Improving Soil Moisture Estimation by Integrating Remote Sensing Data into HYDRUS-1D Using an Ensemble Kalman Filter Approach
Abstract
1. Introduction
2. Data and Methods
2.1. Study Areas
2.2. Data Collection
2.2.1. Field Observation Data
2.2.2. Climate Data
2.2.3. Remote Sensing Data
2.3. Remote Sensing-Based Soil Moisture Retrieval
2.4. Water Cloud Model
2.5. HYDRUS-1D Model
2.6. Estimation Framework
3. Results and Discussion
3.1. Performance of the Soil Moisture Retrieval Model
3.2. Soil Moisture Simulation Based on the HYDRUS-1D Model
3.3. Soil Moisture Data Assimilation Using the Ensemble Kalman Filter
4. Discussion
4.1. Comparison with Previous Studies
4.2. Limitations and Future Framework
5. Conclusions
- (1)
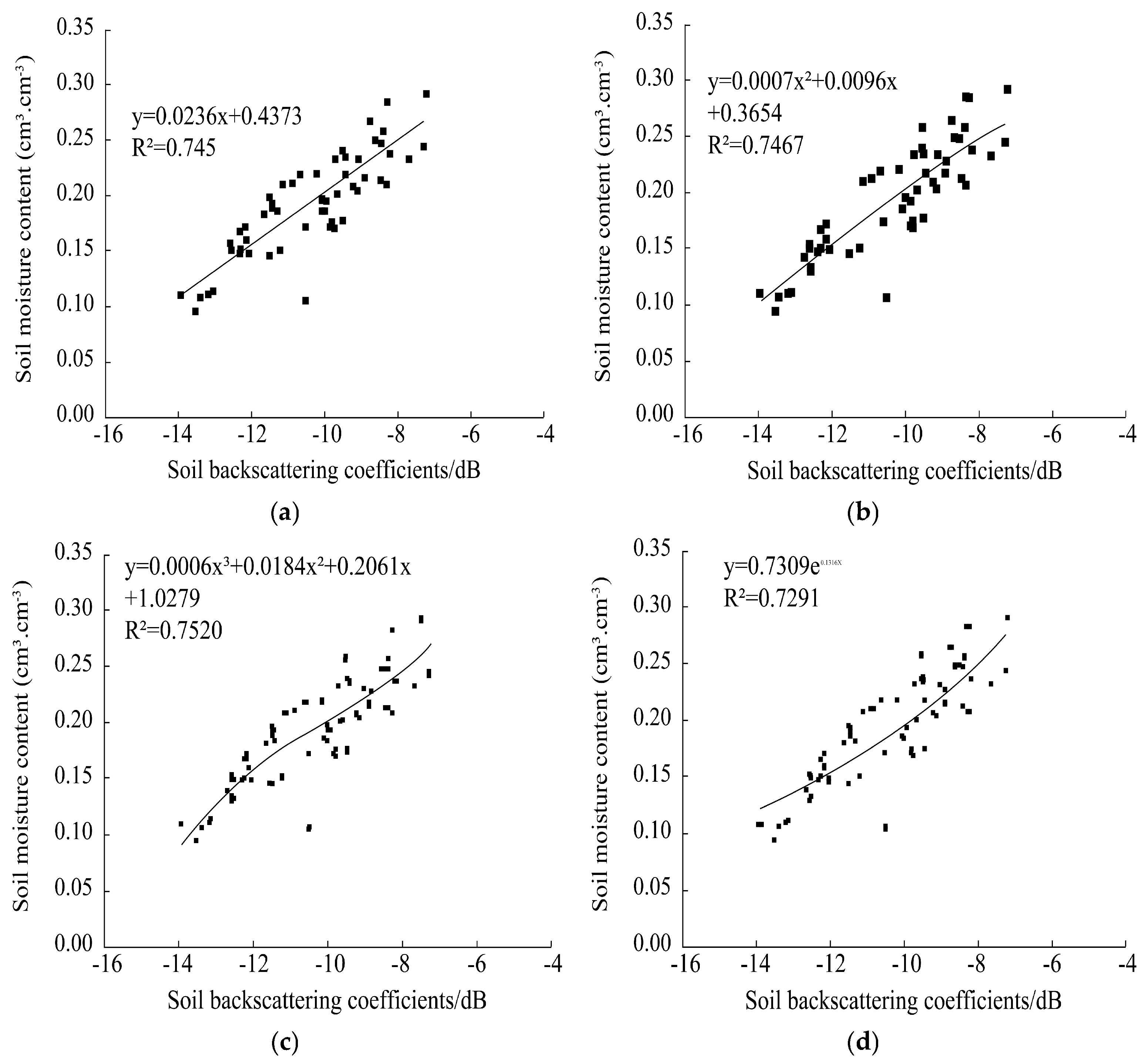
- Vegetation effects were corrected using the water cloud model, and a cubic regression model based on VV polarization achieved the best performance for soil moisture retrieval (R2 = 0.7964, RMSE = 0.0213 cm3·cm−3).
