Is Solar Panel Adoption a Win–Win Strategy for Chicken Farms? Evidence from Agriculture Census Data
Abstract
1. Introduction
2. Solar Energy Policy in Taiwan
3. Materials and Methods
3.1. Data
3.2. Variable Specification
3.3. Method
4. Results
4.1. Sample Statistics of Selected Variables
4.2. The Determinants of Sales Revenue
4.3. The PV Adoption on Chicken Production Quantity and Quality
- Farms in the Southern region show the largest sales gains (~0.7), while effects in the Central region are smaller but still positive. The North shows near-zero effects, and the East has high uncertainty due to few observations.
- The increase in revenue mainly comes from higher production quantity (+8.9%), not from unit price changes (−0.7%, insignificant).
- Only colored broiler farms show a significant increase in production (~7.9%), while other types show no significant effects.
4.4. Robustness Check
5. Discussion and Policy Implications
5.1. Discussion
5.2. Policy Implications
6. Conclusions and Limitation
6.1. Conclusions
6.2. Limitation
Author Contributions
Funding
Institutional Review Board Statement
Data Availability Statement
Acknowledgments
Conflicts of Interest
Appendix A
| Variable | Definition/Operationalization | Unit | Coding |
|---|---|---|---|
| Panel A. Production performance | |||
| Production value | Value of chicken products sold annually | NT$ million | Continuous |
| Unit price | Average unit price per chicken | NT$1000 per chicken | Continuous |
| Production quantity_all | Total production of chickens (all types) | 1000 chickens | Continuous |
| Production quantity_broiler | Number of broilers produced | 1000 chickens | Continuous |
| Production quantity_colored broiler | Number of colored broilers produced | 1000 chickens | Continuous |
| Production quantity_breeder | Number of breeders produced | 1000 chickens | Continuous |
| Production quantity_layer | Number of layers produced | 1000 chickens | Continuous |
| Panel B. Explanatory variables | |||
| PV adoption | Whether the household adopted solar panels | – | Dummy (1 = yes, 0 = no) |
| Feeder lines | Number of feeder stations per capita | Per capita | Continuous |
| Farmland size | Area of farmland operated by the household | Are (1 are = 100 m2) | Continuous |
| Household size | Number of individuals residing in the household | Persons | Continuous |
| Male household ratio | Proportion of male members in the household | Ratio (0–1) | Continuous |
| Male operator | Whether the farm operator is male | – | Dummy (1 = male, 0 = female) |
| Operator age | Age of the farm operator | Years | Continuous |
| Elementary operator | Operator completed only elementary education | – | Dummy (1 = yes, 0 = no, ref. group) |
| Junior operator | Operator completed junior high school | – | Dummy (1 = yes, 0 = no) |
| Senior operator | Operator completed senior high school | – | Dummy (1 = yes, 0 = no) |
| College operator | Operator completed college or above | – | Dummy (1 = yes, 0 = no) |
| Employee labor | Hired labor input | Months per year | Continuous |
| Household labor | Household labor input | Months per year | Continuous |
| Broiler farm | Whether the farm raises broilers | – | Dummy (1 = yes, 0 = no) |
| Colored broiler farm | Whether the farm raises colored broilers | – | Dummy (1 = yes, 0 = no) |
| Breeder farm | Whether the farm raises breeders | – | Dummy (1 = yes, 0 = no) |
| Layer farm | Whether the farm raises layers | – | Dummy (1 = yes, 0 = no) |
References
- Guerin, T.F. Impacts and opportunities from large-scale solar photovoltaic (PV) electricity generation on agricultural production. Environ. Qual. Manag. 2019, 28, 7–14. [Google Scholar] [CrossRef]
- Ascensao, F.; Chozas, S.; Serrano, H.; Branquinho, C. Mapping potential conflicts between photovoltaic installations and biodiversity conservation. Biol. Conserv. 2023, 287, 110331. [Google Scholar] [CrossRef]
- Turnley, J.W.; Grant, A.; Schull, V.Z.; Cammarano, D.; Sesmero, J.; Agrawal, R. The viability of photovoltaics on agricultural land: Can PV solve the food vs fuel debate? J. Clean. Prod. 2024, 469, 143191. [Google Scholar] [CrossRef]
