A Novel Hydraulic Interconnection Design and Sliding Mode Synchronization Control of Leveling System for Crawler Work Machine
Abstract
1. Introduction
2. Materials and Methods
2.1. Design of the Omnidirectional Leveling System
2.1.1. Design Scheme and Working Principle
2.1.2. Design of Hydraulic Interconnection Circuit
- Raising the right side for horizontal leveling: motor starts → hydraulic pump operates → electromagnetic proportional valves HDC1 and HDC2 actuate → hydraulic cylinders HL1 and HL2 (rod chambers fill, rodless chambers empty) → hydraulic cylinders HR1 and HR2 (rodless chambers fill, rod chambers empty) → oil source system.
- Raising the left side for horizontal leveling: motor starts → hydraulic pump operates → electromagnetic proportional valves HDC1 and HDC2 actuate → hydraulic cylinders HR1 and HR2 (rod chambers fill, rodless chambers empty) → hydraulic cylinders HL1 and HL2 (rodless chambers fill, rod chambers empty) → oil source system.
- Raising the right side for longitudinal leveling: motor starts → hydraulic pump operates → electromagnetic proportional valve ZDC actuates → hydraulic cylinder ZL (rod chamber fills, rodless chamber empties) → hydraulic cylinder ZR (rodless chamber fills, rod chamber empties) → oil source system.
- Raising the left side for longitudinal leveling: motor starts → hydraulic pump operates → electromagnetic proportional valve ZDC actuates → hydraulic cylinder ZR (rod chambers fill, rodless chambers empty) → hydraulic cylinder ZL (rodless chambers fill, rod chambers empty) → oil source system.
2.1.3. Hydraulic Interconnected Leveling System Model Establishment
2.2. Design of Synchronization Control Strategy
2.2.1. Mathematical Model of Omnidirectional Leveling System
2.2.2. Design of Nonlinear Disturbance Observer
2.2.3. Sliding Mode Synchronous Controller Design Based on Disturbance Observer
3. Results and Discussion
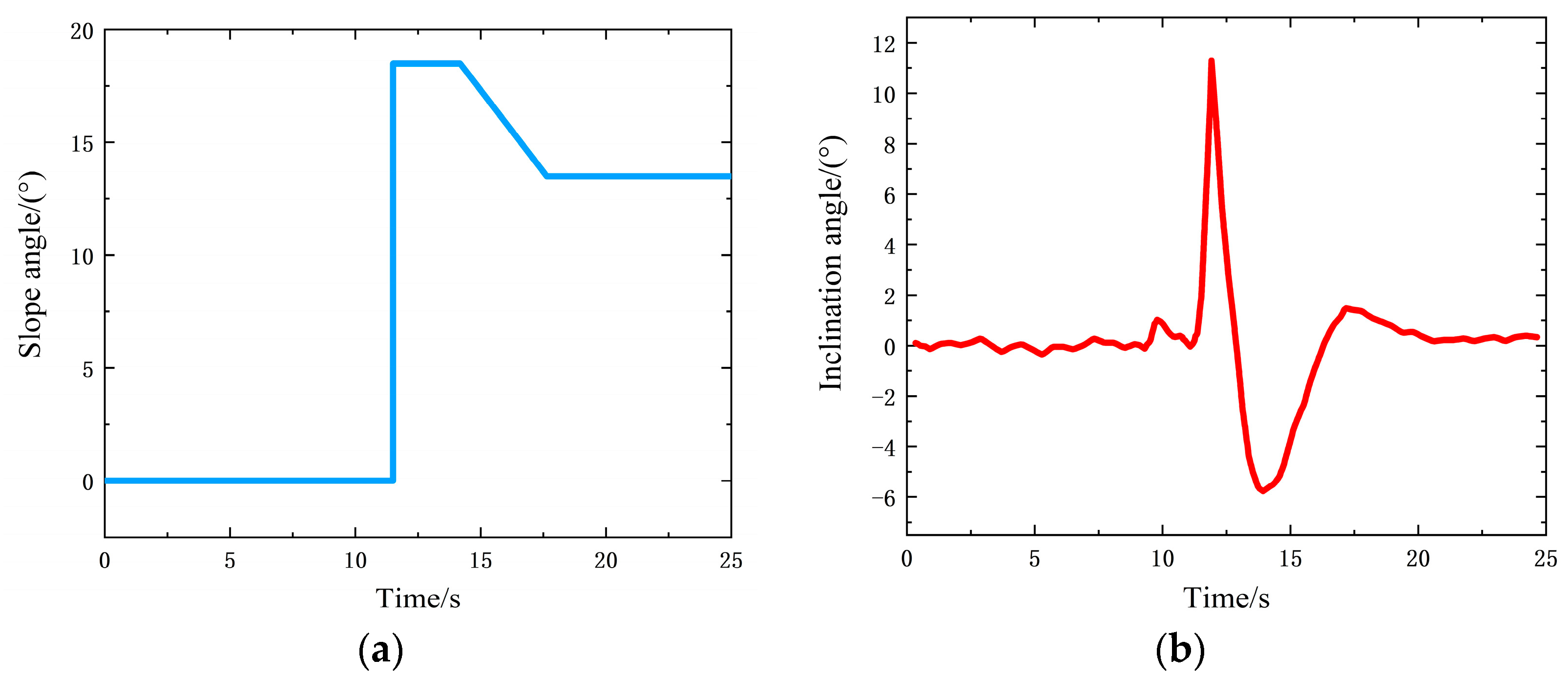
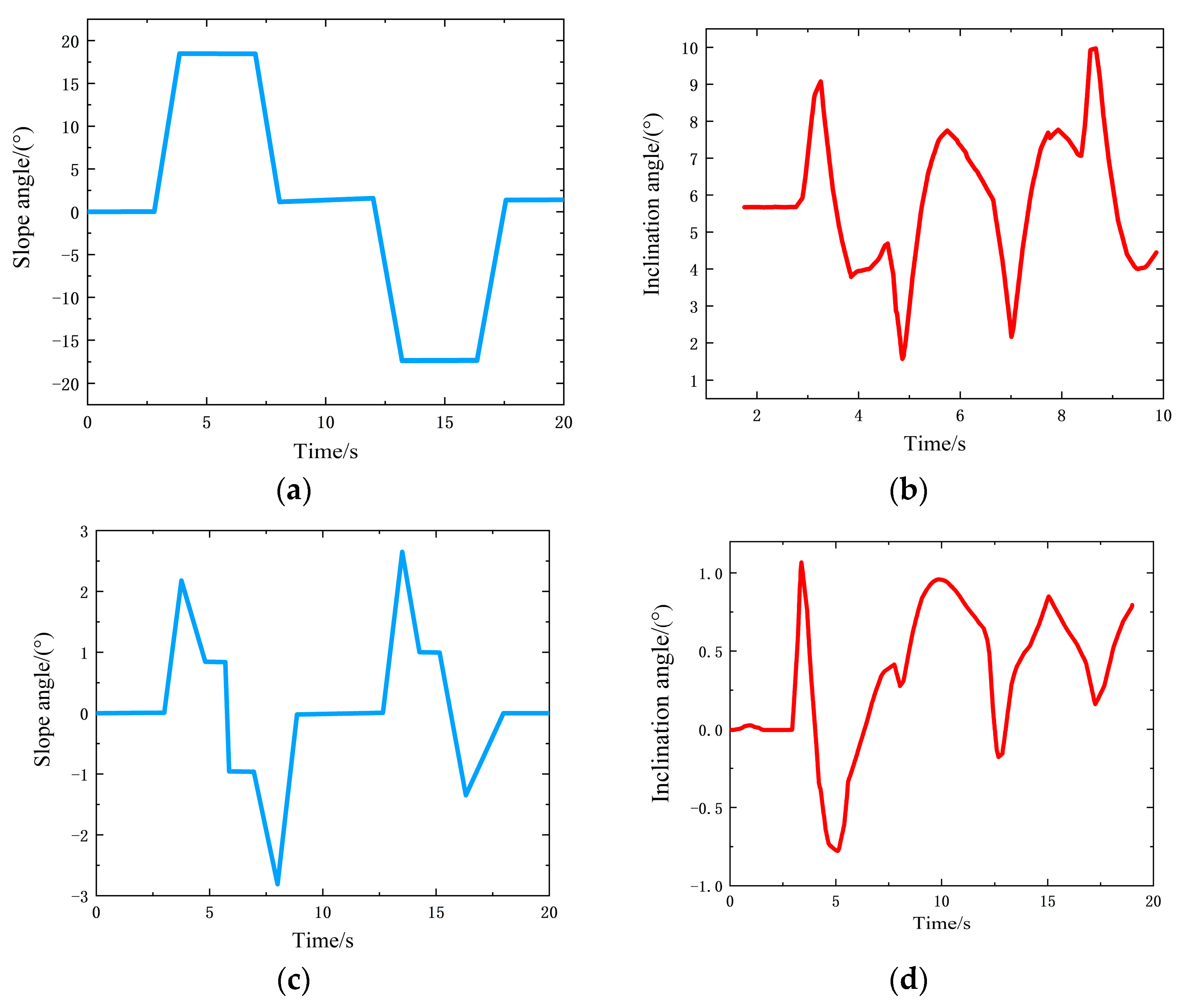
3.1. Simulation Analysis
3.2. Performance Test
4. Conclusions
Author Contributions
Funding
Institutional Review Board Statement
Data Availability Statement
Conflicts of Interest
References
- Hu, J.; Pan, J.; Dai, B.; Chai, X.; Sun, Y.; Xu, L. Development of an attitude adjustment crawler chassis for combine harvester and experiment of adaptive leveling system. Agronomy 2022, 12, 717. [Google Scholar] [CrossRef]
