Next Article in Journal
Semi-Supervised Density Estimation with Background-Augmented Data for In Situ Seed Counting
Previous Article in Journal
Spatiotemporal Evolution and Influencing Factors of Carbon Emission Efficiency of Apple Production in China from 2003 to 2022
 
 
Font Type:
Arial Georgia Verdana
Font Size:
Aa Aa Aa
Line Spacing:
Column Width:
Background:
Article

Mechanism Analysis and Establishment of a Prediction Model for the Total Pressure Loss in the Multi-Branch Pipeline System of the Pneumatic Seeder

1
College of Engineering, South China Agricultural University, Guangzhou 510642, China
2
Key Laboratory of Key Technology on Agricultural Machine and Equipment (South China Agricultural University), Ministry of Education, Guangzhou 510642, China
3
Huangpu Institute of Innovation, South China Agricultural University, Guangzhou 510642, China
4
State Key Laboratory of Agricultural Equipment Technology, Beijing 100083, China
*
Author to whom correspondence should be addressed.
Agriculture 2025, 15(15), 1681; https://doi.org/10.3390/agriculture15151681
Submission received: 10 June 2025 / Revised: 27 July 2025 / Accepted: 31 July 2025 / Published: 3 August 2025

Abstract

This study aims to clarify the nonlinear pressure loss patterns of the pneumatic system in a pneumatic seeder under varying pipeline structures and airflow parameters, and to develop a rapid prediction equation for the main pipe’s pressure loss. The studied multi-branch pipeline system consists of a main pipe, a header, and ten branch pipes. The main pipe is vertically installed at the center of the header in a straight-line configuration. The ten branch pipes are symmetrically and evenly spaced along the axial direction of the header, distributed on both sides of the main pipe. The outlet directions of the branch pipes are arranged in a 180° orientation opposite to the inlet direction of the main pipe, forming a symmetric multi-branch configuration. Firstly, this study investigated the flow characteristics within the multi-branch pipeline of the pneumatic system and elaborated on the mechanism of flow division in the pipeline. The key geometric factors affecting airflow were identified. Secondly, from a microscopic perspective, CFD simulations were employed to analyze the fundamental causes of pressure loss in the multi-branch pipeline system. Finally, from a macroscopic perspective, a dimensional analysis method was used to establish an empirical equation describing the relationship between the pressure loss (P) and several influencing factors, including the air density (ρ), air’s dynamic viscosity (μ), closed-end length of the header (Δl), branch pipe 1’s flow rate (Q), main pipe’s inner diameter (D), header’s inner diameter (γ), branch pipe’s inner diameter (d), and the spacing of the branch pipe (δ). The results of the bench tests indicate that when 0.0018 m3·s−1Q ≤ 0.0045 m3·s−1, 0.0272 m < d ≤ 0.036 m, 0.225 m < δ ≤ 0.26 m, 0.057 m ≤ γ ≤ 0.0814 m, and 0.0426 m ≤ D ≤ 0.0536 m, the prediction accuracy of the empirical equation can be controlled within 10%. Therefore, the equation provides a reference for the structural design and optimization of pneumatic seeders’ multi-branch pipelines.

1. Introduction

Precision seeding technology is an advanced crop cultivation method that has been widely applied in the large-scale production of field crops such as rice, maize, and rapeseed. This technology can effectively reduce seed consumption and planting costs while ensuring yield enhancement [1,2,3,4]. In recent years, pneumatic precision seeding technology has developed rapidly and has become a core approach for regulating field operation quality in seeding machines [5,6,7]. As the functional platform for implementing pneumatic precision seeding technology, the pneumatic system assists the pneumatic seed metering device in performing negative pressure seed pickup and positive pressure seed delivery. In particular, the positive pressure airflow during the seed delivery stage ensures that seeds are deposited at predetermined positions in the field along stable trajectories and with uniform spacing, thereby achieving even seed distribution at the individual seed level [8,9]. Therefore, the stable positive pressure supply and regulation of the pneumatic system is essential for the seed metering device to achieve precision seeding and uniform seed placement across various crop types.
The pneumatic system primarily consists of a blower and a multi-branch pipeline. The blower provides a sufficient air source for machine operation, while the multi-branch distribution pipeline divides the total positive pressure airflow output from the blower into multiple sub-flows, which are subsequently delivered to independently operating seed metering devices. This configuration enables the direct seeder to perform synchronized seeding operations in multiple rows within a single pass [10,11,12,13]. Currently, promoting carbon emission reduction in agricultural energy use is a key pathway toward achieving green and high-quality agricultural development [14,15], and low energy consumption, along with high operational efficiency, has become one of the primary design objectives for pneumatic field seeders [16,17,18,19]. Huang et al. addressed the challenge of lacking standardized methods for predicting the negative pressure required in air-suction seed metering devices for rice. By combining theoretical derivation with CFD-DEM coupled simulation technology, they established a negative pressure prediction model based on the triaxial dimensions of rice seeds. The study innovatively employed a sectional calculus method to fit the seed gravity function and optimized the equivalent coefficient (ψ = 2.73) through orthogonal experiments. The model was ultimately validated to accurately predict negative pressure in the low-pressure range of 400–800 Pa, providing theoretical support and technical guidance for the energy-efficient design of seeding devices [1]. Zhang et al. developed a centrifugal variable-diameter maize seed metering device. By optimizing the aperture of the seed metering disk, the relative positions of the disk and limiting plate, and the overall structural layout, the stability of quantitative seed filling was enhanced. Based on this, structural parameter optimization was conducted using a quadratic regression orthogonal rotational combination test. Comparative tests under different structural configurations demonstrated that the proposed metering device maintained excellent seeding performance within the speed range of 12–18 km/h while significantly reducing the overall power consumption, with a maximum energy-saving rate of up to 98% [2]. Niu et al. proposed a soil-based, non-contact pneumatic shot seeding method. Using Fluent 18.0 software, a hydrodynamic simulation analysis was conducted on the structural parameters of the shot seeding device, leading to the optimization of a rational design that imparts a high ejection velocity to seeds. This enabled seeds to be pneumatically shot into the soil to a predetermined depth, forming a new seeding pattern [3]. Wang et al. designed a pneumatic seed metering device incorporating a stabilizing turbine within the seed distribution mechanism. Through CFD simulations and bench tests, they analyzed the effects of varying blade numbers on airflow distribution and identified that an eight-blade turbine configuration yielded the smallest coefficient of variation in seeding quality and the greatest energy-saving potential during rapeseed and wheat seeding [4]. However, with the continuous refinement of the physical structure of seed metering devices, their geometric configuration is no longer the main contributor to additional energy losses in pneumatic systems [20,21,22,23]. Due to the geometric structural characteristics of the multi-branch distribution pipeline, the separated airflow within the pipeline is more susceptible to complex energy variations [24], resulting in issues such as slow airflow regulation and large inertial lag in flow rate adjustment. At this stage, the multi-pipeline structure itself has become the key factor in reducing pressure loss and energy consumption in the pneumatic system [25,26]. Therefore, investigating the main pipe’s pressure loss in multi-branch distribution pipelines and revealing the fluid flow behavior during the flow division process is essential for designing positive pressure pipeline structures with low energy consumption.
At present, in order to reduce the main pipe’s pressure loss in multi-branch distribution pipelines, researchers have conducted extensive studies from perspectives such as mechanism analysis and structural optimization. Yin et al. [27], based on the loss theory of steady incompressible turbulent flow in pressurized conduits, used CFD virtual simulation tests to analyze the causes of airflow loss and uneven distribution, and designed a distribution mechanism capable of reducing pressure loss. Wei [28] proposed a pressure stabilization control strategy to regulate the pneumatic pressure of the precision seed metering system in seeders, maintaining it within a specified range. By incorporating a pressure relief system, the blower workload was reduced, the test results showed that the pressure stabilization system decreased the positive pressure deviation rate of the seed metering device by 44.5%. Zhang et al. [29] addressed the issues of high pressure loss and energy consumption in pneumatic seeding-wheel-type seed metering devices. Using CFD numerical simulations, they examined the influence of structural parameters such as the horizontal airway diameter, airway angle, and nozzle aperture on the total pressure loss. By analyzing the internal flow field of the airflow channel in the precision seed metering device, they identified an optimal duct structure that effectively reduced flow resistance and enhanced efficiency. To investigate the seed conveying mechanism and pressure loss behavior in multi-branch pipelines, Li et al. [30] used Fluent software to simulate the internal airflow characteristics of different types of seed delivery tubes. They analyzed the influence of pipeline geometry on the total pressure loss and pressure distribution uniformity and concluded that a diffuser-shaped internal guide structure achieved the lowest pressure loss and the most uniform internal flow field during seeding operations. Based on computational fluid dynamics, Wang et al. [31] conducted a finite element analysis to investigate the internal flow field distribution of various types of seed delivery airflow distributors and seed delivery tubes with different angles. By analyzing the airflow characteristics in different regions of the seed metering drum cavity, they obtained contour maps of airflow velocity and pressure distribution between different suction hole positions and identified that the arc transition-type distribution structure exhibited the optimal uniformity in airflow distribution. These findings collectively indicate that the pipeline structure is the primary factor influencing pneumatic pressure loss. The structural optimization of the pneumatic pipeline significantly enhances the seeding performance of seed metering devices. Therefore, designing rational pipeline dimensions for pneumatic systems and establishing mathematical models that characterize the relationship between the geometric configuration of multi-branch pipelines and the main pipe’s pressure loss are essential for improving the initial design efficiency, reducing the scale of simulation experiments, and optimizing the pipeline’s structural design process.
Dimensional analysis is a relatively accurate and efficient method for establishing functional relationships between multiple influencing factors and target parameters [32,33,34,35,36,37,38] and has been widely applied in recent years to the theoretical model development and parameter design of agricultural machinery. Jiang et al. [39] verified the feasibility of π-theorem-based prediction using sphere settling experiments. By comparing the results with those from regression orthogonal rotation design experiments, they determined the correct method for establishing similarity criterion equations. Yasuhiko et al. [40] developed a nonlinear mathematical model using dimensional analysis to relate factors such as seed mass, seed diameter, gravitational acceleration, soil hardness, soil density, soil viscosity coefficient, and seed injection velocity to seeding depth. This model was subsequently applied to the structural design of jet pipelines in the pneumatic system of rice seeders. Sivasankaran et al. [41], using the Buckingham π-theorem, identified the major influencing factors in the mechanical alloying process and developed a multiple-factor empirical model incorporating grinding time, ball-to-powder ratio, milling speed, ball size, reinforcement percentage, sintering temperature, sintering time, and compaction pressure to predict the physical and mechanical behavior of nanocomposite material synthesis. Li et al. [42,43], based on Jiang’s improved π-theorem and using similarity models, established a negative pressure adsorption force formula for spherical seed particles during seeding, considering multiple parameters such as seed diameter, vacuum level, suction hole diameter, and the distance between seed particles and suction holes. The model was successfully applied to the measurement of adsorption forces at suction holes in seed metering devices.
In summary, applying dimensional analysis to develop empirical models provides valuable guidance for the design of agricultural machinery. However, no empirical model currently exists for predicting pressure loss in multi-branch distribution pipelines with continuous tees. Particularly in pneumatic seeder systems, pipeline dimensioning must often integrate with crop agronomic requirements and seed material properties. Nevertheless, there remains a lack of universal empirical formulas for pipeline selection in pneumatic systems, especially those involving multi-branch structures, making it difficult to standardize the initial design process. To address this gap, this study focuses on the multi-branch pipeline system of a pneumatic precision rice seeder, aiming to establish a universal empirical model for predicting the main pipe’s pressure loss in systems with continuous tee structures. The objective is to provide theoretical support and design guidance for the structural optimization and energy consumption control of pneumatic seeding systems. The research centers on identifying the key influencing factors and flow characteristics involved in the flow division process of positive pressure airflow within multi-branch pipelines, developing a predictive model for pressure loss that incorporates the pipeline’s structural parameters and airflow operating conditions, quantifying the relationship between pipeline design parameters and system pressure loss responses, and proposing pipeline structural optimization strategies applicable to engineering practices in seeding equipment. To achieve these goals, the study first conducts theoretical analysis to clarify the pipeline’s structural and airflow physical factors influencing the main pipe’s pressure loss in multi-branch systems. Then, a typical multi-branch airflow pipeline simulation model is constructed, and computational fluid dynamics (CFD) simulations are performed using Fluent software to analyze the influence of different structural parameters on the internal flow field characteristics and main pipe’s pressure loss. Subsequently, representative dimensionless parameters are extracted based on dimensional analysis to establish a mathematical model describing the relationship between the main pipe’s pressure loss and key influencing factors. Finally, a full-scale physical test platform is designed and constructed to obtain empirical pressure loss data under different structural configurations, which is used to fit and validate the proposed model. By integrating the simulation and experimental results, a macroscopic empirical model for the main pipe’s pressure loss in multi-branch pipelines is established. The findings offer a theoretical and practical reference for the structural optimization and configuration selection of multi-branch pipelines in field seeding equipment.

