Effects of Legume–Grass Mixture Combinations and Planting Ratios on Forage Productivity and Nutritional Quality in Typical Sand-Fixing Vegetation Areas of the Mu Us Sandy Land
Abstract
1. Introduction
2. Materials and Methods
2.1. Overview of the Study Area
2.2. Experimental Materials and Design
2.3. Measured Parameters and Analytical Methods
2.3.1. Plant Height
2.3.2. Hay Yield
2.3.3. Nutritional Composition
2.3.4. Interspecific Competition
Relative Yield and Relative Yield Total
Land Equivalent Ratio
Aggressivity
Competition Ratio
2.4. Data Statistics and Analysis
3. Results
3.1. Effects of Mixed Cropping of Legumes and Grasses on Forage Plant Height
3.2. Effects of Mixed Cropping of Legumes and Grasses on Hay Yield
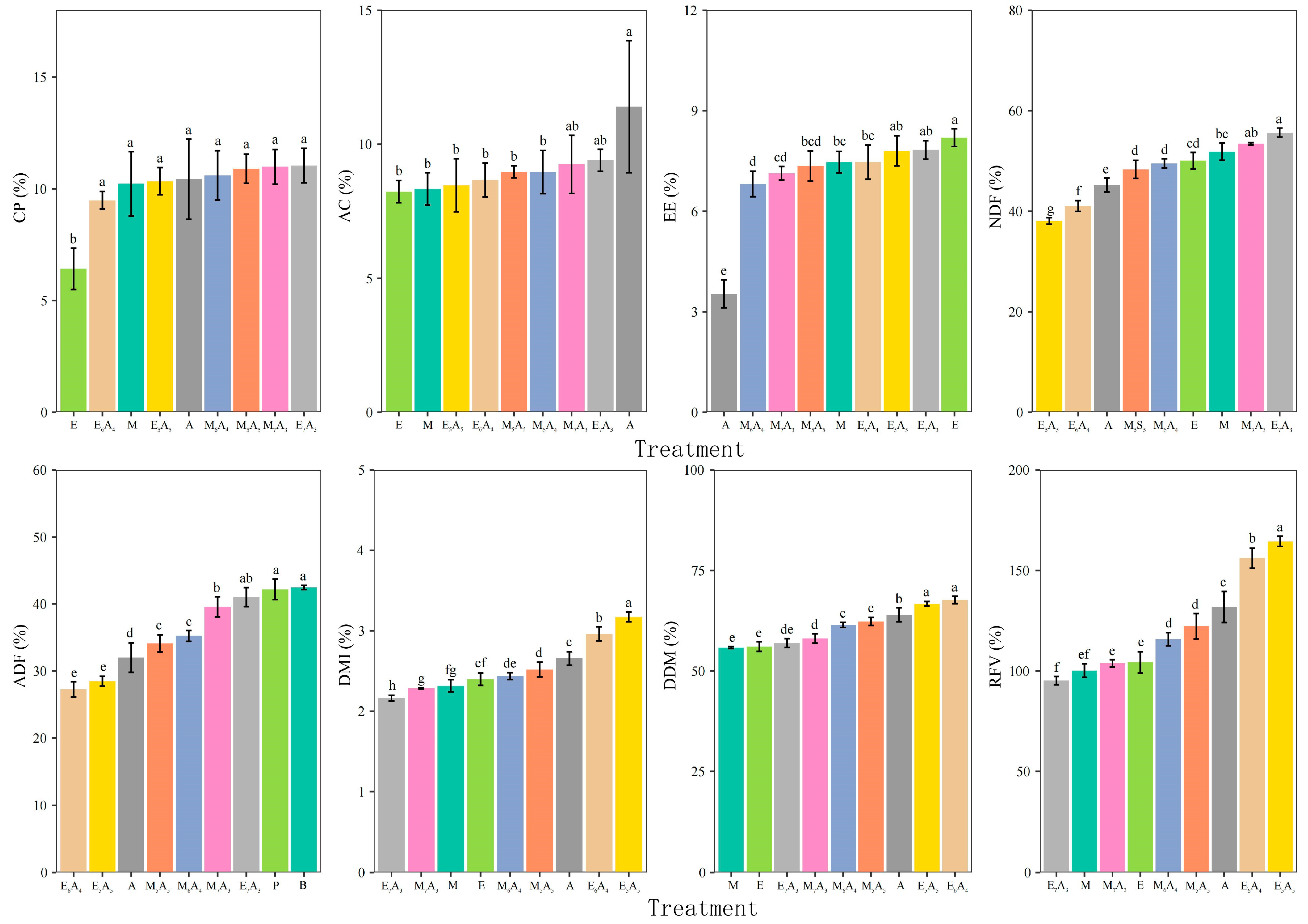
3.3. Legumes and Grasses Mixtures Elevate Forage Nutritional Status
3.4. Competitive Indices of Legumes and Grasses in Mixed Stands
3.4.1. Land Equivalent Ratio of Legumes and Grasses in Mixed Stands
3.4.2. Relative Yield, Aggressivity, and Competition Ratio of Legumes and Grasses in Mixed Stands
3.5. Interrelationships Among Yield, Nutritional Quality, and Interspecific Competition in Mixed Cropping Systems of Legumes and Grasses
3.5.1. Correlation Analysis of Yield, Nutritional Quality, and Interspecific Competition
3.5.2. Principal Component Analysis of Yield, Nutritional Quality, and Interspecific Competition
3.5.3. Linear Regression of Legume Proportion with Yield and Nutritional Quality
3.6. Comprehensive Evaluation of Forage Production Performance
4. Discussion
4.1. Effects of Mixed Cropping of Legumes and Grasses on Production Performance
4.2. Effects of Mixed Cropping of Legumes and Grasses on Nutritional Quality
4.3. Effects of Mixed Cropping of Legumes and Grasses on Interspecific Competition
4.4. Relationships Among Yield, Nutritional Quality, and Interspecific Competition
5. Conclusions
Author Contributions
Funding
Institutional Review Board Statement
Data Availability Statement
Conflicts of Interest
References