- (2)
- The HYDRUS-1D model was calibrated and validated using multi-depth field observations. The results confirmed the model’s ability to capture vertical soil moisture dynamics with RMSEs ranging from 0.017 to 0.056 cm3·cm−3 across soil layers, indicating good agreement with observed values.
- (3)
- Third, EnKF-based data assimilation was applied using both remote sensing and in situ soil moisture data. Assimilation significantly improved simulation accuracy, particularly at a depth of 0–20 cm. Among the two data sources, assimilation with in situ measurements yielded higher accuracy and was thus used for deeper soil layers. The assimilation analysis values consistently outperformed both the raw model predictions and forecast ensemble means, highlighting the strength of the EnKF approach.
Supplementary Materials
Author Contributions
Funding
Institutional Review Board Statement
Data Availability Statement
Acknowledgments
Conflicts of Interest
References
- Yin, M.; Jiang, Y.; Ling, Y.; Ma, Y.; Qi, G.; Kang, Y.; Wang, Y.; Lu, Q.; Shang, Y.; Fan, X.; et al. Optimizing lucerne productivity and resource efficiency in China’s yellow river irrigated region: Synergistic effects of ridge-film mulching and controlled-release nitrogen fertilization. Agriculture 2025, 15, 845. [Google Scholar] [CrossRef]
- Rodell, M.; Famiglietti, J.S. Detectability of variations in continental water storage from satellite observations of the time dependent gravity field. Water Resour. Res. 1999, 35, 2705–2723. [Google Scholar] [CrossRef]
- Seneviratne, S.I.; Corti, T.; Davin, E.L.; Hirschi, M.; Jaeger, E.B.; Lehner, I.; Orlowsky, B.; Teuling, A.J. Investigating soil moisture–climate interactions in a changing climate: A review. Earth Sci. Rev. 2010, 99, 125–161. [Google Scholar] [CrossRef]
- Yao, Y.; Yan, J.; Li, G.; Ma, W.; Yao, X.; Song, M.; Li, Q.; Li, J. A GNSS-IRsoil moisture inversion method considering multi-factor influences under different vegetation covers. Agriculture 2025, 15, 837. [Google Scholar] [CrossRef]
- Farrell, M.; Leizica, E.; Gili, A.; Noellemeyer, E. Identification of management zones with different potential moisture availability for sustainable intensification of dryland agriculture. Precis. Agric. 2023, 24, 1116–1131. [Google Scholar] [CrossRef]
- Ju, W.; Gao, P.; Wang, J.; Zhou, Y.; Zhang, X. Combining an ecological model with remote sensing and GIS techniques to monitor soil water content of croplands with a monsoon climate. Agric. Water Manag. 2010, 97, 1221–1231. [Google Scholar] [CrossRef]
- Feddes, R.A.; Menenti, M.; Kabat, P.; Bastiaanssen, W.G.M. Is large-scale inverse modelling of unsaturated flow with areal average evaporation and surface soil moisture as estimated from remote sensing feasible? J. Hydrol. 1993, 143, 125–152. [Google Scholar] [CrossRef]
- Yu, F.; Li, H.T.; Zhang, C.M.; Wen, X.F.; Gu, H.Y.; Han, Y.S.; Lu, X.J. Data assimilation on soil moisture content based on multi-source remote sensing and hydrologic model. J. Infrared Millim. Waves 2014, 33, 602–607. [Google Scholar]
- Liu, Z.; Zhou, Y.L.; Ju, W.M.; Gao, P. Simulation of cropland soil moisture based on an ensemble Kalman filter. Chin. J. Appl. Ecol. 2011, 22, 2943–2953. [Google Scholar] [CrossRef]
