Two-Week Mid-Season Drainage with Alternate Irrigation Enhances Yield and Water Use Efficiency in Environmentally Friendly Rice Cultivation
Abstract
1. Introduction
2. Materials and Methods
2.1. Experimental Design and Cultivation Methods
2.2. Water Management Treatments
2.3. Growth and Yield Parameter
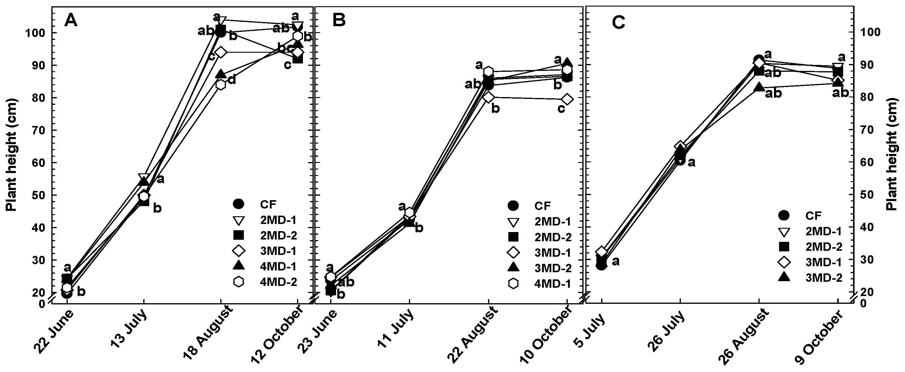
2.3.1. Rice Growth
2.3.2. Rice Yield Components and Yield
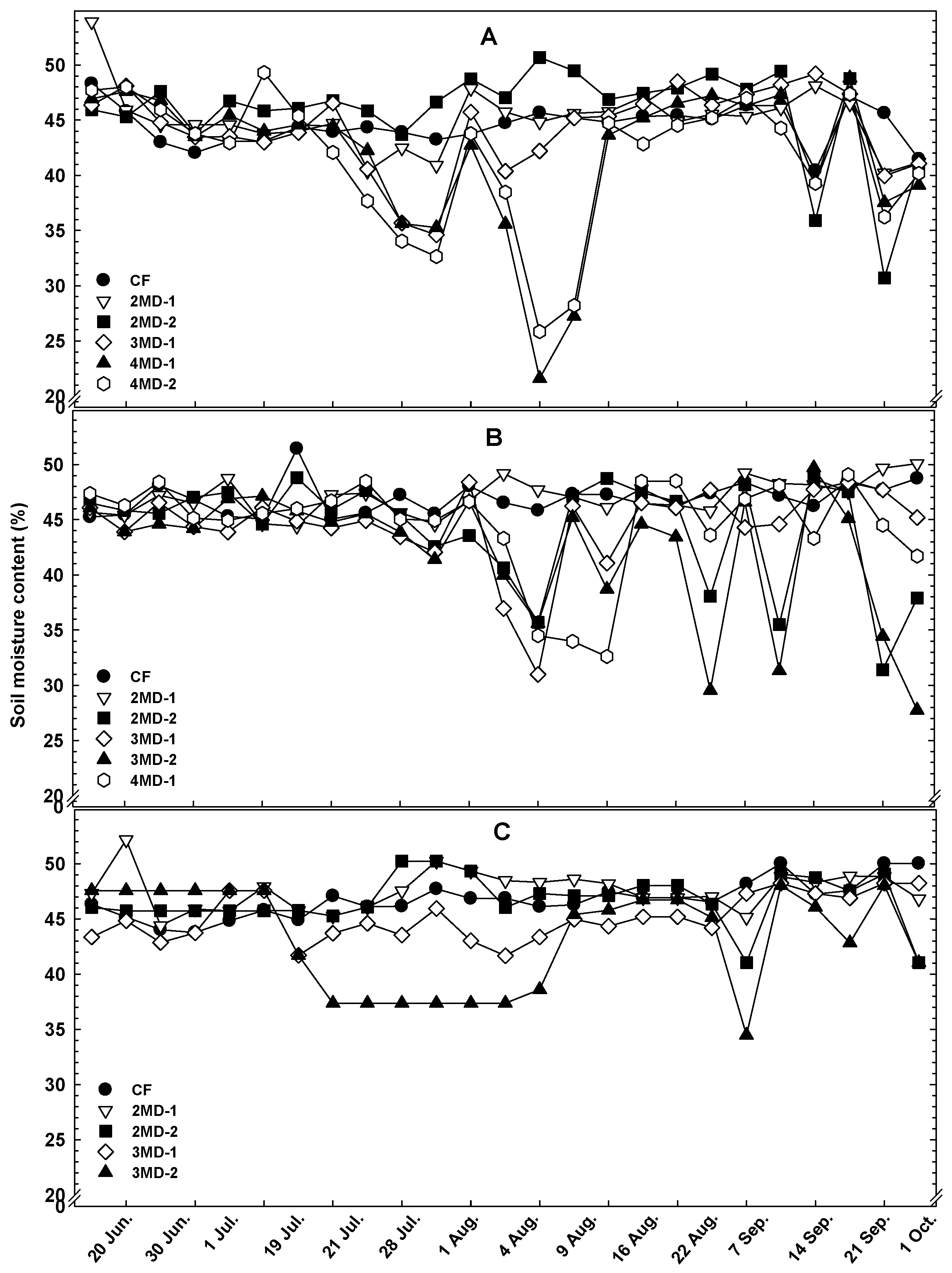
2.3.3. Soil Chemistry and Moisture Content
2.4. Statistical Analysis
3. Results and Discussion
4. Conclusions
Author Contributions
Funding
Data Availability Statement
Conflicts of Interest
References
- Akinbile, C.; El-Lat, A.K.; Abdullah, R.; Yusoff, M. Rice Production and Water use Efficiency for Self-Sufficiency in Malaysia: A Review. Trends Appl. Sci. Res. 2011, 6, 1127–1140. [Google Scholar] [CrossRef]
- Peng, S.B.; Tang, Q.Y.; Zou, Y.B. Current status and challenges of rice production in China. Plant Prod. Sci. 2009, 12, 3–8. [Google Scholar] [CrossRef]
- Sariam, O.; Anuar, A.R. Effects of irrigation regime on irrigated rice. J. Trop. Agric. Fd. Sc. 2010, 38, 1–9. [Google Scholar]
- Korea Statistical Information Service (KOSIS). Agricultural land Area Survey. 2024. Available online: https://kosis.kr/index/index.do (accessed on 27 August 2024).
- Choi, J.S.; Won, J.G.; Ahn, D.H.; Park, S.G.; Lee, S.P. Growth and Yield of Rice by Field Water Management for Water-Saving Irrigation. Korean J. Crop Sci. 2004, 49, 441–446. [Google Scholar]
- Dong, N.; Brandt, K.; Sørensen, J.; Hung, N.; Hach, C.; Tan, P.; Dalsgaard, T. Effects of alternating wetting and drying versus continuous flooding on fertilizer nitrogen fate in rice fields in the Mekong Delta, Vietnam. Soil Biol. Biochem. 2012, 47, 166–174. [Google Scholar] [CrossRef]
