Next Article in Journal
Research Progress of the Functional Properties of Fruit and Vegetables and Their Preserves
Previous Article in Journal
Analysis of the Impact of Different Improvement Methods Based on YOLOV8 for Weed Detection
 
 
Font Type:
Arial Georgia Verdana
Font Size:
Aa Aa Aa
Line Spacing:
Column Width:
Background:
Article

Does Free Compulsory Education Matter for the Green Transformation of Agriculture? Evidence from Rural China

1
School of Public Policy and Management, Guangxi University, Nanning 530004, China
2
School of Public Policy and Administration, Chongqing University, Chongqing 400044, China
*
Author to whom correspondence should be addressed.
These authors contributed equally to this work.
Agriculture 2024, 14(5), 675; https://doi.org/10.3390/agriculture14050675
Submission received: 15 March 2024 / Revised: 19 April 2024 / Accepted: 23 April 2024 / Published: 26 April 2024
(This article belongs to the Section Agricultural Economics, Policies and Rural Management)

Abstract

Education plays a crucial role in promoting green development by shaping environmentally friendly production behaviors and fostering low-carbon lifestyles. This research examines the impact of China’s free compulsory education (FCE) policy on agricultural green total factor productivity (AGTFP) using provincial panel data from 2002 to 2015. Additionally, it explores the impact mechanisms and regional heterogeneity. The results indicate that first, the FCE policy has a significantly positive effect on AGTFP, as confirmed through a series of robustness tests. Second, the FCE policy primarily influences AGTFP by increasing farmers’ awareness of green production and promoting the development of green technologies in agriculture. Third, the impact of the FCE policy varies across regions. It promotes green technologies in agriculture in developed provinces and fosters ecological awareness among farmers in less developed provinces. These findings offer valuable empirical evidence and policy implications for implementing education popularization projects and reducing agricultural carbon emissions in developing countries.

1. Introduction

In response to escalating environmental challenges, the international community is collaborating under the Paris Agreement framework to decrease greenhouse gas emissions. However, compared to widely discussed industrial carbon emissions, agricultural carbon emissions are often overlooked. Agricultural production is a significant contributor to greenhouse gas emissions, accounting for approximately 20% to 25% of total global emissions [1]. As a major agricultural country, China’s agricultural economy has achieved rapid development, but there are inevitably serious problems of waste, pollution, and emissions [2,3]. According to data from official agencies and related studies, China’s agricultural greenhouse gas emissions once accounted for more than 15% of the country’s total emissions at the beginning of this century [4]. It is remarkable that China’s carbon emission intensity per unit of food production has steadily decreased over the past decade, signifying a progressive shift towards environmentally sustainable agricultural practices [5]. In this context, the drivers of China’s agricultural green transformation have become an interesting topic, which has been actively studied from many aspects, such as environmental regulation and technological progress [6,7]. However, education is a fundamental factor in improving production behavior and lifestyle, and its role in this process should not be ignored. In particular, some important education reform policies for rural areas and their impact on the green transformation of agriculture deserve to be explored in depth.
Education can not only promote individuals to adopt renewable or clean energy, but also enhance resource utilization efficiency in social production through the development of human capital [8,9]. Moreover, it provides the foundation for the development of technologies, knowledge, and concepts for green production [10]. Currently, several studies have highlighted the significance of education in promoting sustainable development. For instance, Sarwar et al. [11] found that improvements in the quality of education are associated with a reduction in greenhouse gas emissions in 179 OECD countries. Similarly, Tebourbi et al. [12], based on empirical research in ASEAN countries, confirmed that investment in education significantly reduces carbon emissions in both the short and long term. However, some studies present a contrasting perspective. Mayer [13] observed a correlation between increased national investment in education and higher fossil fuel consumption, resulting in a rise in per capita CO2 emissions in a specific nation. Additionally, Mahalik et al. [14] found that primary education is linked to an increase in carbon emissions, while secondary education contributes to improved environmental quality in the BRICS countries. It can be seen that the significance of education in reducing global carbon emissions has garnered widespread attention. However, the existing research mostly focuses on the overall perspective of education, lacking an analysis of the impact of specific education reform policies.
In fact, some reform policies to improve educational accessibility and inclusion are also worthy of attention [15], and they have a profound impact on agricultural production. The free basic education policy is the most typical representative. In rural areas of developing countries, because of their limited economic circumstances, farmers possess a keen awareness of the costs associated with education. A common phenomenon in rural areas is the inability of some families to afford education, resulting in their children dropping out during the basic education stage [16]. This problem diminishes educational equity and hinders the accumulation of agricultural human capital, as well as the transfer of knowledge and skills. Hence, the adoption of policies for free basic education in developing countries holds immense importance in fostering economic and social development in rural areas. Several studies have confirmed the positive impact of free education policies, which include reducing dropout rates, promoting gender equality, alleviating poverty, and stimulating production [17,18]. Regrettably, there are few studies investigating the impact of free education on the low-carbon transition of agriculture, a topic of great significance considering the growing environmental challenges of today.
In 2006, the Chinese government implemented the policy of free compulsory education to enhance the accessibility of education in rural areas. Building upon the original compulsory education law, the policy has undergone several pivotal reforms: Firstly, provincial governments are mandated to coordinate funding for compulsory education, which reinforces financial support for public education. Secondly, tuition and miscellaneous fees are waived for all compulsory education students, and impoverished students receive subsidies for textbooks and accommodation. Thirdly, schools are prohibited from privately charging families additional education fees. This policy was gradually implemented in select provinces starting in the spring of 2006, and by the spring of 2007, all provinces had successfully completed the reform. This policy has diminished household education expenditures [19], elevated enrollment and graduation rates [20], and enhanced rural human capital [21]. In addition, it generally enhances the quality of the rural labor force and establishes a basis for promoting agricultural skills, disseminating knowledge, and advancing concepts [22]. There is no doubt that these provide the possibility for China’s agricultural green transformation, but its specific impact and mechanism need to be examined.
In summary, while the importance of education in low-carbon development has been widely emphasized, not enough attention has been paid to the impact of free education reforms on the green transformation of agriculture. Therefore, this paper aims to assess the role of free compulsory education policy in the green transformation of Chinese agriculture. We attempt to address the following questions: (1) Is China’s agricultural production transforming towards being green and low-carbon? (2) Does the free compulsory education policy promote the green transformation of China’s agriculture? (3) What is the mechanism behind this effect? (4) Are there heterogeneous impacts among different regions?
These are the main advantages of this study compared to previous research. First, this paper creatively uses free compulsory education as an entry point to examine its impact on the green transformation of agriculture. Although the importance of education in a low-carbon economy is generally recognized, few studies have specifically focused on the role of universal basic education. We contextualize traditional issues of educational accessibility and inclusiveness within the framework of sustainable development, thus expanding the existing research horizons and boundaries. Second, by exploring the mechanism behind this impact, we gain a better understanding of the link between the popularization of basic education and the green development of agriculture. This will help resolve the controversy surrounding the role of basic education in environmental research and deepen understanding of the value and contribution of basic education to sustainable development. At the same time, this research process can further elucidate the drivers of green transformation in agriculture. Finally, some exploratory analyses in this article can provide policy inspiration for developing countries to popularize education and reduce agricultural emissions.
The remaining sections are organized as follows. Section 2 is the literature review and research hypothesis. Section 3 is the research design, which introduces the econometric model, variables selection, and data source of this paper. Section 4 is the empirical analysis results, including benchmark regression, parallel trend test, and robustness test. Section 5 conducts empirical studies of the influencing mechanism, and Section 6 investigates the regional heterogeneity of the policy effect. Finally, Section 7 concludes and proposes several policy suggestions.

2. Literature Review and Hypothesis Development

2.1. Education and Green Transformation of Agriculture

Education is closely related to the progress of agricultural production. Since the seminal work of Schultz [23], scholars have increasingly focused on the crucial role of education in agricultural production. It is widely held that enhancing farmers’ educational attainment can lead to increased efficiency in agricultural production [24,25,26]. In recent years, driven by the intensification of environmental challenges, there has been a growing interest in understanding the impact of education on the green transformation of agriculture. For example, numerous studies have incorporated education as a key variable in examining the factors that influence green total factor productivity in agriculture [27,28]. There are also studies that investigate environmental education and its effects on farmers’ low-carbon practices [29,30]. Additionally, some studies have highlighted the moderating role of educational human capital in investigating the influence of other factors on green production [31,32].
According to Welch [33], education primarily influences agriculture through two effects: the “worker effect” and the “allocative effect”. The former describes a phenomenon in which well-educated workers possess the skills to complete specific production tasks, thereby increasing labor productivity [34]. In contrast, the latter is characterized by the ability of an educated worker to efficiently allocate resources by acquiring and decoding information about the costs and productive characteristics of other inputs [35]. For agricultural green production, education also involves the two similar impact mechanisms described above. On the one hand, education can enhance the knowledge and skills of farmers, facilitating the development and adoption of environmentally friendly production technologies [36], thereby improving resource utilization efficiency. On the other hand, education has the potential to increase farmers’ access to information [37], giving them a more realistic grasp of the costs and hazards of agricultural pollution and helping them make decisions that favor low-carbon agriculture [38].
Free compulsory education is a program aimed at promoting education popularization, and it has two main characteristics. First, it is compulsory, requiring all school-age children to receive at least nine years of education. This compulsory education has been shown to significantly increase the number of years of schooling for citizens in certain countries, leading to positive effects on both individual and societal development [39,40,41]. Secondly, free of charge, the policy exempts tuition and miscellaneous fees at the primary and junior high school levels. This government transfer payment has the potential to lower children’s dropout rates and enhance their academic achievement [42,43,44]. Since its implementation, the policy has received widespread praise and recognition in Chinese society. For example, some studies have demonstrated its positive impact on reducing family education burdens [19], increasing children’s enrollment rates [45], and improving the overall quality of the population [46].
In summary, the free compulsory education policy has contributed to the popularization of basic education in rural areas. Farmers’ knowledge and skills have been upgraded, which has laid the foundation for a green transformation of agriculture. Therefore, the following hypothesis is proposed:
H1. 
The FCE policy contributes to the green transformation of agriculture.

