Optimization of Cotton Field Irrigation Scheduling Using the AquaCrop Model Assimilated with UAV Remote Sensing and Particle Swarm Optimization
Abstract
1. Introduction
2. Materials and Methods
2.1. Experimental Site Description
2.2. Cotton Irrigation Experiment Design and Crop Management
2.3. Data Collection
2.3.1. UAV-Based Remote Sensing Data Acquisition and Processing
2.3.2. Leaf Area Index (LAI) Measurement
2.3.3. Biomass and Yield Measurement
2.3.4. Vegetation Index (VI) Calculation
2.3.5. Meteorological Data Collection
2.3.6. Fundamental Principles of the AquaCrop Model
2.3.7. Principle of Particle Swarm Optimization (PSO)
2.3.8. Extended Fourier Amplitude Sensitivity Test
2.4. Model Evaluation Metrics
3. Results and Discussion
3.1. Sensitivity of AquaCrop Model Parameters for Canopy Cover and Aboveground Biomass
3.2. UAV Remote Sensing Inversion of Aboveground Biomass and Canopy Cover
3.2.1. Correlation Between Vegetation Indices and Aboveground Biomass (AGB) and Canopy Cover (CC)
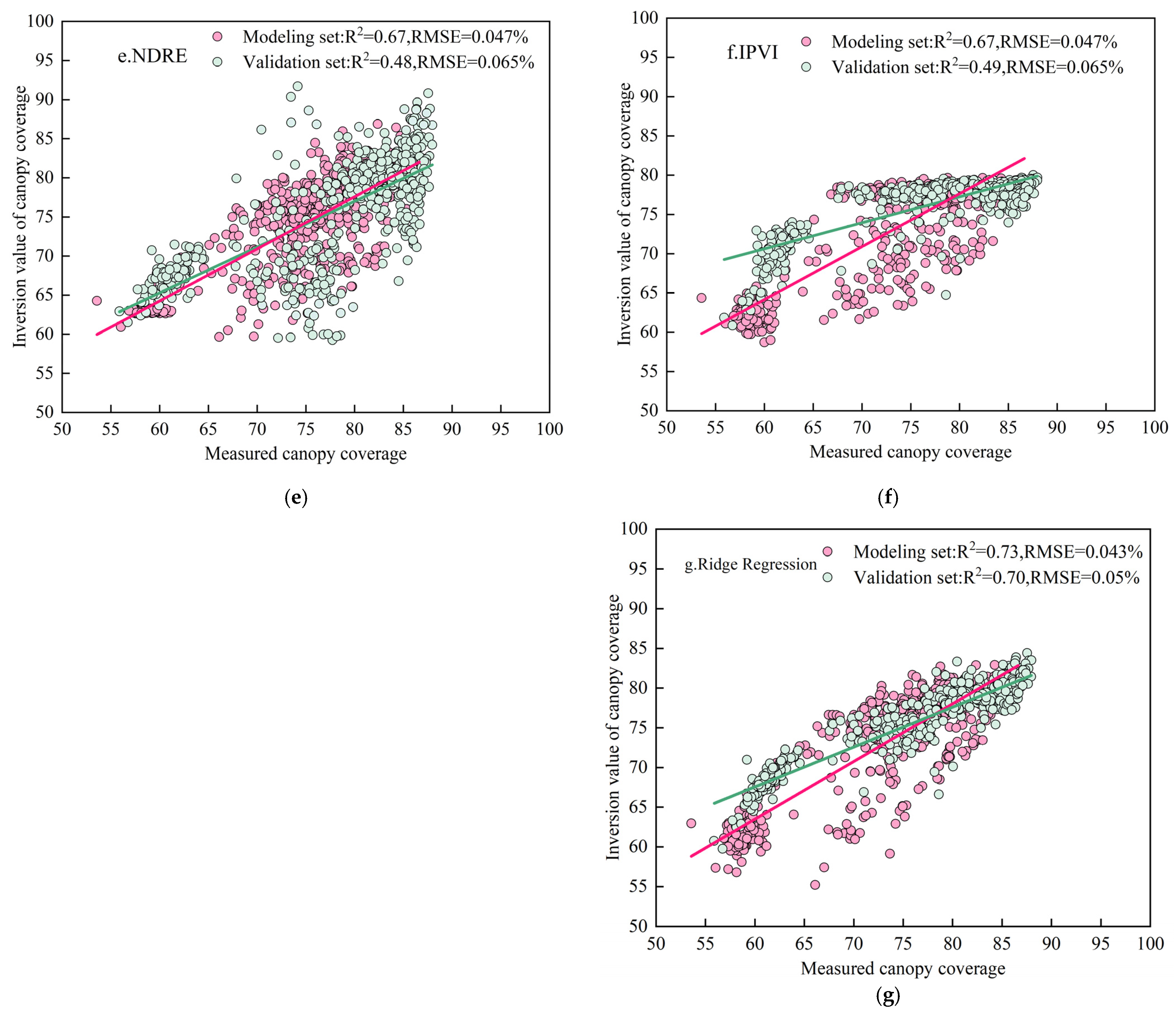
3.2.2. Construction of UAV Remote Sensing Inversion Models for Canopy Cover and Biomass
3.3. AquaCrop Model Data Assimilation Based on Particle Swarm Optimization (PSO)
3.3.1. PSO Assimilation Process
3.3.2. Analysis of Optimal Fitness in PSO-Based Data Assimilation
3.3.3. Estimation Results Based on the Assimilation Model
3.4. Scenario Simulation Analysis Using the AquaCrop Model
3.4.1. Design of Irrigation Scenarios
3.4.2. Simulation Results of Different Irrigation Scenarios
4. Discussion
5. Conclusions
Author Contributions
Funding
Data Availability Statement
Acknowledgments
Conflicts of Interest
Appendix A
| Vegetation Index | Calculation Formula | References |
|---|---|---|
| NDVI | [56] | |
| SR | [57] | |
| SAVI | [58] | |
| EVI | [58] | |
| GNDVI | [58] | |
| NGRDI | [59] | |
| NPCI | [60] | |
| TVI | [33] | |
| VARI | [61] | |
| MSAVI | [58] | |
| OSAVI | [58] | |
| WDVI | [62] | |
| PSRI | [63] | |
| TCARI | [64] | |
| MCARI | [37] | |
| DVI | [62] | |
| IPVI | [65] | |
| MTVI | [64] | |
| NBI | [66] | |
| GCVI | [67] | |
| NDRE | [68] | |
| MSR | [69] |
| Parameters | Describe | Parameter Variation Range (±35%) |
|---|---|---|
| TBASE | Base temperature | 7.8–16.2 |
| TUPPER | Upper temperature | 22.75–47.25 |
| PEXPUPPER | Soil water depletion factor for canopy expansion (p-exp)—upper threshold | 0.13–0.27 |
| PEXPLOWER | Soil water depletion factor for canopy expansion (p-exp)—lower threshold | 0.455–0.945 |
| SFE | Shape factor for water stress coefficient for canopy expansion (0.0 = linear) | 1.625–3.375 |
| SFC | Shape factor for stomatal control coefficient (0.0 = linear) | 1.95–4.05 |
| PSEN | Soil water depletion factor for canopy senescence (p-sen)—upper threshold | 0.4875–1.0125 |
| SFS | Shape factor for canopy senescence stress coefficient (0.0 = linear) | 1.625–3.375 |
| PPOL | Soil water depletion factor for pollination (p-pol)—upper threshold | 0.5525–1.1475 |
| KCTRX | Crop coefficient when canopy is complete but prior to senescence (KcTr,x) | 0.715–1485 |
| KCDCL | Decline rate of crop coefficient (%/day) due to senescence, nitrogen deficiency, etc. | 0.195–0.405 |
| ZN | Minimum effective rooting depth (m) | 0.195–0.405 |
| ZX | Maximum effective rooting depth (m) | 1.3–2.7 |
| RTSHP | Shape factor describing root zone expansion | 9.75–20.25 |
| RTEXUP | Maximum root water extraction in the top quarter of the root zone (m3 water/m3 soil·day) | 0.0312–0.0648 |
| RTEXLW | Maximum root water extraction in the bottom quarter of the root zone (m3 water/m3 soil·day) | 0.0078–0.0162 |
| EVLADC | Effect of late-stage canopy cover on reducing soil evaporation | 39–81 |
| CCS | Soil area covered by a single seedling at 90% emergence (cm2) | 3.9–8.1 |
| CSO | Canopy size of a single plant on the first day after regeneration (cm2) | 3.9–8.1 |
| DEN | Number of plants per hectare | 78,000–162,000 |
| CGC | Canopy growth coefficient (CGC): Rate of increase in canopy cover | 0.049472–0.102749 |