- Hong, E.; Choi, J.Y.; Nam, W.H.; Kim, J.T. Decision support system for the real-time operation and management of an agricultural water supply. Irrig. Drain. 2016, 65, 197–209. [Google Scholar] [CrossRef]
- Choi, M.G.; Kim, S.S.; Lee, S.Y. Influence of midsummer drainage on growth and lodging of rice in direct seeding on dry paddy. Korean J. Crop Sci. 1995, 40, 574–579. [Google Scholar]
- Kim, G.Y.; Lee, S.B.; Lee, J.S.; Choi, E.J.; Ryu, J.H.; Park, W.J.; Choi, J.D. Mitigation of greenhouse gases by water management of SRI (System of Rice Intensification) in rice paddy fields. Korean J. Soil Sci. Fert. 2012, 45, 1173–1178. [Google Scholar] [CrossRef]
- Ahn, J.H.; Choi, M.Y.; Kim, B.Y.; Lee, J.S.; Song, J.K.; Kim, G.Y.; Weon, H.Y. Effects of water-saving irrigation on emissions of greenhouse gases and prokaryotic communities in rice paddy soil. Microb. Ecol. 2014, 68, 271–283. [Google Scholar] [CrossRef] [PubMed]
- Ishfaq, M.; Akbar, N.; Anjum, S.A.; Anwar-Ijl-Haq, M. Growth, yield, and water productivity of dry direct seeded rice and transplanted aromatic rice under different irrigation management regimes. J. Inter. Agric. 2020, 19, 2656–2673. [Google Scholar] [CrossRef]
- Myeong, S. Impact of climate change-related natural disasters on rice production in South Korea. J. Korean Soc. Hazard Mitig. 2018, 18, 53–60. [Google Scholar] [CrossRef]
- Ju, Y.C.; Lim, G.J.; Han, S.W.; Park, J.S.; Cho, Y.C.; Kim, S.J. Yield response of rice affected by adverse weather conditions occurred in 1999. Korean J. Agric. For. Meteorol. 2000, 2, 1–8. [Google Scholar]
- Wopereis, M.C.S.; Kropff, M.J.; Maligaya, A.R.; Tuong, T.P. Drought-stress responses of two lowland rice cultivars to soil water status. Field Crops Res. 1996, 46, 21–39. [Google Scholar] [CrossRef]
- Choi, W.Y.; Park, H.K.; Kang, S.Y.; Kim, S.S.; Choi, S.Y. Effects of water stress on physiological traits at various growth stages of rice. Korean J. Crop Sci. 1999, 44, 282–287. [Google Scholar]