2.2. The Impact Mechanism of FCE Policy on Green Transformation of Agriculture

As previously discussed, education can influence agricultural green production through two distinct mechanisms. In this paper, we posit that the specific roles of these two mechanisms are as shown in Figure 1.
Firstly, cultivate awareness of green production. According to the behavioral economics standpoint, individuals’ comprehension of ecological issues has a significant impact on both their lifestyle choices and production behavior [47,48]. Research has shown that schooling has the potential to nurture positive ecological awareness and promote environmentally friendly behavior through various channels, including textbooks, lessons, and peer influence [49,50,51]. Although free compulsory education is a fundamental education dissemination program, it also plays a significant role in raising the ecological consciousness of Chinese farmers. With an increasing number of rural children enrolling in schools and receiving both scientific and moral education, their environmental awareness is subtly influenced. And, in environmentally vulnerable regions of China, compulsory education schools have introduced specialized environmental courses to cultivate students’ green concepts and behaviors [52]. Moreover, this policy has not only fostered the development of ecological awareness in children from an early age but has also indirectly influenced the production practices of their parents. Therefore, the second hypothesis is proposed in this paper as follows:
H2. 
Cultivating the awareness of green production is an important mechanism for FCE to affect the green transformation of agriculture.
Secondly, develop green production technology. As scholars consistently emphasize, there exists a close connection between education and technological innovation [53,54]. This paper argues that the free compulsory education policy has laid the groundwork for technological innovation in agriculture. On the one hand, free compulsory education not only improves access to basic education, but also provides opportunities for farmers to pursue vocational and higher education [55]. When rural children have access to universities, they are more inclined to choose majors related to agricultural production [56], thereby contributing to the updating and iteration of agricultural production technologies. On the other hand, numerous farmers have acquired essential knowledge and information through free compulsory education, allowing them a more scientific comprehension of agricultural production [35]. This means that when new production technologies are introduced, well-educated farmers are more likely to adopt and incorporate them into their farming practices [57]. Therefore, promoting the development and adoption of green production technologies can be a significant way in which free compulsory education influences agricultural green total factor productivity. Thus, we propose the third hypothesis:
H3. 
Developing green production technology is an important mechanism for FCE to affect the green transformation of agriculture.

3. Research Design

3.1. Model Settings

The difference-in-difference (DID) model is a commonly used method for evaluating the impact of public policies. The standard DID method requires the presence of both a control group and an experimental group. This means that policy interventions should only be implemented in certain areas, while leaving other areas unaffected by the policy. However, the FCE policy is a nationwide policy and cannot satisfy the premise assumption of setting a control group in the standard DID model. Fortunately, the improved quasi-DID method in the studies of Nunn and Qian [58] and Yang et al. [59] made it possible to conduct this study. The quasi-DID method does not require a strict division between control and experimental groups. It allows for the use of continuous variables to measure the intensity of policy intervention. The effect of the policy is captured by constructing an interaction term between the intensity of policy intervention and the dummy variable of policy implementation. This empirical strategy has been widely used in some related research in recent years [60,61,62].
In this paper, the main change in the FCE policy is the increase in government financial investment in education. Then, the amount of government financial investment in education can reflect the strength and level of implementation of the FCE policy in different areas. Therefore, we leveraged the intensity of government investment in rural compulsory education to discern the relative impact of free compulsory education policy. The corresponding econometric model is as follows:
A G T F P i t = α 0 + α 1 I n v e s t i t × P o l i c y i t + γ X i t + μ i + λ t + ε i t
where i represents a province and t represents a year. A G T F P i t is the dependent variable, representing the agricultural green total factor productivity of a province. I n v e s t i t represents the intensity of public investment in compulsory rural education in a given region, while P o l i c y i t is a dummy variable indicating whether the reform of free compulsory education was implemented. X i t denotes a series of control variables that may impact A G T F P . To account for unobserved regional characteristics and economic cycles, fixed effects for provinces ( μ i ) and years ( λ t ) are incorporated into the model. ε i t is an error term, which includes other factors influencing A G T F P . In the above equation, we are interested in α 1 , which captures the effect generated by the implementation of the FCE policy.

3.2. Variable Definitions

3.2.1. Dependent Variable

This paper uses green total factor productivity (GTFP) as a measure of agricultural green transformation. After comparing various methods for measuring GTFP, we chose to use the global Malmquist–Luenberger (GML) index based on the slack-based measure (SBM) directional distance function for the calculation. This model has several advantages over traditional DEA models. Firstly, it avoids the issue of efficiency evaluation bias caused by radial and angular factors. It circumvents the issue of overestimating the efficiency of the evaluation object by accounting for slack variables, thereby enhancing the accuracy of production efficiency measurement [63,64]. Secondly, the GML index has both multiplicative and transitive properties, allowing it to capture changes in total factor productivity and ensuring global comparability of the production frontier [65]. In the current research, some scholars have combined these two methods to create a GML index based on the SBM directional distance function.
Referring to the existing research and considering the availability of agricultural production data [66,67], we constructed the indicator system of AGTFP measurement. As depicted in Table 1, the input indicators include labor force, land, machinery, irrigation, fertilizer, pesticide, and plastic film. The expected output is the total output value of agriculture, forestry, animal husbandry, and fishery. Finally, we utilized the methods of Liu et al. [68] and Han et al. [69] to measure the total carbon emissions from agricultural production processes in each province, serving as an unexpected output indicator.
It should be noted that the GML index calculated by the SBM-GML model represents the relative change in total factor productivity between two periods. However, this result may not be directly comparable throughout the entire cycle [70]. Therefore, it is often necessary to convert it into a cumulative index when using it as an independent variable [66]. This paper uses the following cumulative multiplication formula for the calculation:
A G T F P t + 1 = G M L t t + 1 A G T F P t
In Equation (2), A G T F P t is the agricultural green total factor productivity in year t , and its base period value is set to 1. G M L t t + 1 denotes the change in production efficiency in period t + 1 compared to period t . From this, the cumulative index of the agricultural green total factor productivity in each year can be calculated.

3.2.2. Independent Variable

The independent variable is the free compulsory education policy, which is measured by I n v e s t i t × P o l i c y i t in accordance with the concept of quasi-DID. I n v e s t is the intensity of government investment in rural education, measured as the natural logarithm of public financial investment in rural primary and secondary schools. P o l i c y is a dummy variable indicating whether or not the free compulsory education reform was implemented in a province. If not implemented, then P o l i c y = 0 , and after implementation in 2006 or 2007, P o l i c y = 1 .

3.2.3. Control Variables

In order to control the impact of other factors on AGTFP and reduce potential biases in policy effectiveness evaluation, based on existing studies [68,71], we included agricultural structure, natural disasters, economic openness, industrialization, and urbanization as control variables in our empirical model.
The selection reasons and specific definitions of control variables are as follows: (1) agricultural production structure (AS), defined as the proportion of the output value of the plantation industry to the total output value of agriculture, forestry, animal husbandry, and fishery. Some studies have found that the agricultural production structure influences agricultural green total factor productivity, with a higher proportion of plantation industries making it easier to achieve intensive and green transformation [68]; (2) degree of agricultural disaster (AD), defined as the proportion of the area affected by the disaster to the total sown area of crops. Natural disasters increase uncertainty in agricultural production, which may hurt agricultural yields and reduce farmers’ motivation, thus affecting green total factor productivity in agriculture [72]; (3) degree of economic openness (EO), defined as the proportion of trade import and export volume to the GDP. International trade has stricter standards for the environmental impact and sustainability of agricultural products, which can stimulate quality improvement and technology application in agricultural production in trading countries [73]; (4) industrialization level (IL), defined as the proportion of the output of the secondary sector to the GDP. The development of modern industry can provide agriculture with sufficient resources, abundant equipment, advanced technology, and a broad market, thus making efficient and clean agricultural production possible [74]; (5) urbanization level (UL), defined as the proportion of the permanent urban population to the total population. Urbanization promotes the transfer of surplus rural labor and the intensification of agricultural production, and is important for resource allocation, capital application, and technological spillovers in agriculture [75].

