Abstract
Concerns over ground-mounted photovoltaics (PVs) on cropland have encouraged a shift toward rooftop PV systems on livestock and poultry farms. Using ex-post observational data and a doubly robust estimation approach, this study examines the determinants and economic effects of PV adoption among chicken farmers in Taiwan. Based on a population-wide agricultural census, we assess how socio-demographic factors, production practices, household composition, and electricity infrastructure influence adoption decisions. The results show that education level, household structure, and access to electricity are key drivers of adoption. PV adopters exhibit a 5.8% higher sales value of chicken products, mainly due to increased production volume rather than quality improvements. These findings highlight the potential dual benefits of integrating solar energy with poultry farming and provide policy-relevant insights for sustainable agricultural development.
1. Introduction
The growing demand for renewable energy has led to innovative uses of agricultural land for solar development, including ground-mounted photovoltaic (PV) systems. These systems can generate substantial electricity, but their expansion is often limited in areas where farmland must be prioritized for food production [,,]. In response, policies increasingly encourage rooftop PV adoptions on livestock and poultry farms. This approach maximizes the use of existing structures, promotes sustainable energy practices, and aligns renewable energy generation with agricultural production in a resource-efficient way [,].
The literature on PV and agriculture comprises three main strands, yet systematic evidence on rooftop PV adoption in livestock and poultry settings remains limited. First, agrivoltaics studies emphasize dual land use on cropland. This strand develops analytical frameworks and decision tools at the farm level [] and examines governance and policy designs that enable co-production of food and electricity [], while these contributions largely focus on open-field adoption rather than rooftop PV. Second, option-based investment approaches evaluate PV adoption under uncertainty. For example, ref. [] shows real-option advantages over NPV for projects in China, and ref. [] documents undervaluation when stochastic risks are ignored. Yet this strand typically models ground-mounted systems; it seldom distinguishes the economics of rooftop PV adoption on farm structures. Third, research on land-use conflicts assesses siting and production trade-offs. Ref. [] critiques PV placement on farmland, and [] reports mixed agronomic effects—moderate shading can preserve yields, whereas excessive shading depresses productivity. These insights are informative for ground-mounted systems but only partially map onto rooftops, which do not compete directly for cropland and may influence production through building-level thermal regulation.
A small but expanding body of research has explored rooftop PV adoption on poultry farms. Most studies are laboratory-based and focus on how PV systems mitigate heat stress in poultry [,,]. For example, ref. [] reviewed evidence showing that heat stress increases mortality and reduces feed intake, suggesting that PV-powered cooling systems can alleviate these problems. Ref. [] proposed reflective roofing materials to reduce heat absorption, while [] demonstrated that rooftop PV can help maintain the optimal thermal range of 25–33 °C, reducing bacterial activity and heat stress.
Several studies have also examined the effects of PV and shelter structures on poultry production [,,,]. Ref. [] found that chickens raised under solar-powered housing achieved higher body weights (2.35 kg per bird) compared with those raised without PV (1.75–2.0 kg). Refs. [,] reported similar gains, while [] found that PV-powered shelters improved egg hatchability from 50–70% to 74%. Although laboratory studies offer precise measurements, their results are limited in scope and context, raising concerns about external validity [,,].
Using population-based census data of chicken farms in Taiwan, this study extends previous work by addressing questions that laboratory research cannot fully answer. We investigate how farmer demographics, production practices, household structure, and access to electrical infrastructure affect PV adoption. We also examine how adoption influences farm performance—specifically, the sales value, production volume, and product quality of chicken products—and whether these effects differ by farm type. To address potential endogeneity in observational data, we apply a double residual model to obtain consistent estimates. Based on prior studies and our analytical framework, we propose the following hypotheses:
H1
(adoption): Farms with better electricity infrastructure (e.g., feeder lines), higher operator education, and larger scale are more likely to adopt PV, while older operator age is negatively associated with adoption.
H2
(effects and mechanism): PV adoption raises sales value, primarily by increasing production quantity.
H3
(heterogeneity): PV effects are stronger in sunnier regions (South ≥ Central) than in the North/East.
This study contributes to the literature in several ways. First, previous studies focus mainly on heat stress reduction, whereas we evaluate the broader economic outcomes of PV adoption, including sales revenue and productivity. Second, by using large-scale observational data, we enhance external validity compared with laboratory studies and provide insights into which types of farms are most likely to adopt PV. Third, we highlight the role of electricity infrastructure in adoption decisions—a factor that has received limited attention. Finally, Taiwan’s unique policy context, where PV-generated electricity is sold to the grid rather than used on-farm, allows us to isolate the shading and productivity effects of PV adoption and offer policy-relevant evidence for sustainable agricultural development.
2. Solar Energy Policy in Taiwan
Taiwan has actively promoted the development of the photovoltaic energy to facilitate its energy transition and increase the share of renewable energy. The government aims to achieve a cumulative installed PV capacity of 20 gigawatts (GW) by 2025 [,,]. Specific measures to achieve this goal include providing subsidies for ground-mounted systems and rooftop PV adoption [], streamlining administrative procedures for PV project approvals [], and designating specific zones for large-scale solar development [,].
Before 2020, Taiwan primarily focused on developing ground-mounted photovoltaic systems in the central and southern regions. However, the development of this mode of energy has resulted in numerous environmental problems, such as ecological degradation []. For example, it was found that PV construction significantly alters soil properties, leading to a 90% decline in soil fauna, with only partial recovery observed within one-to-two years []. The development of ground-mounted PV also requires a large amount of land which results in a competition with farm production. Given Taiwan’s limited land area and high population density—where the average farmland per household is less than one hectare [,,]—the expansion of PV adoptions often competes with agricultural and livestock production [,,]. To protect agricultural production and ensure food security, the government has implemented regulations to restrict ground-mounted PV development on farmland [,,].
Since 2020, the government has mainly supported farmers in adopting rooftop photovoltaic (PV) systems, primarily on farmhouses of livestock and poultry farms. The specific policies supporting this initiative include designating special zones for PV development and providing preferential loans for rooftop PV. For instance, seven commercial banks in Taiwan offer government-backed loans covering 80% of the construction costs for rooftop PV. These loans come with a grace period of up to ten years []. Borrowers are only required to pay interest without repaying the principal. In addition, the Ministry of Economic Affairs in Taiwan provides subsidies, allocating NT$1.02 billion (US$33.5 million) annually to ease the financial burden of farms for adopting rooftop PV. Each household receives a basic subsidy of NT$3000 (US$98.5), with a maximum of NT$30,000 (US$985.2) per project depending the content of the project [] (NT$ denotes New Taiwan dollars. For the convenience of international readers, monetary values are also converted into U.S. dollars (US$) using the exchange rate of the Bank of Taiwan in late September to early October 2025).
To provide incentives to reach this policy goal, the government has implemented a feed-in tariff (FIT) system since 2010, offering guaranteed purchase rates for 20 years to encourage investment in solar energy [,,,]. Under the FIT scheme, private parties can generate and sell PV electricity to the general grid with a higher electricity rate for twenty years. The FIT price has made usage of PV electricity quite different for Taiwan and other countries. In other countries, agricultural PV systems are typically installed on farms, with the generated electricity used to meet farm household’s energy needs [,], support smart agriculture [], and enhance farm operation []. In contrast, the FIT price in Taiwan has incentivized farmers to sell their generated PV electricity to the general grid [,,]. For example, in 2024, the standard electricity price for a residential household was NT$ 1.7–3 (US$ 0.04–0.1) per kWh [], whereas the government purchased PV electricity generated from farmers at a significantly higher rate of NT$ 4–6 (US$ 0.13–0.2) per kWh []. Therefore, nearly all of the PV electricity is sold to the general grid.