- Choi, W.Y.; Park, H.G.; Moon, S.H.; Choi, M.G.; Kim, S.S.; Kim, C.K. Grain Yield and Seed Quality of Rice Plants as Affected by Water-saving Irrigation. Korean J. Agric. For. Meteorol. 2006, 8, 141–144. [Google Scholar]
- Sujono, J.; Matsuo, N.; Hiramatsu, K.; Mochizuki, T. Improving the water productivity of paddy rice (Oryza sativa L.) cultivation through water-saving irrigation treatments. Agric. Sci. 2011, 2, 511. [Google Scholar] [CrossRef]
- Kim, G.Y.; Gutierrez, J.; Jeong, H.C.; Lee, J.S.; Haque, M.M.; Kim, P.J. Effect of intermittent drainage on methane and nitrous oxide emissions under different fertilization in a temperate paddy soil during rice cultivation. J. Korean Soc. Appl. Biol. Chem. 2014, 57, 229–236. [Google Scholar] [CrossRef]
- Haque, M.M.; Biswas, J.C.; Kim, S.Y.; Kim, P.J. Intermittent drainage in paddy soil: Ecosystem carbon budget and global warming potential. Paddy Water Environ. 2017, 15, 403–411. [Google Scholar] [CrossRef]
- Park, W.J.; Choi, Y.H.; Shin, M.H.; Won, C.H.; Park, K.W.; Choi, J.D. Evaluation on Feasibility of System of Rice Intensification (SRI) for Reduction of Irrigation Water in South Korea. J. Korean Soc. Agric. Eng. 2011, 53, 49–57. [Google Scholar] [CrossRef]
- Hwang, K.C.; Ahn, S.H.; Chung, N.J. Midsummer drainage effects on rice growth and golden apple snails in environment-friendly rice cultivation. Korean J. Organic Agri. 2013, 21, 403–411. [Google Scholar] [CrossRef]
- Jouzi, Z.; Azadi, H.; Taheri, F.; Zarafshani, K.; Gebrehiwot, K.; Van Passel, S.; Lebailly, P. Organic farming and small-scale farmers: Main opportunities and challenges. Ecol. Econ. 2017, 132, 144–154. [Google Scholar] [CrossRef]
- RDA. Research Design and Analysis Standards; Rural Development Administration: Jeonju, Republic of Korea, 2012.