| CCX | Maximum canopy cover (CCx): Fraction of soil covered | 0.637–1.323 |
| SDC | Canopy decline coefficient (CDC): Rate of canopy cover decrease (fraction/day) | 0.018961–0.03938 |
| WP | Water Productivity (WP): Normalized biomass per transpired water with reference CO2 (g/m2) | 9.75–20.25 |
| HI | Reference harvest index (HIo) (%) | 32.5–67.5 |
| SHI | Maximum allowable increase in harvest index (%) | 19.5–40.5 |
References
- Guan, Y.; Tian, X.; Zhang, W.; Marino, A.; Huang, J.; Mao, Y.; Zhao, H. Forest canopy cover inversion exploration using multi-source optical data and combined methods. Forests 2023, 14, 1527. [Google Scholar] [CrossRef]
- Li, L.; Shikun, S.; Jing, X.; Zihan, G.; Jinfeng, Z.; Yali, Y.; Fei, G.; Xiaobo, L. Crop yield estimation based on assimilation of crop models and remote sensing data: A systematic evaluation. Agric. Syst. 2023, 210, 103711. [Google Scholar] [CrossRef]
- Huang, J.; Ma, H.; Sedano, F.; Lewis, P.; Liang, S.; Wu, Q.; Su, W.; Zhang, X.; Zhu, D. Evaluation of regional estimates of Winter wheat yield by assimilating three remotely sensed reflectance datasets into the coupled WOFOST–PROSAIL model. Eur. J. Agron. 2019, 102, 1–13. [Google Scholar] [CrossRef]
- Weiss, M.; Baret, F.; Myneni, R.B.; Pragnère, A.; Knyazikhin, Y. Investigation of a model inversion technique to estimate canopy biophysical variables from spectral and directional reflectance data. Agronomie 2000, 20, 3–22. [Google Scholar] [CrossRef]
- Verrelst, J.; Rivera, J.P.; Veroustraete, F.; Muñoz-Marí, J.; Clevers, J.G.P.W.; Camps-Valls, G.; Moreno, J. Experimental sentinel-2 lai estimation using parametric, non-parametric and physical retrieval methods—A comparison. ISPRS J. Photogramm. Remote Sens. 2015, 108, 260–272. [Google Scholar] [CrossRef]
- Thorp, K.R.; Hunsaker, D.J.; French, A.N. Assimilating leaf area index estimates from remote sensing into the simulations of a cropping systems model. Trans. ASABE 2010, 53, 251–262. [Google Scholar] [CrossRef]
- Richter, R.; Schlapfer, D. Geo-atmospheric processing of airborne imaging spectrometry data. Part 2: Atmospheric/topographic correction. Int. J. Remote Sens. 2002, 23, 2631–2649. [Google Scholar] [CrossRef]
- Marissa, K.; Noemi, V.; Hamze, D. A comprehensive assessment of in situ and remote sensing soil moisture data assimilation in the APSIM model for improving agricultural forecasting across the US Midwest. Hydrol. Earth Syst. Sci. 2023, 27, 1173–1199. [Google Scholar] [CrossRef]
- Wang, P.; Sun, H.; Xie, Y.; Wang, L.; Zang, S.; Li, L. Winter wheat yield estimation based on four-dimensional variational assimilation and ensemble Kalman filter methods. Trans. Chin. Soc. Agric. Eng. 2015, 31, 187–195. [Google Scholar]
- Akhavizadegan, F.; Ansarifar, J.; Wang, L.; Huber, I.; Archontoulis, S.V. A time-dependent parameter estimation framework for crop modeling. Sci. Rep. 2021, 11, 11437. [Google Scholar] [CrossRef]
- Jiang, K.A.; Zhao, J.; Luo, Y.; Cao, J.; Ying, L. Spectral characteristics analysis and inversion of rice leaf chlorophyll using RNCA-PSO-ELM. Trans. Chin. Soc. Agric. Eng. 2022, 38, 178–186. [Google Scholar]
- Liu, F.L.; Dong, C.; Wang, Y.; Wang, Q.; Huang, J.; Jiang, W. Crop growth monitoring based on data assimilation between remote sensing data and crop growth models. Trans. Chin. Soc. Agric. Eng. 2011, 27, 101–106. [Google Scholar]
- Marta, A.D.; Chirico, G.B.; Bolognesi, S.F.; Mancini, M.; D’Urso, G.; Orlandini, S.; Michele, C.D.; Altobelli, F. Integrating sentinel-2 imagery with AquaCrop for dynamic assessment of tomato water requirements in southern Italy. Agronomy 2019, 9, 404. [Google Scholar] [CrossRef]
- Upreti, D.; Pignatti, S.; Pascucci, S.; Tolomio, M.; Huang, W.; Casa, R. Bayesian calibration of the AquaArop-OS model for Durum wheat by assimilation of canopy cover retrieved from VENμS satellite data. Remote Sens. 2020, 12, 2666. [Google Scholar] [CrossRef]