2. Materials and Methods

2.1. Materials

The full-scale bench test for the pneumatic system of the field seeder is shown in Figure 1. It primarily consists of a frame, a blower (Rated power: 2.2 kW; Maximum suction pressure: −33 kPa), a multi-branch pipeline (Made of PVC), and seed metering device. The layout of the multi-branch pipeline was designed based on commonly adopted configurations in pneumatic seeders [44,45,46].
The configuration of the multi-branch distribution pipeline is shown in Figure 2. It mainly consists of a blower, a Pitot tube, a main pipe, a header, and multiple branch pipes. The main pipe is positioned centrally within the header, while the branch pipes are symmetrically arranged on both sides along the axial direction of the header, with equal spacing and centered around the main pipe. During testing, airflow enters the header through the main pipe and is subsequently distributed and delivered to each branch pipe to complete the conveying process. The initial dimensions of the multi-branch pipeline were determined based on the design parameters of pneumatic precision hill-drop rice seeders [44,46], with the following specifications: length of the branch pipe is 0.15 m and inner diameter is 0.034 m; inner diameter of the header is 0.057 m and closed-end length is 0.1 m; and length of the main pipe is 0.2 m and inner diameter is 0.0426 m.

2.2. Methods

This study adopts a combined approach of theoretical analysis, simulation, and model testing to investigate the pressure loss characteristics in the main pipe of the multi-branch pipeline. Theoretical analysis is conducted to identify the key factors influencing airflow behavior within the multi-branch distribution pipeline. A virtual simulation approach is employed to explore, at the microscale, the airflow dynamics and the mechanisms underlying pressure attenuation within the system. Furthermore, physical model tests are utilized to establish a macroscopic correlation model between the geometric configuration of the multi-branch pipeline and the main pipe’s pressure loss.

2.2.1. Airflow Mechanism in Multi-Branch Pipelines

The multi-branch distribution pipeline is a critical component responsible for redirecting airflow spatially toward the seed metering devices. As illustrated in Figure 3a, the positive pressure airflow generated by the blower is first divided in the main pipe and then directed into the header. Driven by the pressure differential between the header and the external environment, the airflow undergoes redirection and separation at each tee along the header. Through a continuous branching process, the airflow is eventually discharged through each branch pipe. Since the flow redirection and separation primarily occur at the tees, this study takes the tees—located at the interfaces between the header and the branch pipes—as the fundamental analytical units to theoretically examine the airflow behavior within the header and the branch pipes. It is assumed that the airflow from the main pipe is evenly distributed to both sides of the header (Figure 3a depicts the case where airflow enters branch pipes 1 to 5 via the left side of the header and its associated tees, while Figure 3b illustrates the local airflow behavior within a typical tee at the interface between the header and branch pipes). Driven by the internal pressure differential within the header and the pressure differential between the header and the external environment, airflow continues to propagate along the header. To facilitate analysis of the flow division behavior near the tee, a control volume is defined at the junction between the header and each branch pipe (referred to as the flow division control volume). Within this control volume, only the effect of the pressure differential on airflow is considered, while resistance losses due to wall friction are neglected. Under the influence of the pressure differential between the header and the external environment, a portion of the airflow enters the branch pipe. Due to fluid energy loss, the remaining airflow within the control volume decelerates and, driven by inertial force and the pressure differential across both sides of the control volume, continues to flow along the header toward the next downstream tee. According to the axial momentum conservation theorem [47,48], the governing equation for axial momentum conservation within the flow division control volume is given as follows:
o 1   P o 1 d A o 1 o + 1   P o + 1 d A o + 1 = o + 1   ρ V o + 1 2 dA o + 1 o 1   ρ V o 1 2 dA o + 1 + i   ρ V ox V oy d A i
where Po−1 and Po+1 are the pressures of the airflow entering from the right and exiting to the left of the flow division control volume, respectively, Pa; Vo−1 and Vo+1 are the airflow velocities at the inlet (right side) and outlet (left side) of the control volume, respectively, m·s−1; Ao−1 and Ao+1 represent the cross-sectional areas on the right and left sides of the control volume, respectively, m2; Vox and Voy are the normal and axial velocity components of the airflow as it is redirected from the control volume into the entrance boundary of the branch pipe, m·s−1; and Ai is the cross-sectional area of the branch pipe, m2.
By assuming average values for the first four integral terms in Equation (1), the remaining integrals can be determined based on the conditions Ao−1 = Ao+1, Voy = Vo+1, and Vox = Vo. During the actual airflow process within the tee, part of the airflow, driven by the pressure differential between the header and the external environment, is redirected into the branch pipe at a normal velocity Vox. If no axial momentum loss occurs as the airflow exits the control volume, this contradicts the actual separation behavior of airflow as it turns into the branch pipe. Therefore, due to the overall flow rate loss within the header, the remaining airflow decelerates actively, resulting in Vo−1 > Vo+1 and Po−1 > Po+1. However, due to the geometric discrepancies between the header and the branch pipe, as well as the uncertainty in the axial momentum transfer, the fifth integral term is typically determined based on experimental data. Meanwhile, from the perspective of flow continuity, assuming that the airflow entering the branch pipe is uniform, the airflow flowing from the header into the branch pipe follows Bernoulli’s equation, which can be expressed as follows:
P o + 1 2 ρ V ox 2 = P i + 1 2 ρ V i 2 + κ
where Po and Pi are the air pressures at the inlet and outlet boundaries of the branch pipe, respectively, Pa; κ is the energy loss during airflow through the branch pipe, including both local resistance loss and frictional loss along the flow path.
In summary, the pressure and velocity of airflow within the header are influenced by the number of branch pipes, the cross-sectional area of the header (i.e., the header’s inner diameter γ), and the length of the closed end of the header (Δl). The pressure and velocity at the inlet boundary of the branch pipe depend on the cross-sectional area at the inlet (i.e., the branch pipe’s inner diameter d). Meanwhile, the pressure and velocity at the outlet boundary of the branch pipe are determined by the branch pipe’s length (l).

2.2.2. Simulation Modeling

Experimental Factors
To establish the relationship between the main pipe’s pressure loss in the multi-branch distribution pipeline and the geometric structure of the pipeline, a Cartesian coordinate system was defined, as illustrated in Figure 4. The origin was set at the center point of the main pipe’s inlet boundary, with the positive X axis aligned with the airflow direction in the left-side header, and the positive Y axis aligned with the airflow direction in the main pipe. As shown in Figure 3, the variation in the horizontal coordinates of monitoring points 1 to 5 on the branch pipes depends on the main pipe’s inner diameter (D), branch pipe’s inner diameter (d), and the spacing between adjacent branch pipes (δ), while the vertical coordinate variation is determined by the branch pipe’s length (l), header’s inner diameter (γ), and main pipe’s length (Δ). Accordingly, the following relationships can be derived:
x i = 11 2     i δ y i   =     +   γ   +   l
where i is the index of the branch pipe, i.e., 1, 2, 3, 4, and 5.
In summary, the branch pipe’s inner diameter (d), spacing between branch pipes (δ), branch pipe’s length (l), header’s inner diameter (γ), main pipe’s inner diameter (D), and main pipe’s length (Δ) are the primary geometric factors influencing the main pipe’s pressure loss.
Numerical Simulation Methods
To describe the airflow trend within the multi-branch distribution pipeline at the microscopic scale, a simulation method was adopted to analyze the internal airflow behavior in a multi-branch distribution pipeline with continuous outlets. Before setting the simulation parameters, the following assumptions were made regarding the fluid flowing inside the pipeline: (1) Preliminary experiments confirmed that the maximum Mach number of the airflow in the pipeline is less than 0.3; therefore, the airflow can be considered incompressible, and its density is assumed to remain constant regardless of pressure variations. (2) The effect of air mass is neglected. Based on preliminary experiments, the temperature difference between the inlet and outlet airflow was measured to be less than 0.1 °C. Therefore, the airflow within the pipeline is assumed to be isothermal [49]. Considering that the average temperature of warm months in the suboptimal double cropping rice growing areas of China ranges from 21.3 °C to 28.1 °C, the ambient temperature in this study is set to 25 °C [50]. (3) It is assumed that the pressure, airflow velocity, and other parameters measured at the pipeline monitoring points represent average values. (4) Since the multi-branch pipeline is rigidly mounted on the frame, the wall thickness and potential structural vibrations induced by the airflow impact are neglected.
Based on the above assumptions and fluid mechanics theory, the mass continuity equation for the internal airflow in the multi-branch pipeline can be expressed as follows:
u dx + v dy + w dx =   0
The momentum conservation equation is given as follows:
ρ uu x + ρvu vu y + ρ wu z = x μ eff u x + y μ eff u y + z μ eff u z p x + S u ρ uu x + ρ vv y + ρ wv z = x μ eff v x + y μ eff v y + z μ eff v z p y + S v ρ uw x + ρ wv y + ρ wv z = x μ eff w x + y μ eff w y + z μ eff w z p z + S w
where u, v, and w are the velocity components in the x, y, and z directions, respectively, m·s−1; p is the isotropic pressure, N; ρ is the air density, kg·m−3; μeff is the effective dynamic viscosity of air, which is related to the air’s dynamic viscosity, Pa·s; and Su, Sv, and Sw are the generalized source terms in the momentum conservation equations, when body forces are limited to gravity, Sw = −μg, N.
According to Equations (4) and (5), ρ, μ, u, v, and w are also major factors influencing the pressure loss in the main pipe.
Establishment of Simulation Model
In the numerical simulation software Fluent, the Realizable k-ε turbulence model was selected as the simulation model [25,26,48], as shown in Figure 5. During the airflow separation process in the multi-branch pipeline, intense pressure gradients may lead to boundary layer separation. Therefore, enhanced wall treatment was employed near the wall surfaces. The pressure–velocity coupling was solved using the SIMPLE algorithm, and all governing equations were discretized using a second-order upwind scheme. The convergence residuals for all iterative variables were set to 10−4, with a maximum iteration step of 1000. A pressure-based solver was used for steady calculations. For ease of comparison and analysis of the simulation results, the inlet boundary condition was defined as a velocity inlet, and the outlet boundary condition was defined as a pressure outlet.
Single-Factor Experimental Design
Based on the preceding analysis, considering that both the main pipe and the branch pipes are connected to the blower and the seed metering device via PVC hoses, the effects of the main pipe’s length l and branch pipe’s length Δ on the design of the multi-branch pipeline were neglected, and these parameters were fixed as constants. The airflow velocity V, branch pipe’s inner diameter d, spacing between adjacent branch pipes δ, header’s inner diameter γ, and main pipe’s inner diameter D were selected as experimental factors. The pressure loss in the main pipe P was used as the evaluation index to characterize the airflow performance under different conditions. Since the airflow behavior in the branch pipes does not independently depend on either the geometric parameter d or the airflow velocity V, the flow rate Q was chosen as a composite experimental factor to better reflect the combined influence of d and V. According to the findings of reference [48], when the blower power configured in the rice precision direct seeder meets the basic pneumatic requirements for seeding operations, the airflow velocity at the outlet of the edge branch pipe—located at the farthest end from the main pipe—can reach approximately 3 m·s−1 during operation. Based on the flow rate calculation formula for the branch pipe outlet, Q = πVd2/4, and the initial geometric dimensions of the outlet branch pipes previously defined for the multi-branch pipeline system, the intermediate-level flow rate under these operating conditions was calculated to be approximately 0.0027 m3·s−1. To analyze the influence of flow rate variation on pressure loss in the main pipe, this intermediate value was taken as the reference, and a flow velocity gradient of 1 m/s was set in the experimental design. In addition, the variation in the length of the closed end of the header Δl was neglected due to its minimal effect on airflow dynamics [26]. The initial dimensions of the multi-branch pipeline were taken as the zero level for factor variation, and the standard structural parameters of PVC pipelines were used to determine the level values of each geometric component. Considering the accuracy of the monitoring data at the branch pipe measurement points, the flow rate Q of branch pipe 1, which is located the farthest from the main pipe, was selected as the reference basis for the experimental factor. The single-factor experimental design is shown in Table 1.