- Xu, Z.N.; Liang, W.; Lei, J.H.; Wu, Y.X.; Wang, Z.G. Monitoring and assessment of desertification reversal in ecologically fragile areas: A case study of the Mu Us Sandy Land. J. Environ. Manag. 2025, 373, 123695. [Google Scholar] [CrossRef]
- Yan, F.; Wu, B.; Wang, Y. Estimating aboveground biomass in Mu Us Sandy Land using Landsat spectral derived vegetation indices over the past 30 years. J. Arid Land 2013, 5, 521–530. [Google Scholar]
- Fei, B.; Ma, H.; Yin, J.; Zhang, L.; Li, J.; Xiu, X.; Zhou, D.; Pang, Y.; Zhang, Y.; Jia, X.; et al. Landscape Dynamics of the Mu Us Sandy Land Based on Multi-Source Remote Sensing Images. Land 2024, 13, 977. [Google Scholar] [CrossRef]
- Huang, L.M.; Wang, Z.W.; Pei, Y.W.; Zhu, X.C.; Jia, X.X.; Shao, M.A. Adaptive water use strategies of artificially revegetated plants in a water-limited desert: A case study from the Mu Us Sandy Land. J. Hydrol. 2024, 644, 132103. [Google Scholar] [CrossRef]
- Wang, X.M.; Hua, T.; Ma, W.Y. Responses of aeolian desertification to a range of climate scenarios in China. Solid Earth 2016, 7, 959–964. [Google Scholar]
- Tahir, M.; Li, C.; Zeng, T.; Xin, Y.; Chen, C.; Javed, H.H.; Yang, W.; Yan, Y. Mixture Composition Influenced the Biomass Yield and Nutritional Quality of Legume–Grass Pastures. Agronomy 2022, 12, 1449. [Google Scholar] [CrossRef]
- Lu, Y.; Mu, L.; Yang, M.; Yang, H. Lucerne Proportion Regulates Competitive Uptake for Nitrogen and Phosphorus in Lucerne and Grass Mixtures on the Loess Plateau of China. Agronomy 2022, 12, 1258. [Google Scholar] [CrossRef]
- Darambazar, E.; Larson, K.; Schoenau, J.; Wang, G.; Biligetu, B.; Damiran, D.; Lardner, H.A. Evaluation of Alfalfa and Grass Species in Binary and Complex Mixtures on Performance under Soil Salinity Conditions. Agronomy 2022, 12, 1672. [Google Scholar] [CrossRef]
- Raza, M.A.; Gul, H.; Wang, J.; Yasin, H.S.; Qin, R.; Khalid, M.H.B.; Naeem, M.; Feng, L.Y.; Iqbal, N.; Gitari, H.; et al. Land productivity and water use efficiency of maize-soybean strip intercropping systems in semi-arid areas: A case study in Punjab Province, Pakistan. J. Clean. Prod. 2021, 308, 127282. [Google Scholar] [CrossRef]