- Yokoyama, Y.; Wit, A.d.; Matsui, T.; Tanaka, T.S.T. Accuracy and robustness of a plant-level Cabbage yield prediction system generated by assimilating UAV-based remote sensing data into a crop simulation model. Precis. Agric. 2024, 25, 2685–2702. [Google Scholar] [CrossRef]
- Wagner, M.P.; Slawig, T.; Taravat, A.; Oppelt, N. Remote sensing data assimilation in dynamic crop models using particle swarm optimization. ISPRS Int. J. Geo Inf. 2020, 9, 105. [Google Scholar] [CrossRef]
- Dlamini, L.; Crespo, O.; Dam, J.V.; Kooistra, L. A global systematic review of improving crop model estimations by assimilating remote sensing data: Implications for small-scale agricultural systems. Remote Sens. 2023, 15, 4066. [Google Scholar] [CrossRef]
- Zare, H.; Weber, T.K.; Ingwersen, J.; Nowak, W.; Gayler, S.; Streck, T. Within-season crop yield prediction by a multi-model ensemble with integrated data assimilation. Field Crops Res. 2024, 308, 109293. [Google Scholar] [CrossRef]
- Novelli, F.; Vuolo, F. Assimilation of sentinel-2 leaf area index data into a physically-based crop growth model for yield estimation. Agronomy 2019, 9, 255. [Google Scholar] [CrossRef]
- Liu, J.; Hou, X.; Chen, S.; Mu, Y.; Huang, H.; Wang, H.; Liu, Z.; Li, S.; Zhang, X.; Zhao, Y.; et al. A method for estimating yield of maize inbred lines by assimilating WOFOST model with sentinel-2 satellite data. Front. Plant Sci. 2023, 14, 1201179. [Google Scholar] [CrossRef]
- Pazhanivelan, S.; Geethalakshmi, V.; Tamilmounika, R.; Sudarmanian, N.S.; Kaliaperumal, R.; Ramalingam, K.; Sivamurugan, A.P.; Mrunalini, K.; Yadav, M.K.; Quicho, E.D. Spatial rice yield estimation using multiple linear regression analysis, semi-physical approach and assimilating SAR satellite derived products with DSSAT crop simulation model. Agronomy 2022, 12, 2008. [Google Scholar] [CrossRef]
- Gaso, D.V.; Paudel, D.; de Wit, A.; Puntel, L.A.; Mullissa, A.; Kooistra, L. Beyond assimilation of leaf area index: Leveraging additional spectral information using machine learning for site-specific soybean yield prediction. Agric. For. Meteorol. 2024, 351, 110022. [Google Scholar] [CrossRef]
- Ines, A.V.M.; Das, N.N.; Hansen, J.W.; Njoku, E.G. Assimilation of remotely sensed soil moisture and vegetation with a crop simulation model for maize yield prediction. Remote Sens. Environ. 2013, 138, 149–164. [Google Scholar] [CrossRef]
- Chunyan, M.; Mingxing, L.; Fan, D.; Changchun, L.; Yingqi, C.; Weinan, C.; Yilin, W. Wheat growth monitoring and yield estimation based on remote sensing data assimilation into the SAFY crop growth model. Sci. Rep. 2022, 12, 5473. [Google Scholar] [CrossRef]
- Curnel, Y.; Wit, A.J.W.D.; Duveiller, G.; Defourny, P. Potential performances of remotely sensed lai assimilation in WOFOST model based on an OSS experiment. Agric. For. Meteorol. 2011, 151, 1843–1855. [Google Scholar] [CrossRef]
- Daniels, L.; Eeckhout, E.; Wieme, J.; Dejaegher, Y.; Audenaert, K.; Maes, W.H. Identifying the optimal radiometric calibration method for UAV-based multispectral imaging. Remote Sens. 2023, 15, 2909. [Google Scholar] [CrossRef]
- Tao, H.B.; Lin, B. Comparison on disc method with copy method and length-width method for measuring leaf area of rice. Plant Physiol. Commun. 2006, 42, 496–498. [Google Scholar]
- Wang, F. Study on Remote Sensing Yield Estimation Methods for Rice Based on Multi-Source Data from Satellite and UAV. Master’s Thesis, Zhejiang University, Hangzhou, China, 2019. [Google Scholar]
- Motohka, T.; Nasahara, K.N.; Oguma, H.; Tsuchida, S. Applicability of green-red vegetation index for remote sensing of vegetation phenology. Remote Sens. 2010, 2, 2369. [Google Scholar] [CrossRef]
- Shu, Z.; Jin, J.; Menzel, L.; Zhang, J.; Luo, J.; Wang, G.; Cui, N.; Guan, T.; Liu, Y. Evaluating the effectiveness of different surface resistance schemes coupled with penman-monteith model for estimating actual evapotranspiration—A global comparative study. J. Hydrol. 2025, 656, 133047. [Google Scholar] [CrossRef]