- He, Y.; Zhu, Q.; Fu, W.; Luo, C.; Cong, Y.; Qin, W.; Meng, Z.; Chen, L.; Zhao, C.; Wu, G. Design and experiment of a control system for sweet potato seedling-feeding and planting device based on a pre-treatment seedling belt. J. Agric. Eng. 2022, 53, 1261. [Google Scholar]
- Hu, Y.; Liu, P.; Amoah, A.E.; Wu, W.; Li, P. Control system of a performance test-bed for frost protection wind machines. Int. J. Agric. Biol. Eng. 2016, 9, 36–43. [Google Scholar]
- Cui, L.; Xue, X.; Le, F.; Mao, H.; Ding, S. Design and experiment of electro hydraulic active suspension for controlling the rolling motion of spray boom. Int. J. Agric. Biol. Eng. 2019, 12, 72–81. [Google Scholar] [CrossRef]
- Li, Y.; Xu, L.; Lv, L.; Shi, Y.; Yu, X. Study on modeling method of a multi-parameter control system for threshing and cleaning devices in the grain combine harvester. Agronomy 2022, 12, 1483. [Google Scholar] [CrossRef]
- Liu, W.; Luo, X.; Zeng, S.; Zeng, L.; Wen, Z. The design and test of the chassis of a triangular crawler-type ratooning rice harvester. Int. J. Agric. Biol. Eng. 2022, 12, 890. [Google Scholar] [CrossRef]
- Yin, X.; An, J.; Wang, X.; Wang, Y.; Li, J.; Jin, C. Design and experiment of automatic leveling system for boom of high-clearance sprayer. Trans. Chin. Soc. Agric. Mach. 2022, 53, 98–105, 115. [Google Scholar]
- Yu, Y.; Xu, X.; Li, S.; Zhang, Y.; Zhao, J.; Wei, N. Two-dimensional ice affects thermal transport at the graphene-water microscopic interface. J. Appl. Phys. 2024, 136, 204301. [Google Scholar] [CrossRef]
- Zhu, Q.; Zhu, Z.; Zhang, H.; Gao, Y.; Chen, L. Design of an electronically controlled fertilization system for an air-assisted side-deep fertilization machine. Agronomy 2023, 13, 2210. [Google Scholar] [CrossRef]
- Chen, Y.; Chen, L.; Wang, R.; Xu, X.; Shen, Y.; Liu, Y. Modeling and test on height adjustment system of electrically-controlled air suspension for agricultural vehicles. Int. J. Agric. Biol. Eng. 2016, 9, 40–47. [Google Scholar]
- Liu, J.; Xia, C.; Jiang, D.; Sun, Y. Development and testing of the power transmission system of a crawler electric tractor for greenhouses. Appl. Eng. Agric. 2020, 36, 797–805. [Google Scholar] [CrossRef]