2.2.3. Full-Scale Model Experiment

Method of Dimensional Analysis
Dimensional analysis is a relatively accurate and efficient method for establishing functional relationships between multiple influencing factors and the target variable. Based on single-factor experimental design and the π-theorem, nine experimental variables were identified: the air density ρ, closed-end length of the header Δl, dynamic viscosity μ, flow rate Q, branch pipe’s inner diameter d, spacing between adjacent branch pipes δ, header’s inner diameter γ, main pipe’s inner diameter D, and pressure loss P. The MLT system was adopted as the dimensional analysis framework, using the mass M, length L, and time T as the fundamental dimensions, while the remaining dimensions were considered derived. The corresponding dimensional expressions of each experimental variable are summarized in Table 2.
Throughout the entire experimental process, the values of ρ, μ, and Δl were held constant. Therefore, these three parameters were selected as the reference physical quantities. Based on this selection, the dimensional matrix coefficients relative to the reference quantities were derived, as shown in Table 3.
According to the π-theorem and the dimensional matrix in Table 3, six π terms were derived as follows:
π 1 = P ρ l 2 / μ 2 π 2 = ρ Q / μ l π 3 = d / l π 4 = δ / l π 5 = γ / l π 6 = D / l
By taking the π1 term containing pressure loss P as the dependent variable, and according to Jiang’s theorem [32,39,42,43], the following functional relationship can be obtained:
P ρ l 2 μ 2 = f   ρ Q μ l , d l , δ l , γ l , D l
Experimental Design of the π Equations
(1) Design of π 1 / 2 3 ¯ , 4 ¯ , 5 ¯ , 6 ¯ and π 1 / 2 3 ¯ , 4 ̿ , 5 ¯ , 6 ¯
This set of component equations primarily investigates the effect of the independent variable π2 on the dependent variable π1. Since the values of ρ, μ, and Δl are fixed, the corresponding π terms π3, π4, π5, and π6 (denoted as π 3 ¯ , π 4 ¯ , π 5 ¯ , and π 6 ¯ in the experimental design and hereafter) remain constant. The base value of the flow rate Q was set to 0.0009 m3·s−1 and increased by 0.0009 m3·s−1 up to 0.0045 m3·s−1.
Design of π 3 ¯ : Since π3 = dl and Δl is fixed, π 3 ¯ will vary with changes in the value of d. To maintain a fixed value for π 3 ¯ , the value of d is set to 0.034 m, resulting in π 3 ¯ = 0.34.
Design of π 4 ¯ : Since π4 = δl and Δl is fixed, to keep the value of π 4 ¯ constant, the δ value is set to 0.25 m, giving π 4 ¯ = 2.5. To verify the validity of the component equation, one of π 3 ¯ , π 4 ¯ , π 5 ¯ , or π 6 ¯ must be fixed at another value. Here, the δ value is set to 0.3 m, resulting in π 4 ̿ = 3. The experimental setup is shown in Table 4.
Design of π 5 ¯ : Since π5 = γl and Δl is fixed, to maintain a fixed value for π 5 ¯ , the γ value is set to 0.057 m, resulting in π 5 ¯ = 0.57.
Design of π 6 ¯ : Since π6 = Dl and Δl is fixed, to keep the value of π 6 ¯ constant, the D value is set to 0.0426 m, resulting in π 6 ¯ = 0.426.
The experimental scheme is shown in Table 4.
(2) Design of π 1 / 3 2 ¯ , 4 ¯ , 5 ¯ , 6 ¯ and π 1 / 3 2 ¯ , 4 ̿ , 5 ¯ , 6 ¯
This set of equations primarily explores the influence of the independent variable π3 on the dependent variable π1. Therefore, the values of π2, π4, π5, and π6 should remain fixed. Based on the standardized inner diameter values of PVC pipes, the corresponding values of d are 0.0194 m, 0.0272 m, 0.034 m, 0.0426 m, and 0.0452 m.
Design of π 2 ¯ : Since the values of ρ, μ, and Δl are fixed, π 2 ¯ will vary with changes in the Q value. Setting the Q value to 0.0036 m3·s−1 and the Δl value to 0.1 m results in π 2 ¯ = 1715.38.
The design processes for π 4 ¯ , π 5 ¯ , and π 6 ¯ follow the same procedure as in (1), and the experimental scheme is shown in Table 4.
(3) Design of π 1 / 4 2 ¯ , 3 ¯ , 5 ¯ , 6 ¯ and π 1 / 4 2 ̿ , 3 ¯ , 5 ¯ , 6 ¯
This set of equations primarily discusses the influence of the independent variable π4 on the dependent variable π1. Since the Δl value is fixed, the variation in π4 occurs mainly by adjusting the δ value. Meanwhile, the values of π2, π3, π5, and π6 should be kept constant. According to the agronomic requirements for rice cultivation, the base value of δ is set to 0.2 m, and it increases in increments of 0.025 m up to 0.3 m.
Design of π 2 ¯ : Since the values of ρ, μ, and Δl are fixed, the Q value of π 2 ¯ is set to 0.0027 m3·s−1, resulting in π 2 ¯ = 571.79. To verify the validity of the component equation, one of π 3 ¯ , π 4 ¯ or π 6 ¯ must be fixed at another value. Here, the Q value is set to 0.0045 m3·s−1, resulting in π 2 ̿ = 2858.97. The experimental setup is shown in Table 4.
Design of π 5 ¯ : Since π5 = δl and Δl is fixed, to maintain the value of π 5 ¯ as constant, the δ value for π 5 ¯ is set to 0.25 m, resulting in π 5 ¯ = 2.5.
The design process for π 2 ¯ , π 3 ¯ , and π 6 ¯ follows the same procedure as in (1) and (2), with the experimental scheme shown in Table 4.
(4) Design of π 1 / 5 2 ¯ , 3 ¯ , 4 ¯ , 6 ¯  and π 1 / 5 2 ¯ , 3 ¯ , 4 ̿ , 6 ¯
This equation mainly discusses the influence of the independent variable π5 on the dependent variable π1. Since the value of Δl is fixed, the variation in π5 is mainly achieved by changing the value of γ. At the same time, the values of π2, π3, π4, and π6 should remain constant. Combined with the standardized PVC pipe’s corresponding inner diameter values, the corresponding values of γ are 0.0426 m, 0.0536 m, 0.057 m, 0.0678 m, and 0.0814 m.
The design process of π 2 ¯ , π 3 ¯ , π 4 ¯ , and π 6 ¯ is the same as in (1) and (2). The experimental scheme is shown in Table 4.
(5) Design of π 1 / 6 2 ¯ , 3 ¯ , 4 ¯ , 5 ¯ and π 1 / 6 2 ¯ , 3 ¯ , 4 ̿ , 5 ¯
This equation mainly discusses the influence of the independent variable π6 on the dependent variable π1. Since the value of Δl is fixed, the variation in π6 is mainly achieved by changing the value of D. At the same time, the values of π2, π3, π4, and π5 should remain constant. The base value of D is set to 0.0426 m. Combined with the standardized inner diameter values of PVC pipes, the corresponding values of D are 0.034 m, 0.036 m, 0.0426 m, 0.0536 m, and 0.057 m.
The design process of π 2 ¯ , π 3 ¯ , π 4 ¯   and   π 5 ¯ is the same as in (1) and (2). The experimental scheme is shown in Table 4.

3. Results and Analysis

3.1. Analysis and Discussion of Results from Single-Factor Experiments and Simulations

To further analyze the formation mechanism of the main pipe’s pressure loss based on the results of single-factor experiments and simulation tests, let Pin denote the total pressure at the inlet boundary of the branch pipe (as indicated by the yellow dashed line in Figure 4), and Pout denote the total pressure at the outlet boundary of the branch pipe (as indicated by the green dashed line in Figure 4). Based on Equation (2), a new set of equations, namely Equation (8), was derived as follows:
P out = P in     κ P in = P io   +   1 2 ρ V iox 2 P out = P i   +   1 2 ρ V i 2
According to the outlet boundary conditions defined in the simulation, the values of Pi at the outlet of each branch pipe are equal. Therefore, the value of Pout is determined by the flow velocity Vi at the outlet boundary of each branch pipe. To evaluate the consistency of the Pin and Pout values among branch pipes in the simulation, the dimensionless parameters φ i ¯ and φi were adopted as assessment indicators. Their calculation formulas are as follows:
φ i ¯ = P in P in ¯ φ i = P out P out ¯
where i is the index of each branch pipe, ranging from 1 to 10; the overline symbol “-” indicates the average total pressure at the inlet and outlet boundaries of each branch pipe.
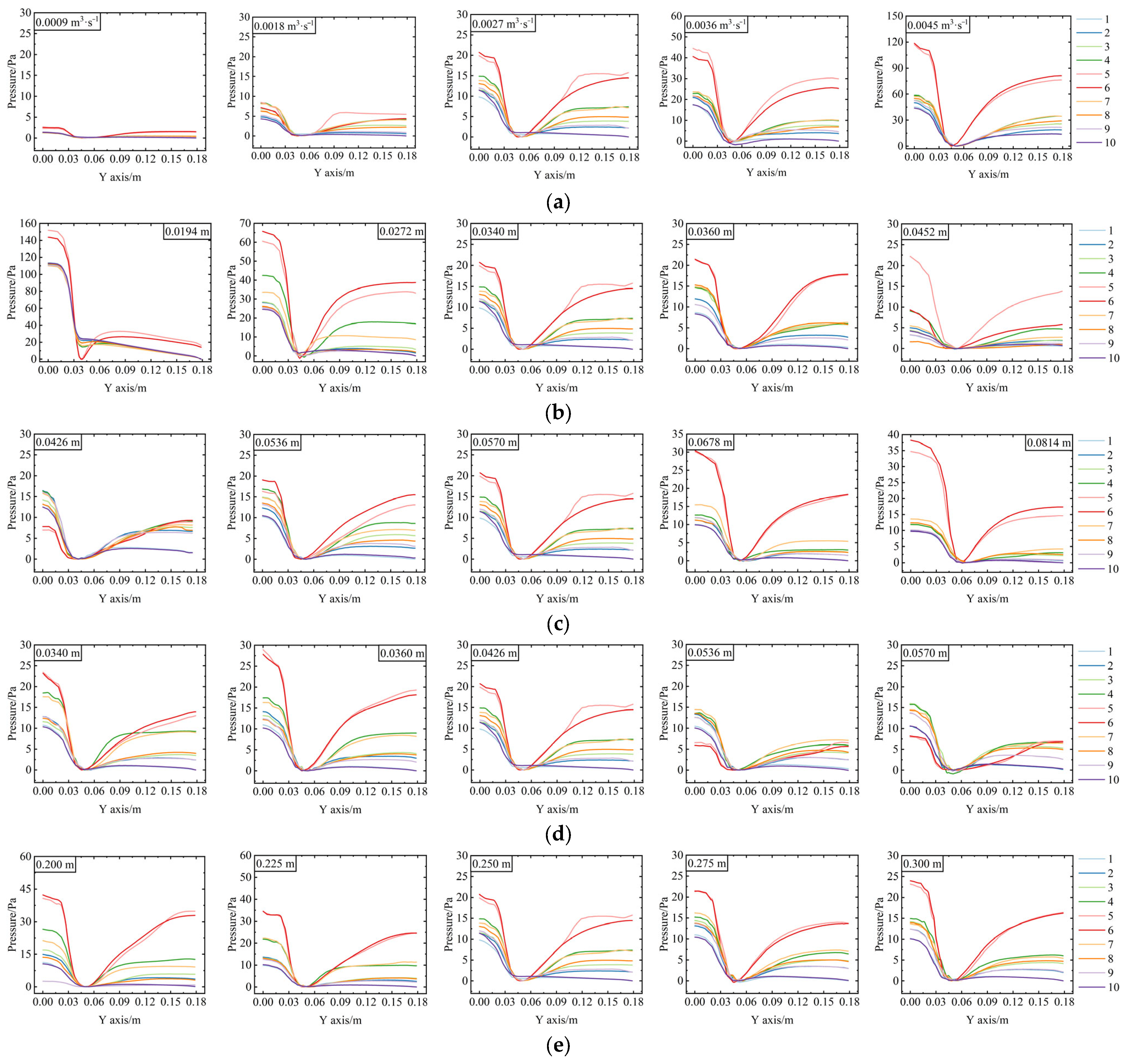
The simulation results are shown in Figure 6, Figure 7 and Figure 8. Figure 6 and Figure 7 present the pressure differential variation curves at the cross-sectional positions along the central axis of the header (black dashed line in Figure 5) and the central axes of branch pipes 1–10 (red dashed lines in Figure 5) under different factor levels. Figure 8 shows the velocity contour map in the positive direction of the X axis of the multi-branch pipeline (as indicated in Figure 5), along with the corresponding dimensionless indicators φ i ¯ and φi for each factor level. Therefore, based on the simulation results, this study analyzes the pressure loss mechanism of the airflow in the main pipe at the microscale under the influence of various factors.