3.3. Data and Sample

This paper conducted research using panel data from 30 provinces in China from 2002 to 2015. Firstly, the study sample was limited to the provincial level, primarily due to the fact that provincial governments are the primary units responsible for education investment and management in China. More importantly, the free compulsory education policy is implemented in batches at the provincial level. Among all 34 provinces in China, Hong Kong, Macao, and Taiwan were excluded due to different education systems, while Tibet was excluded due to missing data. Ultimately, the remaining 30 mainland Chinese provinces were selected as the study sample. They included the 11 developed eastern provinces of Beijing, Tianjin, Hebei, Liaoning, Shanghai, Jiangsu, Zhejiang, Fujian, Shandong, Guangdong, and Hainan, and the 19 less developed central and western provinces of Jilin, Heilongjiang, Shanxi, Anhui, Jiangxi, Henan, Hubei, Hunan, Inner Mongolia, Guangxi, Chongqing, Sichuan, Guizhou, Yunnan, Shaanxi, Gansu, Qinghai, Ningxia, and Xinjiang.
Secondly, the study period of this paper was set from 2002 to 2015, which effectively covered the stages before and after the implementation of free compulsory education. The time starting point for the study was chosen primarily due to data constraints, with 2002 being the earliest year for which the research data needed for this paper could be obtained. The year 2015 was set as the end point of the study time. It has been 9 years since the completion of the policy implementation (2007), which meets the requirement of observing the effects of the policy. Furthermore, this will not make the gap between the observation periods before and after the policy too large, thereby affecting the empirical results.
The data regarding agricultural production were primarily obtained from the China Rural Statistical Yearbook. The data concerning free compulsory education in rural areas were mainly taken from the China Education Yearbook and the China Education Funding Statistical Yearbook. Other data including control variables were mainly derived from the China Statistical Yearbook and the China Environmental Statistics Yearbook. The websites of the National Bureau of Statistics, the Ministry of Agriculture, the Ministry of Education, and provincial governments served as supplementary data sources. Moreover, some missing values were filled in through linear interpolation. Descriptive statistics results for each variable are displayed in Table 2.

4. Empirical Result and Discussion

4.1. Estimation Results of AGTFP

Using the GML index of the SBM directional distance function, we calculated the green total factor productivity of agriculture in China from 2003 to 2015. Figure 2 illustrates the general trend of AGTFP and its decomposition in China during the observation period. The average value of the GML index from 2003 to 2015 is 1.053, indicating an annual increase in China’s AGTFP by 5.3%. These results demonstrate a continuous improvement in China’s agricultural production, with a gradual shift towards low-carbon and environmentally friendly practices. The index decomposition reveals an average GTC value of 1.049 and an average GEC value of 1.007, indicating that technological progress is the primary driver of AGTFP. Similarly, looking further at the overall trend of change, the GML curve is basically in line with the GTC curve and has a low correlation with the GEC curve. These findings are consistent with the conclusions of Song et al. [76] and Luo et al. [77] that the green total factor productivity of Chinese agriculture is steadily improving.
To provide insight into the characteristics of provincial AGTFP, Figure 3 further shows the average value of AGTFP by province from 2003 to 2015. The average AGTFP for all 30 provinces falls between 1.0171 and 1.0907, suggesting that each province has seen some improvement in its green agricultural production. Notably, the provinces with the fastest AGTFP growth are Shandong, Shanxi, Heilongjiang, Shaanxi, Ningxia, Henan, Hebei, Chongqing, Anhui, Hubei, Jiangsu, Liaoning, and Hunan, with an average annual growth rate exceeding 5.8%. These provinces are located in the North China Plain, the Middle and Lower Yangtze Valley Plain, and the Northeast China Plain. They are China’s major agricultural production areas, with large agricultural populations and highly intensive arable land. The province with the lowest average AGTFP value is Qinghai, with an average annual growth rate of 1.7%. This can be attributed to its location in the most environmentally fragile and economically underdeveloped region in China, which poses significant constraints on agricultural development.

4.2. The Impact of FCE on AGTFP

The primary objective of this paper is to assess the influence of the FCE on AGTGP using the quasi-DID method. The results of the benchmark regression are presented in Table 3. According to the model setup, the fixed effect of years and regions are added to the regression. In column (1), without controlling for other variables, the coefficient of Invest × Policy is positive and statistically significant at the 1% level. In column (2), variables related to agricultural structure, disasters, openness, industrialization, and urbanization are incorporated, and the coefficient of the policy interaction term is still significantly positive at the 1% level. This result suggests that the Chinese government’s free compulsory education reform is conducive to the green transformation of agriculture, which is in line with the theoretical expectations of hypothesis 1. Furthermore, in columns (3) and (4), we examine the effects of implementing the free education policy in primary schools and junior high schools, respectively. Both columns show statistically significant results, providing strong evidence for the robustness of our findings.
The above results confirm the importance of education in achieving low-carbon development in agriculture. As economists consistently emphasized, human capital and technological progress are the drivers of sustained economic growth, and neither can be achieved without the development of education [78,79]. In the context of a low-carbon economy, education also assumes a crucial role, profoundly influencing the shaping and dissemination of cleaner production awareness and technologies [80]. In China, the enforcement of free compulsory education has significantly enhanced rural human capital, enabling over 95% of rural children to successfully complete primary and secondary education. More importantly, the policy has enhanced education accessibility, allowing bottom-feeding farmers to obtain the essential knowledge and skills needed for cleaner production. This conclusion holds significant implications for the low-carbon transformation of agriculture in developing countries. A detailed analysis of the impact mechanism will be conducted in the subsequent sections.

4.3. Parallel Trend Test and Dynamic Effects Analysis

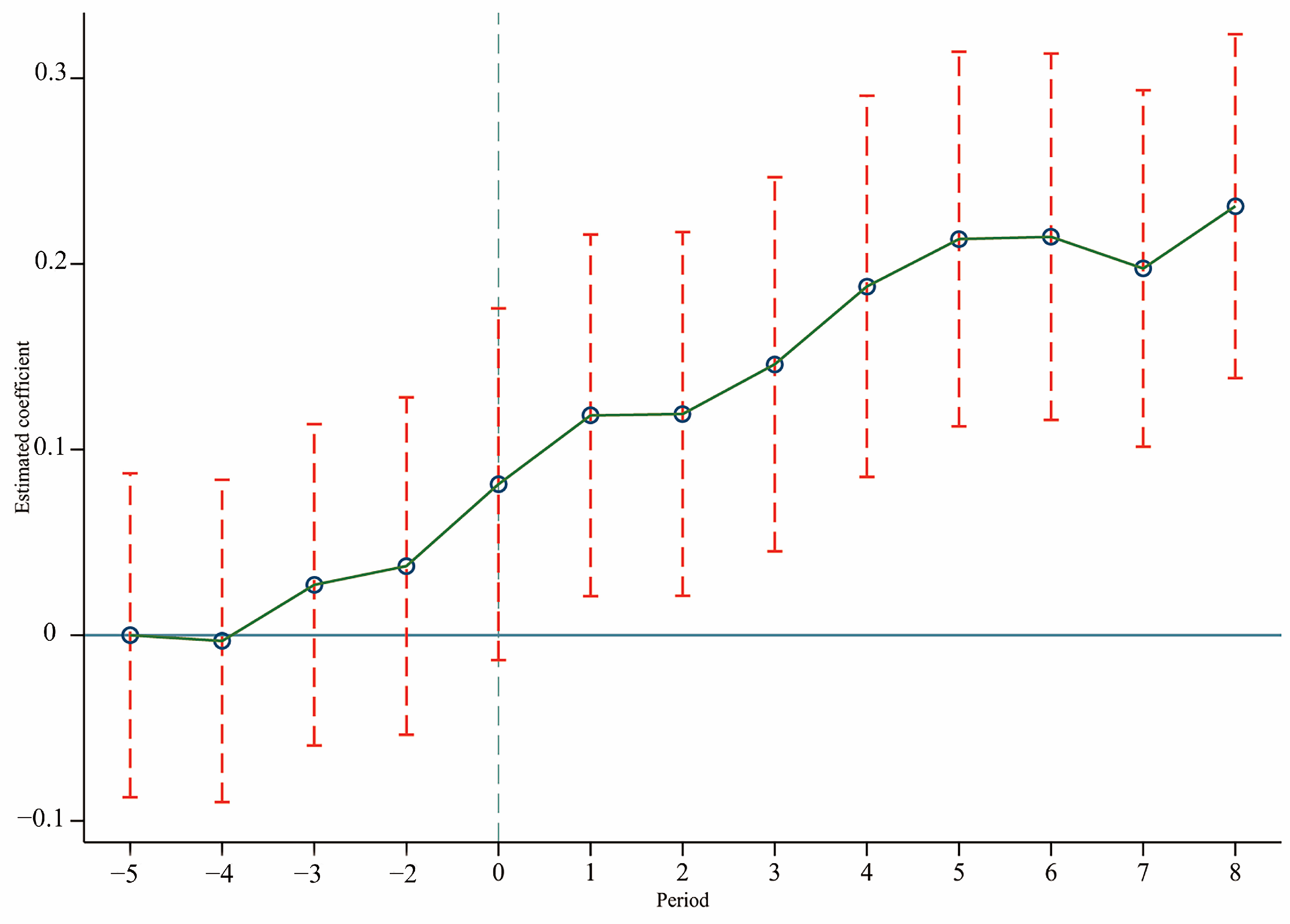
An important prerequisite for using the DID model is to satisfy the parallel trend assumption. It requires that before the policy is implemented, the treatment group and the control group should have the same variation trend. Given this, we draw on the research of Nunn and Qian [58] to conduct a dynamic DID estimation to determine whether the trend is parallel before FCE reform. At the same time, the dynamic impact of policies on AGTFP under multiple time points is further analyzed. The model is as follows:
A G T F P it = α 0 + t = 2003 2015 α s I n v e s t i t × P o l i c y t s + γ X i t + μ i + λ t + ε i t
where P o l i c y t s is a dummy variable. s refers to the period from 2003 to 2015, and because the year 2002 is used as the base period, it does not include 2002. In addition, t is the year when t = s and P o l i c y t s = 1 ; otherwise, it is set to 0. In Equation (3), we are interested in α s . If it is significant before 2007, then it indicates that AGTFP was already affected before the policy was implemented and the parallel trend hypothesis is not valid.
Figure 4 presents the results of the dynamic DID estimation. It is evident that the coefficient α s is not statistically significant prior to 2007. This indicates that education investment intensity did not contribute to the AGTFP gap before the implementation of the FCE policy. Therefore, the research satisfies the parallel trend assumption, and the conclusion is convincing. In terms of dynamic effects, the interaction term gradually becomes statistically significant after 2007, and the coefficient value continues to increase. This means that the positive impact of FCE on AGTFP continues to strengthen over time. As is commonly acknowledged, education typically requires continual and sustained investment. In the early stages of free compulsory education, resource investment and system construction were not yet complete, resulting in limited effects. As the reform deepened, farmers’ knowledge and skills continued to improve, ultimately promoting the improvement of AGTFP.