- Soe Htet, M.N.; Wang, H.; Yadav, V.; Sompouviseth, T.; Feng, B. Legume Integration Augments the Forage Productivity and Quality in Maize-Based System in the Loess Plateau Region. Sustainability 2022, 14, 6022. [Google Scholar] [CrossRef]
- Kyriazopoulos, A.P.; Abraham, E.M.; Parissi, Z.M.; Koukoura, Z.; Nastis, A.S. Forage production and nutritive value of Dactylis glomerata and Trifolium subterraneum mixtures under different shading treatments. Grass Forage Sci. 2013, 68, 72–82. [Google Scholar]
- Wei, K.; Yu, X.; Bai, M.; Ma, K.; Liu, Y.; Zhang, X. Effects of Mixing Ratio on Forage Yield and Quality of Grazing-type Mixed Pastures in Semi-arid Area. Chin. J. Grassl. 2022, 44, 56–65. (In Chinese) [Google Scholar]
- Wang, S.; Chen, G.; Yang, Y.; Zeng, Z.; Hu, Y.; Zang, H. Sowing ratio determines forage yields and economic benefits of oat and common vetch intercropping. Agron. J. 2021, 113, 2607–2617. [Google Scholar]
- Li, X.; Shi, S.; Huang, Z.; Li, G.; Wu, F.; Zhang, H. Effects of Different Forage Mixed-sowing Patterns on Interspecific Relationships in Loess Hilly Region. Acta Agrestia Sin. 2021, 29, 1318–1326. (In Chinese) [Google Scholar]
- Fang, W. Effects of Different Grass-Legume Mixed-sowing Combinations and Ratios on Forage Yield and Quality in Alpine Region. Qinghai Pratac. 2022, 31, 1–8. (In Chinese) [Google Scholar]
- Akdeniz, H.; Hosaflioglu, I.; Koç, A.; Hossain, A.; Islam, M.S.; Iqbal, M.A.; Imtiaz, H.; Gharib, H.; El Sabagh, A. Evaluation of Herbage Yield and Nutritive Value of Eight Forage Crop Species. Appl. Ecol. Environ. Res. 2019, 17, 5571–5581. [Google Scholar]
- Dabalgan. Evaluation and Screening of Suitable Native Grass Species and Mixed-Sowing Effects in Vegetation Restoration of Horqin Sandy Land. Ph.D. Thesis, Inner Mongolia Agricultural University, Hohhot, China, 2019. (In Chinese).