- Zhang, G. Data Assimilation of Soil Moisture in Farmland in Low Hill Red Soil Region Based On SiB2 and Kalman Filter. Master’s Thesis, Nanjing University of Information Science and Technology, Nanjing, China, 2018. [Google Scholar]
- Muzylev, E.L. Utilization of remote sensing data in the simulation of the water and heat regime of land areas: A review of publications. Water Resour. Res. 2023, 50, 709–731. [Google Scholar] [CrossRef]
- Petropoulos, G.P.; Ireland, G.; Barrett, B. Surface soil moisture retrievals from remote sensing: Current status, products & future trends. Phys. Chem. Earth 2015, 83–84, 36–56. [Google Scholar] [CrossRef]
- Cheng, T.; Hong, S.; Huang, B.; Qiu, J.; Zhao, B.; Tan, C. Passive microwave remote sensing soil moisture data in agricultural drought monitoring: Application in northeastern China. Water 2021, 13, 2777. [Google Scholar] [CrossRef]
- Xu, P.; Zhang, C. Research progress on remote sensing inversion of soil moisture. For. Resour. Manag. 2015, 151–156, 160. [Google Scholar] [CrossRef]
- Bowers, S.A.; Hanks, R.J. Reflection of radiant energy from soil. Soil Sci. 1971, 100, 130–138. [Google Scholar] [CrossRef]
- Guo, G.; Zhao, B. Monitoring soil moisture using MODIS data. Soil 2004, 219–221. [Google Scholar] [CrossRef]
- Verstraeten, W.W.; Veroustraete, F.; van der Sande, C.J.; Grootaers, I.; Feyen, J. Soil moisture retrieval using thermal inertia, determined with visible and thermal spaceborne data, validated for European forests. Remote Sens. Environ. 2006, 101, 299–314. [Google Scholar] [CrossRef]
- Price, J.C. On the analysis of thermal infrared imagery: The limited utility of apparent thermal inertia. Remote Sens. Environ. 1985, 18, 59–73. [Google Scholar] [CrossRef]
- Zhang, R. Thermal capacity model of soil moisture content and its application. Chin. Sci. Bull. 1991, 36, 924–927. [Google Scholar] [CrossRef][Green Version]
- Baioni, E.; Fiantanese, G.; Porta, G.M. Data-driven assessment of climate change and vegetative cover dynamics in traditional oases. J. Hydrol. Reg. Stud. 2025, 59, 102266. [Google Scholar] [CrossRef]
- Cai, Q.; Li, E.; Tao, L.; Jiang, R. Farmland soil moisture retrieval using PROSAIL and water cloud model. Trans. Chin. Soc. Agric. Eng. 2018, 34, 117–123. [Google Scholar] [CrossRef]
- Belmans, C.; Wesseling, J.G.; Feddes, R.A. Simulation model of the water balance of a cropped soil: SWATRE. J. Hydrol. 1983, 63, 271–286. [Google Scholar] [CrossRef]
- Chen, F.; Dudhia, J. Coupling an advanced land surface–hydrology model with the Penn State–NCAR MM5 modeling system. Part I: Model implementation and sensitivity. Mon. Weather Rev. 2001, 129, 569–585. [Google Scholar] [CrossRef]
- Guo, Q.L.; Li, J.L. Dynamic simulation of soil moisture in rain-fed winter wheat farmland based on BEPS model. J. Irrig. Drain. 2017, 36, 1–7. [Google Scholar] [CrossRef]
- JIANG, B.; TIAN, J.; SU, H. Estimation of monthly evapotranspiration and soil moisture in the Central Asia. Prog. Geogr. 2020, 39, 433–442. [Google Scholar] [CrossRef]