- Dettù, F.; Corno, M.; D’Ambrosio, D.; Acquistapace, A.; Taroni, F.; Savaresi, S.M. Attitude control for a combine harvester: A cascade scheme approach. IEEE Trans. Control Syst. Technol. 2022, 30, 2777–2783. [Google Scholar]
- Lv, X.R.; Liu, Z.; Lv, X.L.; Wang, X. Design and study on the leveling mechanism of the tractor body in hilly and mountainous areas. J. Eng. Des. Technol. 2024, 22, 679–689. [Google Scholar]
- Xie, X.; Han, X.; Zhang, Z.; Qin, Y.; Li, Y.; Yan, Z. Structural design and test of arch waist dynamic chassis for hilly and mountainous areas. Int. J. Adv. Manuf. Technol. 2023, 127, 1921–1933. [Google Scholar] [CrossRef]
- Jeon, C.W.; Kim, H.J.; Yun, C.; Park, S.J.; Hwang, Y.B.; Han, X. Autonomous paddy field puddling and leveling operations based on full-coverage path generation and tracking. Precis. Agric. 2024, 25, 235–256. [Google Scholar] [CrossRef]
- Zhang, Y.; Wang, Y.; Li, Y.; Liu, X.; Chen, J.; Zhao, Q. Study on Chassis Leveling Control of a Three-Wheeled Agricultural Robot. Agronomy 2024, 14, 1765. [Google Scholar] [CrossRef]
- Zhao, Z.; Jin, M.; Tian, C.; Yang, S.X. Prediction of seed distribution in rectangular vibrating tray using grey model and artificial neural network. Biosyst. Eng. 2018, 175, 194–205. [Google Scholar] [CrossRef]
- Liu, H.; Yan, S.; Shen, Y.; Li, C.; Zhang, Y.; Hussain, F. Model predictive control system based on direct yaw moment control for 4WID self-steering agriculture vehicle. Int. J. Agric. Biol. Eng. 2021, 14, 175–181. [Google Scholar] [CrossRef]
- Song, X.; Li, H.; Chen, C.; Xia, H.; Zhang, Z.; Tang, P. Design and experimental testing of a control system for a solid-fertilizer-dissolving device based on fuzzy PID. Agronomy 2022, 12, 1382. [Google Scholar] [CrossRef]
- Li, J.; Shang, Z.; Li, R.; Cui, B. Adaptive sliding mode path tracking control of unmanned rice transplanter. Agronomy 2022, 12, 1225. [Google Scholar] [CrossRef]
- Molari, G.; Bellentani, L.; Guarnieri, A. Performance of an agricultural tractor fitted with rubber tracks. Biosyst. Eng. 2012, 112, 57–65. [Google Scholar] [CrossRef]
- Lv, H.; Hu, Z.; Yu, Y.; Kang, F.; Zhen, Y. Feedforward PID control method for the automatic leveling of an orchard high-position operation platform. Trans. Chin. Soc. Agric. Eng. 2021, 37, 128–137. [Google Scholar]