- Khodadadi, M.; Masoumi, A. Recent drying technologies used for drying poultry litter (principles, advantages and disadvantages): A comprehensive review. Poult. Sci. 2025, 104, 104677. [Google Scholar] [CrossRef]
- Bist, R.B.; Bist, K.; Poudel, S.; Subedi, D.; Yang, X.; Paneru, B.; Mani, S.; Wang, D.; Chai, L. Sustainable poultry farming practices: A critical review of current strategies and future prospects. Poult. Sci. 2024, 103, 104295. [Google Scholar] [CrossRef] [PubMed]
- Feuerbacher, A.; Laub, M.; Högy, P.; Lippert, C.; Pataczek, L.; Schindele, S.; Wieck, C.; Zikeli, S. An analytical framework to estimate the economics and adoption potential of dual land-use systems: The case of agrivoltaics. Agric. Syst. 2021, 192, 103193. [Google Scholar] [CrossRef]
- Pascaris, A.S.; Schelly, C.; Burnham, L.; Pearce, J.M. Integrating solar energy with agriculture: Industry perspectives on the market, community, and socio-political dimensions of agrivoltaics. Energy Res. Soc. Sci. 2021, 75, 102023. [Google Scholar] [CrossRef]
- Zhang, M.; Zhou, D.; Zhou, P. A real option model for renewable energy policy evaluation with application to solar PV power generation in China. Renew. Sustain. Energy Rev. 2014, 40, 944–955. [Google Scholar] [CrossRef]
- Penizzotto, F.; Pringles, R.; Olsina, F. Real options valuation of photovoltaic power investments in existing buildings. Renew. Sustain. Energy Rev. 2019, 114, 109308. [Google Scholar] [CrossRef]
- Sacchelli, S.; Garegnani, G.; Geri, F.; Grilli, G.; Paletto, A.; Zambelli, P.; Ciolli, M.; Vettorato, D. Trade-off between photovoltaic systems installation and agricultural practices on arable lands: An environmental and socio-economic impact analysis for Italy. Land Use Pol. 2016, 56, 90–99. [Google Scholar] [CrossRef]
- Touil, S.; Richa, A.; Fizir, M.; Bingwa, B. Shading effect of photovoltaic panels on horticulture crops production: A mini review. Rev. Environ. Sci. Bio/Technol. 2021, 20, 281–296. [Google Scholar] [CrossRef]
- Cui, Y.; Theo, E.; Gurler, T.; Su, Y.; Saffa, R. A comprehensive review on renewable and sustainable heating systems for poultry farming. Int. J. Low-Carbon Technol. 2020, 15, 121–142. [Google Scholar] [CrossRef]
- Fisinin, V.I.; Kavtarashvili, A.S. Heat stress in poultry. II. Methods and techniques for prevention and alleviation. Сельскoхoзяйственная биoлoгия 2015, 50, 431–443. [Google Scholar] [CrossRef]
- Fahmy, F.H.; Farghally, H.M.; Ahmed, N.M. Photovoltaic-biomass gasifier hybrid energy system for poultry house. Int. J. Mod. Eng. Res. (IJMER) 2014, 4, 51–62. [Google Scholar]
- Gad, S.; El-Shazly, M.A.; Wasfy, K.I.; Awny, A. Utilization of solar energy and climate control systems for enhancing poultry houses productivity. Renew. Energy 2020, 154, 278–289. [Google Scholar] [CrossRef]
- Santos, M.; Pandorfi, H.; Rabello, C.; Silva, E.; Torres, T.; Santos, P.; Morril, W.; Duarte, N. Performance of free-range chickens reared in production modules enriched with shade net and perches. Braz. J. Poult. Sci. 2014, 16, 19–27. [Google Scholar] [CrossRef]
- Gurler, T.; Elmer, T.; Cui, Y.; Omer, S.; Riffat, S. Experimental investigation of a novel PVt/heat pump system for energy-efficient poultry houses. Int. J. Low-Carbon Technol. 2018, 13, 404–413. [Google Scholar] [CrossRef]
- Okonkwo, W.I.; Chukwuezie, O.C. Characterization of a photovoltaic powered poultry egg incubator. In 4th International Conference on Agriculture and Animal Science; IACSIT Press: Singapore, 2012; Volume 10. [Google Scholar]
- Slack, M.K.; Draugalis, J.R., Jr. Establishing the internal and external validity of experimental studies. Am. J. Health-Syst. Pharm. 2001, 58, 2173–2181. [Google Scholar] [CrossRef]
- McDermott, R. Internal and external validity. In Cambridge Handbook of Experimental Political Science; Cambridge University Press: Cambridge, UK, 2011; Volume 27. [Google Scholar]
- Bracht, G.H.; Glass, G.V. The external validity of experiments. Am. Educ. Res. J. 1968, 5, 437–447. [Google Scholar] [CrossRef]
- Min, J.Y. Green Power and Agriculture in Taiwan. CPC Agricultural Knowledge Market Place. 2022. Available online: https://akmp.cpc.org.tw/en/post/contents/523 (accessed on 1 June 2025).