- Ju, W.; Chen, J.M.; Black, T.A.; Barr, A.G.; Liu, J.; Chen, B. Modelling multi-year coupled carbon and water fluxes in a boreal aspen forest. Agric. For. Meteorol. 2006, 140, 136–151. [Google Scholar] [CrossRef]
- Liu, J. A process-based boreal ecosystem productivity simulator using remote sensing inputs. Remote Sens. Environ. 1997, 62, 158–175. [Google Scholar] [CrossRef]
- Zhao, Z.B.; Jin, R.; Tian, W.; Kang, J.; Su, Y. Applicability research of indices in soil moisture downscaling based on SiB2 simulation. Remote Sens. Tech. Appl. 2017, 32, 195–205. [Google Scholar] [CrossRef]
- Li, B.B.; Wang, Y.Q.; Li, Z. Applicability of HYDRUS-1D model in simulating the soil moisture in deep profiles on the Weibei rainfed highland, China. Chin. J. Appl. Ecol. 2019, 30, 398–404. [Google Scholar] [CrossRef]
- Li, Q.; Li, F.; Zhang, Q.; Qiao, Y.; Du, K.; Zhu, N.; Yang, G.; Li, J.; He, X. Water and salt transport simulation in the wheat growing area of the North China Plain based on HYDRUS model. Chin. J. Eco-Agric. 2021, 29, 1085–1094. [Google Scholar] [CrossRef]
- Bosilovich, M.G.; Radakovich, J.D.; da Silva, A.; Todling, R.; Verter, F. Skin temperature analysis and bias correction in a coupled land-atmosphere data assimilation system. Water Resour. Res. 2007, 85, 205–228. [Google Scholar] [CrossRef]
- Huang, J.; Song, J.; Huang, H.; Zhuo, W.; Niu, Q.; Wu, S.; Ma, H.; Liang, S. Progress and perspectives in data assimilation algorithms for remote sensing and crop growth model. Sci. Remote Sens. 2024, 10, 100146. [Google Scholar] [CrossRef]
- Ma, J.; Qin, S. Recent advances and development of data assimilation algorithms. Adv. Earth Sci. 2012, 27, 747–757. [Google Scholar]
- Margulis, S.A.; McLaughlin, D.; Entekhabi, D.; Dunne, S. Land data assimilation and estimation of soil moisture using measurements from the Southern Great Plains 1997 Field Experiment. Water Resour. Res. 2002, 38, 35-1–35-18. [Google Scholar] [CrossRef]
- McLaughlin, D. An integrated approach to hydrologic data assimilation: Interpolation, smoothing, and filtering. Adv. Water Resour. 2002, 25, 1275–1286. [Google Scholar] [CrossRef]
- Pipunic, R.; Walker, J.; Western, A. Assimilation of remotely sensed data for improved latent and sensible heat flux prediction: A comparative synthetic study. Remote Sens. Environ. 2008, 112, 1295–1305. [Google Scholar] [CrossRef]
- Evensen, G. Data Assimilation: The Ensemble Kalman Filter; Springer: Berlin/Heidelberg, Germany, 2009. [Google Scholar]
- Li, X.; Toshio, K.; Cheng, G. An algorithm for land data assimilation by using simulated annealing method. Adv. Earth Sci. 2003, 18, 632–636. [Google Scholar]
- Nagarajan, K.; Judge, J.; Graham, W.D.; Monsivais-Huertero, A. Particle Filter-based assimilation algorithms for improved estimation of root-zone soil moisture under dynamic vegetation conditions. Adv. Water Resour. 2011, 34, 433–447. [Google Scholar] [CrossRef]
- Walker, J.P.; Willgoose, G.R.; Kalma, J.D. One-dimensional soil moisture profile retrieval by assimilation of near-surface observations: A comparison of retrieval algorithms. Adv. Water Resour. 2001, 24, 631–650. [Google Scholar] [CrossRef]