- Wang, Z.; Ma, W.; Li, J. Research on body leveling system and leveling control of hilly mountain tractor. J. Agric. Mech. Res. 2022, 44, 45–50. [Google Scholar]
- Guan, S.; Takahashi, K.; Nakano, K.; Fukami, K.; Cho, W. Real-Time Kinematic Imagery-Based Automated Levelness Assessment System for Land Leveling. Agriculture 2023, 13, 657. [Google Scholar] [CrossRef]
- Che, G.; Liu, W.; Wan, L.; Yi, S.; Liu, H.; Wang, Q.; Lu, B. Design and experiment of the automatic leveling system for the seedbed precision leveler in rice seedling nursery. Trans. Chin. Soc. Agric. Eng. 2023, 39, 9–17. [Google Scholar]
- Mu, X.; Yang, F.; Duan, L.; Liu, Z.; Song, Z.; Li, Z.; Guan, S. Research advances and development trend of mountainous tractor leveling and anti-rollover system. Smart Agric. 2024, 6, 1–16. [Google Scholar]
- Zhu, Z.; Yang, Y.; Wang, D.; Cai, Y.; Lai, L. Energy saving performance of agricultural tractor equipped with mechanic-electronic-hydraulic powertrain system. Agronomy 2022, 12, 436. [Google Scholar] [CrossRef]
- Tang, Z.; Wang, H.; Liu, S.; Lu, D.; Tang, Y. Development of structure and control system of self-propelled small green vegetables combine harvester. J. Agric. Sci. Technol. 2023, 25, 1045–1058. [Google Scholar]
- Li, J.; Nie, Z.; Chen, Y.; Ge, D.; Li, M. Development of boom posture adjustment and control system for wide spray boom. Agronomy 2023, 13, 2162. [Google Scholar] [CrossRef]
- Han, L.; Mo, M.; Ma, H.; Kumi, F.; Mao, H.; Hu, J. Design and test of a lateral-approaching and horizontal-pushing transplanting manipulator for greenhouse seedlings. Appl. Eng. Agric. 2023, 39, 325–338. [Google Scholar] [CrossRef]
- Yue, R.; Yao, M.; Zhang, T.; Shi, J.; Zhou, J.; Hu, J. Design and experiment of dual-row seedling pick-up device for high-speed automatic transplanting machine. Agronomy 2024, 14, 942. [Google Scholar] [CrossRef]
- Jia, W.; Tai, K.; Dong, X.; Ou, M. Design and simulation of intra-row obstacle avoidance shovel-type weeding machine in orchard. Agronomy 2024, 14, 1124. [Google Scholar] [CrossRef]
- Sun, J.; Wang, Z.; Xia, J.; Xing, G. Adaptive disturbance observer-based fixed time nonsingular terminal sliding mode control for path-tracking of unmanned agricultural tractors. Biosyst. Eng. 2024, 246, 96–109. [Google Scholar] [CrossRef]