- Steduto, P.; Hsiao, T.C.; Raes, D.; Fereres, E. Aquacrop—The FAO crop model to simulate yield response to water: I. Concepts and underlying principles. Agron. J. 2009, 101, 426–437. [Google Scholar] [CrossRef]
- Jin, X.-L.; Feng, H.-K.; Zhu, X.-K.; Li, Z.-H.; Song, S.-N.; Song, X.-Y.; Yang, G.-J.; Xu, X.-G.; Guo, W.-S. Assessment of the AquaCrop model for use in simulation of irrigated Winter wheat canopy cover, biomass, and grain yield in the north China plain. PLoS ONE 2017, 9, e86938. [Google Scholar] [CrossRef]
- Broge, N.H.; Leblanc, E. Comparing prediction power and stability of broadband and hyperspectral vegetation indices for estimation of green leaf area index and canopy chlorophyll density. Remote Sens. Environ. 2001, 76, 156–172. [Google Scholar] [CrossRef]
- Xing, H.X.; Xu, S.; Chen, X.; Feng, Y.; Yang, H.; Chen, G.; Zhao, X. Global sensitivity analysis of AquaCrop crop model parameters using the E-FAST method. Sci. Agric. Sin. 2017, 50, 64–76. [Google Scholar]
- Gordillo-Salinas, V.M.; Flores-Magdaleno, H.; Ortiz-Solorio, C.A.; Arteaga-Ramírez, R. Evaluation of nitrogen status in a wheat crop using unmanned aerial vehicle images. Chil. J. Agric. Res. 2021, 81, 408–419. [Google Scholar] [CrossRef]
- Lacerda, L.N.; Snider, J.; Cohen, Y.; Liakos, V.; Levi, M.R.; Vellidis, G. Correlation of UAV and satellite-derived vegetation indices with cotton physiological parameters and their use as a tool for scheduling variable rate irrigation in cotton. Precis. Agric. 2022, 23, 2089–2114. [Google Scholar] [CrossRef]
- Thorp, K.; Marek, G.; DeJonge, K.; Evett, S. Comparison of evapotranspiration methods in the DSSAT cropping system model: I. Global sensitivity analysis. Comput. Electron. Agric. 2020, 177, 105679. [Google Scholar] [CrossRef]
- Pathak, T.B.; Fraisse, C.W.; Jones, J.W.; Messina, C.D.; Hoogenboom, G. Use of global sensitivity analysis for CROPGRO cotton model development. Trans. ASABE 2007, 50, 2295–2302. [Google Scholar] [CrossRef]
- Kumar, M.S.; Varinderjit, K.; Kulvir, S. Evaluation of DSSAT-CROPGRO-cotton model to simulate phenology, growth, and seed cotton yield in northwestern India. Agron. J. 2021, 113, 3975–3990. [Google Scholar] [CrossRef]
- Ghimire, B.; Adedeji, O.; Ritchie, G.L.; Guo, W. Simulating crop yields and water productivity for three cotton-based cropping systems in the Texas high plains. Crop Environ. 2025, 4, 83–96. [Google Scholar] [CrossRef]
- Martínez-Ruiz, A.; Ruiz-García, A.; Prado-Hernández, J.V.; López-Cruz, I.L.; Valencia-Islas, J.O.; Pineda-Pineda, J. Global sensitivity analysis and calibration by differential evolution algorithm of HortSyst crop model for fertigation management. Water 2021, 13, 610. [Google Scholar] [CrossRef]
- Nandan, R.; Bandaru, V.; He, J.; Daughtry, C.; Gowda, P.; Suyker, A.E. Evaluating optical remote sensing methods for estimating leaf area index for Corn and Soybean. Remote Sens. 2022, 14, 5301. [Google Scholar] [CrossRef]
- Jiang, Y.; Zhang, Z.; He, H.; Zhang, X.; Feng, F.; Xu, C.; Zhang, M.; Lafortezza, R. Research on leaf area index inversion based on less 3d radiative transfer model and machine learning algorithms. Remote Sens. 2024, 16, 3627. [Google Scholar] [CrossRef]
- Yan, G.; Kaili, Y.; Zhiheng, L.; Shenghui, F.; Xianting, W.; Renshan, Z.; Yi, P. Remote estimation of leaf area index (lai) with unmanned aerial vehicle (UAV) imaging for different rice cultivars throughout the entire growing season. Plant Methods 2021, 17, 88. [Google Scholar] [CrossRef] [PubMed]
- Mukiibi, A.; Machakaire, A.T.B.; Franke, A.C.; Steyn, J.M. A systematic review of vegetation indices for Potato growth monitoring and tuber yield prediction from remote sensing. Potato Res. 2024, 68, 409–448. [Google Scholar] [CrossRef]
- Li, C.; Cui, Y.; Ma, C.; Niu, Q.; Li, J. Hyperspectral inversion of maize biomass coupled with plant height data. Crop Sci. 2021, 61, 2067–2079. [Google Scholar] [CrossRef]