Implementing rooftop PV systems is not a straightforward task, as it requires three key conditions: eligibility, infrastructure, and an operational model. With respect to the eligibility rule of the farm to adopt rooftop PV, farms must possess a valid livestock farm registration certificate or a registration certificate for hog or chicken production. Moreover, the farm has to have received permission to build livestock facilities. Finally, hog farms must have at least 1000 pigs and chicken farms must have a minimum of 20,000 chickens to be qualified for subsidies []. With respect to the infrastructure of the farm, it requires the availability of well-developed feeder lines to transmit the PV electricity generated on farms to end users [,]. Most chicken farms in Taiwan are in rural areas with less developed infrastructure and lower feeder line density than urban regions. The feasibility of adopting rooftop PV systems depends on whether the existing feeder network is dense enough and can handle the extra load. For the operational model, employing PV systems requires the farm to deliver a detailed collaboration plan among the farm and their partners []. In addition to the self-owned cases, farmers can joint-venture with commercial solar energy enterprises. In most of the joint venture cases, the farmer provides the land and farmhouses and is in charge of farm production. The companies are then responsible for system construction, maintenance, and operation. The profits generated from solar energy production are then shared between the farmers and the private companies.
3. Materials and Methods
3.1. Data
Our sample was drawn from the 2020 Agricultural Census survey in Taiwan. This census is conducted by the Directorate-General of Budget, Accounting, and Statistics (DGBAS) every five years and surveys approximately 760,000 family farms in Taiwan []. The dataset includes various variables, such as the geographical location of the farm, the sociodemographic characteristics of the farm operator, household structure, farm production practice, and the sales value of agricultural products.
In Taiwan, there are a total of 4338 chicken farms recorded in the 2020 agricultural census. To ensure data quality and remove extreme outliers, we excluded the bottom 10% of farms with very limited production (fewer than 30 chickens per year) and the top 10% of farms with extremely large operations (more than 48,000 chickens per year). (The exclusion of the top and bottom 10% of observations is based on two considerations. (1) Approximately 6% of poultry farms reported zero production due to temporary suspension or rest periods; these cases were excluded to ensure that only active producers were analyzed. (2) The sample distribution is right-skewed, with about 7% of farms operating on a large, factory-like scale. These outliers were removed because the focus of this study is on household-based poultry farms rather than industrial operations.) After this trimming, our analytic sample includes 3482 farms, representing 80.3% of all chicken farms in Taiwan. The geographical distribution of the sample is illustrated in the left panel of Figure 1. Darker-shaded regions indicate that the majority of chicken farms are located in southwestern Taiwan. In addition, the dataset used includes different types of chicken farms, including broiler (i.e., commercially-bred meat chickens), colored broiler (i.e., traditional Taiwanese chickens), breeder, and layer chickens. Among them, colored broiler and layer chicken farms are the most prevalent, comprising 49% and 36% of the sample, respectively. In contrast, breeder chicken and broiler farms represent the smallest proportions, at only 9% and 6%.

Figure 1.
(A) The geographical distribution of chicken farms in Taiwan; (B) The geographical distribution of the PV adoption rate for chicken farms in Taiwan. Note: Both (A,B) are measured at the township level. # indicates the number. Darker-shaded regions indicate a higher quantity (or proportion) of chicken farms, while light gray areas represent regions with no chicken farms. The X-axis represents longitude, and the Y-axis represents latitude. Source is our sample drawn from DGBAS.
The dataset also contains information on farm technology adoption. Each poultry farmer was asked whether PVs were built on the rooftop of farmhouses. 16% of chicken farmers responded that they had adopted rooftop PV. The geographical distribution of PV adoption is illustrated in the right panel of Figure 1. Darker-shaded regions represent a higher proportion of chicken farms adopting PV. The results indicate that regions with a higher adoption rate are concentrated in southwestern Taiwan, which overlaps with the area where chicken farms are most prevalent.
In addition to the agriculture census survey, we collected information on feeder line density in each township. We accessed GIS maps of feeder lines from the Taiwan Power Company, and aggregated them in each township.
3.2. Variable Specification
In accordance with the information contained in the dataset and findings of prior studies [,,], we specify several variables to reflect production practices, sales revenue, production quantity and quality, and the sociodemographic characteristics of the farm operator. The dependent variables include sales revenue for chicken products of the farm, including meat, eggs, etc. This variable represents the production value of each farm. Since sales revenue is the product of production quantity and per unit price, we then define two other outcome variables which represent the number of chickens (i.e., production quantity) and sales value per chicken (i.e., production quality).
The key explanatory variable for the farm is adoption of PV, which is a binary variable indicating whether the poultry farm has adopted PV. Furthermore, we define several other variables to capture the characteristics of the farm and farm operator. Farm characteristics consist of farm size (measured by the poultry farming area), as well as indicators of different types of chickens (broilers, breeders, layers, and colored broilers). Household characteristics encompass the number of people living in the household, the male-to-female ratio of household members, and the demographic composition of the family farm. Additionally, we control for socio-demographic characteristics of the farm operator, including gender, age, and education level (primary education, junior high school, senior high school, and college or higher education). Labor allocation includes variables that measure the number of months worked by hired laborers and unpaid family members on the farm, respectively.
Finally, we define a variable to indicate the density of feeder lines in each township. This variable is defined as the number of feeder nodes per capita. We merge this variable with our census survey based on the township where each chicken farm is located.
3.3. Method
We first specify the farm revenue equation as a linear regression model and estimate it using the Ordinary Least Squares (OLS) method. The OLS model is the most popular and naïve model to explore the relationship between the outcome variable and the explanatory variables. The merit of this model is that it is easily implemented and straightforward in interpretation of the results. The sales revenue or production value equation we specified using the OLS framework is:
where represents the outcome variable (i.e., sales revenue) for the i-th chicken farm located in county j. The variable is the key binary variable indicating whether PVs are adopted on the chicken farm. The matrix includes a set of covariates that capture the characteristics of the farm and family condition (e.g., farm size, operator age, etc.). The parameters , , and are estimated using the OLS method, where is the constant term, represents the policy effect of PV adoption, is a vector indicating the coefficients for covariates, and captures county-level fixed effects. Among these parameters, our primary interest lies in , which quantifies the effect of PV adoption on sales revenue. Specifically, this parameter measures the change in farm’s sales revenue between PV adopters and non-adopters, other things being equal.
While OLS is a common approach, its estimates can be biased due to endogeneity [,]. This issue can arise if PV adoption is not randomly assigned to farms. For example, a more risk averse farmer may be less likely to adopt new technologies, such as PV. Since researchers cannot observe farmers’ risk attitude and specify this as an explanatory variable in the regression model, this unobserved factor can result in endogeneity bias. To cope with endogeneity, the instrumental variable (IV) method has been widely used, which leverages an instrumental variable to mitigate biases stemming from the treatment variable. If the IV exhibits a stronger correlation with the treatment, it generally provides a more effective solution to the endogeneity problem [,,,].