3.1.1. Influence of Q on the Main Pipe’s Pressure Loss P

When the initial dimensions of the multi-branch pipeline remain unchanged, the influence of the flow rate Q in branch pipe 1 on the internal flow field and P is illustrated in Figure 6a, Figure 7a, Figure 8a. As shown in Figure 4, Figure 5, Figure 6a, and Figure 8a, the pressure along the central axis of the header increases progressively from the origin point O toward both the positive and negative directions of the X axis. When the airflow passes through the control volumes at the junctions between the header and each branch pipe, localized pressure increases occur. As the number of branch pipes increases along the header, the airflow within each control volume is successively diverted. This repeated pattern ultimately results in a stepwise rise in the pressure along the central axis of the header, with the most pronounced pressure fluctuations occurring in the region between branch pipes 5 and 6. These variations are consistent with the assumptions of Equation (1), which suggest that the pressure variation along the header axis drives continuous airflow in both the positive and negative X axis directions and serves as the primary force causing the airflow to redirect into the branch pipes. When airflow moves through regions of the header outside the control volumes, there is no loss due to flow diversion, and the pressure curve shows only a gradual rise. However, after the airflow is redirected within a control volume, momentum loss occurs in the axial direction of the header, causing a reduction in the velocity of the remaining airflow at the control volume’s outlet boundary and a sudden increase in pressure. Analysis of variance results show that p = 0.007, indicating that the variation in the Q value has a highly significant effect on the P value.
As shown in Figure 5, Figure 6a, and Figure 7a, the pressure along the central axis of each branch pipe initially drops sharply in the positive Y axis direction, with a maximum pressure drop of approximately 150 Pa. This is followed by a rapid recovery and then a gradual decline. The coordinates of the minimum pressure points along the branch pipe axis are nearly identical, all located near the junction between the header and the branch pipe, around an x-coordinate of 0.285 m. The pressure fluctuation amplitudes in branch pipes 5 and 6 are significantly greater than those in the other pipes, indicating that considerable pressure changes occur at the junction between the header and the branch pipes. According to the analysis of Equations (1) and (2), part of the airflow within the control volume is redirected into the branch pipes under the influence of the pressure differential between the main pipe and the external environment. Since the inner diameter of the branch pipes is smaller than that of the header, the airflow velocity increases significantly and the pressure drops sharply as the flow enters segment ab, which represents the “main pipe–branch pipe contraction structure”. Upon entering segment bc, due to airflow inertia, the flow fails to enter the branch pipe in a uniform and steady manner, resulting in a velocity on the windward side (≥3 m/s) that is higher than that on the leeward side (0–3 m/s). This velocity difference leads to the formation of local vortex regions within segment bc, where the airflow velocity rapidly decreases and the pressure rises sharply. As the airflow continues along segment ce, the internal flow gradually becomes more uniform, with a slight increase in axial velocity and a gradual decrease in pressure along the axis of the branch pipe.
As shown in Figure 5 and Figure 8a, the connecting line of the φ i ¯ values at the inlet boundaries of each branch pipe is approximately a horizontal straight line, indicating that the total pressure of the header airflow before entering the branch pipes exhibits minimal variation. This observation is consistent with the axial momentum conservation law described in Equation (1). In contrast, the connecting line of the φi values at the outlet boundaries of the branch pipes resembles a parabolic curve, and there is considerable variation in the outlet velocities among the branch pipes. The closer a branch pipe is to the main pipe, the lower its outlet velocity, suggesting significant differences in the κ values among the branch pipes. An analysis of the velocity contour and streamline distribution reveals that the energy loss caused by local vortex generation in segment bc is the primary reason for the uneven flow distribution among the branch pipes. Further examination of the pressure variation trends along the branch pipe axis in Figure 7a confirms that kinetic energy loss is the main form of vortex-induced energy dissipation. The greater the kinetic energy loss, the broader the extent of the vortex region. This trend is also reflected in the pressure recovery behavior of each branch pipe—the greater the kinetic energy loss, the longer the pressure recovery distance.
Based on a comprehensive analysis of Figure 4, Figure 5, Figure 6a, Figure 7a, and Figure 8a, it can be concluded that with the continuous increase in the flow rate Q, the pressure variation along the positive and negative directions of the X axis in the header becomes increasingly intense. When Q = 0.0009 m3·s−1, the airflow velocity in each branch pipe is relatively low, resulting in smaller pressure fluctuations along the header axis. Under this condition, the energy loss caused by local vortices in segment bc has a limited effect on the flow distribution among the branch pipes. The primary factor influencing the φi values is the frictional resistance loss in segment ce. At the same time, the airflow inside the header can overcome its inertial force and complete directional turning under a relatively small header pressure differential, leading to relatively small φi values among the branch pipes. However, when Q ≥ 0.0018 m3·s−1, the airflow velocity entering the branch pipes increases, resulting in larger pressure fluctuation amplitudes along the branch pipe axis. The range of local vortices generated in each branch pipe expands accordingly, and the resulting kinetic energy loss causes progressively greater differences in φi values. Meanwhile, both the airflow velocity and pressure gradient inside the header increase with the rising outlet flow rate of branch pipe 1. This indicates that the influence of airflow inertia becomes more significant, and that a higher pressure is required to assist the airflow in redirecting into the branch pipes. This leads to a greater velocity difference between the windward and leeward sides of the branch pipe inlet and enlarges the local vortex area, increasing both the local kinetic energy loss in segment bc and the frictional loss in segment ce. Consequently, the outlet flow rate differences among the branch pipes continue to increase, resulting in higher φi values, which in turn leads to an increase in the p value.

3.1.2. Influence of d on the Main Pipe’s Pressure Loss P

When all other initial conditions of the multi-branch pipeline remain unchanged, the effect of the branch pipe inner diameter d on the internal flow field and pressure P is shown in Figure 6b, Figure 7b and Figure 8b. As observed in Figure 4, Figure 5, Figure 6b, and Figure 7b, the pressure along the central axis of the header still exhibits a stepwise increase on both sides of the X axis, centered around point O. Localized pressure spikes occur when airflow passes through the control volumes at the junctions between the header and the branch pipes, indicating flow redirection and separation within the control volumes. The most pronounced pressure fluctuations are again observed in the region between branch pipes 5 and 6. These observations are consistent with the theoretical assumptions in Equation (1), reaffirming that pressure variation along the header axis is the driving force for the continued bidirectional flow along the X axis and also the primary fluid dynamic mechanism responsible for directing airflow from the header into the branch pipes. Meanwhile, when airflow travels through regions of the header outside the control volumes, both velocity and pressure gradually recover in the axial and radial directions. During this stage, the axial velocity along the manifold axis increases slightly, while the pressure decreases gradually. Single-factor variance analysis yielded p = 0.009, suggesting that the variation in the d value has a highly significant effect on the pressure P value.
As shown in Figure 5, Figure 6b, and Figure 7b, the pressure along the central axis of each branch pipe first drops sharply in the positive Y axis direction, then quickly recovers, and finally decreases gradually. The coordinates of the minimum pressure points along the branch pipe axis are nearly identical. When d = 0.0194 m, except for branch pipes 5 and 6, the pressure curves in segments bc and ce of the other branch pipes exhibit a continuously decreasing trend. As the d value increases, pressure curves in the bc segment begin to show a trough, followed by a gradual recovery in the ce segment. Based on the analysis of Equations (1) and (2), it can be inferred that as the redirected airflow within the control volume enters the branch pipe, a smaller inner diameter d leads to a stronger acceleration effect in segment ab, causing the airflow to enter the bc segment of the branch pipe in a nearly uniform and constant velocity manner and pass through it rapidly. Under these conditions, no significant velocity difference is formed between the windward and leeward sides of the bc segment in most branch pipes (except for pipes 5 and 6), and the high-speed airflow continues to lose pressure due to along-the-path resistance in segment ce. As d increases, the acceleration effect of the redirected airflow within the control volume weakens, and local vortices begin to form as airflow passes through the bc segment of each branch pipe. Afterward, as the airflow continues along segment ce, the internal flow gradually becomes more uniform, the axial velocity along the branch pipe increases slightly, and the pressure decreases slowly.
As shown in Figure 5 and Figure 8b, under different levels of d, the connecting line of the φ i ¯ values at the inlet boundaries of the branch pipes is approximately a horizontal straight line, which aligns with the axial momentum conservation law described in Equation (1). When d = 0.0194 m, the φi values at the outlet boundaries of the branch pipes also align closely along a straight line, indicating that, at this level, the along-the-path resistance loss within each branch pipe is the dominant factor determining the value of κ. As d gradually increases, the connecting line of the φi values at the outlet boundaries begins to resemble a concave curve, and the outlet velocity of branch pipes 5 and 6—those closest to the main pipe—becomes significantly lower. This suggests that local energy losses caused by vortex formation exceed the along-the-path resistance loss and become the main reason for the variation in κ values among the branch pipes. When d = 0.0452 m, the φi values at the outlet boundaries exhibit a large fluctuation range, indicating that, at this point, the influence of the ambient air pressure on the airflow distribution in the branch pipes becomes more significant than the pressure gradient along the header axis.
Based on a comprehensive analysis of Figure 4, Figure 5, Figure 6b, Figure 7b, and Figure 8b, it is evident that as the value of d increases, the pressure gradient along both the positive and negative directions of the X axis in the header decreases significantly. When d = 0.0194 m, the redirected airflow within the control volume accelerates noticeably, resulting in a high pressure peak and a large pressure drop in segment ab. After entering segment bc, the airflow is almost unaffected by local vortices, and the along-the-path resistance losses in segments bc and ce become the dominant factors influencing the φi values of each branch pipe. When d ≥ 0.0272 m, the acceleration trend of the redirected airflow within the control volume weakens. A noticeable velocity difference emerges between the windward and leeward sides of the branch pipes, accompanied by the formation of local vortices with a certain cross-sectional area. These variations in kinetic energy loss lead to increasing differences in φi values among the branch pipes. In addition, the trend of P indicates that at d = 0.0194 m, the high-speed airflow results in significant along-the-path resistance loss in segment ce, which exceeds the kinetic energy losses caused by local vortex formation at other diameter levels.

3.1.3. Influence of γ on the Main Pipe’s Pressure Loss P

When all other initial multi-branch pipeline conditions remain unchanged, the effect of the header’s inner diameter γ on the internal flow field and pressure P is shown, as in Figure 6c, Figure 7c, and Figure 8c. As illustrated in Figure 4, Figure 5, Figure 6c, and Figure 7c, the pressure along the central axis of the header still exhibits a stepwise increase trend from the origin point O toward both the positive and negative directions of the X axis. Localized pressure spikes occur at the junctions between the control volumes of the header and the branch pipes, while in the recovery regions of the header outside the control volumes, the pressure gradually decreases. The most significant pressure fluctuations are observed in the region between branch pipes 5 and 6. Moreover, as the γ value increases, the pressure gradient along the header becomes more gradual, indicating that a larger γ results in a lower airflow velocity within the header, thereby requiring a smaller pressure gradient to drive the flow. Single-factor variance analysis yielded p = 0.0002, indicating that the variation in the γ value has a highly significant effect on the pressure P value.
As shown in Figure 5, Figure 6c, and Figure 7c, along the positive Y axis direction, the pressure along the central axis of each branch pipe first drops sharply in segments ab and bc, then rapidly increases in segment ce, and finally declines gradually. The minimum pressure points along the branch pipe axis are nearly identical, indicating the presence of local vortices near the corresponding coordinates. Further observation reveals that, as the value of γ increases, the initial pressure peaks on the positive Y axis side of branch pipes 5 and 6 gradually rise and are significantly higher than those of the other branch pipes. Based on the analysis of Equations (1) and (2), it can be concluded that a larger γ results in a lower airflow velocity within the header. Meanwhile, a higher γ/d ratio reduces the effect of the external pressure differential on airflow redirection. Consequently, when airflow is first diverted from both sides of the header into branch pipes 5 and 6, a larger pressure differential is required to overcome flow inertia and initiate redirection.
As shown in Figure 5 and Figure 8c, under different levels of γ, the φ i ¯ values at the inlet boundaries of the branch pipes are approximately aligned along a horizontal straight line. When γ ≤ 0.0678 m, the φi values at the outlet boundaries of the branch pipes form a parabolic curve, indicating significant differences in the internal κ values among the branch pipes. The outlet velocities of branch pipes 5 and 6, which are closest to the main pipe, are the lowest, suggesting that the local vortex area and energy loss in segment bc for these two branch pipes are higher than those in the others. When γ = 0.0814 m, the φi values at the outlet boundaries are nearly aligned along a straight line, indicating minimal variation in κ among the branch pipes. In this case, along-the-path resistance becomes the dominant factor affecting κ, surpassing local energy loss. Moreover, the velocity contour and streamline diagrams show that, at the same factor level, the local vortex area and energy loss in segment bc are the primary contributors to the differences in flow distribution among branch pipes. This influence gradually diminishes as the value of γ increases.
Based on a comprehensive analysis of Figure 4, Figure 5 and Figure 6c, Figure 7c and Figure 8c, it can be concluded that as the value of γ increases, the airflow velocity entering segment bc of the branch pipes also increases, while the velocity difference between the windward and leeward sides of the branch pipes decreases. As a result, the extent of local vortex formation becomes smaller. Consequently, the influence of local resistance loss on the φi values of the branch pipes gradually diminishes, whereas the influence of along-the-path resistance becomes more pronounced. However, due to the sharp increase in airflow velocity, the along-the-path resistance losses in segments bc and ce increase significantly, which in turn leads to an overall increase in the P value with the increasing γ value.

3.1.4. Influence of D on the Main Pipe’s Pressure Loss P

When all other initial multi-branch pipeline conditions remain unchanged, the effect of the main pipe’s inner diameter D on the internal flow field and P is shown in Figure 6d, Figure 7d, and Figure 8d. As illustrated in Figure 4, Figure 5, Figure 6d, and Figure 7d, the pressure along the central axis of the header increases gradually from the origin point O toward both the positive and negative directions of the X axis. Local pressure rises occur as the airflow passes through each control volume. In the region between branch pipes 5 and 6, the amplitude of pressure fluctuations decreases with increasing D, indicating that a larger D corresponds to a lower initial airflow velocity entering the header from the main pipe, thereby requiring a smaller pressure differential to induce flow redirection. Subsequently, the pressure variation along the header axis continues to serve as the driving force for airflow movement along both sides of the X axis and remains the primary physical factor causing the redirection of airflow from the header into the branch pipes. Single-factor variance analysis yielded p = 0.06, indicating that variation in the D value has no statistically significant effect on the P value.
As shown in Figure 5, Figure 6d, and Figure 7d, with the increase in the D value, the initial pressure peaks along the axis of each branch pipe gradually decrease, and the pressure recovery amplitude in segments bc and ce of branch pipes 5 and 6 also becomes smaller. Based on the analysis of Equations (1) and (2), it can be concluded that a larger D results in a lower airflow velocity from the main pipe into the header, thereby reducing the pressure differential required to induce flow redirection within the control volumes.
As shown in Figure 5 and Figure 8d, under different levels of the D value, the φ i ¯ values at the inlet boundaries of the branch pipes form an approximately horizontal straight line, while the φi values at the outlet boundaries approximate a parabolic curve. The outlet velocities of branch pipes 5 and 6, which are closest to the main pipe, are the lowest. Moreover, as the D value increases, the φi values of branch pipes 5 and 6 gradually decrease. Analysis of the velocity contour and streamline distribution reveals that the local vortex area and local energy loss in segment bc remain the primary factors affecting variations in κ within the branch pipes, and are the key fluid dynamic mechanisms influencing flow distribution among the branch pipes. This also indicates that, during the initial redirection of airflow into branch pipes 5 and 6, a larger D value leads to a greater velocity difference between the windward and leeward sides of the branch pipe inlet.
Based on a comprehensive analysis of Figure 4, Figure 5, Figure 6d, Figure 7d, Figure 8d, it can be concluded that with the continuous increase in the D value, the local energy loss caused by the collision of the main pipe’s airflow with the windward side of the header becomes the primary fluid dynamic mechanism contributing to the overall pressure loss. As the total airflow velocity decreases, the corresponding pressure loss also becomes smaller. Therefore, the P value decreases with an increasing D value.