- Gumma, M.K.; Kadiyala, M.D.M.; Panjala, P.; Ray, S.S.; Akuraju, V.R.; Dubey, S.; Smith, A.P.; Das, R.; Whitbread, A.M. Assimilation of remote sensing data into crop growth model for yield estimation: A case study from India. J. Indian. Soc. Remote Sens. 2021, 50, 257–270. [Google Scholar] [CrossRef]
- De Wit, A.J.W.; van Diepen, C.A. Crop model data assimilation with the ensemble Kalman filter for improving regional crop yield forecasts. Agric. For. Meteorol. 2007, 146, 38–56. [Google Scholar] [CrossRef]
- Xing, H.L.; Xu, Z.; Feng, X.; Yang, H.; Chen, G.; Xia, Z. Comparison of multiple data assimilation algorithms based on remote sensing and the AquaCrop crop model. Trans. Chin. Soc. Agric. Eng. 2017, 33, 183–192. [Google Scholar]
- Autovino, D.; Provenzano, G.; Monserrat, J.; Cots, L.; Barragán, J. Determining optimal seasonal irrigation depth based on field irrigation uniformity and economic evaluations: Application for onion crop. J. Irrig. Drain. Eng. 2016, 142, 04016037. [Google Scholar] [CrossRef]
- Tafteh, A.; Emdad, M.R.; Sedaghat, A. Improving irrigation management in wheat farms through the combined use of the AquaCrop and WinSRFR models. J. Arid. Land. 2025, 17, 245–258. [Google Scholar] [CrossRef]
- Sharafkhane, M.G.; Ziaei, A.N.; Naghedifar, S.M.; Akbari, A.; Verdi, A. AquaCrop Plug-in-PSO: A novel irrigation scheduling optimization framework for maize to maximize crop water productivity using in-season weather forecast and crop yield estimation. Agric. Water Manag. 2024, 306, 109153. [Google Scholar] [CrossRef]
- Sayadi, F.J.; Sefidkouhi, M.A.G.; Pirdashti, H.; Khoshravesh, M. Assimilating vegetation indices and canopy cover derived from remote sensing into the AquaCrop model for estimating rice yield. Irrig. Drain. 2024, 74, 1311–1325. [Google Scholar] [CrossRef]
- Giménez, L.; Paredes, P.; Pereira, L.S.; Xu, Y.J. Water use and yield of soybean under various irrigation regimes and severe water stress. Application of AquaCrop and SIMDualkc models. Water 2017, 9, 393. [Google Scholar] [CrossRef]
- Mostafa, R.J.; Farhad, M.; Abdolmajid, L. Evaluation of Sugarcane irrigation using AquaCrop model and remote sensing. Irrig. Drain. 2022, 71, 1034–1047. [Google Scholar] [CrossRef]
- Farias, G.D.; Bremm, C.; Bredemeier, C.; Menezes, J.D.L.; Alves, L.A.; Tiecher, T.; Martins, A.P.; Fioravanço, G.P.; da Silva, G.P.; Carvalho, P.C.D.F. Normalized Difference Vegetation Index (NDVI) for Soybean biomass and nutrient uptake estimation in response to production systems and fertilization strategies. Front. Sustain. Food Syst. 2023, 6, 959681. [Google Scholar] [CrossRef]
- Liang, B.L.; Hao, X.; Chu, Y.; Tang, B.; Sheng, Z. Estimation of vegetation biomass in arid desert regions based on five vegetation indices. Arid. Zone Res. 2023, 40, 647–654. [Google Scholar] [CrossRef]
- Dorijan, R.; Ante, Š.; Rajko, M.; Mladen, J. State of major vegetation indices in precision agriculture studies indexed in web of science: A review. Agriculture 2023, 13, 707. [Google Scholar] [CrossRef]
- Hunt, E.R.; Cavigelli, M.; Daughtry, C.S.T.; Mcmurtrey, J.E.; Walthall, C.L. Evaluation of digital photography from model aircraft for remote sensing of crop biomass and nitrogen status. Precis. Agric. 2005, 6, 359–378. [Google Scholar] [CrossRef]
- Ranjan, R.; Chopra, U.K.; Sahoo, R.N.; Singh, A.K.; Pradhan, S. Assessment of plant nitrogen stress in wheat (Triticum aestivum L.) through hyperspectral indices. Int. J. Remote Sens. 2012, 33, 6342–6360. [Google Scholar] [CrossRef]
- Gitelson, A.A.; Kaufman, Y.J.; Stark, R.; Rundquist, D. Novel algorithms for remote estimation of vegetation fraction. Remote Sens. Environ. 2002, 80, 76–87. [Google Scholar] [CrossRef]
- Naji, T.A.H. Study of vegetation cover distribution using DVI, PVI, WDVI indices with 2d-space plot. J. Phys. Conf. Ser. 2018, 1003, 012083. [Google Scholar] [CrossRef]