In our case, the treatment variable is the PV adoption of the farm and the outcome variable is farm’s sales revenue. The density of feeder lines serves as a good candidate for the instrumental variable based on two reasons. First, the feeder lines were built by the government so they are exogenously determined by the farmer. Second, the availability of the feeder lines is highly correlated with a farmer’s decision to use PV since it is the vehicle to transmit solar energy generated on the farm to end users [].
Although the IV model has been popular for several decades, the validity of the model relies on a linear relationship between the instrumental variable and the treatment variable—an unnecessary and strong assumption []. To address this limitation, the double residual model (DR) has been introduced []. The DR method improves the drawback of the IV model by offering greater flexibility to incorporate a polynomial term of the instrumental variable into the IV framework. In this study, we apply the DR method to estimate the sales revenue equation using both the OLS and DR models.
The estimation process of the DR model consists of two steps. In the first stage, we estimate a nonlinear function of an instrumental variable (e.g., feeder lines) on the treatment variable (i.e., adoption of PV) as well as other explanatory variables. The first stage is specified as follows:
Equation (2) is a nonlinear logistic regression model, where represents the outcome variable transformed using a logit linking function. The variable denotes the average feeder line density in the township where the chicken farm is located, while captures the nonlinear effect of feeder line density on PV adoption, which is estimated via spline regression. indicates a set of explanatory variables. The parameters , , and correspond to the constant, the effect of each covariate, county-level fixed effects, and the residual, respectively. These consistent estimates of the parameters can be obtained using the maximum likelihood estimation method (MLE).
In the second stage of the DR model, we estimate the following equation:
In Equation (3), the dependent variable, , represents the portion of a farm’s sales revenue that is solely attributable to PV adoption, which was estimated using the spline regression model suggested by []. is a flexible function of feeder line density and is the predicted term derived from Equation (2). now serves as the new treatment variable that captures the effect of PV adoption under the assumption of random assignment. The estimated policy effect, , is expected to be more accurate than the OLS result. In other words, represents the change in sales revenue between PV adopters and non-adopters, after controlling for endogeneity bias. This approach involves regressing one residual on another residual, which is why it is referred to as the double residual method (or residual-on-residual approach). The interpretations and estimation method of , , , and remain the same as in Equation (1).
4. Results
4.1. Sample Statistics of Selected Variables
The descriptive statistics of selected variables are presented in Table 1. Panels (A) and (B) display the outcome and explanatory variables, respectively. In addition to the full sample, we report the sample mean and standard deviation of each variable for PV adopters and non-adopters, respectively. As reported in Column (1) in Panel A, the average sales revenue of each farm is NT$ 5.5 million (US$ 180.7 thousand). With respect to the quantity and quality of chicken production, we find that each farm raised around 14,300 chickens per year, on average, and the average unit price is NT$ 700 (US$ 23) per chicken. Moreover, the data set includes the number of chickens for different types of chicken. Colored broilers and layer chickens are the most popular species, with an average of around 5500 and 6100 chickens per farm per year, respectively. In contrast, broilers and breeder chickens are less prevalent, with only around 2100 and 600 chickens per farm per year, respectively.

Table 1.
Sample statistics of selected variables.
The sales revenue for PV adopters is higher than that of non-adopters. Specifically, the average sales revenue for adopters and non-adopters is NT$ 9.7 million (US$ 318.3 thousand) and NT$ 4.8 million (US$ 156.7 thousand), respectively. The difference in production quantity between PV adopters and non-adopters is also substantial. On average, PV adopters raise around 21,200 chickens per year, while non-adopters raise only about 12,900.
Panel B presents the sample statistics of the explanatory variables. Columns (2) and (3) reveal that the feeder line density is higher for PV adopters (0.07) than for non-adopters (0.05). PV adoption is associated with farm size, household size, operator age, education level, and labor supply. Farm size is defined as the total area operated by the farm, measured in are. Household size is defined as the number of individuals residing in the household. On average, PV adopters are larger farms with more family members. Additionally, farm operators who adopt PV tend to be younger and better educated. The labor supply for farming is also greater among adopters compared to non-adopters. The detailed definitions of the variables are listed in Table A1 of Appendix A.
4.2. The Determinants of Sales Revenue
The estimation results of the sales revenue equations are presented in Table 2. Column (1) reports the OLS estimates from Equation (1), indicating that chicken farms adopting PV earn, on average, NT$2.20 million more in sales revenue (95% CI: 1.52–2.90), equivalent to approximately US$72.6 thousand, relative to non-adopters, holding other factors constant. The magnitude of this effect is approximately equal to 25% of the standard deviation of the sales revenue among PV non-adopters.

Table 2.
Main results of the production value equation estimated by the OLS and DR models.
Other factors are also significantly associated with sales revenue. We find that larger farms, farms with younger male operators, farms with longer working hours, and farms with layer chicken farming are more likely to adopt PV. In contrast, higher-educated farm operators and colored broiler farms are negatively related to sales revenue. Meanwhile, household size, the male ratio within the household, and breeder chicken farming do not show any significant association with sales revenue.
The results in Table 2 align with the findings of previous studies which documented that PV adoption provides shelter that can protect livestock growth [,,,]. However, the estimated 25% effect of PV adoption on farms’ sales revenue by the OLS method seems to be overestimated. Indeed, this may be an imprecise estimate due to the endogeneity issue discussed earlier. To address this potential bias, we re-estimate the effect using the DR model with the results presented in Columns (2) and (3) of Table 2.
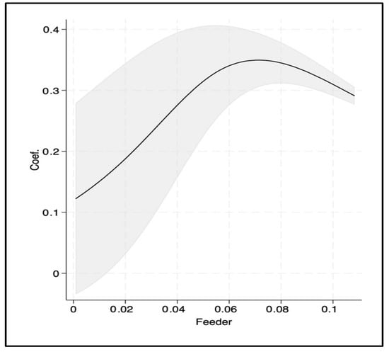
In Column (2) of Table 2, we report both the coefficients and marginal effects estimated from first stage DR model. The key advantage of the DR approach is its ability to flexibly capture the nonlinear relationship between the feeder lines (i.e., the instrumental variable) and the likelihood of PV adoption. We report the estimated relationship between these two variables in Figure 2 using the nonlinear logit model. Our findings indicate that a farmer’s probability of adopting PV increases with feeder line density, and the maximum PV adoption rate is reached when there are 0.06 feeder stations per capita in a township. The association between other explanatory variables and PV adoption is qualitatively consistent with the OLS estimates. In general, we find that larger household size, younger and more highly educated farm operators, and longer working hours have a significant positive effect on PV adoption. Conversely, a higher male ratio, breeder chicken farming, and layer chicken farming exhibit a significant negative association with PV adoption. Meanwhile, farm size, operator gender, and colored broiler farming do not show any significant effect.

Figure 2.
The nonlinear effect of feeder line on PV adoption. Note: The results are estimated by the nonlinear logit model. The coefficients are estimated using in Equation (2). The solid line is the estimate, and the gray-shaded area represents the 95% confidence interval.
