. 2022, 807, 150991. [Google Scholar] [CrossRef] [PubMed]
- Wang, H.; Shen, M.; Hui, D.; Chen, J.; Sun, G.; Wang, X.; Lu, C.; Sheng, J.; Chen, L.; Luo, Y.; et al. Straw Incorporation Influences Soil Organic Carbon Sequestration, Greenhouse Gas Emission, and Crop Yields in a Chinese Rice (Oryza sativa L.)—Wheat (Triticum aestivum L.) Cropping System. Soil Tillage Res. 2019, 195, 104377. [Google Scholar] [CrossRef]












| Operation | Passages | Amount | Fertilizer | CO2_eq |
|---|---|---|---|---|
| n° | kg ha−1 | % N | kg ha−1 | |
| Soil management | ||||
| Plowing | 1 | 121 | ||
| Disk harrowing | 2 | 161.4 | ||
| Rotary tilling | 1 | 80.5 | ||
| Other | ||||
| Sowing | 1 | 24 | ||
| Harvest | 1 | 162 | ||
| Baling of straw | 1 | 7657.9 (±516.7) | 74.4 (±5.0) | |
| Fertilizer | ||||
| Ammonium nitrate | 1 | 100 | 34 | 376.4 |
| Urea | 1 | 50 | 46.6 | 126.1 |
| Residue decomposition | 1351 (±91.2) | 75.9 (±9.2) |
| Sowing | Irr | Yield | Water Supply | CO2_eq | CFP | GreenW | BlueW | TW | WFP |
|---|---|---|---|---|---|---|---|---|---|
| kg ha−1 | mm | kg ha−1 | kg CO2_eq kg Yield−1 | mm | mm | mm | mm Water kg Yield−1 | ||
| 15_oct | no | 5432 (471) b | 1206 (12.8) ab | 0.199 (0.030) c | 3901 (339) b | 1987 (24.5) de | 5887 (327) c | 1.086 (0.029) c | |
| 01_nov | no | 5573 (332) ab | 1209 (9.5) ab | 0.197 (0.030) c | 3999 (239) ab | 1999 (14.9) e | 5999 (254) c | 1.078 (0.019) c | |
| 15_nov | no | 4983 (429) d | 1190 (13.0) c | 0.244 (0.042) a | 3574 (308) c | 1981 (15.8) e | 5556 (324) d | 1.119 (0.033) b | |
| 15_oct | yes | 5473 (476) b | 13 (4.8) c | 1208 (12.9) b | 0.197 (0.030) c | 3931 (342) b | 2114 (60.6) c | 6045 (383) bc | 1.106 (0.029) b |
| 01_nov | yes | 5722 (310) a | 28 (9.0) b | 1214 (8.6) a | 0.186 (0.028) d | 4107 (223) a | 2280 (95.0) b | 6387 (283) a | 1.117 (0.020) b |
| 15_nov | yes | 5240 (426) c | 41 (10.4) a | 1199 (12.5) d | 0.220 (0.037) b | 3760 (306) d | 2400 (115.3) a | 6160 (397) b | 1.178 (0.028) a |
| Source | Variable | Sum Square | DF | Mean Square | F | F Crit | p > F |
|---|---|---|---|---|---|---|---|
| Soil | |||||||
| Yield | 63,984,288 | 71 | 901,187 | 9.85 | 1.33 | <0.001 | |
| CO2_eq | 50,632 | 71 | 713 | 7.95 | 1.33 | <0.001 | |
| CFP | 0.4131 | 71 | 0.0058 | 9.79 | 1.33 | <0.001 | |
| TW | 42,839,751 | 71 | 603,377 | 6.45 | 1.33 | <0.001 | |
| WFP | 0.233 | 71 | 0.0033 | 2.24 | 1.33 | <0.001 | |
| Irrigation | |||||||
| Yield | 2,395,958 | 1 | 2,395,958 | 10.85 | 3.86 | 0.001 | |
| CO2_eq | 2566 | 1 | 2566 | 13.73 | 3.86 | <0.001 | |
| CFP | 0.017 | 1 | 0.017 | 11.75 | 3.86 | <0.001 | |
| TW | 15,892,306 | 1 | 15,892,307 | 112.75 | 3.86 | <0.001 | |
| WFP | 0.172 | 1 | 0.172 | 126.16 | 3.86 | <0.001 | |
| Sowing time | |||||||
| Yield | 21,206,664 | 2 | 10,603,332 | 60.08 | 3.02 | <0.001 | |
| CO2_eq | 21,163 | 2 | 10,581 | 73.50 | 3.02 | <0.001 | |
| CFP | 0.132 | 2 | 0.066 | 57.38 | 3.02 | <0.001 | |
| TW | 8,401,657 | 2 | 4,200,829 | 26.46 | 3.02 | <0.001 | |
| WFP | 0.2521 | 2 | 0.1261 | 106.93 | 3.02 | <0.001 | |
| Climate | |||||||
| Yield | 23,607,299 | 16 | 1,475,456 | 8.35 | 1.67 | <0.001 | |
| CO2_eq | 19,082 | 16 | 1193 | 7.75 | 1.67 | <0.001 | |
| CFP | 0.1051 | 16 | 0.0066 | 5.22 | 1.67 | <0.001 | |
| TW | 13,605,671 | 16 | 850,354 | 5.61 | 1.67 | <0.001 | |
| WFP | 0.1244 | 16 | 0.0078 | 5.09 | 1.67 | <0.001 |
Disclaimer/Publisher’s Note: The statements, opinions and data contained in all publications are solely those of the individual author(s) and contributor(s) and not of MDPI and/or the editor(s). MDPI and/or the editor(s) disclaim responsibility for any injury to people or property resulting from any ideas, methods, instructions or products referred to in the content. |
© 2025 by the authors. Licensee MDPI, Basel, Switzerland. This article is an open access article distributed under the terms and conditions of the Creative Commons Attribution (CC BY) license (https://creativecommons.org/licenses/by/4.0/).
Share and Cite
Garofalo, P.; Cammerino, A.R.B. Modeling the Performance of a Continuous Durum Wheat Cropping System in a Mediterranean Environment: Carbon and Water Footprint at Different Sowing Dates, Under Rainfed and Irrigated Water Regimes. Agriculture 2025, 15, 259. https://doi.org/10.3390/agriculture15030259
Garofalo P, Cammerino ARB. Modeling the Performance of a Continuous Durum Wheat Cropping System in a Mediterranean Environment: Carbon and Water Footprint at Different Sowing Dates, Under Rainfed and Irrigated Water Regimes. Agriculture. 2025; 15(3):259. https://doi.org/10.3390/agriculture15030259
Chicago/Turabian StyleGarofalo, Pasquale, and Anna Rita Bernadette Cammerino. 2025. "Modeling the Performance of a Continuous Durum Wheat Cropping System in a Mediterranean Environment: Carbon and Water Footprint at Different Sowing Dates, Under Rainfed and Irrigated Water Regimes" Agriculture 15, no. 3: 259. https://doi.org/10.3390/agriculture15030259
APA StyleGarofalo, P., & Cammerino, A. R. B. (2025). Modeling the Performance of a Continuous Durum Wheat Cropping System in a Mediterranean Environment: Carbon and Water Footprint at Different Sowing Dates, Under Rainfed and Irrigated Water Regimes. Agriculture, 15(3), 259. https://doi.org/10.3390/agriculture15030259