- Sims, D.A.; Gamon, J.A. Relationships between leaf pigment content and spectral reflectance across a wide range of species, leaf structures and developmental stages. Remote Sens. Environ. 2002, 81, 337–354. [Google Scholar] [CrossRef]
- Haboudane, D.; Miller, J.R.; Tremblay, N.; Zarco-Tejada, P.J.; Dextraze, L. Integrated narrow-band vegetation indices for prediction of crop chlorophyll content for application to precision agriculture. Remote Sens. Environ. 2002, 81, 416–426. [Google Scholar] [CrossRef]
- Martínez, O.C.; Armenta, S.A.M.; Peraza, J.G.R.; García, A.J.S.; Felix, Z.D.M.; Rocha, W.P. Use of different vegetation indices for the evaluation of the kinetics of the cherry tomato (Solanum lycopersicum var. Cerasiforme) growth based on multispectral images by UAV. Open Agric. 2024, 9, 20220357. [Google Scholar] [CrossRef]
- Goulas, Y.; Cerovic, Z.G.; Cartelat, A.; Moya, I. Dualex: A new instrument for field measurements of epidermal ultraviolet absorbance by chlorophyll fluorescence. Appl. Opt. 2004, 43, 4488–4496. [Google Scholar] [CrossRef] [PubMed]
- Lobell, D.B.; Azzari, G. Satellite detection of rising maize yield heterogeneity in the U.S. Midwest. Environ. Res. Lett. 2017, 12, 014014. [Google Scholar] [CrossRef]
- Mohanty, S.; Srivastava, P.K.; Pandey, P.C.; Singh, P.; Srivastava, S. Wetland species mapping using advanced technological measurement. Aquat. Conserv. Mar. Freshw. Ecosyst. 2024, 34, e70018. [Google Scholar] [CrossRef]
- Taylor, J.A.; Bates, T.R. Comparison of different vegetative indices for calibrating proximal canopy sensors to grapevine pruning weight. Am. J. Enol. Vitic. 2021, 72, 279–283. [Google Scholar] [CrossRef]













| Treatment | P (Days/Time) | Q (mm) | Treatment | P (Days/Time) | Q (mm) |
|---|---|---|---|---|---|
| W1 | 9 | 405 | W4 | 7 | 405 |
| W2 | 450 | W5 | 450 | ||
| W3 | 495 | W6 | 495 | ||
| W7 | 5 | 405 | W10 | 4 | 405 |
| W8 | 450 | W11 | 450 | ||
| W9 | 495 | W12 | 495 |
| Band No. | Band | Central Wavelength/ mm | Band Width/ mm | Calibration Panel Reflectance/ % |
|---|---|---|---|---|
| 1 | Blue | 475 | 32 | 65 |
| 2 | Green | 560 | 27 | 63 |
| 3 | Red | 668 | 14 | 62 |
| 4 | Red Edge | 717 | 12 | 61 |
| 5 | Near-Infrared (NIR) | 842 | 57 | 60 |
| Vegetation Index | Grey Relational Degrees Between Vegetation Indices and Aboveground Biomass (AGB) | ||||
|---|---|---|---|---|---|
| Seedling Stage | Budding Stage | Flowering Stage | Boll-Setting Stage | Boll-Opening Stage | |
| NDVI | 0.64 | 0.84 | 0.84 | 0.84 | 0.70 |
| SR | 0.71 | 0.74 | 0.71 | 0.74 | 0.45 |
| SAVI | 0.66 | 0.84 | 0.84 | 0.84 | 0.70 |
| EVI | 0.65 | 0.84 | 0.83 | 0.84 | 0.69 |
| GNDVI | 0.66 | 0.83 | 0.84 | 0.83 | 0.70 |
| NGRDI | 0.63 | 0.78 | 0.70 | 0.74 | 0.62 |
| NPCI | 0.71 | 0.80 | 0.84 | 0.83 | 0.71 |
| TVI | 0.65 | 0.81 | 0.83 | 0.83 | 0.69 |
| VARI | 0.72 | 0.85 | 0.84 | 0.84 | 0.71 |
| MSAVI | 0.65 | 0.84 | 0.84 | 0.84 | 0.70 |
| OSAVI | 0.66 | 0.84 | 0.84 | 0.84 | 0.70 |
| WDVI | 0.67 | 0.84 | 0.84 | 0.84 | 0.70 |
| PSRI | 0.73 | 0.81 | 0.85 | 0.83 | 0.71 |
| TCARI | 0.66 | 0.86 | 0.83 | 0.84 | 0.70 |
| MCARI | 0.63 | 0.77 | 0.81 | 0.71 | 0.68 |
| DVI | 0.67 | 0.84 | 0.84 | 0.84 | 0.70 |
| IPVI | 0.64 | 0.82 | 0.83 | 0.83 | 0.70 |
| MTVI | 0.64 | 0.83 | 0.83 | 0.84 | 0.70 |
| NBI | 0.64 | 0.84 | 0.84 | 0.84 | 0.70 |
| GCVI | 0.64 | 0.66 | 0.78 | 0.79 | 0.61 |
| NDRE | 0.61 | 0.81 | 0.79 | 0.79 | 0.58 |
| MSR | 0.59 | 0.69 | 0.63 | 0.66 | 0.69 |
| Vegetation Index | Regression Equation | R2 | RMSE (%) |
|---|---|---|---|
| GNDVI | y = 0.328x + 0.534 | 0.72 | 0.043 |
| TVI | y = 0.445x + 0.592 | 0.69 | 0.046 |
| NBI | y = 0.224x + 0.588 | 0.68 | 0.047 |
| NDVI | y = 0.224x + 0.587 | 0.68 | 0.047 |
| NDRE | y = 0.439x + 0.592 | 0.67 | 0.047 |
| IPVI | y = 0.443x + 0.368 | 0.67 | 0.047 |
| Ridge Regression | y = 0.061 × GNDVI + 0.011 × IPVI − 0.035 × NBI + 0.011 × NDRE − 0.035 × NDVI + 0.057 × TVI + 0.728 | 0.73 | 0.043 |
| Stage | Regression Equation | R2 (t·hm−2) | RMSE (t·hm−2) |
|---|---|---|---|