3.1.5. Influence of δ on the Main Pipe’s Pressure Loss P

When all other initial multi-branch pipeline conditions remain unchanged, the effect of the spacing between adjacent branch pipes δ on the internal flow field and the main pipe’s pressure loss P is illustrated in Figure 6e, Figure 7e, Figure 8e. As shown in Figure 4, Figure 5, Figure 6e, and Figure 7e, the pressure along the central axis of the header continues to exhibit a stepwise increase trend from the origin point O toward both the positive and negative directions of the X axis. The most significant pressure fluctuations in both the header and branch pipes occur in the region near the centerline between branch pipes 5 and 6. Single-factor variance analysis yielded p = 0.0006, indicating that the variation in the δ value has a highly significant effect on the p value.
Based on Figure 5, Figure 6e, and Figure 7e and the analysis of Equations (1) and (2), it can be concluded that the δ value determines the pressure recovery length of the header’s airflow in non-control volume regions. A larger δ value results in a longer pressure recovery path and reduces the mutual interference between adjacent branch pipes caused by flow division. Consequently, the initial pressure differential required for airflow redirection into the branch pipes in segment ab becomes smaller.
As shown in Figure 5 and Figure 8e, under different levels of the δ value, the φ i ¯ values at the inlet boundaries of the branch pipes form an approximately horizontal straight line, while the φi values at the outlet boundaries resemble a concave curve. The outlet velocities of branch pipes 5 and 6, which are closest to the main pipe, are the lowest. This indicates that there are significant differences in the internal κ values among the branch pipes. At the same level of the δ value, local energy loss within the branch pipes remains the dominant factor causing differences in flow distribution, which in turn leads to variations in the φi values among the branch pipes.
Based on a comprehensive analysis of Figure 4, Figure 5, Figure 6e, Figure 7e, Figure 8e, when δ ≤ 0.225 m, the mutual interference between adjacent branch pipes during airflow splitting in the header is the primary reason for the high initial pressure peaks in segment ab. When 0.25 ≤ δ ≤ 0.275 m, the interference between adjacent branch pipes is reduced, resulting in decreased local energy loss within the header and a corresponding decrease in the P value. However, when 0.275 < δ ≤ 0.3 m, the travel distance of the airflow in non-control volume regions of the header increases, leading to a further reduction in local energy loss. At the same time, the along-the-path resistance loss increases, which causes the P value to rise again.

3.2. Fitting of the Bench Test Results with the π Equation

3.2.1. Fitting of the π Equation

The full-scale model test bench and the multi-branch pipeline used for the experiment are shown in Figure 9. To improve the accuracy of the experiments, an Aster high-pressure blower (power: 2.2 kW; voltage: 220/380 V; maximum air volume: 260 m3/h; maximum positive pressure: 36 kPa; and maximum negative pressure: –33 kPa) was selected as the air source for the test setup. An Inverter variable frequency drive (power: 2.2 kW; input: single-phase 220 V; and output: 380 V) was used to regulate the airflow of the blower. An L-shaped Pitot tube and silicone hose, manufactured in accordance with the GB/T 1236-2017 standard [50], were used as auxiliary tools to measure the positive pressure in the main pipe. The LR-SG312S11L13 digital anemometer and manometer (air velocity range: 0–60 m/s; pressure range: ±10 kPa; and accuracy: 1 Pa) was used to measure the pressure in the main pipe of the multi-branch pipeline system, while the AS816 anemometer (range: 0–30 m/s) was used to measure the airflow velocity at the outlet of each branch pipe, as shown in Figure 9. Each test was repeated three times, and the average value was taken as the final result. The display error of the LR-SG312S11L13 digital measuring instrument was less than 5%, and the display error of the AS816 anemometer was less than 6%. The results of each experimental group, the validation results for the effectiveness of the π equations, and the fitted component equations for each group are summarized in Table 5. The complete π equation is constructed as the product of the fitted equations of each component, and its expanded form is given as follows:
π 1   =   f 1 π 2 π 3 ¯   π 4 ¯   π 5 ¯   π 6 ¯ × f 2 π 3 π 2 ¯   π 4 ¯   π 5 ¯   π 6 ¯ f π 2 ¯   π 3 ¯   π 4 ¯   π 5 ¯   π 6 ¯ 6 2 × f 3 π 4 π 2 ¯   π 4 ¯   π 5 ¯   π 6 ¯ × f 4 π 5 π 2 ¯   π 3 ¯   π 4 ¯   π 6 ¯ × f 5 π 6 π 2 ¯   π 3 ¯   π 4 ¯   π 5 ¯
According to the π-theorem and the data presented in Table 5, the following can be concluded:
f   ( π ¯ 2 π ¯ 3 π ¯ 4 π ¯ 5 π ¯ 6 ) = 3.84 × 10 9
By combining Equations (7), (10), and (11), the equation for the outlet branch pipe π1 can be expressed as follows:
π1 = f(Qf(df(δf(γf(D)
where f(Q)=C2, f(d) = C3, f(δ) = C4, f(γ) = C5, and f(D) = C6. The expressions for the above functions are detailed in Table 5, and all values are dimensionless.

3.2.2. Verification of the Validity of the π Equation

The combined π equation and the corresponding P expression were subjected to three verification procedures to validate their effectiveness [32,34,42,43]. The validation methods are as follows: (1) The calculated values of P and π1 from the π equation were compared with the experimental data at each test point to verify the accuracy of the π equation. (2) To verify the validity and applicability of the π equation beyond the fitted domain, the P and π1 values calculated using the π equation were compared with experimental data obtained under operating conditions outside the fitting range of the component equations. (3) Additional test conditions within the applicable range of the empirical model were considered to further verify the effectiveness and applicability of the π equation.
(1) First validity verification
The parameters of each test point were converted into the corresponding π values and substituted into Equation (12) to obtain the corresponding π1 and P values. The results calculated from the π equation were then compared with the experimental data, as shown in Table 6. The deviation between the values calculated using the π equation and the experimental data falls within an acceptable engineering range, i.e., the absolute value of the relative error at each test point is less than 2%. Therefore, Equation (12) is considered relatively accurate and capable of predicting the main pipe’s pressure loss in multi-branch pipelines with high precision.
(2) Second validity verification
In this verification test, each component of the equation must be individually validated. The values of π ¯ 2 , π ¯ 3 , π ¯ 4 , π ¯ 5 , and π ¯ 6 , as well as π = 2 and π = 4 , were substituted into Equation (12) to obtain the denominator. Then, the experimental π values were substituted into Equation (13) to compare the differences between the left-hand and right-hand sides of the equation. The results are presented in Table 7.
C 2 3.84 × 10 9 = ? c 2 3.51 × 10 9 C 3 3.84 × 10 9 = ? c 3 3.51 × 10 9 C 4 3.84 × 10 9 = ? c 4 7.86 × 10 9 C 5 3.84 × 10 9 = ? c 5 3.51 × 10 9 C 6 3.84 × 10 9 = ? c 6 3.51 × 10 9
The results of the second validity verification indicate that for the same independent variable, under identical experimental conditions, selecting different fixed test values can effectively validate the reliability of the derived π equation; when 1143.59 ≤ ρQ/μΔl ≤ 2858.97, 0.272 ≤ dl ≤ 0.36, 2.25 < δl < 2.75, 0.57 ≤ γl ≤ 0.814, and 0.426 ≤ Dl ≤ 0.536, corresponding to 0.0018 m3·s−1Q ≤ 0.0045 m3·s−1, 0.0272 m ≤ d ≤ 0.036 m, 0.2 m ≤ δ ≤ 0.25 m, 0.057 m ≤ γ ≤ 0.0814 m, and 0.0426 m ≤ D ≤ 0.0536 m, respectively, the relative deviation of the π equation is less than 10%, which meets the requirements of general engineering applications; however, when δ = 0.225 m, the relative deviation slightly exceeds 10%.
(3) Third validity verification
To further validate the conclusions of the second verification, additional experimental tests were conducted using parameter points both within and outside the original testing range (distinct from those used in the construction of the π equation). As shown in Table 8, the results indicate that for parameter points within the deviation range defined in the second verification, the absolute value of the prediction error is less than 10%, while for points outside this range, the prediction error exceeds 10%; based on these findings and the conclusions of the second verification, it can be concluded that when 1442.19 ≤ ρQ/μΔl ≤ 2858.97, 0.272 ≤ dl ≤ 0.36, 2.25 < δl ≤ 2.6, 0.57 ≤ γl ≤ 0.814, and 0.0426 m ≤ D ≤ 0.0536 m (i.e., 0.0018 m3·s−1Q ≤ 0.0045 m3·s−1, 0.0272 m < d ≤ 0.036 m, 0.225 m < δ ≤ 0.26 m, 0.057 m ≤ γ ≤ 0.0814 m, and 0.0426 m ≤ D ≤ 0.0536 m), the relative deviation between the predicted P value from the π equation and the experimental value is less than 10%, thereby further confirming the validity of the second verification.
In summary, the π equation and the corresponding empirical formula can be applied within the parameter ranges of 0.0018 m3·s−1Q ≤ 0.0045 m3·s−1, 0.0272 m < d ≤ 0.036 m, 0.225 m < δ ≤ 0.26 m, 0.057 m ≤ γ ≤ 0.0814 m, and 0.0426 m ≤ D ≤ 0.0536 m. Within these conditions, the prediction error of the main pipe’s pressure loss P can be controlled to within 10%.
Based on the results of the three validity verifications of the π equation, by combining Equations (7) and (12) and further simplifying, the main pipe’s pressure loss P in the multi-branch distribution pipeline can be expressed as follows:
P = μ 2 ρ l 2 f ( λ ) ξ
where the λ represents the selected target-dependent variable in the design of multi-branch pipelines, with its selection limited to the set λ ∈ {Q, d, δ, γ, D}, corresponding, respectively, to branch pipe 1’s flow rate Q, branch pipe’s diameter d, spacing between branch pipes δ, header’s diameter γ, and main pipe’s diameter D in the multi-branch pipeline system. The parameter ξ is the empirical coefficient used in conjunction with λ to correct for the combined influence of multiple variables on the main pipe’s pressure loss in the empirical formula. When the target λ is the flow parameter Q, i.e., when the branch pipe flow rate is taken as the leading factor in pipeline structure design, the remaining geometric parameters d, δ, γ, and D are held at their initial dimensions, as defined in the baseline multi-branch pipeline configuration. In this case, the value of ξ is determined based on the fitting results and falls within the range of 0.99 to 1.03. When the target λ is any of the geometric parameters other than Q, i.e., d, δ, γ, or D, the selected geometric factor serves as the independent variable, while the remaining geometric parameters are maintained at their initial structural dimensions. Under these conditions, the value of ξ is selected based on actual experimental data and lies within the range of 3.80 × 109 to 3.96 × 109.