4.4. Robustness Check

To guarantee the dependability of the empirical findings, this paper performs a range of robustness tests. Three methods are mainly used: replacing the dependent variable, estimating with a subsample, and excluding interference from other policies.

4.4.1. Taking Agricultural Carbon Emissions and Energy Utilization as the Dependent Variable

Carbon emissions [81] and energy utilization [82] are important indicators reflecting the green development of agriculture. Therefore, we replace AGTFP with these two indicators as dependent variables for robustness testing (Table 4). Firstly, we calculate the carbon emission intensity of agricultural production, measured by the carbon dioxide emitted per unit of agricultural output value. Column (1) indicates that the FCE policy has a significant negative correlation with agricultural carbon emission intensity, and columns (2) and (3) also show the same results for primary and junior high school tests. This suggests that free compulsory education reduces the intensity of agricultural carbon emissions. Furthermore, agricultural energy utilization is used as the dependent variable, which is measured by the agricultural output value created by unit energy consumption (water, electricity, and diesel). Column (4) shows that the FCE policy promotes the level of energy utilization in agricultural production, and the primary and junior high school tests in columns (5) and (6) also support this result. It can be seen that the above results verify the role of the FCE policy in reducing carbon emissions and improving energy utilization, and fully prove the robustness of the baseline regression conclusion.

4.4.2. Estimation with Subsample

The benchmark regression includes some special regions in China, such as Beijing, Tianjin, Shanghai, and Chongqing, which are directly under the jurisdiction of the central government. These areas have special political status, developed economies, and a low proportion of agriculture. Including them in benchmark regressions may lead to biased empirical results. For this reason, we exclude the above regions in the subsample regression. The results, as shown in Table 5, show that the coefficient of the interaction term for the free compulsory education policy in column (1) remains significantly positive. Columns (2) and (3), divided into primary and secondary schools, also align with the previous regression. This demonstrates that the empirical results of this paper are robust.

4.4.3. Excluding Interference of Other Policies

During the same period, the Chinese government implemented diverse policies aimed at fostering agricultural development and encouraging environmentally friendly production. Failure to exclude these policy disturbances may lead to overestimation of the empirical results. For example, the exemption of agricultural taxes (AT), the promotion of agricultural insurance (AI), and the introduction of the Scientific Outlook on Development (SOC) may all have an impact on agricultural green production. In line with the approach taken by Yao and Xi [83], this paper incorporated these policies into the model and includes corresponding dummy variables as controls. As shown in Table 6, even after controlling for various policies in columns (1)–(3), Invest × Policy is still significantly positive at the 1% level. This suggests that the conclusion regarding FCE promoting green agricultural development is reliable, provided that policy interference during the same period is excluded.

5. Influencing Mechanisms

From the analysis presented above, it is evident that the FCE policy can significantly promote AGTFP. However, the mechanism behind this impact is not yet fully understood. Therefore, this section will delve into how free compulsory education contributes to the green transformation of agriculture. We draw on the approach of Yang et al. [84] and Chen et al. [85] to analyze the mechanism of influence, first extracting potential mechanism variables through theoretical analysis, and then testing the mechanism variables separately. Based on the theoretical analysis of hypothesis 2 and hypothesis 3, the influence mechanism may have two distinct pathways: awareness cultivation and technological progress. This section sets up the following model to empirically test the above two potential mechanism variables.
G P A it = β 0 + α 1 I n v e s t i t × P o l i c y i t + γ X i t + μ i + λ t + ε i t
G P T it = θ 0 + θ 1 I n v e s t i t × P o l i c y i t + γ X i t + μ i + λ t + ε i t
In the above equation, G P A denotes the green production awareness and G P T denotes green production technology. G P A is measured by the use of rural solar energy, which is an environmentally friendly energy source that can reduce carbon emissions. The adoption of clean energy reflects the environmental consciousness of farmers and is a significant indicator of low-carbon production practices [86]. G P T is measured by the number of green patents in agriculture, which can effectively reflect the development and application of cleaner production technologies in agriculture. In the current literature, agricultural green patents are also considered as a key factor driving the improvement of AGTFP [87].
Table 7 presents the empirical results of the two impact paths. Columns (1) and (2) display the regression results for the effect of green production awareness. The estimated coefficients are significantly positive at a 5% statistical level, whether or not control variables are taken into account. This implies that free compulsory education promotes the spread of clean energy in rural areas, reflecting the increased level of farmers’ awareness of low-carbon and environmental protection. Columns (3) and (4) show the impact of policies on green production technologies, and the estimated coefficient is also positively significant at the 5% statistical level. It can be seen that the implementation of free compulsory education has contributed to the increase in green patents, thereby nurturing the advancement and utilization of agricultural environmental protection technologies. These findings provide strong support for hypotheses 2 and 3 presented in this paper.
Drawing insights from China’s policy practice, we can gain a more profound understanding of this influencing mechanism. China’s compulsory schools assume the responsibility and role of ecological education, which fosters environmental awareness among rural children [88]. In the process, the parents’ ecological awareness will also be influenced by their children’s subtle influence, thus adopting low-carbon production behaviors. At the same time, free compulsory education not only provides farmers with the knowledge they need, but it also increases their chances of attending university. This creates a strong foundation of human capital for the development and application of cleaner production technologies in agriculture [46]. The above conclusions are consistent with the perspectives of Zafar et al. [89] and Voumik and Ridwan [90] on the relationship between education and environmental protection. Therefore, it is reasonable to conclude that awareness cultivation and technological progress are significant channels for free compulsory education to influence agricultural green total factor productivity.

6. Regional Heterogeneity

The previous section has established the recognition of the impact of FCE on AGTFP and its mechanisms. However, it only reflects the policy’s overall effect and does not account for the differences in impact on different regions. In the context of China’s highly uneven regional development, there are significant variations in the economic strength, educational foundation, and agricultural conditions of different provinces. Hence, it is necessary to further consider the potential heterogeneity of the sample and explore the varied impact of policies on different regions. Given this, this section analyzes heterogeneity by dividing the sample into developed eastern provinces and less developed central and western provinces based on geographic location and economic level.
The estimated findings pertaining to eastern provinces are delineated in Table 8. In column (1), it is evident that FCE has a significant positive impact on AGTFP in the developed eastern provinces. Columns (2) and (3) further examine the mechanism behind this relationship and the findings suggest that in the eastern region, FCE primarily improves agricultural production technology and does not have a significant effect on farmers’ ecological awareness. This finding is consistent with the current state of education and agricultural development in China. As the eastern provinces have a more advanced economy, farmers already possess better production and environmental knowledge [91], which may overshadow the impact of the FCE policy on ecological awareness. Additionally, the strong economic and industrial foundation in these provinces provides a favorable environment for the development and implementation of cleaner production technology [92].
Table 9 presents the results for the central and western provinces. Similarly, the results in column (1) indicate that FCE also enhances AGTFP in these regions. However, there is a difference in the mechanism of decomposition. Columns (2) and (3) demonstrate that the policy increases farmers’ environmental awareness rather than promoting environmentally friendly agricultural technologies. This is attributed to the relatively backward economy in the central and western regions, where illiteracy and dropout rates among farmers persist at high levels [93]. As a result, the most immediate impact of free compulsory education is the improvement of rural education levels in these regions, leading to a significant number of farmers gaining scientific production knowledge and concepts. On the contrary, the development of emerging production technologies faces numerous challenges in the central and western regions due to constrained production conditions and a fragile natural environment [94].
The finding of the heterogeneity analysis indicates that the impact mechanism of FCE on AGTFP varies across different regions. This conclusion is consistent with the results of previous studies. In areas with better capital and labor conditions, it is possible to promote and actively create cleaner agricultural production technologies [28]. Conversely, in underdeveloped areas facing challenging natural and economic conditions, it is crucial to enhance farmers’ labor skills and ecological awareness [95]. This requires the FCE policy to be adapted to local conditions and provides the necessary support for weak links in the green transformation of local agriculture. For instance, in economically disadvantaged countries, it may be easier and faster to attain policy outcomes by imparting basic clean production knowledge to farmers through FCE.