| Seedling Stage | y = −0.527 × PSRI − 0.232 × VARI − 0.009 × SR − 0.207 × NPCI + 0.194 × DVI + 2.992 | 0.41 ** | 1.03 |
| Budding Stage | y = 0.216 × PSRI − 0.057 × NPCI + 0.694 × VARI + 1.204 × GNDVI − 0.071 × OSAVI + 9.541 | 0.97 ** | 0.18 |
| Flowering Stage | y = 0.381 × VARI + 0.931 × TCARI + 0.273 × OSAVI + 0.326 × MSAVI − 0.947 × EVI + 5.696 | 0.87 ** | 0.38 |
| Boll-Setting Stage | y = 3.976 × MTVI + 1.467 × VARI − 0.317 × EVI − 3.868 × TCARI + 0.976 × MSAVI + 20.021 | 0.71 ** | 2.21 |
| Boll-Opening Stage | y = 0.144 × VARI − 1.402 × PSRI − 0.037 × NPCI + 2.189 × DVI − 1.811 × WDVI + 19.862 | 0.46 ** | 2.05 |
| Name | Parameter Value | Range |
|---|---|---|
| KCTRX | 1.2 | 0.72–1.5 |
| CCS | 4.4 | 3.9–8.1 |
| CSO | 4.2 | 3.9–8.1 |
| CGC | 0.075 | 0.05–0.1 |
| CCX | 0.85 | 0.64–0.99 |
| CDC | 0.07 | 0.02–0.08 |
| WP | 20 | 10.75–40.25 |
| HI | 40 | 32.5–67.5 |
| SHI | 25 | 19.5–40.5 |
| State Variable | Year | Sample Size | CC Regression Equation | R2 | RMSE (%) | d |
|---|---|---|---|---|---|---|
| PSOCC + AGB | 2023 | 120 | y = 0.81x + 14.76 | 0.84 | 5.85 | 0.95 |
| 2024 | 120 | y = 1.11x + 5.34 | 0.84 | 5.66 | 0.96 | |
| ALL | 240 | y = 0.96 + 4.98 | 0.84 | 5.76 | 0.96 | |
| Year | Sample Size | AGB Regression Equation | R2 | RMSE (t·hm−2) | d | |
| 2023 | 120 | y = 0.97x + 0.26 | 0.95 | 1.63 | 0.98 | |
| 2024 | 120 | y = 0.96x + 0.25 | 0.95 | 1.57 | 0.98 | |
| ALL | 240 | y = 0.97x + 0.17 | 0.96 | 1.45 | 0.99 | |
| Year | Sample Size | Yield Regression Equation | R2 | RMSE (t·hm−2) | d | |
| 2023 | 12 | y = 0.97x + 0.32 | 0.96 | 1.41 | 0.99 | |
| 2024 | 12 | y = 0.96x + 0.48 | 0.95 | 1.40 | 0.98 | |
| ALL | 24 | y = 0.95x + 0.67 | 0.95 | 1.37 | 0.98 |
| Scenario | Simulation Scheme | Irrigation Quota/ mm | Irrigation Interval/ d | Number of Irrigations | Total Irrigation Volume/ m3·hm−2 | Scenario | Simulation Scheme | Irrigation Quota/ mm | Irrigation Interval/ d | Number of Irrigations | Total Irrigation Volume/ m3·hm−2 |
| Scenario I | P1 | 330 | 4 | 18 | 3300 | Scenario II | X1 | 33 | 4 | 18 | 5940 |
| P2 | 330 | 5 | 15 | 3300 | X2 | 33 | 5 | 15 | 4950 | ||
| P3 | 330 | 7 | 12 | 3300 | X3 | 33 | 7 | 12 | 3960 | ||
| P4 | 330 | 9 | 9 | 3300 | X4 | 33 | 9 | 9 | 2970 | ||
| P5 | 420 | 4 | 18 | 4200 | X5 | 42 | 4 | 18 | 7560 | ||
| P6 | 420 | 5 | 15 | 4200 | X6 | 42 | 5 | 15 | 6300 | ||
| P7 | 420 | 7 | 12 | 4200 | X7 | 42 | 7 | 12 | 5040 | ||
| P8 | 420 | 9 | 9 | 4200 | X8 | 42 | 9 | 9 | 3780 | ||
| P9 | 510 | 4 | 18 | 5100 | X9 | 51 | 4 | 18 | 9180 | ||
| P10 | 510 | 5 | 15 | 5100 | X10 | 51 | 5 | 15 | 7650 | ||
| P11 | 510 | 7 | 12 | 5100 | X11 | 51 | 7 | 12 | 6120 | ||
| P12 | 510 | 9 | 9 | 5100 | X12 | 51 | 9 | 9 | 4590 |
| Scenario I | ||||||||||||
|---|---|---|---|---|---|---|---|---|---|---|---|---|
| Simulation Scheme | Dry Year | Normal Year | Wet Year | |||||||||
| Y | AGB | WP | ET | Y | AGB | WP | ET | Y | AGB | WP | ET | |
| P1 | 5.60 c | 16.96 c | 0.90 c | 491.83 a | 5.36 c | 15.95 c | 0.85 c | 509.33 b | 6.17 c | 18.31 c | 0.87 c | 522.33 c |
| P2 | 5.78 b | 17.75 b | 0.91 bc | 474.25 b | 5.55 b | 16.30 a | 0.86 c | 508.00 bc | 6.47 a | 18.51 b | 0.88 c | 522.00 c |
| P3 | 5.84 b | 18.21 b | 0.91 ab | 449.30 c | 5.62 bc | 16.46 ab | 0.90 b | 501.67 bc | 6.46 a | 18.45 b | 0.90 b | 523.83 b |
| P4 | 5.04 c | 17.26 c | 0.93 a | 491.83 c | 5.42 c | 16.09 bc | 0.90 b | 493.33 c | 6.22 b | 18.38 bc | 0.92 a | 524.33 a |
| P5 | 6.02 c | 19.33 c | 0.88 c | 542.17 a | 5.87 c | 19.23 c | 0.81 c | 575.83 b | 6.25 c | 20.07 c | 0.93 c | 572.33 c |
| P6 | 5.99 b | 19.64 b | 0.90 bc | 532.33 b | 6.15 b | 19.39 a | 0.83 c | 571.00 bc | 6.56 a | 20.46 b | 0.93 c | 581.33 c |
| P7 | 6.13 b | 20.26 b | 0.91 ab | 510.00 c | 6.01 bc | 20.04 ab | 0.85 b | 570.50 bc | 6.49 a | 20.38 b | 0.97 b | 582.50 b |
| P8 | 5.14 c | 18.88 c | 0.92 a | 490.62 c | 5.75 c | 18.12 bc | 0.86 b | 567.50 c | 6.35 b | 20.27 bc | 0.97 a | 586.17 a |
| P9 | 5.93 c | 19.23 c | 0.86 c | 558.33 a | 5.85 c | 17.46 c | 0.80 c | 619.17 b | 6.46 c | 21.18 c | 0.87 c | 606.33 c |