- Ma, X. Vegetation Restoration of Degraded Grasslands in Horqin and Its Response to Grazing. Master’s Thesis, Chinese Academy of Sciences, Beijing, China, 2019. (In Chinese). [Google Scholar]
- Zhang, L. Evaluation of Restoration Effects of Different Vegetation Types in Mu Us Sandy Land. Ph.D. Thesis, Beijing Forestry University, Beijing, China, 2024. (In Chinese). [Google Scholar]
- GB/T 6433-2006; Determination of Crude Fat in Feeds. National Feed Quality Supervision and Inspection Center, General Administration of Quality Supervision, Inspection and Quarantine of the People’s Republic of China (AQSIQ); Standardization Administration of the People’s Republic of China (SAC): Beijing, China, 2006; p. 12.
- GB/T 6438-2007; Determination of Crude Ash in Feeds. National Feed Quality Supervision and Inspection Center, General Administration of Quality Supervision, Inspection and Quarantine of the People’s Republic of China (AQSIQ); Standardization Administration of the People’s Republic of China (SAC): Beijing, China, 2007; p. 12.
- NY/T 1459-2007; Determination of Acid Detergent Fiber in Feed. Ministry of Agriculture Feed Quality Supervision and Inspection and Testing Center (Xi’an), Ministry of Agriculture of the People’s Republic of China (Industry Standard-Agriculture): Beijing, China, 2007; 6p.
- GB/T 42306-2022; Determination of Neutral Detergent Fiber (NDF) in Feeds. Sichuan Well Testing Technology Co., Ltd., Shandong Provincial Livestock Product Quality Safety Center, Department of Agriculture and Rural Affairs of Qinghai Province, State Administration for Market Regulation (SAMR); Standardization Administration of the People’s Republic of China (SAC): Beijing, China, 2022; p. 16.
- Lithourgidis, A.S.; Vasilakoglou, I.B.; Dhima, K.V.; Dordas, C.A.; Yiakoulaki, M.D. Forage yield and quality of common vetch mixtures with oat and triticale in two seeding ratios. Field Crops Res. 2006, 99, 106–113. [Google Scholar]
- Williams, A.C.; Mccarthy, B.C. A new index of interspecific competition for replacement and additive designs. Ecol. Res. 2001, 16, 29–40. [Google Scholar]
- Zhang, Y.; Sun, Z.; Feng, C.; Du, G.; Feng, L.; Bai, W.; Zhang, Z.; Zhang, D.; Yang, J.; Li, C.; et al. Intercropping maize and peanut under semi-arid conditions is a zero-sum game. Field Crops Res. 2025, 326, 109833. [Google Scholar]
- Dhima, K.V.; Lithourgidis, A.S.; Vasilakoglou, I.B.; Dordas, C.A. Competition indices of common vetch and cereal intercrops in two seeding ratio. Field Crops Res. 2006, 100, 249–256. [Google Scholar]
- Xu, B.C.; Xu, W.Z.; Huang, J.; Shan, L.; Li, F.-M. Biomass allocation, relative competitive ability and water use efficiency of two dominant species in semiarid Loess Plateau under water stress. Plant Sci. 2011, 181, 644–651. [Google Scholar]