7. Conclusions and Implications

With the increasing impact of global climate change, the focus on low-carbon and eco-friendly development has become a key topic in economic and environmental research in recent years. While the importance of education in promoting a green economy has long been recognized, there are still debates and limitations surrounding this topic. Therefore, using the quasi-DID approach, this paper explores the impact of the free compulsory education policy on green total factor productivity in agriculture and analyzes the potential transmission mechanisms. The research findings are as follows: (1) The free compulsory education policy has contributed to an improvement in agricultural green total factor productivity. After parallel trends and robustness tests, this conclusion is still valid. (2) Mechanism decomposition indicates that awareness cultivation and technological improvement are important influencing pathways. By enhancing farmers’ ecological awareness and agricultural green technology, free compulsory education has a profound impact on the scientization and modernization of agricultural production. (3) The impact of the free compulsory education policy varies across different regions. In developed provinces, the policy has mainly promoted the development of green production technologies, while in less developed provinces, policies have mainly favored the cultivation of farmers’ ecological awareness.
According to the conclusions drawn in this paper, there are important policy implications that should be considered.
(1)
China’s practice of free compulsory education shows that universal basic education is conducive to the green transformation of agriculture, which provides empirical evidence for other countries. Governments should prioritize the role of basic education in the green transformation of agriculture and actively implement programs to increase access to education in rural areas. In particular, it is necessary to increase public financial support for rural education and lower the cost of family education through transfer payments. This measure is essential to prevent farmers from discontinuing education due to financial constraints, ultimately contributing to the enhancement of human capital in agriculture.
(2)
It is essential to recognize the importance of ecological awareness and green technology in driving green transformation. Therefore, in promoting free compulsory education, it is crucial to actively provide courses, teaching materials, and training related to green production. For example, green awareness enlightenment should be conducted at the primary school level, while corresponding scientific knowledge and production skills should be taught at the junior high school level.
(3)
It is important to acknowledge that the impact of policies may vary in different regions. Therefore, the content of education popularization projects should be consistent with local economic and social development characteristics. In developed regions, where farmers already possess high ecological awareness, policies should focus on technological advances for cleaner agricultural production. In less economically developed regions, where conditions for the diffusion of emerging technologies may not be available, actively promoting green awareness among farmers may be a more effective approach.
This paper provides valuable insights into the role of basic education popularization in promoting agricultural green transformation, but it also has certain limitations. Firstly, our research area is limited to the provincial level, and the research observation period is relatively short. Future studies could be further refined to the city and county level to fully take into account the agricultural and educational characteristics of different regions. Moreover, observations from longer study periods can test the long-term effects of policies and generate more persuasive evidence. Secondly, due to limited data availability, our analysis of impact mechanisms is relatively simplistic. In future research, a more systematic deconstruction and interpretation of these mechanisms could be carried out from a micro-perspective. This would help to further understand the intrinsic relationship between education and green development.

Author Contributions

Conceptualization, J.Z. and Y.C.; methodology, Y.C., R.P. and Z.L.; software, R.P. and Z.L.; validation, Y.C. and R.P.; formal analysis, Y.C. and Z.L.; investigation, J.Z., Y.C. and R.P.; resources, J.Z., H.L. and M.J.; data curation, H.L. and M.J.; writing—original draft preparation, Y.C.; writing—review and editing, J.Z. and Y.C. All remaining errors belong to the authors. All authors have read and agreed to the published version of the manuscript.

Funding

This work was carried out with the support of the “Innovation Project of Guangxi Graduate Education (No. YCBZ2023036)” and “Guangxi University Applied Economics Interdisciplinary Research Project (No. 2023JJJXA10)”.

Institutional Review Board Statement

Not applicable.

Data Availability Statement

The data applied in this paper can be made available upon reasonable request.

Conflicts of Interest

The authors declare that they have no known conflicting financial interests or personal relationships that could have appeared to influence the work reported in this paper.