- National Academy of Agricultural Sciences (NAAS). Soil Plant Analysis Methods; Rural Development Administration: Jeonju, Republic of Korea, 2000.
- R Core Team. R: A Language and Environment for Statistical Computing; R Foundation for Statistical Computing: Vienna, Austria, 2020. [Google Scholar]
- Choi, J.D.; Kim, G.Y.; Park, W.J.; Shin, M.H.; Choi, Y.H.; Lee, S.; Kim, S.J.; Yun, D.K. Effect SRI water management on water quality and greenhouse gas emission in Korea. Irrig Drain 2014, 63, 263–270. [Google Scholar] [CrossRef]
- Chu, G.; Wang, Z.; Zhang, H.; Liu, L.; Yang, J.; Zhang, J. Alternate wetting and moderate drying increases rice yield and reduces methane emission in paddy field with wheat straw residue incorporation. Food Energy Secur. 2015, 4, 238–254. [Google Scholar] [CrossRef]
- Jang, E.B.; Jeong, H.C.; Gwon, H.S.; Lee, H.S.; Park, H.R.; Lee, J.M.; Oh, T.K.; Lee, S.I. Effect of water management on greenhouse gas emissions from rice paddies using a slow-release fertilizer (in Korean with English abstract). Korean J. Environ. Agric. 2023, 42, 112–120. [Google Scholar] [CrossRef]
- Oh, S.K.; Cho, Y.S. Diurnal variations of methane emission as effected by water management methods in a rice cultivation paddy field. J. Clim. Change Res. 2024, 15, 665–677. [Google Scholar] [CrossRef]
- Ryu, H.Y.; Chang, K.R. Studies on the effects of various methods of rotation irrigation system affecting on the growth, yield of rice plants and its optimum facilities. J. Korea Soc. Agric. Eng. 1970, 12, 15. [Google Scholar]
- Im, W.J.; Kwon, D.W.; Bak, H.J.; Lee, J.H.; Chang, S.Y.; Sang, W.G.; Chung, N.J.; Cho, J.I.; Hwang, W.H. Changes in rice growth characteristics during intermittent drainage period using multiple sensing technology. Korean J. Crop Sci. 2024, 69, 78–87. [Google Scholar] [CrossRef]
- Yoshida, S. Fundamentals of Rice Crop Science; IRRI: Los Baños, Philippines, 1981. [Google Scholar]
- Bouman, B.A.M.; Toung, T.P. Field water management to save water and increase its productivity in irrigated lowland rice. Agric. Water Manag. 2001, 49, 11–30. [Google Scholar] [CrossRef]
- Diker, K.; Bausch, W.C. Radiometric field measurements of maize for estimating soil and plant nitrogen. Biosys. Engineer. 2003, 86, 411–420. [Google Scholar] [CrossRef]
- Kim, M.H.; Fu, J.D.; Lee, B.W. Yield response to nitrogen topdress rate at panicle initiation stage under different growth and nitrogen nutrition status of rice plant. Korean J. Crop Sci. 2006, 51, 571–583. [Google Scholar]