- Wei, K.; Xiang, H.; Liu, Y.; Zhang, X.; Yu, X. Mixed cropping of Medicago ruthenica-Bromus inermis exhibits higher yield and quality advantages in the Longxi loess plateau region of Northwest China. Front. Sustain. Food Syst. 2024, 8, 1411687. [Google Scholar]
- Van Soest, P.J.; Robertson, J.B.; Lewis, B.A. Methods for dietary fiber, neutral detergent fiber, and nonstarch polysaccharides in relation to animal nutrition. J. Dairy Sci. 1991, 74, 3583–3597. [Google Scholar]
- Luo, F.; Liu, W.H.; Mi, W.B.; Ma, X.; Liu, K.Q.; Ju, Z.L.; Li, W. Legume-grass mixtures increase forage yield by improving soil quality in different ecological regions of the Qinghai-Tibet Plateau. Front. Plant Sci. 2023, 14, 1280771. [Google Scholar] [CrossRef]
- Favre, J.R.; Castiblanco, T.M.; Combs, D.K.; Wattiaux, M.A.; Picasso, V.D. Forage nutritive value and predicted fiber digestibility of Kernza intermediate wheatgrass in monoculture and in mixture with red clover during the first production year. Anim. Feed Sci. Technol. 2019, 258, 114298. [Google Scholar]
- Zhang, H.; Zhu, L.; Xu, X. Effects of Grass-Legume Mixed-sowing under Different Irrigation Amounts in the Semi-arid Zone of Central Ningxia. Pratac. Sci. 2017, 34, 777–787. (In Chinese) [Google Scholar]
- Sun, J.; Gong, L.; Lian, L.; Cui, G.; Yin, H.; Zhang, Y.; Fu, J. Effects of Altitude and Mixing Ratio on Forage Yield and Quality of Oat and Vicia sativa. Pratac. Sci. 2018, 35, 2438–2449. (In Chinese) [Google Scholar]
- Ojeda, J.J.; Caviglia, O.P.; Agnusdei, M.G.; Errecart, P.M. Forage yield, water- and solar radiation-productivities of perennial pastures and annual crops sequences in the south-eastern Pampas of Argentina. Field Crops Res. 2018, 221, 19–31. [Google Scholar]
- Luo, C.; Zhao, L.; Zhao, X.; Xu, S.; He, F.; Xu, Q.; Chen, X. Screening of the Optimal Mixing Ratio of Oat and Vicia sativa in Qinghai Lake Area. Grassl. Turf 2019, 39, 95–99. (In Chinese) [Google Scholar]
- Jamal, N.; Munir, A.; Harun, G.; Li, T.; Yuan, C.; Bo, Z.X. Maize/soybean intercropping increases nutrient uptake, crop yield and modifies soil physio-chemical characteristics and enzymatic activities in the subtropical humid region based in Southwest China. BMC Plant Biol. 2024, 24, 434. [Google Scholar]
- Yuan, H.; Zhang, Q.; Zhu, Y.; Xia, B.; Wang, W. Multi-scale Analysis of Groundwater Drought in Mu Us Sandy Land Based on GGSI. Acta Ecol. Sin. 2025, 8, 1–17. (In Chinese) [Google Scholar]
- Iqbal, N.; Sadras, V.; Denison, R.F.; Zhou, Y.; Denton, M. Clade-dependent effects of drought on nitrogen fixation and its components-Number, size, and activity of nodules in legumes. Field Crops Res. 2022, 284, 108586. [Google Scholar] [CrossRef]
- Ashoori, N.; Abdi, M.; Golzardi, F.; Ajalli, J.; Ilkaee, M.N. Forage potential of sorghum-clover intercropping systems in semi-arid conditions. Bragantia 2021, 80, 1–11. [Google Scholar]