References

  1. Searchinger, T.D.; Wirsenius, S.; Beringer, T.; Dumas, P. Assessing the efficiency of changes in land use for mitigating climate change. Nature 2018, 564, 249–253. [Google Scholar] [CrossRef] [PubMed]
  2. Xu, B.; Lin, B. Factors affecting CO2 emissions in China’s agriculture sector: Evidence from geographically weighted regression model. Energy Policy 2017, 104, 404–414. [Google Scholar] [CrossRef]
  3. Su, Y.; He, S.; Wang, K.; Shahtahmassebi, A.R.; Zhang, L.; Zhang, J.; Zhang, M.; Gan, M. Quantifying the sustainability of three types of agricultural production in China: An emergy analysis with the integration of environmental pollution. J. Clean. Prod. 2020, 252, 119650. [Google Scholar] [CrossRef]
  4. Huang, X.Q.; Xu, X.C.; Wang, Q.Q.; Zhang, L.; Gao, X.; Chen, L.H. Assessment of Agricultural Carbon Emissions and Their Spatiotemporal Changes in China, 1997–2016. Int. J. Environ. Res. Public Health 2019, 16, 3105. [Google Scholar] [CrossRef]
  5. Lei, S.H.; Yang, X.; Qin, J.H. Does agricultural factor misallocation hinder agricultural green production efficiency? Evidence from China. Sci. Total Environ. 2023, 891, 164466. [Google Scholar] [CrossRef] [PubMed]
  6. Chen, Y.S.; Hu, S.M.; Wu, H.Q. The Digital Economy, Green Technology Innovation, and Agricultural Green Total Factor Productivity. Agriculture 2023, 13, 1961. [Google Scholar] [CrossRef]
  7. Xiong, H.; Zhan, J.T.; Xu, Y.J.; Zuo, A.; Lv, X.Y. Challenges or drivers? Threshold effects of environmental regulation on China’s agricultural green productivity. J. Clean. Prod. 2023, 429, 139503. [Google Scholar] [CrossRef]
  8. Li, Y.K.; Chen, J.; Sohail, M.T. Does education matter in China? Myths about financial inclusion and energy consumption. Environ. Sci. Pollut. Res. 2022, 29, 73542–73551. [Google Scholar] [CrossRef]
  9. Rahman, M.M.; Nepal, R.; Alam, K. Impacts of human capital, exports, economic growth and energy consumption on CO2 emissions of a cross-sectionally dependent panel: Evidence from the newly industrialized countries (NICs). Environ. Sci. Policy 2021, 121, 24–36. [Google Scholar] [CrossRef]
  10. Wang, M.; Xu, M.; Ma, S. The effect of the spatial heterogeneity of human capital structure on regional green total factor productivity. Struct. Chang. Econ. Dyn. 2021, 59, 427–441. [Google Scholar] [CrossRef]
  11. Sarwar, S.; Streimikiene, D.; Waheed, R.; Mighri, Z. Revisiting the empirical relationship among the main targets of sustainable development: Growth, education, health and carbon emissions. Sustain. Dev. 2021, 29, 419–440. [Google Scholar] [CrossRef]
  12. Tebourbi, I.; Nguyen, A.T.T.; Yuan, S.F.; Huang, C.Y. How do social and economic factors affect carbon emissions? New evidence from five ASEAN developing countries. Ekon. Istraz. 2023, 36, 2120038. [Google Scholar] [CrossRef]
  13. Mayer, A. Education and the environment: An international study. Int. J. Sustain. Dev. World Ecol. 2013, 20, 512–519. [Google Scholar] [CrossRef]
  14. Mahalik, M.K.; Mallick, H.; Padhan, H. Do educational levels influence the environmental quality? The role of renewable and non-renewable energy demand in selected BRICS countries with a new policy perspective. Renew. Energy 2021, 164, 419–432. [Google Scholar] [CrossRef]
  15. Arkorful, V.E.; Basiru, I.; Anokye, R.; Latif, A.; Agyei, E.K.; Hammond, A.; Pokuaah, S.; Arkorful, E.V.; Abdul-Rahaman, S. Equitable Access and Inclusiveness in Basic Education: Roadblocks to Sustainable Development Goals. Int. J. Public Adm. 2020, 43, 189–202. [Google Scholar] [CrossRef]
  16. Kodila-Tedika, O.; Otchia, C.S. The Effects of free primary education in Democratic Republic of Congo: A difference-in-differences approach. Rev. Dev. Econ. 2022, 26, 2109–2120. [Google Scholar] [CrossRef]
  17. Dessy, S.; Gninafon, H.; Tiberti, L.; Tiberti, M. Free compulsory education can mitigate COVID-19 disruptions’ adverse effects on child schooling. Econ. Educ. Rev. 2023, 97, 102480. [Google Scholar] [CrossRef]
  18. Lucas, A.M.; Mbiti, I.M. Does Free Primary Education Narrow Gender Differences in Schooling? Evidence from Kenya. J. Afr. Econ. 2012, 21, 691–722. [Google Scholar] [CrossRef]
  19. Xiao, Y.; Li, L.; Zhao, L.Q. Education on the cheap: The long-run effects of a free compulsory education reform in rural china. J. Comp. Econ. 2017, 45, 544–562. [Google Scholar] [CrossRef]
  20. Shi, X.Z. The Impact of Educational Fee Reduction Reform on School Enrolment in Rural China. J. Dev. Stud. 2016, 52, 1791–1809. [Google Scholar] [CrossRef]
  21. Chen, Y.W.; Zhang, Y. Effects of free compulsory education on rural well-being in China. Asian-Pac. Econ. Lit. 2020, 34, 78–92. [Google Scholar] [CrossRef]
  22. Jiang, M.Q.; Zhang, J.F. How does the Change in Rural Human Capital affect Agricultural Labor Productivity? The Empirical Analysis Given the Urban-Rural Integration. Econ. Probl. 2023, 9, 77–87. [Google Scholar] [CrossRef]
  23. Schultz, T.W. Transforming Traditional Agriculture; Yale University Press: New Haven, CT, USA; London, UK, 1964. [Google Scholar]
  24. Hayami, Y.; Ruttan, V.W. Agricultural Productivity Differences among Countries. Am. Econ. Rev. 1970, 60, 895–911. [Google Scholar]
  25. Nguyen, D. On Agricultural Productivity Differences among Countries. Am. J. Agric. Econ. 1979, 61, 565–570. [Google Scholar] [CrossRef]
  26. Young, D.; Deng, H.H. The effects of education in early-stage agriculture: Some evidence from China. Appl. Econ. 1999, 31, 1315–1323. [Google Scholar] [CrossRef]
  27. He, W.C.; Li, E.L.; Cui, Z.Z. Evaluation and Influence Factor of Green Efficiency of China’s Agricultural Innovation from the Perspective of Technical Transformation. Chin. Geogr. Sci. 2021, 31, 313–328. [Google Scholar] [CrossRef]
  28. Liu, J.X.; Liu, S.T.; Cui, J.D.; Kang, X.F.; Lin, Q.; Osathanunkul, R.; Dong, C.R. Total-Factor Energy Efficiency and Its Driving Factors in China’s Agricultural Sector: An Empirical Analysis of the Regional Differences. Agronomy 2023, 13, 2332. [Google Scholar] [CrossRef]
  29. Edsand, H.E.; Broich, T. The Impact of Environmental Education on Environmental and Renewable Energy Technology Awareness: Empirical Evidence from Colombia. Int. J. Sci. Math. Educ. 2020, 18, 611–634. [Google Scholar] [CrossRef]
  30. Reilly, C.; Stevenson, K.; Warner, W.; Park, T.; Knollenberg, W.; Lawson, D.; Brune, S.; Barbieri, C. Agricultural and environmental education: A call for meaningful collaboration in a US context. Environ. Educ. Res. 2022, 28, 1410–1422. [Google Scholar] [CrossRef]
  31. Wang, Y.F.; Zhao, Z.H.; Xu, M.; Tan, Z.X.; Han, J.W.; Zhang, L.C.; Chen, S.Y. Agriculture-Tourism Integration’s Impact on Agricultural Green Productivity in China. Agriciculture 2023, 13, 1941. [Google Scholar] [CrossRef]
  32. Chen, Y.; Ali, F.; Lyulyov, O.; Pimonenko, T. Analysis of the interval difference and spatial effects of Chinese green economic progress. Energy Environ. 2023, 34, 3160–3186. [Google Scholar] [CrossRef]
  33. Welch, F. Education in Production. J. Polit. Econ. 1970, 78, 35–59. [Google Scholar] [CrossRef]
  34. Huffman, W.E. Human capital: Education and agriculture. In Handbook of Agricultural Economics; Gardner, B.L., Rausser, G.C., Eds.; Elsevier: Amsterdam, The Netherlands, 2001; Volume 1, pp. 333–381. [Google Scholar]
  35. Reimers, M.; Klasen, S. Revisiting the Role of Education for Agricultural Productivity. Am. J. Agric. Econ. 2013, 95, 131–152. [Google Scholar] [CrossRef]
  36. Lin, J.Y. Education and Innovation Adoption in Agriculture: Evidence from Hybrid Rice in China. Am. J. Agric. Econ. 1991, 73, 713–723. [Google Scholar] [CrossRef]
  37. Jamison, D.T.; Lau, L.J. Farmer Education and Farm Efficiency; Johns Hopkins University Press: Baltimore, MD, USA, 1982. [Google Scholar]
  38. Asadullah, M.N.; Rahman, S. Farm productivity and efficiency in rural Bangladesh: The role of education revisited. Appl. Econ. 2009, 41, 17–33. [Google Scholar] [CrossRef]
  39. Acemoglu, D.; Angrist, J. How Large Are Human-Capital Externalities? Evidence from Compulsory Schooling Laws. NBER Macroecon. Annu. 2000, 15, 9–59. [Google Scholar] [CrossRef]
  40. Meghir, C.; Palme, M. Educational Reform, Ability, and Family Background. Am. Econ. Rev. 2005, 95, 414–424. [Google Scholar] [CrossRef]
  41. Oreopoulos, P. Estimating Average and Local Average Treatment Effects of Education When Compulsory Schooling Laws Really Matter. Am. Econ. Rev. 2006, 96, 152–175. [Google Scholar] [CrossRef]
  42. Bose, B.; Heymann, J. Effects of tuition-free primary education on women’s access to family planning and on health decision-making: A cross-national study. Soc. Sci. Med. 2019, 238, 112478. [Google Scholar] [CrossRef]
  43. Deininger, K. Does cost of schooling affect enrollment by the poor? Universal primary education in Uganda. Econ. Educ. Rev. 2003, 22, 291–305. [Google Scholar] [CrossRef]
  44. Nishimura, M.; Yamano, T.; Sasaoka, Y. Impacts of the universal primary education policy on educational attainment and private costs in rural Uganda. Int. J. Educ. Dev. 2008, 28, 161–175. [Google Scholar] [CrossRef]
  45. Chyi, H.; Zhou, B. The effects of tuition reforms on school enrollment in rural China. Econ. Educ. Rev. 2014, 38, 104–123. [Google Scholar] [CrossRef]
  46. Jia, J.; Ke, R. Free Compulsory Education Policy and Rural Human Capital Accumulation: An Empirical Analysis Based on CFPS. Educ. Econ. 2020, 153, 19–30. (In Chinese) [Google Scholar]
  47. Lorenzoni, I.; Nicholson-Cole, S.; Whitmarsh, L. Barriers perceived to engaging with climate change among the UK public and their policy implications. Glob. Environ. Change-Hum. Policy Dimens. 2007, 17, 445–459. [Google Scholar] [CrossRef]
  48. Tian, Y. Cognition degree, future expectation and farmers’ low-carbon willingness in agricultural production: Based on the survey data of farmers in Wuhan. J. Huazhong Agric. Univ. Soc. Sci. Ed. 2019, 1, 77–84. (In Chinese) [Google Scholar] [CrossRef]
  49. Coertjens, L.; Boeve-de Pauw, J.; De Maeyer, S.; Van Petegem, P. Do schools make a difference in their students’ environmental attitudes and awareness? Evidence from Pisa 2006. Int. J. Sci. Math. Educ. 2010, 8, 497–522. [Google Scholar] [CrossRef]
  50. Curdt-Christiansen, X.L. Environmental literacy: Raising awareness through Chinese primary education textbooks. Lang. Cult. Curric. 2021, 34, 147–162. [Google Scholar] [CrossRef]
  51. Hungerford, H.R.; Volk, T.L. Changing learner behavior through environmental education. J. Environ. Educ. 1990, 21, 8–21. [Google Scholar] [CrossRef]
  52. Efird, R. Learning places and ‘little volunteers’: An assessment of place- and community-based education in China. Environ. Educ. Res. 2015, 21, 1143–1154. [Google Scholar] [CrossRef]
  53. Nelson, R.R.; Phelps, E.S. Investment in Humans, Technological Diffusion, and Economic Growth. Am. Econ. Rev. 1966, 56, 69–75. [Google Scholar]
  54. Li, L.; Li, G.; Ozturk, I.; Ullah, S. Green innovation and environmental sustainability: Do clean energy investment and education matter? Energy Environ. 2023, 34, 2705–2720. [Google Scholar] [CrossRef]
  55. Tang, C.; Zhao, L.Q.; Zhao, Z. Does free education help combat child labor? The effect of a free compulsory education reform in rural China. J. Popul. Econ. 2020, 33, 601–631. [Google Scholar] [CrossRef]
  56. Zhang, H.; Zhang, L.; Zhang, H.W. Empirical analysis of residents’ families’ willingness to invest in agricultural higher education and influencing factors: Taking the families of students from China Agricultural University as an example. High. Agric. Educ. 2012, 7, 22–25. (In Chinese) [Google Scholar] [CrossRef]
  57. Feder, G.; Just, R.E.; Zilberman, D. Adoption of Agricultural Innovations in Developing Countries: A Survey. Econ. Dev. Cult. Change 1985, 33, 255–298. [Google Scholar] [CrossRef]
  58. Nunn, N.; Qian, N. The potato’s contribution to population and urbanization: Evidence from a historical experiment. Q. J. Econ. 2011, 126, 593–650. [Google Scholar] [CrossRef]
  59. Yang, Z.B.; Fan, M.L.; Shao, S.; Yang, L.L. Does carbon intensity constraint policy improve industrial green production performance in China? A quasi-DID analysis. Energy Econ. 2017, 68, 271–282. [Google Scholar] [CrossRef]
  60. Cheng, Y.Y.; Du, K.R.; Yao, X. Stringent environmental regulation and inconsistent green innovation behavior: Evidence from air pollution prevention and control action plan in China. Energy Econ. 2023, 120, 106571. [Google Scholar] [CrossRef]
  61. Xu, H.; Yang, R. Does agricultural water conservation policy necessarily reduce agricultural water extraction? Evidence from China. Agric. Water Manag. 2022, 274, 107987. [Google Scholar] [CrossRef]