- Jiang, H.; Thobakgale, T.; Li, Y.; Liu, L.; Su, Q.; Cang, B.; Bai, C.; Li, J.; Song, Z.; Wu, M.; et al. Construction of dominant rice population under dry cultivation by seeding rate and nitrogen rate interaction. Sci. Rep. 2021, 11, 7189. [Google Scholar] [CrossRef] [PubMed]
- Ju, C.; Liu, T.; Sun, C. Panicle nitrogen strategies for nitrogen-efficient rice varieties at a moderate nitrogen application rate in the lower reaches of the Yangtze River. Agronomy 2021, 11, 192. [Google Scholar] [CrossRef]
- Wang, W.; Shen, C.; Xu, Q.; Zafar, S.; Du, B.; Xing, D. Grain yield, nitrogen use efficiency and antioxidant enzymes of rice under different fertilizer N inputs and planting density. Agronomy 2022, 12, 430. [Google Scholar] [CrossRef]
- Park, S.T.; Ehil, J.; Zhang, A.C.; Lee, S.H. Effects of different water depths on the yield of rice varieties. J. Korean Soc. Crop Sci. 1993, 38, 405–411. [Google Scholar]
- Lee, C.K.; Kim, C.H. A study on water-saving cultivation methods for rice. J. Korean Agric. Soc. 1966, 3, 11–16. [Google Scholar]
- Gupta, R.K.; Näresh, R.R.; Hobbs, P.R.; Ladha, J.K. Adopting Conservation Agriculture in the Rice-Wheat System of the Indo-Gangetic Plains: New Opportunities for Saving Water. In Water-Wise Rice Production; International Rice Research Institute: Los Banos, Philippines, 2002; pp. 207–222. [Google Scholar]
- Hiroshi, S.; Masahiro, A.; Katsuyuki, S. Impacts on agriculture, forestry, and fisheries. In Global Warming-The Potential Impact on Japan; Nishioka, S., Harasawa, H., Eds.; Springer: Berlin/Heidelberg, Germany, 1998; pp. 101–129. [Google Scholar]
- Horie, T. Predicting the effects of climatic variation and elevated CO2 on rice yield in Japan. J. Agric. Meteorol. 1993, 48, 567–574. [Google Scholar] [CrossRef]
- Lee, K.J.; Kim, D.J.; Ban, H.Y.; Lee, B.W. Genotypic differences in yield and yield-related elements of rice under elevated air temperature conditions. Korean J. Agric. For. Meteorol. 2015, 17, 306–316. [Google Scholar] [CrossRef]
- Sato, S.; Uphoff, N. A Review of on-Farm Evaluation of System of Rice Intensification (SRI) Methods in Eastern Indonesia. CAB Reviews; Commonwealth Agricultural Bureau International: Wallingford, UK, 2007; pp. 67–87. [Google Scholar]
- Suryavanshi, P.; Singh, Y.V.; Prasanna, R.; Bhatia, A.; Shivay, Y.S. Pattern of Methane Emission and Water Productivity under Different Methods of Rice Crop Establishment. Paddy Water Environ. 2013, 11, 321–329. [Google Scholar] [CrossRef]
- Van, D.H.H.; Sakthivadivel, R.; Renshaw, M.; Silver, J.B.; Birley, M.H.; Konradsen, F. Alternate Wet/dry Irrigation in Rice Cultivation: A Practical Way to Save Water and Control Malaria and Japanese Encephalitis (Research Report 47); International Water Management Institute: Colombo, Sri Lanka, 2002. [Google Scholar]