- Zhao, Z.; Huang, H.; Yin, J.; Yang, S. Dynamic analysis and reliability design of round baler feeding device for rice straw harvest. Biosyst. Eng. 2018, 174, 10–19. [Google Scholar] [CrossRef]

















| Parameters | Landscape | Portrait | Units |
|---|---|---|---|
| Hydraulic cylinder diameter | 63 | 80 | mm |
| Hydraulic cylinder piston rod diameter | 35 | 45 | mm |
| Have rod end piston area | 21.55 | 34.36 | mm2 |
| Rodless end piston area | 43.64 | 50.27 | mm2 |
| Kinematic viscosity of oil | 180 | 180 | mm·s−1 |
| Bulk modulus of oil | 1300 | 1300 | MPa |
Disclaimer/Publisher’s Note: The statements, opinions and data contained in all publications are solely those of the individual author(s) and contributor(s) and not of MDPI and/or the editor(s). MDPI and/or the editor(s) disclaim responsibility for any injury to people or property resulting from any ideas, methods, instructions or products referred to in the content. |
© 2025 by the authors. Licensee MDPI, Basel, Switzerland. This article is an open access article distributed under the terms and conditions of the Creative Commons Attribution (CC BY) license (https://creativecommons.org/licenses/by/4.0/).
Share and Cite
Wang, R.; Zhang, K.; Ding, R.; Jiang, Y.; Jiang, Y. A Novel Hydraulic Interconnection Design and Sliding Mode Synchronization Control of Leveling System for Crawler Work Machine. Agriculture 2025, 15, 137. https://doi.org/10.3390/agriculture15020137
Wang R, Zhang K, Ding R, Jiang Y, Jiang Y. A Novel Hydraulic Interconnection Design and Sliding Mode Synchronization Control of Leveling System for Crawler Work Machine. Agriculture. 2025; 15(2):137. https://doi.org/10.3390/agriculture15020137
Chicago/Turabian StyleWang, Ruochen, Kaiqiang Zhang, Renkai Ding, Yu Jiang, and Yiyong Jiang. 2025. "A Novel Hydraulic Interconnection Design and Sliding Mode Synchronization Control of Leveling System for Crawler Work Machine" Agriculture 15, no. 2: 137. https://doi.org/10.3390/agriculture15020137
APA StyleWang, R., Zhang, K., Ding, R., Jiang, Y., & Jiang, Y. (2025). A Novel Hydraulic Interconnection Design and Sliding Mode Synchronization Control of Leveling System for Crawler Work Machine. Agriculture, 15(2), 137. https://doi.org/10.3390/agriculture15020137