- Wu, H.H. Balancing Renewable Energy Development and Agriculture Policy. Agricultural Policy Platform, Food and Fertilizer Technology Center for the Asian and Pacific Region. 2023. Available online: https://ap.fftc.org.tw/article/3459 (accessed on 1 June 2025).
- McCatherin, J.; Wang, J.; Huang, W. Taiwan’s Energy Transition Outlook for 2025. EUROVIEW. 2025. Available online: https://euroview.ecct.com.tw/category-inside.php?id=2247 (accessed on 1 June 2025).
- Liu, M.Y.; Lin, D. A case study of green energy roofs in Taiwan using financial analyses. Int. J. Financ. Bank. Stud. 2021, 10, 12–20. [Google Scholar] [CrossRef]
- Tsai, W.T. Feed-in tariff promotion and innovative measures for renewable electricity: Taiwan case analysis. Renew. Sustain. Energy Rev. 2014, 40, 1126–1132. [Google Scholar] [CrossRef]
- Chang, M.C.; Hu, J.L.; Han, T.F. An analysis of a feed-in tariff in Taiwan’s electricity market. Int. J. Electr. Power Energy Syst. 2013, 44, 916–920. [Google Scholar] [CrossRef]
- You, H.-J.; Huang, C.-J.; Liang, T.-W. The impact of agricultural ground-mounted solar photovoltaics on rural communities and the ecological environment, and corresponding strategies. Rural Dev. 2023, 24, 1–15. (In Chinese) [Google Scholar]
- Center for Interdisciplinary Research on Ecology Sustainability (CIRES) (2023) Environmental Impact of Photovoltaic Systems in Taiwan, C.I.R.E.S. Available online: https://www.cires-taiwan.org/about-9 (accessed on 1 June 2025).
- Lee, H.J. Comprehensive Agricultural Policies of Taiwan. Food and Fertilizer Technology Center for the Asian and Pacific Region. 2013. Available online: https://ap.fftc.org.tw/article/490 (accessed on 1 June 2025).
- Yang, M.H. Policy Analysis of Implementation on “Small Landlord Big Tenant” in Taiwan. Food and Fertilizer Technology Center for the Asian and Pacific Region. 2015. Available online: https://ap.fftc.org.tw/article/854 (accessed on 1 June 2025).
- Ministry of Agriculture, Taiwan. Overview of Agriculture in Taiwan. 2017. Available online: https://eng.moa.gov.tw/ws.php?id=9501 (accessed on 1 June 2025).
- Tsai, C.S. Crops, Houses, or Panels? The Land-Use Conversions of Taiwan Farmland. Taiwan Insight. 2022. Available online: https://taiwaninsight.org/2022/02/10/crops-houses-or-panels-the-land-use-conversions-of-taiwan-farmland/ (accessed on 1 June 2025).
- IMARC. Taiwan Solar Photovoltaic (PV) Market Report by Type (Thin Film, Multi-Si, Mono-Si), Grid Type (On-Grid, Off-Grid), Deployment (Ground-mounted, Rooftop Solar), End User (Residential, Commercial, Utility), and Region 2025–2033. 2024. Available online: https://www.imarcgroup.com/taiwan-solar-photovoltaic-market (accessed on 1 June 2025).
- Chang, H.H.; Lin, T.C. Solar farm policy and farmland price–A land zoning perspective. J. Environ. Manag. 2023, 344, 118454. [Google Scholar] [CrossRef]
- Solar Power. Solar Loan Programs in Taiwan. 2024. Available online: https://solarpower.tw/solar-loan/ (accessed on 1 June 2025).
- Executive Yuan. Accelerated Plan for Installing Solar Photovoltaic Systems on Residential Rooftops. Executive Yuan, Republic of China (Taiwan). 2024. Available online: https://www.ey.gov.tw/Page/5A8A0CB5B41DA11E/00d92110-3049-44ee-9382-6988a4b2436d (accessed on 1 June 2025).