- Mu, L.; Su, K.; Zhou, T.; Yang, H. Yield performance, land and water use, economic profit of irrigated spring wheat/alfalfa intercropping in the inland arid area of northwestern China. Field Crops Res. 2023, 303, 109116. [Google Scholar] [CrossRef]
- Bo, P.T.; Bai, Y.; Dong, Y.; Shi, H.; Soe Htet, M.N.; Samoon, H.A.; Zhang, R.; Tanveer, S.K.; Hai, J. Influence of Different Harvesting Stages and Cereals–Legume Mixture on Forage Biomass Yield, Nutritional Compositions, and Quality under Loess Plateau Region. Plants 2022, 11, 2801. [Google Scholar] [CrossRef] [PubMed]
- Li, C.; Zhang, C.; Yu, Y.; Liu, Y.; Yang, Z.; Feng, B.; Zhang, X.; Zhang, X.; Yang, X.; Dong, Q. Comprehensive Benefit Evaluation of Different Forage Monocultures and Mixed-sowing in Alpine Region. Pratac. Sci. 2023, 40, 1875–1887. (In Chinese) [Google Scholar]
- Zhao, B.; Zhan, Y.; Fang, J.; Zhou, Q.; Wang, H. Effects of Mixing Ratio on Production Performance of Oat and Vicia sativa. Chin. J. Grassl. 2024, 46, 81–90. (In Chinese) [Google Scholar]
- Zamanian, M.; Golzardi, F.; Gitari, H.; Nungula, E.; Salehi, F.; Heydarzadeh, S. Enhancing forage nutritional value in Persian clover (Trifolium resupinatum) and crimson clover (Trifolium incarnatum) through intercropping and optimized seeding rate. Cogent Food Agric. 2024, 10, 2410459. [Google Scholar] [CrossRef]
- Chiyaneh, S.F.; Rezaei-Chiyaneh, E.; Amirnia, R.; Afshar, R.K.; Siddique, K.H.M. Intercropping medicinal plants is a new idea for forage production: A case study with ajowan and fenugreek. Food Energy Secur. 2024, 13, 14. [Google Scholar] [CrossRef]
- Wang, X.; Cao, W.; Wang, S.; Li, X.; Li, W.; Liu, Y.; Wang, X. Effects of Perennial Legume-Grass Mixed-sowing on Forage Yield and Quality in Hexi Corridor. Pratac. Sci. 2021, 38, 1339–1350. (In Chinese) [Google Scholar]
- Adam, A.M.; Giller, K.E.; Rusinamhodzi, L.; Rasche, F.; Koomson, E.; Marohn, C.; Cadisch, G. Enhancing the resilience of intercropping systems to changing moisture conditions in Africa through the integration of grain legumes: A meta-analysis. Field Crops Res. 2025, 321, 109663. [Google Scholar] [CrossRef]
- Li, S.; Wang, N.; Zheng, W.; Zhu, Y.; Wang, X.; Ma, J.; Zhu, J. Comparison of Over-yielding and Diversity Effects between Annual and Perennial Legume-Grass Mixed Pastures. Chin. J. Plant Ecol. 2021, 45, 23–37. (In Chinese) [Google Scholar]
- Zheng, W.; Zhu, J.; Jianarguli; Li, H.; Zhang, J. Effects of Different Mixed-sowing Methods on Production Performance of Legume-Grass Mixed Pastures. Chin. J. Grassl. 2011, 33, 45–52. (In Chinese) [Google Scholar]
- Bacchi, M.; Monti, M.; Calvi, A.; Lo Presti, E.; Pellicanò, A.; Preiti, G. Forage Potential of Cereal/Legume Intercrops: Agronomic Performances, Yield, Quality Forage and LER in Two Harvesting Times in a Mediterranean Environment. Agronomy 2021, 11, 121. [Google Scholar] [CrossRef]