The estimation results of the second-stage DR model are presented in Column (3) of Table 2. We find that adopting PV increases farm sales revenue by NT$0.51 million (95% CI: 0.29–0.78), equivalent to approximately US$16.8 thousand. This effect corresponds to 5.82% of the standard deviation of sales revenue among non-adopters. This magnitude of the effect derived from the DR model is much smaller than the OLS estimate. This result shows that ignoring endogeneity bias and using the naïve OLS model can lead to overestimated results. While the DR framework helps mitigate such bias, it cannot fully remove all potential endogeneity. We have added a brief discussion of this limitation and provided a sensitivity analysis in the robustness check (Section 4.4). Among the covariates of sales revenue, we find that farm size, younger and male operators, longer working hours, and layer chicken farms remain positively and significantly associated with sales revenue. In contrast, higher-educated farm operators and breeder chicken farms exhibit a significant negative association with the sales revenue of the farm.
We further look into the heterogeneous effect among different regions. Figure 3 illustrates the estimated effects of PV adoption on chicken farm sales revenue across different regions of Taiwan. Regional heterogeneity is evident: farms in the Southern region experience the largest gains (about 0.7), suggesting that favorable solar conditions or larger production scales may amplify the benefits of PV integration. In contrast, the South shows more modest but still positive effects, while estimates for the North are close to zero and statistically insignificant. The East exhibits a positive point estimate, though the wide confidence interval crossing zero reflects high uncertainty, likely due to the limited number of observations in this region. These regional differences may be partly attributable to geographic and climatic conditions. In particular, the Central and Southern regions of Taiwan are characterized by relatively higher temperatures. For farms in these areas, PV adoption may generate additional benefits through shading effects that mitigate heat stress on poultry, thereby enhancing productivity and sales revenue beyond the direct gains from solar electricity generation.

Figure 3.
The estimated effects of PV adoption on chicken farm sales revenue across different regions of Taiwan.
4.3. The PV Adoption on Chicken Production Quantity and Quality
We conduct two additional heterogeneity analyses to explore more insights of the main findings. Since sales revenue is the product of production quantity and unit price, the first heterogeneity analysis is conducted to further distinguish the effects of PV adoption on these two outcomes. Moreover, as previously discussed, poultry farmers operate under diverse production systems, including layer and broiler farming. In the second heterogeneity analysis, we investigate which type of poultry farming benefits the most from PV adoption.
In Panels A and B of Table 3, we report the effect of a farmer’s PV adoption on production quantity and unit price, respectively. These estimates are derived from the DR models. The results indicate that PV adopters have an approximately 8.9% larger production quantity and a 0.7% lower unit price compared to non-adopters, other things being equal. However, the latter is not statistically significant. This result points out the evidence that the increase in production value of PV adoption is mainly driven by the increase in production quantity but not the unit price.

Table 3.
The estimated effect of PV adoption on farm production and unit price using the DR (doubly residual) model.
Panel C of Table 3 examines the effect of PV adoption on chicken production level by type of chicken. The results indicate that only colored broiler production experiences a significant increase in production quantity, with the magnitude of the effect equal to 7.9%, while no significant associations are found among commercial broilers, layer chickens, or breeder chicken farms. Figure 4 summarizes these results with confidence intervals and provides a comparison with the overall effect reported in Panel A.

Figure 4.
The estimated effects of PV adoption on production quantity across different main products.
The heterogeneity analysis results can be summarized as follows:
- Farms in the Southern region show the largest sales gains (~0.7), while effects in the Central region are smaller but still positive. The North shows near-zero effects, and the East has high uncertainty due to few observations.
- The increase in revenue mainly comes from higher production quantity (+8.9%), not from unit price changes (−0.7%, insignificant).
- Only colored broiler farms show a significant increase in production (~7.9%), while other types show no significant effects.
4.4. Robustness Check
Since the identification strategy relies on the exogenous variable “feeder line,” it is necessary to test the plausibility of this assumption. Because the exogeneity restriction cannot be directly tested, the IV literature often employs simulation-based approaches to verify whether potential violations of the exclusion restriction threaten the robustness of the estimates. Following ref. [], we adopt the Local-to-Zero (LTZ) approach as a plausible-IV analysis to assess the sensitivity of our estimates. In simple terms, the logic of this sensitivity analysis is to relax the exclusion restriction gradually and observe how the estimated coefficients respond. If the estimates shift substantially or become statistically insignificant (e.g., include zero) as the restriction is relaxed, it suggests that the DR model may not be valid. Conversely, if the estimates remain stable and significant, this indicates the robustness of the identification strategy. Figure 5 presents the results of this exercise. The solid blue line shows the point estimate of the treatment effect under varying degrees of relaxation of the exclusion restriction, while the dashed lines indicate the corresponding 95% confidence intervals. As δ increases from 0 to 0.8, the estimated effect gradually declines but remains positive and statistically distinguishable from zero within the reported range. This suggests that even under moderate departures from the strict exogeneity assumption, our main findings are robust and the estimated benefits of PV adoption on sales revenue remain economically meaningful.

Figure 5.
The estimated results of Local-to-Zero approach []. Note: The X-axis, δ, is the degree of relaxation of the exclusion restriction. Y-axis shows the estimated treatment effect of PV adoption on farm sales revenue under different values of δ.
5. Discussion and Policy Implications
5.1. Discussion
Perhaps the most interesting and important finding is the positive association between a farmer’s PV adoption and the sales revenue of chicken farms. This result is very supportive for the government to redesign agrivoltaics policy to merge the PV farm with the traditional working farm. In the initial stage of the agrivoltaics policy, ground mount-type PVs were promoted and implemented on cropland. This policy choice was instituted since a larger amount of cropland can generate more solar energy and farms can enjoy economies of scale. However, this business model has received a lot of criticism. For example, crop production is seriously damaged due to a shortage of sunlight. In addition, it reduces the biodiversity and environmental quality of the area near PV []. Our study provides a successful case for the agrivoltaics model on chicken farms. That is, using PV on chicken farms can increase the sales revenue of the farm, which creates a win–win scenario for participating farms.
We find that the increased effect on farms’ sales revenue of PV adoption is attributed to the increase in production quantity, not quality. This finding echoes the results of previous studies which have examined how PV adoption might enhance agricultural production based on experimental lab evidence. For instance, ref. [] reported that chickens raised under shaded conditions exhibited a 10% increase in body weight. Ref. [] reported body weight increases of 5% under PV shelters. Similar evidence has been found for livestock farms as well. For example, ref. [] evaluated the use of grid-connected PV systems on dairy farms and reported an 8% increase in milk production with PV adoption.
Why does PV adoption increase animal production? Findings from previous studies can be used to support our findings. For example, it has been found that PVs reduce skin temperature in sheep and Holstein heifers [,]. In other words, PV adoption can create a more comfortable production environment. Similarly, PV can provide cooler microclimates for animals by lowering air temperature and thermal radiation [,]. Evidence has also been found that PV can reduce the mortality rate of chickens, which results from decreasing the possibility of heat stress in a shelter [].
Interestingly, we also find that the increase in quantity is observed only in colored broiler chicken farms. This may reflect the fact that colored broiler chickens are a traditional Taiwanese breed that has not undergone genetic modification and, therefore, requires better care and shading. Ref. [] also mentions that the heat-tolerance gene is inadequate for this type of chicken. Consequently, PV could serve as shelters, providing improved protection for these chickens. As for the other three types of poultry—breeders, layers, and broilers—the effects differ. Breeders and layers have higher economic value and are typically housed in well-protected facilities [,], meaning that the additional shading effect of PV does not significantly enhance production. Meanwhile, broilers have already undergone genetic modification [,], making them less reliant on additional shading or protective measures. Consequently, the adoption of PV does not substantially contribute to increased production for these types of poultry.