- Huang, Y.H.; Wu, J.H. Assessment of the feed-in tariff mechanism for renewable energies in Taiwan. Energy Policy 2011, 39, 8106–8115. [Google Scholar] [CrossRef]
- Lin, J.X.; Wen, P.L.; Feng, C.C.; Lin, S.M.; Ko, F.K. Policy target, feed-in tariff, and technological progress of PV in Taiwan. Renew. Sustain. Energy Rev. 2014, 39, 628–639. [Google Scholar] [CrossRef]
- Ghiassi-Farrokhfal, Y.; Kazhamiaka, F.; Rosenberg, C.; Keshav, S. Optimal design of solar PV farms with storage. IEEE Trans. Sustain. Energy 2015, 6, 1586–1593. [Google Scholar] [CrossRef]
- Akeyo, O.M.; Rallabandi, V.; Jewell, N.; Ionel, D.M. The design and analysis of large solar PV farm configurations with DC-connected battery systems. IEEE Trans. Ind. Appl. 2020, 56, 2903–2912. [Google Scholar] [CrossRef]
- Varma, R.K.; Siavashi, E.M. Enhancement of solar farm connectivity with smart PV inverter PV-STATCOM. IEEE Trans. Sustain. Energy 2018, 10, 1161–1171. [Google Scholar] [CrossRef]
- Gorjian, S.; Singh, R.; Shukla, A.; Mazhar, A.R. On-farm applications of solar PV systems. In Photovoltaic Solar Energy Conversion; Academic Press: Cambridge, MA, USA, 2020; pp. 147–190. [Google Scholar]
- Taiwan Power Company. Electricity Tariff Tables and Calculation Examples; Taiwan Power Company: Taipei City, Taiwan, 2024. [Google Scholar]
- Ministry of Economic Affairs, Taiwan. Renewable Energy Development Regulations. Bureau of Energy, Ministry of Economic Affairs. 2024. Available online: https://www.moeaea.gov.tw/ecw/populace/Law/Content.aspx?menu_id=26351 (accessed on 1 June 2025).
- Kaohsiung City Government. Subsidy Program for the Renovation of Solar-Powered Livestock and Poultry Farms. 2024. Available online: https://orgws.kcg.gov.tw/001/KcgOrgUploadFiles/286/relfile/68007/126881/21758446-0ac8-4529-a219-e737b368a22f.pdf (accessed on 1 June 2025).
- SEMI. Solar Photovoltaic Public Policy Recommendations; SEMI: Taipei, Taiwan, 2023. [Google Scholar]
- DGBAS. Comprehensive Report on the 2020 Census of Agriculture, Forestry, Fishery and Animal Husbandry. 2022. Available online: https://www.stat.gov.tw/News_Content.aspx?Create=1&n=2763&state=1327FD6AD8DCDA52&s=231576&ccms_cs=1&sms=11069 (accessed on 1 June 2025).
- Chang, H.H.; Mishra, A.K.; Lee, T.H. A supply-side analysis of agritourism: Evidence from farm-level agriculture census data in Taiwan. Aust. J. Agric. Resour. Econ. 2019, 63, 521–548. [Google Scholar] [CrossRef]
- Lin, L.; Chang, H.H. Does agro-processing adoption affect farm income and farm diversification? Empirical evidence from Taiwan. J. Agribus. Dev. Emerg. Econ. 2021, 11, 567–577. [Google Scholar] [CrossRef]
- Lee, B.; Liu, J.Y.; Chang, H.H. The choice of marketing channel and farm profitability: Empirical evidence from small farmers. Agribusiness 2020, 36, 402–421. [Google Scholar] [CrossRef]