- Wang, T.; Wang, B.; Xiao, A.; Lan, J. Optimizing Seeding Ratio for Legume Forage to Maximize System Productivity and Resource Use Efficiency in Mixed Cropping Systems. Agriculture 2024, 14, 1249. [Google Scholar] [CrossRef]







| Trial Material | Number | Seeding Rate (kg·ha−1) | Pure Live Seeds (Seeds·kg−1) | Lab Germination (%) | 1000-Seed Weight (g) |
|---|---|---|---|---|---|
| Dahurian wildrye | E | 26.5 | 300,000 | 90% | 3 |
| Mongolian wheatgrass | M | 14.14 | 575,000 | 92% | 1.6 |
| Standing milkvetch | A | 10.6 | 741,667 | 89% | 1.2 |
| Mixed Combination | Number | Mixed | Seeding Rate (kg·ha−1) Mixed Ratio (%) | ||
|---|---|---|---|---|---|
| D:H 5:5 | D:H 4:6 | D:H 3:7 | |||
| Mixture | EaAb | Dahurian wildrye | 13.25 | 15.9 | 18.55 |
| Standing milkvetch | 5.3 | 4.24 | 3.18 | ||
| MaAb | Mongolian wheatgrass | 7.07 | 8.48 | 9.90 | |
| Standing milkvetch | 5.3 | 4.24 | 3.18 | ||
| Treatment | Dahurian Wildrye Plant Height (cm) | Mongolian Wheatgrass Plant Height (cm) | Standing milkvetch Plant Height (cm) | |||
|---|---|---|---|---|---|---|
| 30 August 2024 | 30 September 2024 | 30 August 2024 | 30 September 2024 | 30 August 2024 | 30 September 2024 | |
| E5A5 | 10.39 ± 0.68 a | 21.7 ± 0.97 a | — | — | 5.69 ± 0.13 ab | 22.1 ± 0.61 a |
| E6A4 | 10.74 ± 0.24 a | 16.4 ± 1.75 a | — | — | 6.48 ± 0.69 a | 17.7 ± 2.24 a |
| E7A3 | 10.89 ± 0.64 a | 16.4 ± 0.91 a | — | — | 5.01 ± 0.20 b | 16.1 ± 2.18 a |
| M5A5 | — | — | 9.29 ± 0.22 b | 14.0 ± 1.10 a | 5.68 ± 0.29 ab | 18.4 ± 1.51 a |
| M6A4 | — | — | 8.67 ± 0.14 b | 12.6 ± 1.76 a | 5.68 ± 0.46 ab | 16.2 ± 2.93 a |
| M7A3 | — | — | 10.09 ± 0.17 a | 16.9 ± 0.09 a | 6.09 ± 0.23 ab | 24.7 ± 0.71 a |
| E | 10.81 ± 0.45 a | 19.5 ± 2.11 a | — | — | — | — |
| M | — | — | 9.33 ± 0.31 b | 13.9 ± 1.95 a | — | — |
| A | — | — | — | — | 5.22 ± 0.22 ab | 20.8 ± 4.39 a |
| Treatment | LERH | LERD | LER |
|---|---|---|---|
| E5A5 | 0.48 ± 0.07 Aa | 0.26 ± 0.06 Ba | 0.74 ± 0.04 a |
| E6A4 | 0.28 ± 0.05 Ab | 0.15 ± 0.02 Bbc | 0.43 ± 0.06 bc |
| E7A3 | 0.35 ± 0.03 Aab | 0.10 ± 0.03 Bc | 0.44 ± 0.05 b |
| M5A5 | 0.18 ± 0.04 Ab | 0.22 ± 0.01 Bab | 0.40 ± 0.03 bc |
| M6A4 | 0.18 ± 0.02 Ab | 0.10 ± 0.02 Bc | 0.29 ± 0.05 c |
| M7A3 | 0.24 ± 0.06 Ab | 0.20 ± 0.01 Babc | 0.44 ± 0.06 b |
| Treatment | Relative Yield | Aggressivity | Competition Ratio | |||||
|---|---|---|---|---|---|---|---|---|
| RYH | RYD | RYT | AH | AD | CRH | CRD | CR | |
| E5A5 | 0.96 ± 0.15 a | 0.52 ± 0.12 ab | 0.74 ± 0.04 a | 0.44 ± 0.26 a | −0.44 ± 0.26 c | 2.32 ± 1.03 b | 0.61 ± 0.20 b | 1.71 ± 1.22 b |
| E6A4 | 0.46 ± 0.08 b | 0.38 ± 0.04 bc | 0.43 ± 0.06 bc | 0.08 ± 0.09 abc | −0.08 ± 0.09 abc | 2.78 ± 0.60 b | 0.39 ± 0.08 b | 2.39 ± 0.68 b |
| E7A3 | 0.49 ± 0.04 b | 0.33 ± 0.09 bc | 0.44 ± 0.05 b | 0.16 ± 0.08 ab | −0.16 ± 0.08 bc | 9.48 ± 2.50 a | 0.12 ± 0.03 b | 9.36 ± 2.53 a |