Electricity infrastructure is also a crucial factor in PV adoption. Although previous studies have examined the role of feeder lines in PV adoption [,]. Most of the studies may have overlooked the positive effect of feeder line density on PV adoption. In contrast to these studies, we find a nonlinear relationship between feeder line density and the likelihood that a farmer adopts PV. In other words, our evidence shows that a higher density of feeder lines does not necessarily lead to higher adoption rates. This finding provides a valuable policy insight for selecting designated zones for PV deployment, particularly in rural areas with underdeveloped infrastructure.
In the first stage of the DR model, we analyze the characteristics of farmers who are more likely to adopt PV systems. The results indicate that chicken farms located in townships with a higher density of feeder lines, larger farms, farms with more family members, and farms which allocate more labor to production are more likely to adopt PV. Furthermore, farms operated by younger, better-educated women exhibit a higher likelihood of PV adoption. This aligns with previous research on technology adoption on farms, which often finds that larger farms and more highly educated farmers are more capable of undertaking technological reforms [,]. The policy implications of these findings should be interpreted with caution. If governments aim to promote PV as part of expanding green energy, our results suggest that policy efforts could consider strengthening education and targeting subsidies toward small-scale farms, particularly when resources for subsidies are constrained. Future research in other agricultural and policy contexts would be valuable to assess whether similar strategies are effective across different settings.
The primary reason for employing the DR model is to mitigate endogeneity bias. Many previous studies on farm household economics have addressed this issue using similar methodologies [,,]. Our results also demonstrate that failing to account for endogeneity leads to substantial differences in estimated effects. Specifically, the OLS estimate suggests a 25% increase in sales revenue, whereas the DR model yields a 5.82% increase in the value of chicken production, indicating that OLS may significantly overestimate the effect of PV on chicken production. Our finding for the DR method is more consistent with evidence from experimental studies. For example, ref. [] showed that the biomass of lettuce would increase by 13~15% with protection from PV. It has been reported that chickens raised under shaded conditions exhibited a 10% increase in body weight under PV shelters [].
5.2. Policy Implications
Our research findings provide useful implications to East Asian countries. For example, Japan and South Korea have adopted supportive yet restrictive measures for agrivoltaics. Japan institutionalized “solar sharing” in 2013, requiring farmers to sustain at least 80% of crop yields, limit shading, and maintain machinery access, with later amendments tightening enforcement but constraining scale and profitability. South Korea initiated pilot projects in 2017 under the Renewable Energy 3020 plan, extending permit terms from 8 to 23 years in 2024 to align with PV lifespans, though strict land-use and setback rules continue to limit expansion. Building on these lessons, our study suggests that shading benefits may offer a potential win–win strategy for integrating PV into the poultry sector in East Asia.
Whether agrivoltaics can achieve a win–win outcome depends largely on the extent to which PV structures function as shelters that mitigate heat stress. In our study, the revenue effects of PV adoption are less evident in northern regions but more pronounced in southern areas, where higher ambient temperatures may amplify the benefits of shading. Although we lack direct farm-level measurements of the microclimatic effects under PV shelters, existing literature highlights plausible mechanisms. Poultry production is particularly sensitive to heat, as elevated temperatures disrupt metabolic processes, reduce feed intake, slow growth rates []. Thus, effective temperature management is critical for sustaining poultry health and maximizing productivity [,]. In this regard, PV adoptions themselves serve as physical structures that intercept solar radiation, providing shade and thereby protecting poultry from direct sunlight exposure.
6. Conclusions and Limitation
6.1. Conclusions
This study quantifies the effect of PV adoption on the production value of chicken farms. In contrast to previous evidence derived from lab experiments, we conduct an observational analysis using the population of chicken farms in Taiwan derived from the agriculture census survey. We find that the difference in farm production value between adopters and non-adopters is approximately 6%. Moreover, chicken farms located in townships with denser feeder lines, larger farms, farms with more family members, and farms with a greater allocation of labor are more likely to adopt PV. Furthermore, farms operated by younger, better-educated women exhibit a higher likelihood of adopting PV. We also find a nonlinear relationship between feeder line density and the likelihood of adopting PV.
6.2. Limitation
Our study has some limitations. First, the construction of PV can protect poultry from direct sunlight and lower indoor temperatures, but we are unable to obtain meteorological data for each individual chicken farm. This limitation prevents us from directly observing temperature variations in the environments where chickens are raised with or without PV. Second, while many studies have analyzed the reduction in electricity costs following the adoption of PV, our research focuses solely on whether PV increase poultry production, specifically in terms of sales revenue from poultry products. We could not directly examine the amount of electricity generated by PV, as we lack access to individual chicken farms’ sales records for electricity. Third, while our analysis controls for a wide range of observable farm and household characteristics, we acknowledge that unmeasured factors such as prior investment decisions or access to credit could also influence both PV adoption and farm outcomes. To address this concern, we conducted robustness checks of plausible IVs. The results indicate that our main findings remain consistent even under moderate relaxations of the exogeneity assumption. Finally, the generalizability of our results may be context-specific. Because our analysis is based on chicken farms in Taiwan, the findings are most directly relevant to regions with similar agricultural practices and climatic conditions in Asia. Future research could explicitly incorporate meteorological variables and temperature dynamics to better understand the role of heat stress reduction in mediating the effects of PV adoption on farm outcomes. Despite these limitations, this study provides an analytical framework to examine PV adoption and farm production.
Author Contributions
T.-H.L.: Conceptualization, methodology, formal analysis, original draft preparation. Y.-Y.L.: Conceptualization, methodology, software, formal analysis, original draft preparation. H.-H.C.: data curation, writing—original draft preparation, supervision. All authors have read and agreed to the published version of the manuscript.
Funding
This research received no external funding.
Institutional Review Board Statement
Not applicable.
Data Availability Statement
Data and codes used in the empirical analysis can be available from the authors upon request.
Acknowledgments
The authors thank the Directorate-General of Budget, Accounting, and Statistics for access to the individual farm data. The findings of this paper only reflect the views of the authors, but not the agency. The authors are responsible for any errors.
Conflicts of Interest
The authors declare no conflicts of interest.
Appendix A

Table A1.
Variable definitions, units, and coding.
Table A1.
Variable definitions, units, and coding.