- Adepoju, A.A.; Oni, O.A. Investigating endogeneity effects of social capital on household welfare in Nigeria: A control function approach. Q. J. Int. Agric. 2012, 51, 73–96. [Google Scholar]
- Komolafe, J.O. Endogeneity Test of Seed on Yield in Nigeria. Turk. J. Agric.-Food Sci. Technol. 2023, 11, 1116–1121. [Google Scholar] [CrossRef]
- Angrist, J.D.; Pischke, J.S. Mostly Harmless Econometrics: An Empiricist’s Companion; Princeton University Press: Princeton, NJ, USA, 2009. [Google Scholar]
- Heckman, J.J.; Vytlacil, E. Structural equations, treatment effects, and econometric policy evaluation 1. Econometrica 2005, 73, 669–738. [Google Scholar] [CrossRef]
- Wooldridge, J.M. Introductory Econometrics: A Modern Approach, 6th ed.; Cengage Learning: Boston, MA, USA, 2016. [Google Scholar]
- Robinson, P.M. Root-N-consistent semiparametric regression. Econometrica 1988, 56, 931–954. [Google Scholar] [CrossRef]
- Verardi, V.; Debarsy, N. Robinson’s square root of N consistent semiparametric regression estimator in Stata. Stata J. 2012, 12, 726–735. [Google Scholar] [CrossRef]
- Bey, M.; Hamidat, A.; Benyoucef, B.; Nacer, T. Viability study of the use of grid connected photovoltaic system in agriculture: Case of Algerian dairy farms. Renew. Sustain. Energy Rev. 2016, 63, 333–345. [Google Scholar] [CrossRef]
- Faria, A.F.P.; Maia, A.S.; Moura, G.A.; Fonsêca, V.F.; Nascimento, S.T.; Milan, H.F.; Gebremedhin, K.G. Use of solar panels for shade for Holstein heifers. Animals 2023, 13, 329. [Google Scholar] [CrossRef]
- Adeh, E.H.; Selker, J.S.; Higgins, C.W. Remarkable agrivoltaic influence on soil moisture, micrometeorology and water-use efficiency. PLoS ONE 2018, 13, e0203256. [Google Scholar]
- Maia, A.S.C.; de Andrade Culhari, E.; Fonsêca, V.D.F.C.; Milan, H.F.M.; Gebremedhin, K.G. Photovoltaic panels as shading resources for livestock. J. Clean Prod. 2020, 258, 120551. [Google Scholar] [CrossRef]
- Conley, T.G.; Hansen, C.B.; Rossi, P.E. Plausibly exogenous. Rev. Econ. Stat. 2012, 94, 260–272. [Google Scholar] [CrossRef]
- Neto, R.D.C.S.; Berchin, I.I.; Magtoto, M.; Berchin, S.; Xavier, W.G.; de Andrade, J.B.S.O. An integrative approach for the water-energy-food nexus in beef cattle production: A simulation of the proposed model to Brazil. J. Clean. Prod. 2018, 204, 1108–1123. [Google Scholar] [CrossRef]
- Liang, H.M.; Chang, T.C.; Lin, D.Y.; Yang, K.T.; Cheng, F.Y. A comparative study of acute heat tolerance and meat quality in three chicken breeds. Anim. Sci. J. 2022, 93, e13722. [Google Scholar] [CrossRef]
- Wakabayashi, Y.; Takemoto, K.; Iwasaki, S.; Yajima, T.; Kido, A.; Yamauchi, A.; Kuroiwa, K.; Kumai, Y.; Yoshihara, S.; Tokumoto, H.; et al. Isolation and characterization of Staphylococcus argenteus strains from retail foods and slaughterhouses in Japan. Int. J. Food Microbiol. 2022, 363, 109503. [Google Scholar] [CrossRef]
- Underwood, G.; Andrews, D.; Phung, T. Advances in genetic selection and breeder practice improve commercial layer hen welfare. Anim. Prod. Sci. 2021, 61, 856–866. [Google Scholar] [CrossRef]