4. Discussion

This study conducted a systematic investigation into the positive pressure airflow mechanism and main pipe’s pressure loss characteristics in the multi-branch pipeline system of a pneumatic precision seeder. The research not only elucidated the pressure loss formation mechanism during the airflow division and transmission process in continuous tee structures, but also proposed a novel approach for predicting the main pipe’s pressure loss based on the measurement of the outlet flow rate from a single branch pipe. Furthermore, a functional relationship model among the structural parameters of the multi-branch pipeline, airflow parameters, and main pipe’s pressure loss was established using dimensional analysis [32,34,42]. This provides a quantifiable theoretical basis and empirical formula for the structural design and energy-efficient optimization of the multi-branch pipeline system in pneumatic seeders.
The development of this empirical formula demonstrates both innovation and practical value in multiple aspects. On the one hand, through theoretical analysis, single-factor experiments, and full-scale bench testing, the study identified the key structural parameters of the pipeline and airflow operating parameters that influence the main pipe’s pressure loss, including the flow rate of branch pipe 1, branch pipe’s inner diameter, header’s inner diameter, main pipe’s inner diameter, and the spacing of branch pipes. On the other hand, based on the axial momentum conservation theorem and CFD simulations [25,26], the model integrates microscopic flow field behavior with macroscopic pipeline structural characteristics, successfully establishing an engineering-applicable predictive formula for the main pipe’s pressure loss. The prediction error of this empirical formula is less than 10%, meeting the accuracy requirements for agricultural machinery engineering applications [39,42,43]. It can serve as an initial design reference for pipeline selection under different combinations of structural parameters, thereby reducing the modeling burden traditionally dependent on extensive simulation experiments and improving design efficiency.
Meanwhile, the empirical formula proposed in this study not only provides technical guidance for selecting appropriate pipeline structural parameters for pneumatic seeders under different crop types and working widths, but also serves as a basis for determining the air volume and pressure parameters of the supporting blower. This helps to avoid the excessive energy consumption caused by improper structural selection, thereby improving the overall energy efficiency of the system. This has positive implications for promoting the green, low-carbon, and energy-efficient development of agricultural machinery [51,52,53].
However, the current study still has certain limitations. First, the established prediction formula is based on a single-variable experimental design, and the interactive effects among parameters have not yet been thoroughly investigated, resulting in an incomplete representation of the coupling effects among various structural factors in the multi-branch pipeline system. Second, the applicability of the empirical formula is primarily limited to the operational parameter range of a 10-row seeding scenario; therefore, its adaptability to seeding operations with fewer than 10 rows still requires further validation. In addition, this study does not fully consider the influence of practical working conditions such as the blower’s dynamic output characteristics, operational posture disturbances, and vibration excitations on airflow stability and energy loss. Therefore, future research will focus on the following directions: (1) systematically optimizing and expanding the existing pipeline design formula using multi-factor response surface analysis to improve its adaptability and universality; (2) developing a CFD-based multi-physics coupled simulation model that accounts for both dynamic operational disturbances and multivariable coupling effects, to further enhance the understanding of flow loss mechanisms; and (3) creating an intelligent multi-branch pipeline design platform with adaptive regulation capabilities based on crop agronomic requirements and seeding device configuration schemes, in order to better support structural design and energy consumption control for various types of pneumatic seeding equipment.
In summary, the main pipe’s pressure drop prediction method proposed in this study provides both modeling support and engineering guidance for the design of multi-branch pipeline systems, demonstrating strong innovation and broad applicability. On this basis, further expanding its design strategies and application boundaries in consideration of the diversity of practical operating conditions and the complexity of application environments will lay a solid foundation for optimizing the energy efficiency and standardizing the structure of pneumatic seeding systems.

5. Conclusions

This study investigates the airflow behavior within the multi-branch distribution pipeline of the pneumatic system in a pneumatic rice seeder, elucidates the airflow mechanism in the multi-branch distribution pipeline, and identifies the primary geometric factors influencing the airflow behavior. Using the axial momentum conservation theorem, Fluent simulation, and dimensional analysis, the airflow patterns and pressure loss mechanisms in the multi-branch distribution pipeline were analyzed and summarized from both microscopic and macroscopic perspectives. The following conclusions were drawn:
(1) Through single-factor experiments and Fluent simulations, the primary experimental factors influencing the fluid flow and the main pipe pressure in the multi-branch distribution pipeline were determined to be the branch pipe’s flow rate (Q, m3·s−1), branch pipe’s inner diameter (d, m), branch pipe’s spacing (δ, m), header’s inner diameter (γ, m), and the main pipe’s inner diameter (D, m). It was found that the variation in the pressure along the header axis and the along-path loss in the inlet branch pipe are the fundamental causes of the differences in the main pipe’s pressure loss, and that they are also the main mechanisms causing uneven flow distribution among the branch pipes.
(2) Through full-scale model experiments and applying dimensional analysis, an empirical equation was established to predict the main pipe’s pressure loss in multi-branch distribution pipelines. The range of branch pipe 1’s flow rate Q was from 0.0018 m3·s−1 to 0.0045 m3·s−1, the branch pipe’s inner diameter d ranged from 0.0272 m to 0.036 m, the branch pipe’s spacing δ ranged from 0.225 m to 0.26 m, the header’s inner diameter γ ranged from 0.057 m to 0.0814 m, and the main pipe’s inner diameter D ranged from 0.0426 m to 0.0536 m. Within these parameters, the prediction error for the main pipe’s pressure loss P was less than 10%, which meets the general requirements for engineering applications. This formula can serve as a reference for the design and structural optimization of pneumatic systems in pneumatic seeders.

Author Contributions

Conceptualization, W.Q. and Y.Z.; methodology, W.Q. and Y.Z.; software, W.Q.; validation, C.Q. and Y.L.; formal analysis, C.Q.; investigation, D.Y.; resources, Y.Z.; data curation, Z.F.; writing—original draft preparation, W.Q. and Y.Z.; writing—review and editing, W.Q., M.Z., Y.Z. and Z.W.; project administration, Y.Z.; funding acquisition, Y.Z. All authors have read and agreed to the published version of the manuscript.

Funding

This research was funded by the National Natural Science Foundation of China, grant number 52175228, the Key Area Research and Development Program of Guangdong, grant number 2023B0202130001, and the earmarked fund for CARS, grant number CARS-01.

Data Availability Statement

Data is contained within the article.

Conflicts of Interest

The authors declare no conflicts of interest.