Variable | Definition/Operationalization | Unit | Coding |
---|---|---|---|
Panel A. Production performance | |||
Production value | Value of chicken products sold annually | NT$ million | Continuous |
Unit price | Average unit price per chicken | NT$1000 per chicken | Continuous |
Production quantity_all | Total production of chickens (all types) | 1000 chickens | Continuous |
Production quantity_broiler | Number of broilers produced | 1000 chickens | Continuous |
Production quantity_colored broiler | Number of colored broilers produced | 1000 chickens | Continuous |
Production quantity_breeder | Number of breeders produced | 1000 chickens | Continuous |
Production quantity_layer | Number of layers produced | 1000 chickens | Continuous |
Panel B. Explanatory variables | |||
PV adoption | Whether the household adopted solar panels | – | Dummy (1 = yes, 0 = no) |
Feeder lines | Number of feeder stations per capita | Per capita | Continuous |
Farmland size | Area of farmland operated by the household | Are (1 are = 100 m2) | Continuous |
Household size | Number of individuals residing in the household | Persons | Continuous |
Male household ratio | Proportion of male members in the household | Ratio (0–1) | Continuous |
Male operator | Whether the farm operator is male | – | Dummy (1 = male, 0 = female) |
Operator age | Age of the farm operator | Years | Continuous |
Elementary operator | Operator completed only elementary education | – | Dummy (1 = yes, 0 = no, ref. group) |
Junior operator | Operator completed junior high school | – | Dummy (1 = yes, 0 = no) |
Senior operator | Operator completed senior high school | – | Dummy (1 = yes, 0 = no) |
College operator | Operator completed college or above | – | Dummy (1 = yes, 0 = no) |
Employee labor | Hired labor input | Months per year | Continuous |
Household labor | Household labor input | Months per year | Continuous |
Broiler farm | Whether the farm raises broilers | – | Dummy (1 = yes, 0 = no) |
Colored broiler farm | Whether the farm raises colored broilers | – | Dummy (1 = yes, 0 = no) |
Breeder farm | Whether the farm raises breeders | – | Dummy (1 = yes, 0 = no) |
Layer farm | Whether the farm raises layers | – | Dummy (1 = yes, 0 = no) |
References
- Guerin, T.F. Impacts and opportunities from large-scale solar photovoltaic (PV) electricity generation on agricultural production. Environ. Qual. Manag. 2019, 28, 7–14. [Google Scholar] [CrossRef]
- Ascensao, F.; Chozas, S.; Serrano, H.; Branquinho, C. Mapping potential conflicts between photovoltaic installations and biodiversity conservation. Biol. Conserv. 2023, 287, 110331. [Google Scholar] [CrossRef]
- Turnley, J.W.; Grant, A.; Schull, V.Z.; Cammarano, D.; Sesmero, J.; Agrawal, R. The viability of photovoltaics on agricultural land: Can PV solve the food vs fuel debate? J. Clean. Prod. 2024, 469, 143191. [Google Scholar] [CrossRef]
- Khodadadi, M.; Masoumi, A. Recent drying technologies used for drying poultry litter (principles, advantages and disadvantages): A comprehensive review. Poult. Sci. 2025, 104, 104677. [Google Scholar] [CrossRef]
- Bist, R.B.; Bist, K.; Poudel, S.; Subedi, D.; Yang, X.; Paneru, B.; Mani, S.; Wang, D.; Chai, L. Sustainable poultry farming practices: A critical review of current strategies and future prospects. Poult. Sci. 2024, 103, 104295. [Google Scholar] [CrossRef] [PubMed]
- Feuerbacher, A.; Laub, M.; Högy, P.; Lippert, C.; Pataczek, L.; Schindele, S.; Wieck, C.; Zikeli, S. An analytical framework to estimate the economics and adoption potential of dual land-use systems: The case of agrivoltaics. Agric. Syst. 2021, 192, 103193. [Google Scholar] [CrossRef]
- Pascaris, A.S.; Schelly, C.; Burnham, L.; Pearce, J.M. Integrating solar energy with agriculture: Industry perspectives on the market, community, and socio-political dimensions of agrivoltaics. Energy Res. Soc. Sci. 2021, 75, 102023. [Google Scholar] [CrossRef]
- Zhang, M.; Zhou, D.; Zhou, P. A real option model for renewable energy policy evaluation with application to solar PV power generation in China. Renew. Sustain. Energy Rev. 2014, 40, 944–955. [Google Scholar] [CrossRef]
- Penizzotto, F.; Pringles, R.; Olsina, F. Real options valuation of photovoltaic power investments in existing buildings. Renew. Sustain. Energy Rev. 2019, 114, 109308. [Google Scholar] [CrossRef]
- Sacchelli, S.; Garegnani, G.; Geri, F.; Grilli, G.; Paletto, A.; Zambelli, P.; Ciolli, M.; Vettorato, D. Trade-off between photovoltaic systems installation and agricultural practices on arable lands: An environmental and socio-economic impact analysis for Italy. Land Use Pol. 2016, 56, 90–99. [Google Scholar] [CrossRef]
- Touil, S.; Richa, A.; Fizir, M.; Bingwa, B. Shading effect of photovoltaic panels on horticulture crops production: A mini review. Rev. Environ. Sci. Bio/Technol. 2021, 20, 281–296. [Google Scholar] [CrossRef]
- Cui, Y.; Theo, E.; Gurler, T.; Su, Y.; Saffa, R. A comprehensive review on renewable and sustainable heating systems for poultry farming. Int. J. Low-Carbon Technol. 2020, 15, 121–142. [Google Scholar] [CrossRef]
- Fisinin, V.I.; Kavtarashvili, A.S. Heat stress in poultry. II. Methods and techniques for prevention and alleviation. Сельскoхoзяйственная биoлoгия 2015, 50, 431–443. [Google Scholar] [CrossRef]
- Fahmy, F.H.; Farghally, H.M.; Ahmed, N.M. Photovoltaic-biomass gasifier hybrid energy system for poultry house. Int. J. Mod. Eng. Res. (IJMER) 2014, 4, 51–62. [Google Scholar]
- Gad, S.; El-Shazly, M.A.; Wasfy, K.I.; Awny, A. Utilization of solar energy and climate control systems for enhancing poultry houses productivity. Renew. Energy 2020, 154, 278–289. [Google Scholar] [CrossRef]
- Santos, M.; Pandorfi, H.; Rabello, C.; Silva, E.; Torres, T.; Santos, P.; Morril, W.; Duarte, N. Performance of free-range chickens reared in production modules enriched with shade net and perches. Braz. J. Poult. Sci. 2014, 16, 19–27. [Google Scholar] [CrossRef]
- Gurler, T.; Elmer, T.; Cui, Y.; Omer, S.; Riffat, S. Experimental investigation of a novel PVt/heat pump system for energy-efficient poultry houses. Int. J. Low-Carbon Technol. 2018, 13, 404–413. [Google Scholar] [CrossRef]
- Okonkwo, W.I.; Chukwuezie, O.C. Characterization of a photovoltaic powered poultry egg incubator. In 4th International Conference on Agriculture and Animal Science; IACSIT Press: Singapore, 2012; Volume 10. [Google Scholar]
- Slack, M.K.; Draugalis, J.R., Jr. Establishing the internal and external validity of experimental studies. Am. J. Health-Syst. Pharm. 2001, 58, 2173–2181. [Google Scholar] [CrossRef]
- McDermott, R. Internal and external validity. In Cambridge Handbook of Experimental Political Science; Cambridge University Press: Cambridge, UK, 2011; Volume 27. [Google Scholar]
- Bracht, G.H.; Glass, G.V. The external validity of experiments. Am. Educ. Res. J. 1968, 5, 437–447. [Google Scholar] [CrossRef]
- Min, J.Y. Green Power and Agriculture in Taiwan. CPC Agricultural Knowledge Market Place. 2022. Available online: https://akmp.cpc.org.tw/en/post/contents/523 (accessed on 1 June 2025).
- Wu, H.H. Balancing Renewable Energy Development and Agriculture Policy. Agricultural Policy Platform, Food and Fertilizer Technology Center for the Asian and Pacific Region. 2023. Available online: https://ap.fftc.org.tw/article/3459 (accessed on 1 June 2025).
- McCatherin, J.; Wang, J.; Huang, W. Taiwan’s Energy Transition Outlook for 2025. EUROVIEW. 2025. Available online: https://euroview.ecct.com.tw/category-inside.php?id=2247 (accessed on 1 June 2025).