- Ding, J.; Chen, W.; Wang, L. Improving monitoring precision of soil moisture by assimilation of HYDRUS model and remote sensing-based data by ensemble Kalman filter. Trans. Chin. Soc. Agric. Eng. 2017, 33, 166–172. [Google Scholar] [CrossRef]
- HUANG, C.; LI, X. Sensitivity analysis on land data assimilation scheme of soil moisture. Adv. Water Sci. 2006, 17, 457–465. [Google Scholar] [CrossRef]
- Wang, W.; Liu, Y.W.; Kou, X.H.; Lu, H.S. EnKF and HYDRUS-1 D based data assimilation experiments for improving soil moisture profile prediction. J. Hydraul. Eng. 2012, 43, 1302–1311. [Google Scholar] [CrossRef]
- Gupta, S.K.; Singh, S.K.; Kanga, S.; Kumar, P.; Meraj, G.; Sahariah, D.; Debnath, J.; Chand, K.; Sajan, B.; Singh, S. Unearthing India’s soil moisture anomalies: Impact on agriculture and water resource strategies. Theor. Appl. Climatol. 2024, 155, 7575–7590. [Google Scholar] [CrossRef]
- Attema, E.P.W.; Ulaby, F.T. Vegetation modeled as a water cloud. Radio Sci. 1978, 13, 357–364. [Google Scholar] [CrossRef]
- Juhászné, A.C.; Sarkadi, N.; Czigány, S.; Geresdi, I. Contribution of surface evaporation to winter fog formation: Numerical simulation of water transport in silty soils of SW Hungary using the Hydrus-1D model. J. Hydrol. Reg. Stud. 2025, 59, 102397. [Google Scholar] [CrossRef]
- Li, Y.; Yu, Q.; Ning, H.; Gao, Y.; Sun, J. Simulation of soil water, heat, and salt adsorptive transport under film mulched drip irrigation in an arid saline-alkali area using HYDRUS-2D. Agric. Water Manag. 2023, 290, 108585. [Google Scholar] [CrossRef]
- An, H.; Ouyang, C.; Chen, X. Real-time estimation of SMAP soil moisture in mountainous areas and its impact on rainfall-runoff simulation. J. Hydrol. 2025, 660, 133487. [Google Scholar] [CrossRef]
- Shahriari, M.A.; Aghighi, H.; Azadbakht, M.; Ashourloo, D.; Matkan, A.A.; Brakhasi, F.; Walker, J.P. Soil moisture estimation using combined SAR and optical imagery: Application of seasonal machine learning algorithms. Adv. Space Res. 2025, 75, 6207–6221. [Google Scholar] [CrossRef]
- Qian, J.; Yang, J.; Sun, W.; Zhao, L.; Shi, L.; Shi, H.; Liao, L.; Dang, C.; Dou, Q. Evaluation and improvement of spatiotemporal estimation and transferability of multi-layer and profile soil moisture in the Qinghai Lake and Heihe River basins using multi-strategy constraints. Geoderma 2025, 455, 117222. [Google Scholar] [CrossRef]
- Vahidi, M.; Shafian, S.; Frame, W.H. Depth-specific soil moisture estimation in vegetated corn fields using a canopy-informed model: A fusion of RGB-thermal drone data and machine learning. Agric. Water Manag. 2025, 307, 109213. [Google Scholar] [CrossRef]
- Panzeri, M.; Riva, M.; Guadagnini, A.; Neuman, S.P. EnKF coupled with groundwater flow moment equations applied to Lauswiesen aquifer, Germany. J. Hydrol. 2015, 521, 205–216. [Google Scholar] [CrossRef]
- Jiang, C.; Hardie, M.; West, D.; Bai, Q.; Page, D. A hybrid EnKF-fsolve model for simultaneous dynamic soil moisture simulation and hydraulic parameters prediction. J. Hydrol. 2025, 660, 133242. [Google Scholar] [CrossRef]













| Type | Site | RMSE/(cm3·cm−3) | |||
|---|---|---|---|---|---|
| 0–20 | 20–40 | 40–60 | 60–80 | ||
| Calibration 2021 | #1 | 0.021 | 0.017 | 0.019 | 0.021 |