| Treatment ‡ | pH | EC † | T-N | T-C | OM | Av. P2O5 | Av. SiO2 | Ex. Cation | ||||
|---|---|---|---|---|---|---|---|---|---|---|---|---|
| K+ | Ca2+ | Mg2+ | Na+ | |||||||||
| Before | (1:5) | (dS m−1) | (g kg−1) | (mg kg−1) | (cmol kg−1) | |||||||
| CF | 5.06 | 0.75 | 2.76 | 18.0 | 28.9 | 261 | 69 | 0.10 | 3.75 | 0.40 | 0.46 | |
| 2MD-1 | 5.22 | 0.90 | 2.90 | 20.9 | 26.4 | 319 | 64 | 0.20 | 5.10 | 0.75 | 0.53 | |
| 2MD-2 | 5.24 | 0.85 | 2.60 | 17.4 | 26.1 | 280 | 73 | 0.10 | 5.35 | 0.65 | 0.49 | |
| 3MD-1 | 5.24 | 0.50 | 2.98 | 19.8 | 20.9 | 234 | 76 | 0.10 | 5.00 | 0.55 | 0.47 | |
| 4MD-1 | 5.18 | 1.15 | 2.75 | 16.7 | 24.4 | 245 | 87 | 0.20 | 4.65 | 0.55 | 0.54 | |
| 4MD-2 | 5.22 | 0.60 | 2.71 | 19.4 | 24.5 | 117 | 84 | 0.10 | 6.20 | 1.05 | 0.36 | |
| After | CF | 5.23 | 0.50 | 2.73 | 15.2 | 23.5 | 314 | 74 | 0.20 | 4.33 | 1.17 | 0.50 |
| 2MD-1 | 5.90 | 0.60 | 2.70 | 17.9 | 24.4 | 337 | 102 | 0.20 | 5.70 | 1.53 | 0.67 | |
| 2MD-2 | 5.30 | 0.60 | 2.83 | 18.0 | 24.2 | 281 | 90 | 0.20 | 5.67 | 1.47 | 0.49 | |
| 3MD-1 | 5.33 | 0.20 | 2.52 | 16.5 | 25.5 | 224 | 88 | 0.10 | 5.53 | 0.80 | 0.47 | |
| 4MD-1 | 5.03 | 0.47 | 3.22 | 21.1 | 29.0 | 246 | 84 | 0.20 | 3.80 | 0.53 | 0.48 | |
| 4MD-2 | 5.33 | 0.30 | 2.97 | 18.3 | 25.1 | 236 | 100 | 0.20 | 7.17 | 1.70 | 0.67 | |
| Treatment ‡ | pH | EC † | T-N | T-C | OM | Av. P2O5 | Av. SiO2 | Ex. Cation | ||||
|---|---|---|---|---|---|---|---|---|---|---|---|---|
| K+ | Ca2+ | Mg2+ | Na+ | |||||||||
| Before | (1:5) | (dS m−1) | (g kg−1) | (mg kg−1) | (cmol kg−1) | |||||||
| CF | 5.35 | 0.17 | 1.90 | 12.9 | 28.5 | 332 | 102 | 0.12 | 4.90 | 1.23 | 0.41 | |
| 2MD-1 | 5.40 | 0.11 | 2.55 | 18.0 | 30.0 | 314 | 143 | 0.12 | 5.63 | 1.43 | 0.37 | |
| 2MD-2 | 5.40 | 0.16 | 2.77 | 22.8 | 30.0 | 314 | 143 | 0.12 | 5.63 | 1.43 | 0.36 | |
| 3MD-1 | 5.30 | 0.22 | 2.26 | 17.9 | 25.7 | 214 | 180 | 0.10 | 5.77 | 0.87 | 0.34 | |
| 3MD-2 | 5.27 | 0.27 | 2.52 | 18.1 | 28.0 | 262 | 107 | 0.11 | 4.90 | 0.83 | 0.37 | |
| 4MD-1 | 5.20 | 0.50 | 2.50 | 18.0 | 33.1 | 280 | 109 | 0.17 | 4.57 | 0.70 | 0.31 | |
| After | CF | 5.35 | 0.53 | 2.43 | 19.8 | 24.7 | 257 | 69 | 0.10 | 4.65 | 0.67 | 0.25 |
| 2MD-1 | 5.40 | 0.57 | 2.20 | 19.3 | 27.3 | 257 | 104 | 0.20 | 6.23 | 0.90 | 0.21 | |
| 2MD-2 | 5.40 | 0.57 | 2.23 | 19.8 | 25.9 | 202 | 69 | 0.10 | 5.90 | 0.93 | 0.27 | |
| 3MD-1 | 5.30 | 0.33 | 2.30 | 19.8 | 24.7 | 231 | 66 | 0.20 | 4.83 | 0.73 | 0.30 | |
| 3MD-2 | 5.27 | 0.33 | 2.37 | 19.9 | 27.3 | 244 | 78 | 0.17 | 5.43 | 0.80 | 0.27 | |