- Hartcher, K.M.; Lum, H.K. Genetic selection of broilers and welfare consequences: A review. World’s Poult. Sci. J. 2020, 76, 154–167. [Google Scholar] [CrossRef]
- Zou, M.; Ma, P.P.; Liu, W.S.; Liang, X.; Li, X.Y.; Li, Y.Z.; Liu, B.T. Prevalence and antibiotic resistance characteristics of extraintestinal pathogenic Escherichia coli among healthy chickens from farms and live poultry markets in China. Animals 2021, 11, 1112. [Google Scholar] [CrossRef]
- Sharma, D.K.; Sharma, D.; Ali, A.H.H. A state of the art on solar-powered vapor absorption cooling systems integrated with thermal energy storage. Environ. Sci. Pollut. Res. 2020, 27, 158–189. [Google Scholar] [CrossRef]
- Gandhi, O.; Kumar, D.S.; Rodríguez-Gallegos, C.D.; Srinivasan, D. Review of power system impacts at high PV penetration Part I: Factors limiting PV penetration. Sol. Energy 2020, 210, 181–201. [Google Scholar] [CrossRef]
- Massresha, S.E.; Lema, T.Z.; Neway, M.M.; Degu, W.A. Perception and determinants of agricultural technology adoption in north shoa zone, Amhara regional state, Ethiopia. Cogent Econ. Financ. 2021, 9, 1956774. [Google Scholar] [CrossRef]
- Zheng, Y.Y.; Wei, J.I.A. Does Internet use promote the adoption of agricultural technology? Evidence from 1 449 farm households in 14 Chinese provinces. J. Integr. Agric. 2022, 21, 282–292. [Google Scholar] [CrossRef]
- Daniel, D.; Pande, S.; Rietveld, L. Endogeneity in water use behaviour across case studies of household water treatment adoption in developing countries. World Dev. Perspect. 2022, 25, 100385. [Google Scholar] [CrossRef]
- Cawley, A.; O’Donoghue, C.; Heanue, K.; Hilliard, R.; Sheehan, M. The impact of extension services on farm-level income: An instrumental variable approach to combat endogeneity concerns. Appl. Econ. Perspect. Policy 2018, 40, 585–612. [Google Scholar] [CrossRef]
- Lien, G.; Kumbhakar, S.C.; Alem, H. Endogeneity, heterogeneity, and determinants of inefficiency in Norwegian crop-producing farms. Int. J. Prod. Econ. 2018, 201, 53–61. [Google Scholar] [CrossRef]
- Valle, B.; Simonneau, T.; Sourd, F.; Pechier, P.; Hamard, P.; Frisson, T.; Ryckewaert, M.; Christophe, A. Increasing the total productivity of a land by combining mobile photovoltaic panels and food crops. Appl. Energy 2017, 206, 1495–1507. [Google Scholar] [CrossRef]
- Song, D.J.; King, A.J. Effects of heat stress on broiler meat quality. World’s Poult. Sci. J. 2015, 71, 701–709. [Google Scholar] [CrossRef]
- Khokhar, S.G.; Min, Q.; Chu, X. Electricity crisis and energy efficiency to poultry production in Pakistan. World’s Poult. Sci. J. 2015, 71, 539–546. [Google Scholar] [CrossRef]
- Goel, A. Heat stress management in poultry. J. Anim. Physiol. Anim. Nutr. 2021, 105, 1136–1145. [Google Scholar] [CrossRef] [PubMed]





| (1) | (2) | (3) | ||||
|---|---|---|---|---|---|---|