| M5A5 | 0.37 ± 0.08 b | 0.44 ± 0.03 abc | 0.40 ± 0.03 bc | −0.07 ± 0.10 bc | 0.07 ± 0.10 ab | 0.86 ± 0.24 b | 1.36 ± 0.38 a | −0.50 ± 0.61 b |
| M6A4 | 0.31 ± 0.04 b | 0.26 ± 0.06 c | 0.29 ± 0.05 c | 0.05 ± 0.02 abc | −0.05 ± 0.02 abc | 2.80 ± 0.24 b | 0.36 ± 0.03 b | 2.44 ± 0.28 b |
| M7A3 | 0.35 ± 0.09 b | 0.66 ± 0.03 a | 0.44 ± 0.06 b | −0.31 ± 0.10 c | 0.31 ± 0.10 a | 2.89 ± 0.82 b | 0.43 ± 0.15 b | 2.46 ± 0.97 b |
| Group | D* | D0 | Score | Rank |
|---|---|---|---|---|
| E5A5 | 0.286 | 0.360 | 0.558 | 1 |
| E6A4 | 0.347 | 0.263 | 0.431 | 3 |
| E7A3 | 0.388 | 0.219 | 0.360 | 6 |
| M5A5 | 0.331 | 0.188 | 0.361 | 5 |
| M6A4 | 0.366 | 0.240 | 0.395 | 4 |
| M7A3 | 0.405 | 0.186 | 0.315 | 7 |
| E | 0.416 | 0.141 | 0.254 | 9 |
| M | 0.410 | 0.161 | 0.281 | 8 |
| A | 0.309 | 0.326 | 0.513 | 2 |
Disclaimer/Publisher’s Note: The statements, opinions and data contained in all publications are solely those of the individual author(s) and contributor(s) and not of MDPI and/or the editor(s). MDPI and/or the editor(s) disclaim responsibility for any injury to people or property resulting from any ideas, methods, instructions or products referred to in the content. |
© 2025 by the authors. Licensee MDPI, Basel, Switzerland. This article is an open access article distributed under the terms and conditions of the Creative Commons Attribution (CC BY) license (https://creativecommons.org/licenses/by/4.0/).
Share and Cite
Mi, Y.; Xu, H.; Zhang, L.; Pan, R.; Zhang, S.; Gao, H.; Wang, H.; Wang, C. Effects of Legume–Grass Mixture Combinations and Planting Ratios on Forage Productivity and Nutritional Quality in Typical Sand-Fixing Vegetation Areas of the Mu Us Sandy Land. Agriculture 2025, 15, 1474. https://doi.org/10.3390/agriculture15141474
Mi Y, Xu H, Zhang L, Pan R, Zhang S, Gao H, Wang H, Wang C. Effects of Legume–Grass Mixture Combinations and Planting Ratios on Forage Productivity and Nutritional Quality in Typical Sand-Fixing Vegetation Areas of the Mu Us Sandy Land. Agriculture. 2025; 15(14):1474. https://doi.org/10.3390/agriculture15141474
Chicago/Turabian StyleMi, Yuqing, Hongbin Xu, Lei Zhang, Ruihua Pan, Shengnan Zhang, Haiyan Gao, Haibing Wang, and Chunying Wang. 2025. "Effects of Legume–Grass Mixture Combinations and Planting Ratios on Forage Productivity and Nutritional Quality in Typical Sand-Fixing Vegetation Areas of the Mu Us Sandy Land" Agriculture 15, no. 14: 1474. https://doi.org/10.3390/agriculture15141474
APA StyleMi, Y., Xu, H., Zhang, L., Pan, R., Zhang, S., Gao, H., Wang, H., & Wang, C. (2025). Effects of Legume–Grass Mixture Combinations and Planting Ratios on Forage Productivity and Nutritional Quality in Typical Sand-Fixing Vegetation Areas of the Mu Us Sandy Land. Agriculture, 15(14), 1474. https://doi.org/10.3390/agriculture15141474