| 4MD-1 | 5.03 | 0.83 | 2.28 | 19.2 | 29.0 | 246 | 54 | 0.2 | 3.80 | 0.53 | 0.21 | |
| Treatment ‡ | pH | EC † | T-N | T-C | OM | Av. P2O5 | Av. SiO2 | Ex. Cation | ||||
|---|---|---|---|---|---|---|---|---|---|---|---|---|
| K+ | Ca2+ | Mg2+ | Na+ | |||||||||
| (1:5) | (dS m−1) | (g kg−1) | (mg kg−1) | (cmol kg−1) | ||||||||
| Before | CF | 5.40 | 0.15 | 2.27 | 20.1 | 27.7 | 359 | 65.4 | 0.10 | 4.10 | 0.73 | 0.44 |
| 2MD-1 | 5.40 | 0.20 | 2.39 | 21.5 | 30.6 | 330 | 52.9 | 0.10 | 4.80 | 1.00 | 0.41 | |
| 2MD-2 | 5.43 | 0.20 | 2.08 | 20.5 | 25.9 | 323 | 63.4 | 0.10 | 4.73 | 1.07 | 0.42 | |
| 3MD-1 | 5.37 | 0.15 | 2.12 | 17.1 | 25.2 | 309 | 72.8 | 0.10 | 4.53 | 0.67 | 0.43 | |
| 3MD-2 | 5.37 | 0.17 | 2.19 | 19.1 | 27.3 | 344 | 93.0 | 0.10 | 5.23 | 0.73 | 0.45 | |
| After | CF | 5.65 | 0.15 | 2.39 | 16.9 | 26.6 | 301 | 32.5 | 0.10 | 4.60 | 0.68 | 0.34 |
| 2MD-1 | 5.57 | 0.17 | 2.64 | 18.3 | 30.0 | 257 | 53.7 | 0.10 | 5.00 | 0.83 | 0.36 | |
| 2MD-2 | 5.53 | 0.13 | 2.76 | 17.2 | 26.3 | 235 | 25.5 | 0.10 | 4.87 | 0.90 | 0.39 | |
| 3MD-1 | 5.40 | 0.13 | 2.59 | 16.4 | 25.8 | 262 | 45.7 | 0.10 | 4.53 | 0.67 | 0.34 | |
| 3MD-2 | 5.47 | 0.13 | 2.59 | 16.8 | 24.9 | 226 | 37.5 | 0.10 | 4.00 | 0.60 | 0.36 | |
| Treatment † | 2022 | 2023 | 2024 | |||
|---|---|---|---|---|---|---|
| Drainage | Irrigation | Drainage | Irrigation | Drainage | Irrigation | |
| CF | - | - | - | - | - | - |
| 2MD-1 | July 13 | July 27 | July 13 | July 27 | July 8 | July 22 |
| 2MD-2 | July 13 | July 27 | July 13 | July 27 | July 8 | July 22 |
| 3MD-1 | July 13 | Aug. 3 | July 13 | Aug. 3 | July 8 | July 29 |
| 3MD-2 | - | - | July 13 | August 3 | July 8 | July 29 |
| 4MD-1 | July 13 | Aug. 10 | July 13 | August 10 | - | - |
| 4MD-2 | July 13 | Aug. 10 | - | - | - | - |
| Treatment † | No. of Panicle per Plant | No. of Grain per Panicle | 1000-Grain Weight | Percent Ripened Grain | ||||||||||||||||||||
|---|---|---|---|---|---|---|---|---|---|---|---|---|---|---|---|---|---|---|---|---|---|---|---|---|
| 2022 | 2023 | 2024 | 2022 | 2023 | 2024 | 2022 | 2023 | 2024 | 2022 | 2023 | 2024 | |||||||||||||
| ea | g | % | ||||||||||||||||||||||
| CF | 22.1 | a ‡ | 22.6 | a | 21.5 | a | 83.0 | b | 88.2 | b | 72.0 | c | 22.8 | a | 22.1 | ab | 20.3 | a | 85.0 | b | 80.8 | c | 71.5 | b |
| 2MD-1 | 19.6 | b | 20.5 | b | 20.7 | a | 89.9 | a | 88.5 | b | 82.3 | ab | 22.7 | a | 23.3 | a | 20.7 | a | 90.4 | a | 83.1 | bc | 78.1 | ab |
| 2MD-2 | 19.3 | b | 20.8 | b | 20.8 | a | 91.1 | a | 90.0 | a | 85.7 | a | 22.9 | a | 22.1 | ab | 21.1 | a | 90.2 | a | 89.6 | a | 81.3 | a |
| 3MD-1 | 19.1 | b | 19.8 | bc | 19.2 | a | 85.8 | b | 85.8 | bc | 74.2 | bc | 21.9 | a | 21.3 | ab | 20.5 | a | 89.8 | a | 86.7 | b | 73.5 | ab |