References

  1. Huang, Z.; Jiang, Y.; Qin, W.; He, S.; Qian, C.; Wang, Z.; Wang, Z.; Zang, Y. Establishment and validation of a negative pressure prediction model for rice air-suction seed-metering device. Biosyst. Eng. 2025, 253, 104126. [Google Scholar] [CrossRef]
  2. Zhang, M.; Zhao, P.; Gao, X.; Lai, Q. Development of a new environmentally friendly and efficient centrifugal variable diameter metering device. Front. Plant Sci. 2024, 15, 1404201. [Google Scholar] [CrossRef]
  3. Niu, Q.; Yu, W.; Yan, W.; Zhang, H.; Wang, L.; Li, C.; Wang, C. Optimised Design and Simulation Analysis of a Double-Row Pneumatic Injection Seeding Device. Agriculture 2024, 14, 1376. [Google Scholar] [CrossRef]
  4. Wang, L.; Xiao, W.; Shi, B.; Li, X.; Liao, Q.; Liao, Y. Numerical and experimental study on the performance of a stabilizing turbine inside a seed distribution device. Biosyst. Eng. 2024, 246, 219–232. [Google Scholar] [CrossRef]
  5. Antonio, B.G.; Noé, S.R.; Diego, R.J.; Cesar, G.V.; Jorge, A.A.A.; Jimmy, B.B.; Alberto, S.R. Advancements in pneumatic seed-metering devices: A review of numerical and experimental approaches. Results Eng. 2025, 26, 105626. [Google Scholar] [CrossRef]
  6. Dong, J.; Gao, X.; Zheng, Z.; Zhao, P.; Bi, Y.; Huang, Y. Design and testing of a posture-adjusting precision metering device for high-speed maize planting. Front. Plant Sci. 2025, 16, 1458597. [Google Scholar] [CrossRef]
  7. Ma, X.; Gong, Q.; Wang, Q.; Xu, D.; Zhou, Y.; Chen, G.; Cao, X.; Wang, L. Design of an Air Suction Wheel-Hole Single Seed Drill for a Wheat Plot Dibbler. Agriculture 2022, 12, 1735. [Google Scholar] [CrossRef]
  8. Zang, Y.; He, S.; Wang, Z.; Liu, S.; Wang, X.; Wen, Z. Design of pneumatic single seed metering device for coated hybrid rice. Trans. Chin. Soc. Agri. Eng. 2021, 37, 10–18. [Google Scholar]
  9. Zhang, Z.; Chen, J.; Li, Y.; Guan, Z.; Liao, C.; Qiao, X. Design and experiment on the air-blowing and vibrating supply seed tray for precision seeders. Int. J. Agric. Biol. Eng. 2022, 15, 115–121. [Google Scholar] [CrossRef]
  10. Hai, N.T.; Chosa, T.; Tojo, S.; Thi-Hien, N. Application of a Similarity Measure Using Fuzzy Sets to Select the Optimal Plan for an Air-Assisted Rice Seeder. Appl. Sci. 2021, 11, 6715. [Google Scholar] [CrossRef]
  11. Rice Today—Farmer-Focused Partnership Leads to Improvement, Innovation of Cambodia’s Rice Sector. Available online: https://ricetoday.irri.org/farmer-focused-partnership-leads-to-improvement-innovation-of-cambodias-rice-sector/ (accessed on 1 June 2020).
  12. APV-PS 800 M1 D. Available online: https://en.apv.at/products/crop-protection-fertilisation/pneumatic-seeders-fertiliser-edition/ps-800-m1-d/ (accessed on 19 April 2025).
  13. Jhon Deere–1725C. Available online: https://www.deere.com/en/planting-equipment/1725c-planter/ (accessed on 12 November 2023).
  14. Hu, L.; Sun, X.; Liu, F. On the relationship between the input of agricultural energy consumption, agricultural Economic growth and agricultural energy carbon emission in China–based on the perspective of green total factor productivity. J. Nanjing Agric. Univ. (Soc. Sci. Ed.) 2024, 24, 174–186. [Google Scholar]
  15. Zhuang, M.; Wang, X.; Yang, Y.; Wu, Y.; Wang, L.; Lu, X. Agricultural machinery could contribute 20% of total carbon and air pollutant emissions by 2050 and compromise carbon neutrality targets in China. Nat. Food 2025, 6, 513–522. [Google Scholar] [CrossRef]
  16. Masami, F.; Tadashi, C.; Yukiharu, S.; Takayuki, T.; Masahiro, S.; Hisashi, H. Developing direct seeding cultivation using an air-assisted strip seeder. Jpn. Agric. Res. Q. 2015, 49, 227–233. [Google Scholar]
  17. Wang, B.; Na, Y.; Chen, M.; Ge, Z.; Pan, Y.; Liu, J.; Wu, W.; Luo, X. Design and Experiment on a Distributed Seed Delivery System with a Pneumatic Central-Cylinder Seeder. Agronomy 2023, 13, 1337. [Google Scholar] [CrossRef]
  18. Salavat, M.; Ildar, B.; Zinnur, R.; Ramil, L.; Elmas, N. Numerical simulation of two-phase “Air-Seed” flow in the distribution system of the grain seeder. Comput. Electron. Agric. 2020, 168, 105151. [Google Scholar]
  19. Li, Z.; Zhang, H.; Xie, R.; Gu, X.; Du, J.; Chen, Y. Evaluation on the Performance of Airflow Dis-tribution Device of Pneumatic Seeder for Rapeseed through CFD Simulations. Agriculture 2022, 12, 1781. [Google Scholar] [CrossRef]
  20. Xiong, D.; Wu, M.; Xie, W.; Liu, R.; Luo, H. Design and experimental study of the general mechanical pneumatic combined seed metering device. Appl. Sci. 2021, 11, 7223. [Google Scholar] [CrossRef]
  21. Gao, X.; Xi, G.; Li, J.; Shi, G.; Lai, Q.; Huang, Y. Design and validation of a centrifugal variable-diameter pneumatic high-speed precision seed-metering device for maize. Biosyst. Eng. 2023, 227, 161–181. [Google Scholar] [CrossRef]
  22. Li, Z.; Wu, J.; Du, J.; Duan, D.; Zhang, T.; Chen, Y. Experimenting and optimizing design parameters for a pneumatic hill-drop rapeseed metering device. Agronomy 2023, 13, 141. [Google Scholar] [CrossRef]
  23. Ding, L.; Yuan, Y.; Dou, Y.; Li, C.; He, Z.; Guo, G.; Zhang, Y.; Chen, B.; Li, H. Design and experiment of air-suction maize seed-metering device with auxiliary guide. Agriculture 2024, 14, 169. [Google Scholar] [CrossRef]
  24. Yang, H. Research on Flow Field Characteristics and Structure Optimization of Macro-Scale Fluid Distribution Manifolds. Ph.D. Thesis, Xi’an University of Architecture and Technology, Xian, China, 2018. [Google Scholar]
  25. Song, P.; Yang, L. Research and design on flow characteristics of single-phase multi-branch parallel pipeline. Pet. Refin. Eng. 2020, 50, 42–47. [Google Scholar]
  26. Qin, L.; Zhou, F.; Yang, J.; Wu, R.; Lu, L. Numerical Research on Flow Distribution and Pressure Loss of Multi-Branch Pipeline Based on Confluence and Distribution. J. South China Univ. Technol. (Nat. Sci. Ed.) 2021, 49, 109–119. [Google Scholar]
  27. Yin, X.; Yang, L.; Zhang, D.; Cui, T.; Han, D.; Zhang, T.; Yu, Y. Design and experiment of balance and low-loss air allotter in air pressure maize precision planter. Trans. Chin. Soc. Agri. Eng. 2016, 32, 9–17. [Google Scholar]
  28. Wei, Y. Research on Negative Pressure Characteristics and Its Control Strategy of Precision Seed-Metering Pneumatic System of Planter for Rapeseed. Master’s Thesis, Huazhong Agricultural University, Wuhan, China, 2016. [Google Scholar]
  29. Zhang, X.; Wen, Z.; Wang, Q.; Li, H.; Zhang, Z.; Liu, J. Research on characteristics of airway pressure loss in seeding-wheel-type pneumatic seeder. Agriculture 2022, 12, 2021. [Google Scholar] [CrossRef]
  30. Li, K.; Li, S.; Ni, X.; Lu, B.; Zhao, B. Analysis and experimental of seeding process of pneumatic split seeder for cotton. Agriculture 2023, 13, 1050. [Google Scholar] [CrossRef]
  31. Wang, B.; Na, Y.; Pan, Y.; Ge, Z.; Liu, J.; Luo, X. CFD Simulation and Experiments of Pneumatic Centralized Cylinder Metering Device Cavity and Airflow Distributor. Agronomy 2022, 12, 1775. [Google Scholar] [CrossRef]
  32. Zhang, Z.; Jiang, Y.; Zhang, M.; Shen, D. Experimental study on rapeseed extrusion cooking using dimensional analysis. Trans. Chin. Soc. Agri. Eng. 2007, 23, 247–252. [Google Scholar]
  33. Wang, K.; Wang, W.; Zhang, H.; Fang, J. Suction force of vibrating suction method based on pi theorem: Analysis and experiment. Vacuum 2012, 86, 1783–1788. [Google Scholar] [CrossRef]
  34. Gao, G. Dimensional Analysis: Theories and Application; China Science Publishing: Beijing, China, 2021. [Google Scholar]
  35. Heba, K.; Mohamed, I.; Hassan, A.; Navya, T.; Isam, J.; Hassan, A.A. Utilizing Buckingham Pi theorem and multiple regression analysis in scaling up direct contact membrane distillation processes. Desalination 2022, 528, 115606. [Google Scholar] [CrossRef]
  36. Michael, W.O.; David, B.D.; Justin, D.M. Multi-scale physics-informed machine learning using the Buckingham Pi theorem. J. Comput. Phys. 2023, 474, 111810. [Google Scholar]
  37. Liao, H.; Yang, K.; Liang, H.; Hu, H.; Wang, X.; Wang, H. A new paradigm in critical flow analysis: Combining Buckingham Pi theorem with neural network for improved predictions in microchannels. Chem. Eng. Sci. 2024, 299, 120483. [Google Scholar] [CrossRef]
  38. Juan, C.F.; Yusuke, S. Correlating mean particle size of pure solids in supercritical antisolvent processes using dimensional analysis with the Buckingham π-theorem. J. Supercrit. Fluids 2025, 218, 106512. [Google Scholar] [CrossRef]
  39. Jiang, Y. Proper formulation of π-equation and a comparison with regressive orthogonal rotating experimental design. Trans. Chin. Soc. Agri. Eng. 1996, 12, 7–11. [Google Scholar]
  40. Yasuhiko, S.; Seiichi, I.; Ikuma, E.; Hideyuki, H.; Horibe, K. Development of pneumatic direct seeding system for submerged paddy field (Part 1)–basic study on the development of seeding system. J. Jpn. Soc. Agric. Mach. 1996, 58, 69–76. [Google Scholar]
  41. Sivasankaran, S.; Hany, R.; Abdulaziz, S.; Mohammad, S. Mathematical modeling (Buckingham’s π Theorem) and optimization technique on mechanically alloyed nanocomposite materials. Int. J. Adv. Technol. Eng. Explor. 2020, 9, 1915–1921. [Google Scholar] [CrossRef]
  42. Li, J.; Lai, Q.; Su, W.; Xie, Y.; Zhang, Z. Research on the influence of the suction force on spherical particles in suction flow. Powder Technol. 2021, 393, 824–836. [Google Scholar] [CrossRef]
  43. Li, J.; Wang, Y.; Wang, Z.; Lai, Q. Model construction of the suction force of high-sphericity particles based on the PI theorem. Powder Technol. 2024, 445, 120095. [Google Scholar] [CrossRef]
  44. Liao, Q.; Yang, S.; Liao, Y.; Cong, J.; Wang, L. Modeling for performance and parameters of pneumatic seed-metering system of precision planter for rapeseed. Trans. Chin. Soc. Agri. Eng. 2013, 29, 9–15. [Google Scholar]
  45. Shu, C.; Wei, Y.; Liao, Y.; Lei, X.; Li, Z.; Wang, D.; Liao, Q. Influence of air blower parameters of pneumatic seed-metering system for rapeseed on negative pressure characteristics and air blower selection. Trans. Chin. Soc. Agri. Eng. 2016, 32, 26–33. [Google Scholar]
  46. Xing, H.; Wang, Z.; Luo, X.; Cao, X.; Liu, C.; Zang, Y. General structure design and field experiment of pneumatic rice direct-seeder. Int. J. Agric. Biol. Eng. 2017, 10, 31–42. [Google Scholar] [CrossRef]
  47. Bajura, R. A model for flow distribution in manifolds. J. Eng. Gas Turbines Power 1971, 93, 7–13. [Google Scholar] [CrossRef]
  48. Qin, W. Research on Pneumatic System of Air Suction Type Rice Precision Direct Seeder. Ph.D. Thesis, South China Agricultural University, Guangzhou, China, 2023. [Google Scholar]
  49. Duan, J. Rice Planting Distribution and Its Response to Climate Change in China. Ph.D. Thesis, Nanjing University of Information Science and Technology, Nanjing, China, 2012. [Google Scholar]
  50. GB/T 1236-2017; Industrial fan—Performance testing using standardized airways. General Administration of Quality Supervision, Inspection and Quarantine of the People’s Republic of China, Standardization Administration of China: Beijing, China, 2017.
  51. Shao, M.; Wu, Q.; Zhao, F.; Wang, J.; He, Y.; Tang, R.; Mostafa, R.; Li, W.; Jiang, Q. A review of current GHG emissions in Chinese farmland and the carbon sequestration and emission reduction technologies. J. Intell. Agric. Mech. 2025, 6, 99–110. [Google Scholar]
  52. Wu, J.; Su, J.; Du, H.; Wei, J.; Chen, X. Application of Electric Energy Substitution Technology in Agricultural Carbon Emission Reduction. Rural. Electrif. 2023, 10, 61–67. [Google Scholar]
  53. Han, S.; Zhang, H.; Li, H.; Xun, Z. Digital transformation and carbon emission reduction: The moderating effect of external pressure and support. J. Clean. Prod. 2025, 500, 145108. [Google Scholar] [CrossRef]
Figure 1. Full-scale model test stand for pneumatic seeder.
Figure 1. Full-scale model test stand for pneumatic seeder.
Agriculture 15 01681 g001
Figure 2. Multi-branch pipeline.
Figure 2. Multi-branch pipeline.
Agriculture 15 01681 g002
Figure 3. Schematic diagram of airflow behavior in the multi-branch pipeline. (a) Flow division behavior of airflow on the left side of the multi-branch pipeline; (b) airflow separation behavior in the tee.
Figure 3. Schematic diagram of airflow behavior in the multi-branch pipeline. (a) Flow division behavior of airflow on the left side of the multi-branch pipeline; (b) airflow separation behavior in the tee.
Agriculture 15 01681 g003
Figure 4. Cartesian coordinate system. Note: A, B, C, M′, and N are the monitoring points of air flow parameters of branch pipes 1–5, respectively, (xi, yi), (i = 1,2,3,4,5) are the coordinate values of branch pipes 1 to 5, respectively; (x0, y0) is the coordinate value of the outlet monitoring point O of the branch pipe. The red dotted box is the tee.
Figure 4. Cartesian coordinate system. Note: A, B, C, M′, and N are the monitoring points of air flow parameters of branch pipes 1–5, respectively, (xi, yi), (i = 1,2,3,4,5) are the coordinate values of branch pipes 1 to 5, respectively; (x0, y0) is the coordinate value of the outlet monitoring point O of the branch pipe. The red dotted box is the tee.
Agriculture 15 01681 g004
Figure 5. Multi-branch pipeline geometry model and mesh generation.
Figure 5. Multi-branch pipeline geometry model and mesh generation.
Agriculture 15 01681 g005
Figure 6. P value magnitude at header axis under the influence of various factors. (a) Flow rate of branch pipe 1; (b) branch pipe’s inner diameter; (c) header’s inner diameter; (d) main pipe’s inner diameter; and (e) the spacing of branch pipes.
Figure 6. P value magnitude at header axis under the influence of various factors. (a) Flow rate of branch pipe 1; (b) branch pipe’s inner diameter; (c) header’s inner diameter; (d) main pipe’s inner diameter; and (e) the spacing of branch pipes.
Agriculture 15 01681 g006
Figure 7. P value magnitude at branch pipe axis under the influence of various factors. (a) Flow rate of branch pipe 1; (b) branch pipe’s inner diameter; (c) header’s inner diameter; (d) main pipe’s inner diameter; and (e) the spacing of branch pipes.
Figure 7. P value magnitude at branch pipe axis under the influence of various factors. (a) Flow rate of branch pipe 1; (b) branch pipe’s inner diameter; (c) header’s inner diameter; (d) main pipe’s inner diameter; and (e) the spacing of branch pipes.
Agriculture 15 01681 g007
Figure 8. Pressure and velocity distribution at the header axis of multi-branch pipe under the influence of various factors. (a) Flow rate of branch pipe 1; (b) branch pipe’s inner diameter; (c) header’s inner diameter; (d) main pipe’s inner diameter; and (e) the spacing of branch pipes.
Figure 8. Pressure and velocity distribution at the header axis of multi-branch pipe under the influence of various factors. (a) Flow rate of branch pipe 1; (b) branch pipe’s inner diameter; (c) header’s inner diameter; (d) main pipe’s inner diameter; and (e) the spacing of branch pipes.
Agriculture 15 01681 g008aAgriculture 15 01681 g008bAgriculture 15 01681 g008c
Figure 9. Full-scale model test bench and the multi-branch pipeline.
Figure 9. Full-scale model test bench and the multi-branch pipeline.
Agriculture 15 01681 g009
Table 1. Experimental factors and levels.
Table 1. Experimental factors and levels.
LevelFactors
Q/m3·s−1d/mγ/mδ/mD/m
10.00090.01940.04260.2000.0340
20.00180.02720.05360.2250.0360
30.00270.03400.05700.2500.0426
40.00360.04260.06780.2750.0536
50.00450.04520.08140.3000.0570
Table 2. Experimental factors and their dimensional expressions.
Table 2. Experimental factors and their dimensional expressions.
FactorρΔlμQdδγDP
Unitkg·m−3mPa·sm3·s−1mmmmPa
DimensionalML−3LML−1T−1LT−1LLLLML−1T−2
Table 3. Dimensional matrix coefficients based on reference physical quantities.
Table 3. Dimensional matrix coefficients based on reference physical quantities.
FactorQdδγDP
ρ−10000−1
L11111−2
μ100002
Table 4. Experimental design of each π equation.
Table 4. Experimental design of each π equation.
Design of π 1 / 2 3 ¯ , 4 ¯ , 5 ¯ , 6 ¯ and π 1 / 2 3 ¯ , 4 ̿ , 5 ¯ , 6 ¯ No.ρ/kg·m−3Δl/mμ/Pa·sQ/m3·s−1d/mδ/mγ/mD/m
11.170.11.84 × 10−50.00090.0340.25 (0.3)0.0570.0426
21.170.11.84 × 10−50.00180.0340.25 (0.3)0.0570.0426
31.170.11.84 × 10−50.00270.0340.25 (0.3)0.0570.0426
41.170.11.84 × 10−50.00360.0340.25 (0.3)0.0570.0426
51.170.11.84 × 10−50.00450.0340.25 (0.3)0.0570.0426
Design of π 1 / 3 2 ¯ , 4 ¯ , 5 ¯ , 6 ¯ and π 1 / 3 2 ¯ , 4 ̿ , 5 ¯ , 6 ¯ 11.170.11.84 × 10−50.00270.01940.25 (0.3)0.0570.0426
21.170.11.84 × 10−50.00270.02720.25 (0.3)0.0570.0426
31.170.11.84 × 10−50.00270.03400.25 (0.3)0.0570.0426
41.170.11.84 × 10−50.00270.04260.25 (0.3)0.0570.0426
51.170.11.84 × 10−50.00270.04520.25 (0.3)0.0570.0426
Design of π 1 / 4 2 ¯ , 3 ¯ , 5 ¯ , 6 ¯ and π 1 / 4 2 ̿ , 3 ¯ , 5 ¯ , 6 ¯ 11.170.11.84 × 10−50.0027 (0.0045)0.0340.2000.0570.0426
21.170.11.84 × 10−50.0027 (0.0045)0.0340.2250.0570.0426
31.170.11.84 × 10−50.0027 (0.0045)0.0340.2500.0570.0426
41.170.11.84 × 10−50.0027 (0.0045)0.0340.2750.0570.0426
51.170.11.84 × 10−50.0027 (0.0045)0.0340.3000.0570.0426
Design of π 1 / 5 2 ¯ , 3 ¯ , 4 ¯ , 6 ¯ and π 1 / 5 2 ¯ , 3 ¯ , 4 ̿ , 6 ¯ 11.170.11.84 × 10−50.00270.0340.25 (0.3)0.04260.0426
21.170.11.84 × 10−50.00270.0340.25 (0.3)0.05360.0426
31.170.11.84 × 10−50.00270.0340.25 (0.3)0.05700.0426
41.170.11.84 × 10−50.00270.0340.25 (0.3)0.06780.0426
51.170.11.84 × 10−50.00270.0340.25 (0.3)0.08140.0426
Design of π 1 / 6 2 ¯ , 3 ¯ , 4 ¯ , 5 ¯ and π 1 / 6 2 ¯ , 3 ¯ , 4 ̿ , 5 ¯ 11.170.11.84 × 10−50.00270.0340.25 (0.3)0.0570.0340
21.170.11.84 × 10−50.00270.0340.25 (0.3)0.0570.0360
31.170.11.84 × 10−50.00270.0340.25 (0.3)0.0570.0426
41.170.11.84 × 10−50.00270.0340.25 (0.3)0.0570.0536
51.170.11.84 × 10−50.00270.0340.25 (0.3)0.0570.0570
Table 5. Results and each π equation.
Table 5. Results and each π equation.
Results   and   π   Equations   of   π 1 / 2 3 ¯ , 4 ¯ , 5 ¯ , 6 ¯   a n d   π 1 / 2 3 ¯ , 4 ̿ , 5 ¯ , 6 ¯
Q/m3·s−1d = 0.034 m, δ = 0.25 m, γ = 0.057 m, D = 0.0426 m  π ¯ 3 = 0.34 , π ¯ 4 = 2.5 , π ¯ 5 = 0.57 , π ¯ 6   =   0.426 δ =   0.3   m ,   π ̿ 4 =  3, Other Parts Are Identical to the Table on the Left
π2P/PaThe Actual Value of π1π2P/PaThe Actual Value of π1
0.0009571.7932.671.13 × 109571.7934.001.17 × 109
0.00181143.5975.002.59 × 1091143.5963.502.19 × 109
0.00271715.38111.003.84 × 1091715.38101.503.51 × 109
0.00362287.17172.005.94 × 1092287.17155.005.36 × 109
0.00452858.97227.337.86 × 1092858.97209.007.22 × 109
C2 = −0.00084π24 + 5.74π23 − 13203.1π22 + 1.44 × 107π2 − 3.78 × 109
R2 = 0.99
c2 = −0.0023π24 + 1.91π23 − 3681.9π22+ 4.56 × 106π2 − 5.53 × 108
R2 = 0.99
Results and π Equations of Design of π 1 / 3 2 ¯ , 4 ¯ , 5 ¯ , 6 ¯   and   π 1 / 3 2 ¯ , 4 ̿ , 5 ¯ , 6 ¯
d/mQ   = 0.0027 m3·s−1, δ = 0.25 m, γ = 0.057 m, D = 0.0426 m;  π ¯ 2 =   1715.38,  π ¯ 4 = 2.5 ,   π ¯ 5   =   0.57,  π ¯ 6 = 0.426 δ   = 0.3 m,  π ̿ 4 =  3, Other Parts Are Identical to the Table on the Left
π3P/PaThe Actual Value of π1π3P/PaThe Actual Value of π1
0.01940.194379.331.32 × 10100.194392.331.36 × 109
0.02720.272155.005.36 × 1090.272137.674.76 × 109
0.03400.340111.003.84 × 1090.340101.503.51 × 109
0.03600.360152.675.28 × 1090.360121.334.19 × 109
0.04520.45293.003.21 × 1090.452122.004.22 × 109
C3 = −5.40 × 1013π34 + 6.62 × 1013π33 − 2.92 × 1013π32+ 5.42 × 1012π3 − 3.47 × 1011
R2 = 0.99
c3 = −1.83 × 1013π34 + 2.10 × 1013π33 − 8.28 × 1012π32 + 1.24 × 1012π3 − 4.33 × 1010
R2 = 0.99
Results and π Equations of π 1 / 4 2 ¯ , 3 ¯ , 5 ¯ , 6 ¯   a n d   π 1 / 4 2 ̿ , 3 ¯ , 5 ¯ , 6 ¯
δ/mQ = 0.0027 m3·s−1, d = 0.034 m, γ = 0.057 m, D = 0.0426 m;  π ¯ 2   =  1715.38,  π ¯ 3 = 0.34 , π ¯ 5   =   0.57,  π ¯ 6   =   0.426 Q   = 0.0045 m3·s−1, π ̿ 2 =   2858.97, Other Parts Are Identical to the Table on the Left
π4P/PaThe Actual Value of π1π4P/PaThe Actual Value of π1
0.2002.00181.006.26 × 1092.00375.001.30 × 1010
0.2252.25186.006.43 × 1092.25429.001.48 × 1010
0.2502.50111.003.84 × 1092.50227.337.86 × 109
0.2752.7587.003.01 × 1092.75212.007.33 × 109
0.3003.00101.503.51 × 1093.00209.007.22 × 109
C4 = −5.28 × 1010π54 + 5.51 × 1011π53 − 2.13 × 1012π52+ 3.62 × 1012π5 − 2.27 × 1012
R2 = 0.99
c4 = −2.27 × 1011π54 + 2.32 × 1012π53 − 8.82 × 1012π52 + 1.48 × 1013π5 − 9.18 × 1012
R2 = 0.99
Results and π Equations of π 1 / 5 2 ¯ , 3 ¯ , 4 ¯ , 6 ¯   a n d   π 1 / 5 2 ¯ , 3 ¯ , 4 ̿ , 6 ¯
γ/mQ   = 0.0027 m3·s−1, d = 0.034 m, δ = 0.25 m, D = 0.0426 m;   π ¯ 2 = 1715.38 , π ¯ 3 = 0.34 , π ¯ 4 =   2.5,  π ¯ 6 = 0.426 δ  = 0.3 m,  π ̿ 4 =  3, Other Parts Are Identical to the Table on the Left
π5P/PaThe Actual Value of π1π5P/PaThe Actual Value of π1
0.04260.42650.681.75 × 1090.42667.002.32 × 109
0.05360.536189.336.54 × 1090.536213.337.37 × 109
0.05700.570111.003.84 × 1090.570101.503.51 × 109
0.06780.678116.674.03 × 1090.678109.003.77 × 109
0.08140.814135.004.67 × 1090.814128.674.45 × 109
C5 = −1.98 × 1013π64 + 4.95 × 1013π63 − 4.55 × 1013π62+ 1.83 × 1013π6 − 2.70 × 1012
R2 = 0.99
c5 = −2.72 × 1013π64 + 6.77 × 1013π63 − 6.22 × 1013π62 + 2.49 × 1013π6 − 3.66 × 1012
R2 = 0.99
Results and π Equations of π 1 / 6 2 ¯ , 3 ¯ , 4 ¯ , 5 ¯   a n d   π 1 / 6 2 ¯ , 3 ¯ , 4 ̿ , 5 ¯
D/mQ   = 0.0027 m3·s−1, d = 0.034 m, δ = 0.25 m, γ = 0.057 m;  π ¯ 2 =   1715.38,  π ¯ 3 = 0.34 , π ¯ 4 = 2.5,  π ¯ 5 =   0.57δ   = 0.3 m,  π ̿ 4 =  3, Other Parts Are Identical to the Table on the Left
π6P/PaThe Actual Value of π1π6P/PaThe Actual Value of π1
0.03400.340318.671.10 × 10100.340315.671.09 × 1010
0.03600.360305.501.06 × 10100.360328.331.13 × 1010
0.04260.426111.003.84 × 1090.426101.503.51 × 109
0.05360.5366.002.07 × 1080.5364.331.50 × 108
0.05700.5707.332.53 × 1080.5703.001.04 × 108
C6 = −3.22 × 1013π84 + 6.03 × 1013π83 − 4.14 × 1013π82 + 1.24 × 1013π8 − 1.34 × 1012
R2 = 0.99
c6 = −5.36 × 1013π84 + 1.00 × 1013π83 − 6.88 × 1013π82 + 2.06 × 1013π8 − 2.26 × 1012
R2 = 0.99
Table 6. The first validity experimental results of the π equations.
Table 6. The first validity experimental results of the π equations.
π ¯ 2 = 1715.38 ,   π ¯ 3 = 0.34 ,   π ¯ 4 = 1.5 ,   π ¯ 5 = 2.5 ,   π ¯ 6 =  0.57
π2π1*P*/PaP/PaEr./%π3π1*P*/PaP/PaEr./%
571.791.13 × 10932.2532.671.310.1941.31 × 1010374.49379.331.29
1143.592.59 × 10974.0375.001.310.2725.36 × 109153.01155.001.30
1715.383.84 × 109109.57111.001.310.3403.84 × 109109.57111.001.31
2287.175.94 × 109169.78172.001.310.3605.28 × 109150.70152.671.31
2858.977.86 × 109224.39227.331.310.4523.21 × 10991.7793.001.34
π ¯ 2 = 1715.38 , π ¯ 3 = 0.34 , π ¯ 4 = 1.5 ,   π ¯ 5 = 2.5 ,   π ¯ 6 =   0.57
π4π1*P*/PaP/PaEr./%π5π1*P*/PaP/PaEr./%
2.006.26 × 109179.52181.000.820.4261.75 × 10949.6650.682.06
2.256.43 × 109184.34186.000.900.5366.54 × 109187.12189.331.18
2.503.84 × 109109.57111.001.310.5703.84 × 109109.36111.001.50
2.753.01 × 10985.4887.001.770.6784.03 × 109114.92116.671.53
3.003.51 × 10999.66101.501.850.8144.67 × 109133.10135.001.43
π ¯ 2 = 1715.38 ,   π ¯ 3 = 0.34 ,   π ¯ 4 = 1.5 ,   π ¯ 5 = 2.5 ,   π ¯ 6 =   0.57
π6π1*P*/PaP/PaEr./%
0.03401.10 × 1010318.88318.67−0.06
0.03601.06 × 1010305.71305.50−0.07
0.04263.84 × 109111.21111.00−1.87
0.05362.07 × 1096.176.00−2.73
0.05702.53 × 1097.477.33−1.94
Note: π1* and P* represent the data obtained via π equation and empirical formula of P, Er. abbreviation of relative error between the data value obtained from empirical formula and the actual test value in Table 6, Table 7 and Table 8.
Table 7. The second validity experimental results of the π equations.
Table 7. The second validity experimental results of the π equations.
Er .   from   Substituting   π ̿ 4   f o r   π ¯ 4 Er .   from   Substituting   π ̿ 4   f o r   π ¯ 4 Er .   from   Substituting   π ̿ 4   f o r   π ¯ 4
π2Er./%π3Er./%π4Er./%π5Er./%π6Er./%
571.7917.670.19416.892.003.410.42649.380.34011.56
1143.594.260.2720.402.2515.180.53626.700.36021.04
1715.383.400.3403.402.503.400.5703.400.4263.40
2287.171.900.36010.142.7523.690.6785.960.5366.55
2858.973.960.45248.323.005.030.8148.460.57043.61
Table 8. The third validity experimental results of the π equations.
Table 8. The third validity experimental results of the π equations.
No.Q/m3·s−1d/mδ/mγ/mD/mπ2π3π4π5π6P*/PaP/PaEr./%
10.002270.0340.250.0570.04261442.190.342.50.570.42686.6789.983.82
20.002700.0210.250.0570.04261715.380.212.50.570.426274.67356.0122.85
30.002700.0280.250.0570.04261715.380.242.50.570.426129.33131.711.80
40.002700.0340.260.0570.04261715.380.342.60.570.42691.3592.941.74
50.002700.0340.250.04520.04261715.380.342.50.4520.426210.89184.5312.50
60.002700.0340.250.06380.04261715.380.342.50.6380.42656.3751.179.23
70.002700.0340.250.0570.04521715.380.342.50.570.45245.3343.773.44
Note: The bold text indicates the experimental parameter points selected for the third validation test and their corresponding π values.
Disclaimer/Publisher’s Note: The statements, opinions and data contained in all publications are solely those of the individual author(s) and contributor(s) and not of MDPI and/or the editor(s). MDPI and/or the editor(s) disclaim responsibility for any injury to people or property resulting from any ideas, methods, instructions or products referred to in the content.