| #2 | 0.027 | 0.029 | 0.027 | 0.032 | |
| #3 | 0.021 | 0.034 | 0.018 | 0.020 | |
| #4 | 0.020 | 0.025 | 0.031 | 0.023 | |
| #5 | 0.023 | 0.025 | 0.033 | 0.025 | |
| #6 | 0.032 | 0.032 | 0.025 | 0.033 | |
| #7 | 0.021 | 0.023 | 0.034 | 0.037 | |
| #8 | 0.047 | 0.028 | 0.021 | 0.033 | |
| #9 | 0.034 | 0.030 | 0.030 | 0.039 | |
| #10 | 0.032 | 0.030 | 0.031 | 0.035 | |
| #11 | 0.030 | 0.032 | 0.039 | 0.028 | |
| #12 | 0.052 | 0.032 | 0.050 | 0.045 | |
| #13 | 0.043 | 0.036 | 0.038 | 0.042 | |
| #14 | 0.037 | 0.030 | 0.043 | 0.035 | |
| #15 | 0.044 | 0.043 | 0.032 | 0.038 | |
| #16 | 0.056 | 0.035 | 0.035 | 0.046 | |
| Fixed station | 0.021 | 0.022 | 0.029 | 0.037 | |
| Type | Site | RMSE/(cm3·cm−3) | |||
|---|---|---|---|---|---|
| 0–20 | 20–40 | 40–60 | 60–80 | ||
| Validation 2022 | #1 | 0.024 | 0.021 | 0.019 | 0.022 |
| #2 | 0.025 | 0.302 | 0.026 | 0.030 | |
| #3 | 0.026 | 0.033 | 0.021 | 0.023 | |
| #4 | 0.020 | 0.029 | 0.034 | 0.027 | |
| #5 | 0.024 | 0.025 | 0.036 | 0.025 | |
| #6 | 0.033 | 0.033 | 0.027 | 0.035 | |
| #7 | 0.021 | 0.032 | 0.036 | 0.046 | |
| #8 | 0.042 | 0.033 | 0.026 | 0.031 | |
| #9 | 0.033 | 0.041 | 0.052 | 0.037 | |
| #10 | 0.031 | 0.048 | 0.027 | 0.054 | |
| #11 | 0.036 | 0.023 | 0.033 | 0.028 | |
| #12 | 0.046 | 0.031 | 0.051 | 0.041 | |
| #13 | 0.033 | 0.036 | 0.029 | 0.048 | |
| #14 | 0.036 | 0.031 | 0.043 | 0.027 | |
| #15 | 0.040 | 0.053 | 0.038 | 0.040 | |
| #16 | 0.052 | 0.032 | 0.043 | 0.042 | |
| Fixed station | 0.026 | 0.023 | 0.027 | 0.035 | |
Disclaimer/Publisher’s Note: The statements, opinions and data contained in all publications are solely those of the individual author(s) and contributor(s) and not of MDPI and/or the editor(s). MDPI and/or the editor(s) disclaim responsibility for any injury to people or property resulting from any ideas, methods, instructions or products referred to in the content. |
© 2025 by the authors. Licensee MDPI, Basel, Switzerland. This article is an open access article distributed under the terms and conditions of the Creative Commons Attribution (CC BY) license (https://creativecommons.org/licenses/by/4.0/).
Share and Cite
Sun, Y.; Liu, Q.; Wang, C.; Liu, Q.; Qu, Z. Improving Soil Moisture Estimation by Integrating Remote Sensing Data into HYDRUS-1D Using an Ensemble Kalman Filter Approach. Agriculture 2025, 15, 1320. https://doi.org/10.3390/agriculture15121320
Sun Y, Liu Q, Wang C, Liu Q, Qu Z. Improving Soil Moisture Estimation by Integrating Remote Sensing Data into HYDRUS-1D Using an Ensemble Kalman Filter Approach. Agriculture. 2025; 15(12):1320. https://doi.org/10.3390/agriculture15121320
Chicago/Turabian StyleSun, Yule, Quanming Liu, Chunjuan Wang, Qi Liu, and Zhongyi Qu. 2025. "Improving Soil Moisture Estimation by Integrating Remote Sensing Data into HYDRUS-1D Using an Ensemble Kalman Filter Approach" Agriculture 15, no. 12: 1320. https://doi.org/10.3390/agriculture15121320
APA StyleSun, Y., Liu, Q., Wang, C., Liu, Q., & Qu, Z. (2025). Improving Soil Moisture Estimation by Integrating Remote Sensing Data into HYDRUS-1D Using an Ensemble Kalman Filter Approach. Agriculture, 15(12), 1320. https://doi.org/10.3390/agriculture15121320