| 3MD-2 | - | 19.4 | bc | 19.7 | a | - | 86.2 | bc | 78.4 | b | - | 20.9 | ab | 20.5 | a | - | 86.9 | b | 79.7 | a | ||||
| 4MD-1 | 18.5 | b | 18.0 | c | - | 75.5 | c | 80.7 | c | - | 22.3 | a | 23.4 | a | - | 80.3 | c | 86.3 | b | - | ||||
| 4MD-2 | 18.9 | b | - | - | 78.1 | c | - | - | 23.0 | a | - | - | 85.8 | b | - | - | ||||||||
| Number of Panicles per Plant | Number of Grains per Panicle | 1000-Grain Weight | Percent Ripened Grain | Grain Yield | |
|---|---|---|---|---|---|
| Year | ns † (F = 1.00, p = 0.375) | *** (F = 15.14, p < 0.001) | *** (F = 15.09, p < 0.001) | *** (F = 24.00, p < 0.001) | ns (F = 2.71, p = 0.079) |
| Treatments | *** (F = 3.37, p = 0.003) | * (F = 2.32, p = 0.029) | ** (F = 2.94, p = 0.007) | * (F = 0.82, p = 0.608) | *** (F = 14.99, p < 0.001) |
| Year × Treatments | ns (F = 0.52, p = 0.725) | ns (F = 1.57, p = 0.200) | ns (F = 1.46, p = 0.232) | ns (F = 1.41, p = 0.249) | ns (F = 1.75, p = 0.158) |
Disclaimer/Publisher’s Note: The statements, opinions and data contained in all publications are solely those of the individual author(s) and contributor(s) and not of MDPI and/or the editor(s). MDPI and/or the editor(s) disclaim responsibility for any injury to people or property resulting from any ideas, methods, instructions or products referred to in the content. |
© 2025 by the authors. Licensee MDPI, Basel, Switzerland. This article is an open access article distributed under the terms and conditions of the Creative Commons Attribution (CC BY) license (https://creativecommons.org/licenses/by/4.0/).
Share and Cite
Oh, S.; Cho, Y.-S. Two-Week Mid-Season Drainage with Alternate Irrigation Enhances Yield and Water Use Efficiency in Environmentally Friendly Rice Cultivation. Agriculture 2025, 15, 2238. https://doi.org/10.3390/agriculture15212238
Oh S, Cho Y-S. Two-Week Mid-Season Drainage with Alternate Irrigation Enhances Yield and Water Use Efficiency in Environmentally Friendly Rice Cultivation. Agriculture. 2025; 15(21):2238. https://doi.org/10.3390/agriculture15212238
Chicago/Turabian StyleOh, SeungKa, and Young-Son Cho. 2025. "Two-Week Mid-Season Drainage with Alternate Irrigation Enhances Yield and Water Use Efficiency in Environmentally Friendly Rice Cultivation" Agriculture 15, no. 21: 2238. https://doi.org/10.3390/agriculture15212238
APA StyleOh, S., & Cho, Y.-S. (2025). Two-Week Mid-Season Drainage with Alternate Irrigation Enhances Yield and Water Use Efficiency in Environmentally Friendly Rice Cultivation. Agriculture, 15(21), 2238. https://doi.org/10.3390/agriculture15212238