| P10 | 6.14 b | 19.74 b | 0.87 bc | 548.17 b | 6.06 b | 20.09 a | 0.81 c | 612.83 bc | 6.55 a | 21.33 b | 0.87 c | 606.83 c |
| P11 | 6.04 b | 19.60 b | 0.89 ab | 517.65 c | 5.83 bc | 18.13 ab | 0.83 b | 610.50 bc | 6.54 a | 21.32 b | 0.88 b | 610.50 b |
| P12 | 5.46 c | 19.28 c | 0.91 a | 514.02 c | 5.95 c | 19.37 bc | 0.83 b | 606.67 c | 6.51 b | 21.26 bc | 0.88 a | 609.67 a |
| Scenario II | ||||||||||||
|---|---|---|---|---|---|---|---|---|---|---|---|---|
| Simulation Scheme | Dry Year | Normal Year | Wet Year | |||||||||
| Y | AGB | WP | ET | Y | AGB | WP | ET | Y | AGB | WP | ET | |
| X1 | 5.88 c | 18.32 c | 0.87 d | 524.25 a | 5.78 c | 18.31 c | 0.81 c | 608.17 a | 6.25 c | 17.46 d | 0.87 c | 608.67 a |
| X2 | 6.13 b | 19.77 b | 0.89 c | 514.55 ab | 6.10 b | 19.70 ab | 0.82 bc | 591.17 a | 6.49 b | 19.97 c | 0.87 c | 609.00 a |
| X3 | 6.13 b | 20.28 b | 0.93 b | 514.50 b | 6.14 b | 19.40 b | 0.87 b | 547.17 b | 6.48 b | 21.25 b | 0.93 b | 569.00 b |
| X4 | 5.02 b | 19.94 b | 0.94 a | 497.00 c | 5.91 b | 19.37 a | 0.90 a | 472.67 c | 6.61 b | 21.27 a | 0.98 a | 492.67 c |
| X5 | 5.86 c | 18.39 c | 0.86 d | 526.50 a | 5.65 c | 18.10 c | 0.81 c | 611.33 a | 6.49 c | 19.51 d | 0.87 c | 613.33 a |
| X6 | 6.08 b | 19.71 b | 0.88 c | 518.22 ab | 5.88 b | 18.28 ab | 0.83 bc | 609.00 a | 6.58 b | 21.45 c | 0.88 c | 613.33 a |
| X7 | 6.06 b | 19.71 b | 0.90 b | 516.35 b | 6.01 b | 19.45 b | 0.84 b | 607.83 b | 6.58 b | 21.45 b | 0.88 b | 609.00 b |
| X8 | 5.06 b | 19.94 b | 0.93 a | 512.00 c | 5.92 b | 19.39 a | 0.87 a | 545.50 c | 6.51 b | 21.28 a | 0.94 a | 554.83 c |
| X9 | 5.82 c | 17.65 c | 0.86 d | 545.00 a | 5.37 c | 15.39 c | 0.81 c | 630.00 a | 6.49 c | 20.88 d | 0.87 c | 621.33 a |
| X10 | 6.03 b | 18.95 b | 0.87 c | 538.92 ab | 5.83 b | 18.68 ab | 0.82 bc | 629.00 a | 6.66 b | 21.74 c | 0.88 c | 621.33 a |
| X11 | 5.96 b | 18.32 b | 0.88 b | 538.58 b | 5.80 b | 17.52 b | 0.83 b | 608.83 b | 6.64 b | 21.74 b | 0.88 b | 609.50 b |
| X12 | 5.45 b | 18.85 b | 0.90 a | 524.70 c | 5.92 b | 19.29 a | 0.85 a | 578.33 c | 6.51 b | 21.26 a | 0.89 a | 597.17 c |
Disclaimer/Publisher’s Note: The statements, opinions and data contained in all publications are solely those of the individual author(s) and contributor(s) and not of MDPI and/or the editor(s). MDPI and/or the editor(s) disclaim responsibility for any injury to people or property resulting from any ideas, methods, instructions or products referred to in the content. |
© 2025 by the authors. Licensee MDPI, Basel, Switzerland. This article is an open access article distributed under the terms and conditions of the Creative Commons Attribution (CC BY) license (https://creativecommons.org/licenses/by/4.0/).
Share and Cite
Wang, F.; Fu, Q.; Hong, M.; Tang, W.; Su, L.; Zhu, D.; Wang, Q. Optimization of Cotton Field Irrigation Scheduling Using the AquaCrop Model Assimilated with UAV Remote Sensing and Particle Swarm Optimization. Agriculture 2025, 15, 1815. https://doi.org/10.3390/agriculture15171815
Wang F, Fu Q, Hong M, Tang W, Su L, Zhu D, Wang Q. Optimization of Cotton Field Irrigation Scheduling Using the AquaCrop Model Assimilated with UAV Remote Sensing and Particle Swarm Optimization. Agriculture. 2025; 15(17):1815. https://doi.org/10.3390/agriculture15171815
Chicago/Turabian StyleWang, Fangyin, Qiuping Fu, Ming Hong, Wenzheng Tang, Lijun Su, Dongdong Zhu, and Quanjiu Wang. 2025. "Optimization of Cotton Field Irrigation Scheduling Using the AquaCrop Model Assimilated with UAV Remote Sensing and Particle Swarm Optimization" Agriculture 15, no. 17: 1815. https://doi.org/10.3390/agriculture15171815
APA StyleWang, F., Fu, Q., Hong, M., Tang, W., Su, L., Zhu, D., & Wang, Q. (2025). Optimization of Cotton Field Irrigation Scheduling Using the AquaCrop Model Assimilated with UAV Remote Sensing and Particle Swarm Optimization. Agriculture, 15(17), 1815. https://doi.org/10.3390/agriculture15171815