| Full Sample | PV = 1 (Adopters) | PV = 0 (Non-Adopters) | ||||
| Variable | Mean | S.D. | Mean | S.D. | Mean | S.D. |
| Panel A. Production performance | ||||||
| Production value (NT$ one million) | 5.53 | 8.84 | 9.68 | 11.88 | 4.72 | 7.87 |
| Unit price (NT$1000/per chicken) | 0.70 | 4.32 | 0.52 | 0.73 | 0.74 | 4.71 |
| Production quantity_all (1000 chickens) | 14.28 | 12.51 | 21.20 | 11.10 | 12.94 | 12.32 |
| Production quantity_broiler (1000 chickens) | 2.09 | 7.62 | 2.44 | 8.64 | 2.02 | 7.41 |
| Production quantity_colored broiler (1000 chickens) | 5.51 | 9.20 | 8.70 | 11.44 | 4.89 | 8.56 |
| Production quantity_breeder (1000 chickens) | 0.59 | 3.01 | 0.96 | 3.77 | 0.52 | 2.84 |
| Production quantity_layer (1000 chickens) | 6.09 | 11.06 | 9.10 | 13.02 | 5.51 | 10.54 |
| Panel B. Explanatory variables | ||||||
| PV (0/1) | 0.16 | 0.37 | 1.00 | 0.00 | 0.00 | 0.00 |
| Feeder lines (Number of feeder stations per capita) | 0.06 | 0.03 | 0.07 | 0.03 | 0.05 | 0.03 |
| Farmland size (ares) | 47.64 | 50.87 | 56.49 | 49.88 | 45.92 | 50.89 |
| Household size (people) | 3.71 | 1.98 | 3.90 | 1.93 | 3.68 | 1.98 |
| Male household ratio (0~1) | 0.56 | 0.24 | 0.55 | 0.22 | 0.56 | 0.24 |
| Male operator (0/1) | 0.85 | 0.36 | 0.87 | 0.34 | 0.85 | 0.36 |
| Operator age (years) | 61.32 | 11.28 | 59.52 | 11.28 | 61.66 | 11.24 |
| Elementary operator (0/1, reference group) | 0.26 | 0.44 | 0.23 | 0.42 | 0.26 | 0.44 |
| Junior operator (0/1) | 0.24 | 0.43 | 0.22 | 0.42 | 0.24 | 0.43 |
| Senior operator (0/1) | 0.37 | 0.48 | 0.40 | 0.49 | 0.36 | 0.48 |
| College operator (0/1) | 0.14 | 0.34 | 0.15 | 0.36 | 0.13 | 0.34 |
| Employee labor (months) | 9.84 | 6.21 | 11.47 | 5.99 | 9.52 | 6.21 |
| Household labor (months) | 5.09 | 11.64 | 8.36 | 15.38 | 4.46 | 10.65 |
| Broiler (0/1) | 0.09 | 0.29 | 0.08 | 0.27 | 0.09 | 0.29 |
| Colored broiler (0/1) | 0.49 | 0.50 | 0.44 | 0.50 | 0.50 | 0.50 |
| Breeder (0/1) | 0.06 | 0.23 | 0.07 | 0.26 | 0.05 | 0.22 |
| Layer (0/1) | 0.36 | 0.48 | 0.40 | 0.49 | 0.35 | 0.48 |
| N | 3482 | 566 | 2916 | |||
| (1) | (2) | (3) | ||||||||
|---|---|---|---|---|---|---|---|---|---|---|
| OLS Model | Double Residual Model | |||||||||
| First Stage | Second Stage | |||||||||
| Variables | Coef. | S.E. | Coef. | S.E. | Mar. Eff. | Coef. | S.E. | |||
| PV | 2.21 | *** | 0.35 | 0.51 | *** | 0.12 | ||||
| % † | 25.02% | 5.82% | ||||||||
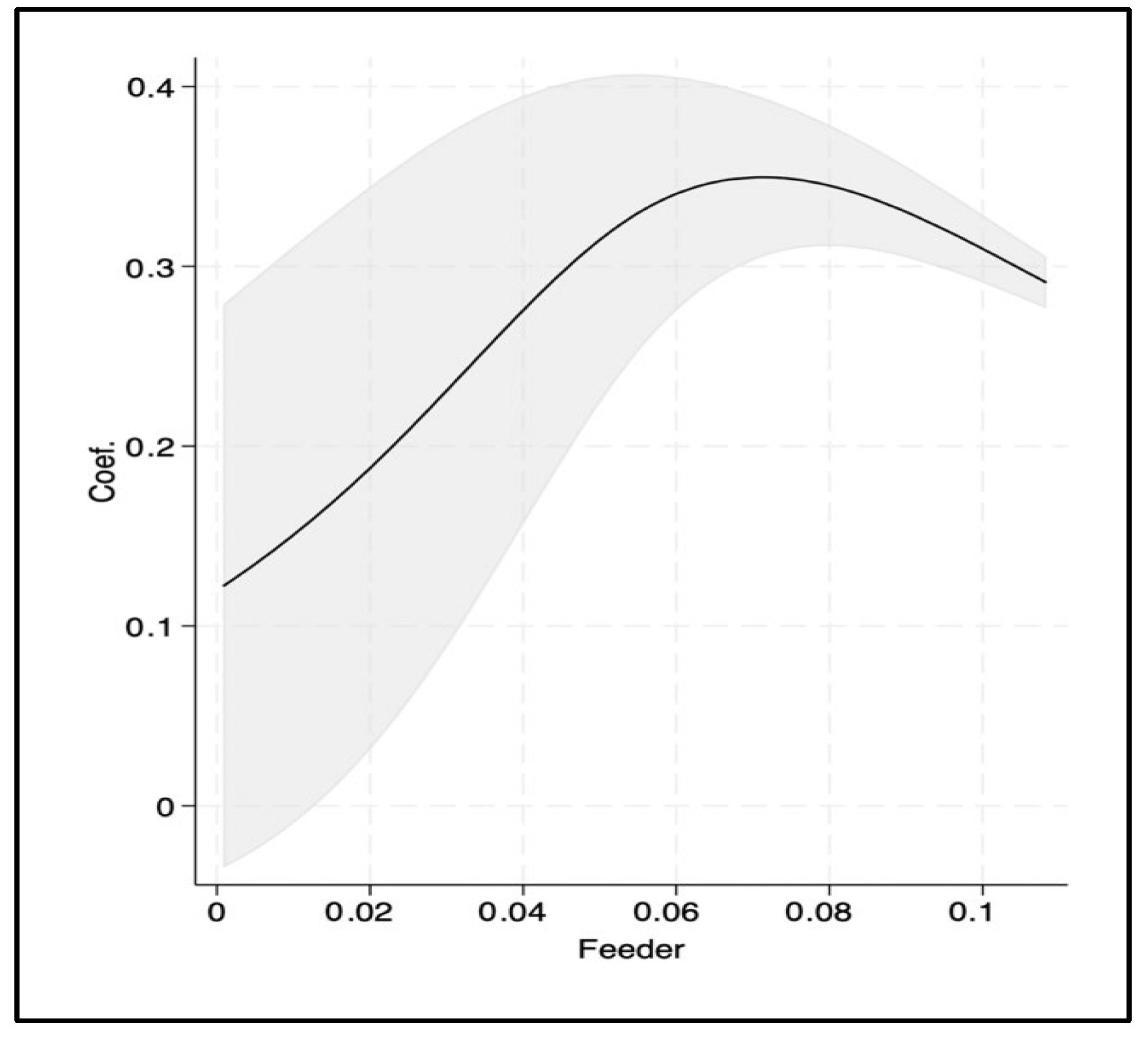
| Feeder lines | -- | |||||||||
| Farmland size | 0.02 | *** | 0.00 | 0.00 | 0.00 | 6.24% | 0.02 | *** | 0.00 | |
| Household size | −0.01 | 0.07 | 0.04 | *** | 0.00 | 11.08% | 0.04 | 0.07 | ||
| Male household ratio | −0.63 | 0.58 | −0.12 | *** | 0.04 | −5.83% | −0.59 | 0.58 | ||
| Male operator | 1.33 | *** | 0.39 | −0.08 | 0.06 | −5.76% | 1.24 | *** | 0.39 | |
| Operator age | −0.06 | *** | 0.01 | −0.01 | *** | 0.00 | −43.28% | −0.05 | *** | 0.01 |