- Liu, M.Y.; Lin, D. A case study of green energy roofs in Taiwan using financial analyses. Int. J. Financ. Bank. Stud. 2021, 10, 12–20. [Google Scholar] [CrossRef]
- Tsai, W.T. Feed-in tariff promotion and innovative measures for renewable electricity: Taiwan case analysis. Renew. Sustain. Energy Rev. 2014, 40, 1126–1132. [Google Scholar] [CrossRef]
- Chang, M.C.; Hu, J.L.; Han, T.F. An analysis of a feed-in tariff in Taiwan’s electricity market. Int. J. Electr. Power Energy Syst. 2013, 44, 916–920. [Google Scholar] [CrossRef]
- You, H.-J.; Huang, C.-J.; Liang, T.-W. The impact of agricultural ground-mounted solar photovoltaics on rural communities and the ecological environment, and corresponding strategies. Rural Dev. 2023, 24, 1–15. (In Chinese) [Google Scholar]
- Center for Interdisciplinary Research on Ecology Sustainability (CIRES) (2023) Environmental Impact of Photovoltaic Systems in Taiwan, C.I.R.E.S. Available online: https://www.cires-taiwan.org/about-9 (accessed on 1 June 2025).
- Lee, H.J. Comprehensive Agricultural Policies of Taiwan. Food and Fertilizer Technology Center for the Asian and Pacific Region. 2013. Available online: https://ap.fftc.org.tw/article/490 (accessed on 1 June 2025).
- Yang, M.H. Policy Analysis of Implementation on “Small Landlord Big Tenant” in Taiwan. Food and Fertilizer Technology Center for the Asian and Pacific Region. 2015. Available online: https://ap.fftc.org.tw/article/854 (accessed on 1 June 2025).
- Ministry of Agriculture, Taiwan. Overview of Agriculture in Taiwan. 2017. Available online: https://eng.moa.gov.tw/ws.php?id=9501 (accessed on 1 June 2025).
- Tsai, C.S. Crops, Houses, or Panels? The Land-Use Conversions of Taiwan Farmland. Taiwan Insight. 2022. Available online: https://taiwaninsight.org/2022/02/10/crops-houses-or-panels-the-land-use-conversions-of-taiwan-farmland/ (accessed on 1 June 2025).
- IMARC. Taiwan Solar Photovoltaic (PV) Market Report by Type (Thin Film, Multi-Si, Mono-Si), Grid Type (On-Grid, Off-Grid), Deployment (Ground-mounted, Rooftop Solar), End User (Residential, Commercial, Utility), and Region 2025–2033. 2024. Available online: https://www.imarcgroup.com/taiwan-solar-photovoltaic-market (accessed on 1 June 2025).
- Chang, H.H.; Lin, T.C. Solar farm policy and farmland price–A land zoning perspective. J. Environ. Manag. 2023, 344, 118454. [Google Scholar] [CrossRef]
- Solar Power. Solar Loan Programs in Taiwan. 2024. Available online: https://solarpower.tw/solar-loan/ (accessed on 1 June 2025).
- Executive Yuan. Accelerated Plan for Installing Solar Photovoltaic Systems on Residential Rooftops. Executive Yuan, Republic of China (Taiwan). 2024. Available online: https://www.ey.gov.tw/Page/5A8A0CB5B41DA11E/00d92110-3049-44ee-9382-6988a4b2436d (accessed on 1 June 2025).
- Huang, Y.H.; Wu, J.H. Assessment of the feed-in tariff mechanism for renewable energies in Taiwan. Energy Policy 2011, 39, 8106–8115. [Google Scholar] [CrossRef]
- Lin, J.X.; Wen, P.L.; Feng, C.C.; Lin, S.M.; Ko, F.K. Policy target, feed-in tariff, and technological progress of PV in Taiwan. Renew. Sustain. Energy Rev. 2014, 39, 628–639. [Google Scholar] [CrossRef]
- Ghiassi-Farrokhfal, Y.; Kazhamiaka, F.; Rosenberg, C.; Keshav, S. Optimal design of solar PV farms with storage. IEEE Trans. Sustain. Energy 2015, 6, 1586–1593. [Google Scholar] [CrossRef]
- Akeyo, O.M.; Rallabandi, V.; Jewell, N.; Ionel, D.M. The design and analysis of large solar PV farm configurations with DC-connected battery systems. IEEE Trans. Ind. Appl. 2020, 56, 2903–2912. [Google Scholar] [CrossRef]
- Varma, R.K.; Siavashi, E.M. Enhancement of solar farm connectivity with smart PV inverter PV-STATCOM. IEEE Trans. Sustain. Energy 2018, 10, 1161–1171. [Google Scholar] [CrossRef]
- Gorjian, S.; Singh, R.; Shukla, A.; Mazhar, A.R. On-farm applications of solar PV systems. In Photovoltaic Solar Energy Conversion; Academic Press: Cambridge, MA, USA, 2020; pp. 147–190. [Google Scholar]
- Taiwan Power Company. Electricity Tariff Tables and Calculation Examples; Taiwan Power Company: Taipei City, Taiwan, 2024. [Google Scholar]
- Ministry of Economic Affairs, Taiwan. Renewable Energy Development Regulations. Bureau of Energy, Ministry of Economic Affairs. 2024. Available online: https://www.moeaea.gov.tw/ecw/populace/Law/Content.aspx?menu_id=26351 (accessed on 1 June 2025).
- Kaohsiung City Government. Subsidy Program for the Renovation of Solar-Powered Livestock and Poultry Farms. 2024. Available online: https://orgws.kcg.gov.tw/001/KcgOrgUploadFiles/286/relfile/68007/126881/21758446-0ac8-4529-a219-e737b368a22f.pdf (accessed on 1 June 2025).
- SEMI. Solar Photovoltaic Public Policy Recommendations; SEMI: Taipei, Taiwan, 2023. [Google Scholar]
- DGBAS. Comprehensive Report on the 2020 Census of Agriculture, Forestry, Fishery and Animal Husbandry. 2022. Available online: https://www.stat.gov.tw/News_Content.aspx?Create=1&n=2763&state=1327FD6AD8DCDA52&s=231576&ccms_cs=1&sms=11069 (accessed on 1 June 2025).