Share and Cite

MDPI and ACS Style

Qin, W.; Qian, C.; Li, Y.; Yan, D.; Fan, Z.; Zhang, M.; Zang, Y.; Wang, Z. Mechanism Analysis and Establishment of a Prediction Model for the Total Pressure Loss in the Multi-Branch Pipeline System of the Pneumatic Seeder. Agriculture 2025, 15, 1681. https://doi.org/10.3390/agriculture15151681

AMA Style

Qin W, Qian C, Li Y, Yan D, Fan Z, Zhang M, Zang Y, Wang Z. Mechanism Analysis and Establishment of a Prediction Model for the Total Pressure Loss in the Multi-Branch Pipeline System of the Pneumatic Seeder. Agriculture. 2025; 15(15):1681. https://doi.org/10.3390/agriculture15151681

Chicago/Turabian Style

Qin, Wei, Cheng Qian, Yuwu Li, Daoqing Yan, Zhuorong Fan, Minghua Zhang, Ying Zang, and Zaiman Wang. 2025. "Mechanism Analysis and Establishment of a Prediction Model for the Total Pressure Loss in the Multi-Branch Pipeline System of the Pneumatic Seeder" Agriculture 15, no. 15: 1681. https://doi.org/10.3390/agriculture15151681

APA Style

Qin, W., Qian, C., Li, Y., Yan, D., Fan, Z., Zhang, M., Zang, Y., & Wang, Z. (2025). Mechanism Analysis and Establishment of a Prediction Model for the Total Pressure Loss in the Multi-Branch Pipeline System of the Pneumatic Seeder. Agriculture, 15(15), 1681. https://doi.org/10.3390/agriculture15151681

Note that from the first issue of 2016, this journal uses article numbers instead of page numbers. See further details here.

Article Metrics

Back to TopTop