  62. Zheng, Z.H.; Gao, Y.; Henneberry, S.R.; Nayga, R.M. Policy reform and farmers’ heterogeneous response: Measuring the income effects of corn price shocks. Agribusiness 2023, 39, 564–585. [Google Scholar] [CrossRef]
  63. Tone, K. A slacks-based measure of efficiency in data envelopment analysis. Eur. J. Oper. Res. 2001, 130, 498–509. [Google Scholar] [CrossRef]
  64. Tone, K. A slacks-based measure of super-efficiency in data envelopment analysis. Eur. J. Oper. Res. 2002, 143, 32–41. [Google Scholar] [CrossRef]
  65. Oh, D.H. A global Malmquist-Luenberger productivity index. J. Prod. Anal. 2010, 34, 183–197. [Google Scholar] [CrossRef]
  66. Fang, L.; Hu, R.; Mao, H.; Chen, S.J. How crop insurance influences agricultural green total factor productivity: Evidence from Chinese farmers. J. Clean. Prod. 2021, 321, 128977. [Google Scholar] [CrossRef]
  67. Zhu, L.P.; Shi, R.; Mi, L.C.; Liu, P.; Wang, G.F. Spatial Distribution and Convergence of Agricultural Green Total Factor Productivity in China. Int. J. Environ. Res. Public Health 2022, 19, 8786. [Google Scholar] [CrossRef] [PubMed]
  68. Liu, D.D.; Zhu, X.Y.; Wang, Y.F. China’s agricultural green total factor productivity based on carbon emission: An analysis of evolution trend and influencing factors. J. Clean. Prod. 2021, 278, 123692. [Google Scholar] [CrossRef]
  69. Han, H.; Zhong, Z.; Guo, Y.; Xi, F.; Liu, S. Coupling and decoupling effects of agricultural carbon emissions in China and their driving factors. Environ. Sci. Pollut. Res. 2018, 25, 25280–25293. [Google Scholar] [CrossRef] [PubMed]
  70. Liu, Z.K.; Xin, L. Has China’s Belt and Road Initiative promoted its green total factor productivity?—Evidence from primary provinces along the route. Energy Policy 2019, 129, 360–369. [Google Scholar] [CrossRef]
  71. Gao, Q.; Cheng, C.M.; Sun, G.L.; Li, J.F. The Impact of Digital Inclusive Finance on Agricultural Green Total Factor Productivity: Evidence from China. Front. Ecol. Evol. 2022, 10, 905644. [Google Scholar] [CrossRef]
  72. Suresh, K.; Khanal, U.; Wilson, C.; Managi, S.; Quayle, A.; Santhirakumar, S. An economic analysis of agricultural adaptation to climate change impacts in Sri Lanka: An endogenous switching regression analysis. Land Use Policy 2021, 109, 105601. [Google Scholar] [CrossRef]
  73. Liu, Z.; Zhang, M.L.; Li, Q.M.; Zhao, X. The impact of green trade barriers on agricultural green total factor productivity: Evidence from China and OECD countries. Econ. Anal. Policy 2023, 78, 319–331. [Google Scholar] [CrossRef]
  74. Yuan, H.X.; Feng, Y.D.; Lee, C.C.; Cen, Y. How does manufacturing agglomeration affect green economic efficiency? Energy Econ. 2020, 92, 104944. [Google Scholar] [CrossRef]
  75. Ge, P.F.; Liu, T.; Wu, X.X.; Huang, X.L. Heterogenous Urbanization and Agricultural Green Development Efficiency: Evidence from China. Sustainability 2023, 15, 5682. [Google Scholar] [CrossRef]
  76. Song, Y.G.; Zhang, B.C.; Wang, J.H.; Kwek, K. The impact of climate change on China’s agricultural green total factor. Technol. Forecast. Soc. Chang. 2022, 185, 122054. [Google Scholar] [CrossRef]
  77. Luo, J.; Huang, M.; Hu, M.; Bai, Y. How does agricultural production agglomeration affect green total factor productivity?: Empirical evidence from China. Environ. Sci. Pollut. Res. 2023, 30, 67865–67879. [Google Scholar] [CrossRef] [PubMed]
  78. Barro, R.J. Economic Growth in a Cross Section of Countries. Q. J. Econ. 1991, 106, 407–443. [Google Scholar] [CrossRef]
  79. Lucas, R.E. On the mechanics of economic development. J. Monet. Econ. 1988, 22, 3–42. [Google Scholar] [CrossRef]
  80. López, R.; Galinato, G.I.; Islam, A. Fiscal spending and the environment: Theory and empirics. J. Environ. Econ. Manag. 2011, 62, 180–198. [Google Scholar] [CrossRef]
  81. Pang, J.X.; Li, H.J.; Lu, C.P.; Lu, C.Y.; Chen, X.P. Regional Differences and Dynamic Evolution of Carbon Emission Intensity of Agriculture Production in China. Int. J. Environ. Res. Public Health 2020, 17, 7541. [Google Scholar] [CrossRef] [PubMed]
  82. Zhou, F.; Wen, C.H. Research on the Level of Agricultural Green Development, Regional Disparities, and Dynamic Distribution Evolution in China from the Perspective of Sustainable Development. Agriculture 2023, 13, 1441. [Google Scholar] [CrossRef]
  83. Yao, C.X.; Xi, B. Does environmental protection tax improve green total factor productivity? Experimental evidence from China. Environ. Sci. Pollut. Res. 2023, 30, 105353–105373. [Google Scholar] [CrossRef]
  84. Yang, Z.; Lu, M.; Shao, S.; Fan, M.; Yang, L. Carbon regulation and economic growth: City-level evidence from China. Environ. Impact Assess. Rev. 2023, 99, 107020. [Google Scholar] [CrossRef]
  85. Chen, Y.; Fan, Z.Y.; Gu, X.M.; Zhou, L.A. Arrival of Young Talent: The Send-Down Movement and Rural Education in China. Am. Econ. Rev. 2020, 110, 3393–3430. [Google Scholar] [CrossRef]
  86. Proctor, K.W.; Murthy, G.S.; Higgins, C.W. Agrivoltaics Align with Green New Deal Goals While Supporting Investment in the US’ Rural Economy. Sustainability 2021, 13, 137. [Google Scholar] [CrossRef]
  87. Hu, R.F.; Xu, W.Q. Exploring the Technological Changes of Green Agriculture in China: Evidence from Patent Data (1998–2021). Sustainability 2022, 14, 10899. [Google Scholar] [CrossRef]
  88. Li, W.X.; Lang, G. Effects of Green School and Parents on Children’s Perceptions of Human-Nature Relationships in China. Child Indic. Res. 2015, 8, 587–604. [Google Scholar] [CrossRef]
  89. Zafar, M.W.; Shahbaz, M.; Sinha, A.; Sengupta, T.; Qin, Q.D. How renewable energy consumption contribute to environmental quality? The role of education in OECD countries. J. Clean. Prod. 2020, 268, 122149. [Google Scholar] [CrossRef]
  90. Voumik, L.C.; Ridwan, M. Impact of FDI, industrialization, and education on the environment in Argentina: ARDL approach. Heliyon 2023, 9, e12872. [Google Scholar] [CrossRef]
  91. Nie, W. Environment cognition, environmental responsibility and public mitigation action. Sci. Technol. Manag. Res. 2016, 36, 252–256. (In Chinese) [Google Scholar] [CrossRef]
  92. Fei, R.L.; Lin, B.Q. Energy efficiency and production technology heterogeneity in China’s agricultural sector: A meta-frontier approach. Technol. Forecast. Soc. Chang. 2016, 109, 25–34. [Google Scholar] [CrossRef]
  93. Lu, M.; Cui, M.; Shi, Y.; Chang, F.; Mo, D.; Rozelle, S.; Johnson, N. Who drops out from primary schools in China? Evidence from minority-concentrated rural areas. Asia Pac. Educ. Rev. 2016, 17, 235–252. [Google Scholar] [CrossRef]
  94. He, P.P.; Zhang, J.B.; Li, W.J. The role of agricultural green production technologies in improving low-carbon efficiency in China: Necessary but not effective. J. Environ. Manag. 2021, 293, 112837. [Google Scholar] [CrossRef] [PubMed]
  95. Maria; Irham; Hartono, S.; Waluyati, L.R. The effect of environmental awareness on motivation in adopting farming conservation techniques in the various agro-ecological zones: A case study in critical land of Java Island, Indonesia. Environ. Dev. Sustain. 2022, 24, 1878–1896. [Google Scholar] [CrossRef]
Figure 1. The impact mechanism of FCE policy on green transformation of agriculture.
Figure 1. The impact mechanism of FCE policy on green transformation of agriculture.
Agriculture 14 00675 g001
Figure 2. Time evolution trend of China’s AGTFP (2003–2015).
Figure 2. Time evolution trend of China’s AGTFP (2003–2015).
Agriculture 14 00675 g002
Figure 3. Average provincial AGTFP from 2003 to 2015.
Figure 3. Average provincial AGTFP from 2003 to 2015.
Agriculture 14 00675 g003
Figure 4. Parallel trend test results.
Figure 4. Parallel trend test results.
Agriculture 14 00675 g004
Table 1. The input and output variables of AGTFP.
Table 1. The input and output variables of AGTFP.
VariableVariable Measurement
Input variablesLabor inputThe number of agricultural employees
Land inputTotal area sown to crops
Machinery inputTotal power of agricultural machinery
Irrigation inputEffective irrigation area
Fertilizer inputApplication amount of agricultural chemical fertilizer
Pesticide inputAmount of pesticide use
Plastic film inputApplication amount of agricultural plastic film
Output variablesExpected outputTotal output value of agriculture, forestry, animal husbandry and fishery
Unexpected outputAgricultural carbon emissions
Table 2. Descriptive statistics of the variables.
Table 2. Descriptive statistics of the variables.
VariableNMeanSDMinMax
AGTFP4201.4761470.40443380.95509353.05308
Invest420152.0978138.84975.20391675.9465
Policy4200.68809520.463823701
AS4200.51976680.08723770.3418990.7458022
AD4200.24799410.148477100.9356124
EO4200.32089140.37290310.01523031.75692
IL4200.44780550.07902190.1780.62
UL4200.48766580.15769140.14859430.8977422
Table 3. Estimation results of the basic model.
Table 3. Estimation results of the basic model.
Variable(1)(2)(3)(4)
AGTFPAGTFPAGTFPAGTFP
Invest × Policy0.0140 ***0.0115 ***0.0117 ***0.0126 ***
(0.00391)(0.00324)(0.00332)(0.00361)
AS 1.283 *1.281 *1.281 *
(0.663)(0.663)(0.661)
AD −0.190 **−0.190 **−0.191 **
(0.0751)(0.0751)(0.0752)
EO 0.369 **0.369 **0.368 **
(0.158)(0.158)(0.158)
IL −0.699−0.701−0.697
(0.808)(0.809)(0.806)
UL 0.7430.7440.735
(0.538)(0.539)(0.536)
Year FeYesYesYesYes
Province FeYesYesYesYes
N420420420420
R20.8330.8550.8550.855
Note: ***, **, and * are significant at the level of 1%, 5%, and 10%, respectively. The values in the parentheses are standard errors.
Table 4. Impact of free compulsory education on agricultural carbon emissions and energy utilization.
Table 4. Impact of free compulsory education on agricultural carbon emissions and energy utilization.
Variable(1)(2)(3)(4)(5)(6)
Carbon EmissionsCarbon EmissionsCarbon EmissionsEnergy UtilizationEnergy UtilizationEnergy Utilization
Invest × Policy−0.0252 ***−0.0261 ***−0.0266 ***0.00383 ***0.00396 ***0.00407 ***
(0.00533)(0.00553)(0.00551)(0.00087)(0.00089)(0.00093)
Control variables YesYesYesYesYesYes
Year FeYesYesYesYesYesYes
Province FeYesYesYesYesYesYes
N420420420420420420
R20.5110.5120.5080.4870.4880.486
Note: ***, **, and * are significant at the level of 1%, 5%, and 10%, respectively. The values in the parentheses are standard errors.
Table 5. Subsample estimation.
Table 5. Subsample estimation.
Variable(1)(2)(3)
AGTFPAGTFPAGTFP
Invest × Policy0.0119 ***0.0120 ***0.0132 ***
(0.00348)(0.00355)(0.00391)
Control variables YesYesYes
Year FeYesYesYes
Province FeYesYesYes
N364364364
R20.8680.8680.869
Note: ***, **, and * are significant at the level of 1%, 5%, and 10%, respectively. The values in the parentheses are standard errors.
Table 6. Excluding interference of other policies.
Table 6. Excluding interference of other policies.
Variable(1)(2)(3)
AGTFPAGTFPAGTFP
Invest × Policy0.0117 ***0.0114 ***0.0116 ***
(0.00329)(0.00334)(0.00329)
AT0.110 **
(0.0530)
AI 0.0241
(0.0315)
SOC 0.591 ***
(0.151)
Control variables YesYesYes
Year FeYesYesYes
Province FeYesYesYes
N420420420
R20.8630.8610.861
Note: ***, **, and * are significant at the level of 1%, 5%, and 10%, respectively. The values in the parentheses are standard errors.
Table 7. Estimated results of influencing mechanism.
Table 7. Estimated results of influencing mechanism.
Variable(1)(2)(3)(4)
GPAGPAGPTGPT
Invest × Policy5.164 **4.441 **6.974 **6.158 **
(2.244)(2.177)(3.006)(2.602)
Control variables NoYesNoYes
Year FeYesYesYesYes
Province FeYesYesYesYes
N390390420420
R20.3620.4630.3320.428
Note: ***, **, and * are significant at the level of 1%, 5%, and 10%, respectively. The values in the parentheses are standard errors.
Table 8. Estimated results of the eastern region.
Table 8. Estimated results of the eastern region.
Variable(1)(2)(3)
AGTFPGPAGPT
Invest × Policy0.0152 **3.6525.850 **
(0.00582)(3.001)(2.646)
Control variablesYesYesYes
Year FeYesYesYes
Province FeYesYesYes
N154143154
R20.8740.7400.657
Note: ***, **, and * are significant at the level of 1%, 5%, and 10%, respectively. The values in the parentheses are standard errors.
Table 9. Estimated results of central and western regions.
Table 9. Estimated results of central and western regions.
Variable(1)(2)(3)
AGTFPGPAGPT
Invest × Policy0.0106 **4.416 **−0.244
(0.00380)(2.174)(0.872)
Control variablesYesYesYes
Year FeYesYesYes
Province FeYesYesYes
N266247266
R20.8900.3770.368
Note: ***, **, and * are significant at the level of 1%, 5%, and 10%, respectively. The values in the parentheses are standard errors.
Disclaimer/Publisher’s Note: The statements, opinions and data contained in all publications are solely those of the individual author(s) and contributor(s) and not of MDPI and/or the editor(s). MDPI and/or the editor(s) disclaim responsibility for any injury to people or property resulting from any ideas, methods, instructions or products referred to in the content.