- Chang, H.H.; Mishra, A.K.; Lee, T.H. A supply-side analysis of agritourism: Evidence from farm-level agriculture census data in Taiwan. Aust. J. Agric. Resour. Econ. 2019, 63, 521–548. [Google Scholar] [CrossRef]
- Lin, L.; Chang, H.H. Does agro-processing adoption affect farm income and farm diversification? Empirical evidence from Taiwan. J. Agribus. Dev. Emerg. Econ. 2021, 11, 567–577. [Google Scholar] [CrossRef]
- Lee, B.; Liu, J.Y.; Chang, H.H. The choice of marketing channel and farm profitability: Empirical evidence from small farmers. Agribusiness 2020, 36, 402–421. [Google Scholar] [CrossRef]
- Adepoju, A.A.; Oni, O.A. Investigating endogeneity effects of social capital on household welfare in Nigeria: A control function approach. Q. J. Int. Agric. 2012, 51, 73–96. [Google Scholar]
- Komolafe, J.O. Endogeneity Test of Seed on Yield in Nigeria. Turk. J. Agric.-Food Sci. Technol. 2023, 11, 1116–1121. [Google Scholar] [CrossRef]
- Angrist, J.D.; Pischke, J.S. Mostly Harmless Econometrics: An Empiricist’s Companion; Princeton University Press: Princeton, NJ, USA, 2009. [Google Scholar]
- Heckman, J.J.; Vytlacil, E. Structural equations, treatment effects, and econometric policy evaluation 1. Econometrica 2005, 73, 669–738. [Google Scholar] [CrossRef]
- Wooldridge, J.M. Introductory Econometrics: A Modern Approach, 6th ed.; Cengage Learning: Boston, MA, USA, 2016. [Google Scholar]
- Robinson, P.M. Root-N-consistent semiparametric regression. Econometrica 1988, 56, 931–954. [Google Scholar] [CrossRef]
- Verardi, V.; Debarsy, N. Robinson’s square root of N consistent semiparametric regression estimator in Stata. Stata J. 2012, 12, 726–735. [Google Scholar] [CrossRef]
- Bey, M.; Hamidat, A.; Benyoucef, B.; Nacer, T. Viability study of the use of grid connected photovoltaic system in agriculture: Case of Algerian dairy farms. Renew. Sustain. Energy Rev. 2016, 63, 333–345. [Google Scholar] [CrossRef]
- Faria, A.F.P.; Maia, A.S.; Moura, G.A.; Fonsêca, V.F.; Nascimento, S.T.; Milan, H.F.; Gebremedhin, K.G. Use of solar panels for shade for Holstein heifers. Animals 2023, 13, 329. [Google Scholar] [CrossRef]
- Adeh, E.H.; Selker, J.S.; Higgins, C.W. Remarkable agrivoltaic influence on soil moisture, micrometeorology and water-use efficiency. PLoS ONE 2018, 13, e0203256. [Google Scholar]
- Maia, A.S.C.; de Andrade Culhari, E.; Fonsêca, V.D.F.C.; Milan, H.F.M.; Gebremedhin, K.G. Photovoltaic panels as shading resources for livestock. J. Clean Prod. 2020, 258, 120551. [Google Scholar] [CrossRef]
- Conley, T.G.; Hansen, C.B.; Rossi, P.E. Plausibly exogenous. Rev. Econ. Stat. 2012, 94, 260–272. [Google Scholar] [CrossRef]
- Neto, R.D.C.S.; Berchin, I.I.; Magtoto, M.; Berchin, S.; Xavier, W.G.; de Andrade, J.B.S.O. An integrative approach for the water-energy-food nexus in beef cattle production: A simulation of the proposed model to Brazil. J. Clean. Prod. 2018, 204, 1108–1123. [Google Scholar] [CrossRef]
- Liang, H.M.; Chang, T.C.; Lin, D.Y.; Yang, K.T.; Cheng, F.Y. A comparative study of acute heat tolerance and meat quality in three chicken breeds. Anim. Sci. J. 2022, 93, e13722. [Google Scholar] [CrossRef]
- Wakabayashi, Y.; Takemoto, K.; Iwasaki, S.; Yajima, T.; Kido, A.; Yamauchi, A.; Kuroiwa, K.; Kumai, Y.; Yoshihara, S.; Tokumoto, H.; et al. Isolation and characterization of Staphylococcus argenteus strains from retail foods and slaughterhouses in Japan. Int. J. Food Microbiol. 2022, 363, 109503. [Google Scholar] [CrossRef]
- Underwood, G.; Andrews, D.; Phung, T. Advances in genetic selection and breeder practice improve commercial layer hen welfare. Anim. Prod. Sci. 2021, 61, 856–866. [Google Scholar] [CrossRef]
- Hartcher, K.M.; Lum, H.K. Genetic selection of broilers and welfare consequences: A review. World’s Poult. Sci. J. 2020, 76, 154–167. [Google Scholar] [CrossRef]
- Zou, M.; Ma, P.P.; Liu, W.S.; Liang, X.; Li, X.Y.; Li, Y.Z.; Liu, B.T. Prevalence and antibiotic resistance characteristics of extraintestinal pathogenic Escherichia coli among healthy chickens from farms and live poultry markets in China. Animals 2021, 11, 1112. [Google Scholar] [CrossRef]
- Sharma, D.K.; Sharma, D.; Ali, A.H.H. A state of the art on solar-powered vapor absorption cooling systems integrated with thermal energy storage. Environ. Sci. Pollut. Res. 2020, 27, 158–189. [Google Scholar] [CrossRef]
- Gandhi, O.; Kumar, D.S.; Rodríguez-Gallegos, C.D.; Srinivasan, D. Review of power system impacts at high PV penetration Part I: Factors limiting PV penetration. Sol. Energy 2020, 210, 181–201. [Google Scholar] [CrossRef]
- Massresha, S.E.; Lema, T.Z.; Neway, M.M.; Degu, W.A. Perception and determinants of agricultural technology adoption in north shoa zone, Amhara regional state, Ethiopia. Cogent Econ. Financ. 2021, 9, 1956774. [Google Scholar] [CrossRef]
- Zheng, Y.Y.; Wei, J.I.A. Does Internet use promote the adoption of agricultural technology? Evidence from 1 449 farm households in 14 Chinese provinces. J. Integr. Agric. 2022, 21, 282–292. [Google Scholar] [CrossRef]
- Daniel, D.; Pande, S.; Rietveld, L. Endogeneity in water use behaviour across case studies of household water treatment adoption in developing countries. World Dev. Perspect. 2022, 25, 100385. [Google Scholar] [CrossRef]
- Cawley, A.; O’Donoghue, C.; Heanue, K.; Hilliard, R.; Sheehan, M. The impact of extension services on farm-level income: An instrumental variable approach to combat endogeneity concerns. Appl. Econ. Perspect. Policy 2018, 40, 585–612. [Google Scholar] [CrossRef]
- Lien, G.; Kumbhakar, S.C.; Alem, H. Endogeneity, heterogeneity, and determinants of inefficiency in Norwegian crop-producing farms. Int. J. Prod. Econ. 2018, 201, 53–61. [Google Scholar] [CrossRef]
- Valle, B.; Simonneau, T.; Sourd, F.; Pechier, P.; Hamard, P.; Frisson, T.; Ryckewaert, M.; Christophe, A. Increasing the total productivity of a land by combining mobile photovoltaic panels and food crops. Appl. Energy 2017, 206, 1495–1507. [Google Scholar] [CrossRef]
- Song, D.J.; King, A.J. Effects of heat stress on broiler meat quality. World’s Poult. Sci. J. 2015, 71, 701–709. [Google Scholar] [CrossRef]
- Khokhar, S.G.; Min, Q.; Chu, X. Electricity crisis and energy efficiency to poultry production in Pakistan. World’s Poult. Sci. J. 2015, 71, 539–546. [Google Scholar] [CrossRef]
- Goel, A. Heat stress management in poultry. J. Anim. Physiol. Anim. Nutr. 2021, 105, 1136–1145. [Google Scholar] [CrossRef] [PubMed]
Disclaimer/Publisher’s Note: The statements, opinions and data contained in all publications are solely those of the individual author(s) and contributor(s) and not of MDPI and/or the editor(s). MDPI and/or the editor(s) disclaim responsibility for any injury to people or property resulting from any ideas, methods, instructions or products referred to in the content. |
© 2025 by the authors. Licensee MDPI, Basel, Switzerland. This article is an open access article distributed under the terms and conditions of the Creative Commons Attribution (CC BY) license (https://creativecommons.org/licenses/by/4.0/).