| Junior operator | −1.27 | *** | 0.37 | −0.02 | 0.03 | −0.42% | −1.11 | *** | 0.37 | |
| Senior operator | −1.07 | *** | 0.38 | 0.22 | *** | 0.04 | 6.60% | −0.67 | * | 0.38 |
| College operator | −1.50 | *** | 0.51 | 0.30 | *** | 0.08 | 3.32% | −0.84 | 0.51 | |
| Employee labor | 0.19 | *** | 0.02 | 0.02 | *** | 0.00 | 14.90% | 0.18 | *** | 0.02 |
| Household labor | 0.15 | *** | 0.01 | 0.02 | *** | 0.01 | 7.08% | 0.16 | *** | 0.01 |
| Colored broiler | −2.39 | *** | 0.45 | −0.17 | 0.16 | −7.07% | −2.59 | *** | 0.45 | |
| Breeder | −1.04 | 0.66 | −0.51 | *** | 0.11 | −2.26% | −1.16 | * | 0.66 | |
| Layer | 1.85 | *** | 0.47 | −0.45 | *** | 0.15 | −13.07% | 1.57 | *** | 0.47 |
| Constant | 5.97 | *** | 1.19 | −3.80 | * | 2.20 | -- | 2.45 | * | 1.38 |
| County FE | Yes | Yes | Yes | |||||||
| R2 | 0.345 | 0.165 | 0.353 | |||||||
| N | 3482 | 3482 | 3482 | |||||||
| Outcome Variables | Coef. | S.E. | |
|---|---|---|---|
| Panel A. Production quantity for all chickens | |||
| Production quantity | 1.11 | *** | 0.16 |
| % † | 8.9% | ||
| Panel B. Production quality for all chickens | |||
| Unit price | −0.03 | 0.07 | |
| % † | −0.7% | ||
| Panel C. Production quantity by chicken type | |||
| Broiler | 0.10 | 0.09 | |
| % † | 1.3% | ||
| Colored broiler | 0.73 | *** | 0.11 |
| % † | 7.9% | ||
| Breeder | 0.01 | 0.04 | |
| % † | 0.5% | ||
| Layer | 0.27 | 0.17 | |
| % † | 2.4% | ||
Disclaimer/Publisher’s Note: The statements, opinions and data contained in all publications are solely those of the individual author(s) and contributor(s) and not of MDPI and/or the editor(s). MDPI and/or the editor(s) disclaim responsibility for any injury to people or property resulting from any ideas, methods, instructions or products referred to in the content. |
© 2025 by the authors. Licensee MDPI, Basel, Switzerland. This article is an open access article distributed under the terms and conditions of the Creative Commons Attribution (CC BY) license (https://creativecommons.org/licenses/by/4.0/).
Share and Cite
Lee, T.-H.; Liou, Y.-Y.; Chang, H.-H. Is Solar Panel Adoption a Win–Win Strategy for Chicken Farms? Evidence from Agriculture Census Data. Agriculture 2025, 15, 2124. https://doi.org/10.3390/agriculture15202124
Lee T-H, Liou Y-Y, Chang H-H. Is Solar Panel Adoption a Win–Win Strategy for Chicken Farms? Evidence from Agriculture Census Data. Agriculture. 2025; 15(20):2124. https://doi.org/10.3390/agriculture15202124
Chicago/Turabian StyleLee, Tzong-Haw, Yu-You Liou, and Hung-Hao Chang. 2025. "Is Solar Panel Adoption a Win–Win Strategy for Chicken Farms? Evidence from Agriculture Census Data" Agriculture 15, no. 20: 2124. https://doi.org/10.3390/agriculture15202124
APA StyleLee, T.-H., Liou, Y.-Y., & Chang, H.-H. (2025). Is Solar Panel Adoption a Win–Win Strategy for Chicken Farms? Evidence from Agriculture Census Data. Agriculture, 15(20), 2124. https://doi.org/10.3390/agriculture15202124