Share and Cite

MDPI and ACS Style

Zhou, J.; Chang, Y.; Peng, R.; Liu, Z.; Luo, H.; Ji, M. Does Free Compulsory Education Matter for the Green Transformation of Agriculture? Evidence from Rural China. Agriculture 2024, 14, 675. https://doi.org/10.3390/agriculture14050675

AMA Style

Zhou J, Chang Y, Peng R, Liu Z, Luo H, Ji M. Does Free Compulsory Education Matter for the Green Transformation of Agriculture? Evidence from Rural China. Agriculture. 2024; 14(5):675. https://doi.org/10.3390/agriculture14050675

Chicago/Turabian Style

Zhou, Junxu, Yajun Chang, Rong Peng, Zijun Liu, Hang Luo, and Min Ji. 2024. "Does Free Compulsory Education Matter for the Green Transformation of Agriculture? Evidence from Rural China" Agriculture 14, no. 5: 675. https://doi.org/10.3390/agriculture14050675

APA Style

Zhou, J., Chang, Y., Peng, R., Liu, Z., Luo, H., & Ji, M. (2024). Does Free Compulsory Education Matter for the Green Transformation of Agriculture? Evidence from Rural China. Agriculture, 14(5), 675. https://doi.org/10.3390/agriculture14050675

Note that from the first issue of 2016, this journal uses article numbers instead of page numbers. See further details here.

Article Metrics

Back to TopTop