Combined Application of Nitrogen and Phosphorus Promotes the Growth and Nutrient Accumulations of Cinnamomum camphora Container Seedlings
Abstract
1. Introduction
2. Materials and Methods
2.1. Experimental Materials
2.2. Experimental Fertilization Design
2.3. Samplings and Determination
2.3.1. Seedling Height and Ground Diameter
2.3.2. Root System Indexes
2.3.3. Biomass
2.3.4. Nutrient Composition Contents
2.4. Data Statistics and Analysis
3. Results
3.1. Seedling Height and Ground Diameter
3.2. Root System
3.3. Biomass
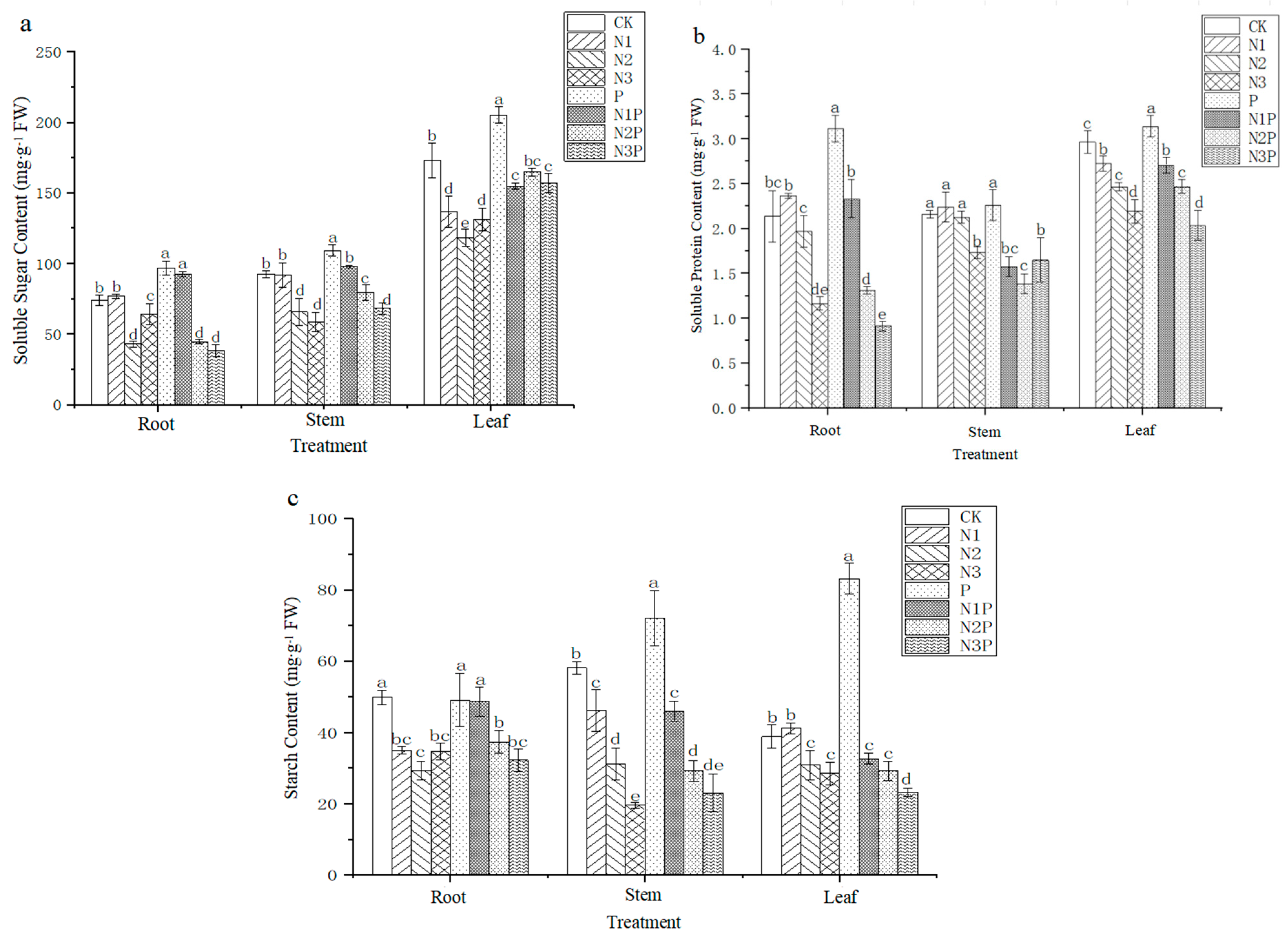
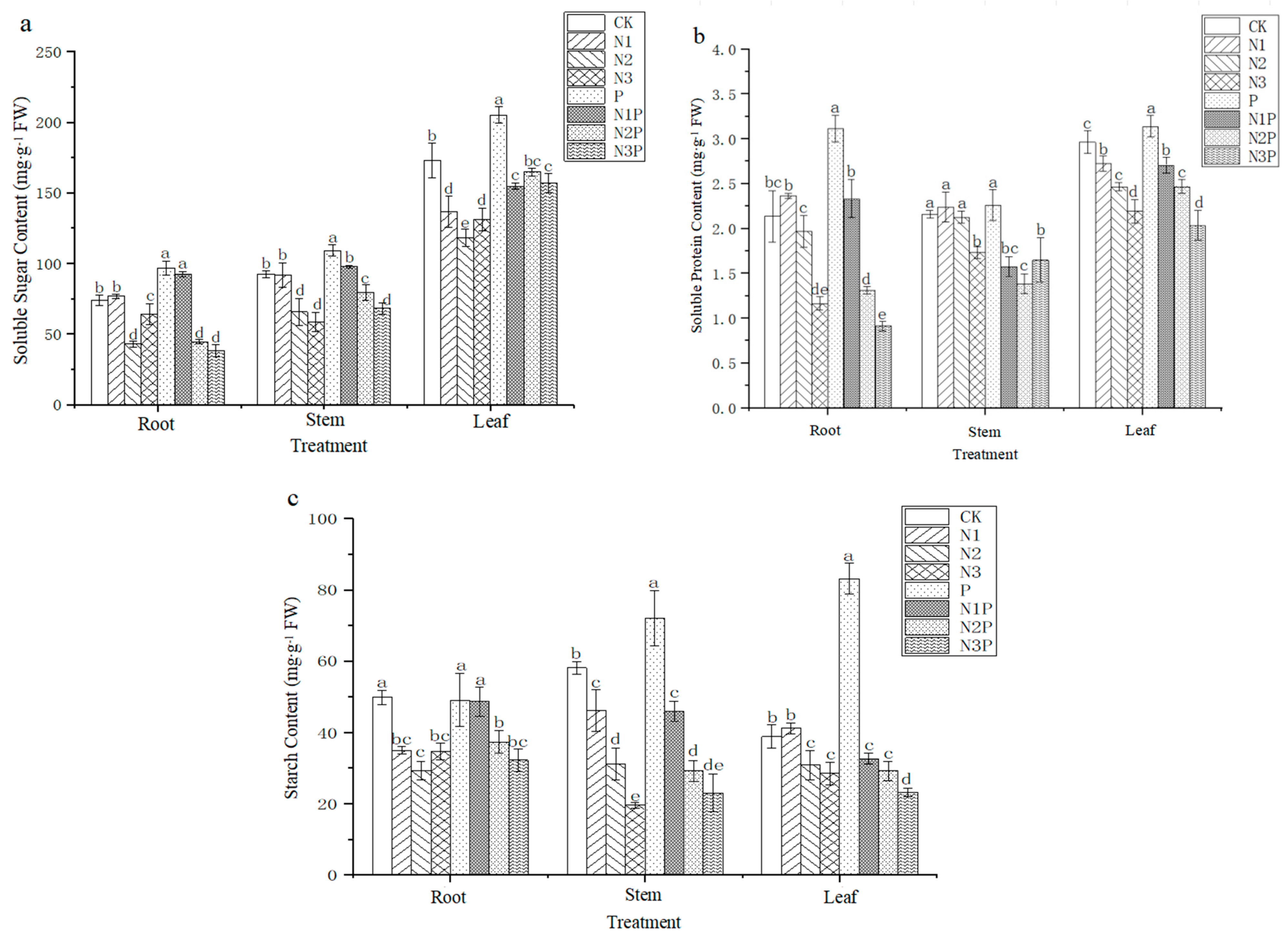
3.4. Nutrient Composition Contents
4. Discussion
4.1. Morphological Growth
4.2. Nutrient Status
5. Conclusions
Author Contributions
Funding
Institutional Review Board Statement
Data Availability Statement
Acknowledgments
Conflicts of Interest
References
- Bhatta, S.P.; Sharma, K.P.; Balami, S. Variation in carbon storage among tree species in the planted forest of Kathmandu, Central Nepal. Curr. Sci. India 2018, 115, 274–282. [Google Scholar] [CrossRef]
- Roszaini, K.; Nor Azah, M.A.; Mailina, J.; Zaini, S.; Mohammad, F.Z. Toxicity and antitermite activity of the essential oils from Cinnamomum camphora, Cymbopogon nardus, Melaleuca cajuputi and Dipterocarpus sp. against Coptotermes curvignathus. Wood Sci. Technol. 2013, 47, 1273–1284. [Google Scholar] [CrossRef]
- Li, Y.Y.; Qi, Y.Q. Study on the dyeing properties of Cinnamomum camphora fruit dyes on wood veneer. J. For. Eng. 2019, 4, 1–7. [Google Scholar] [CrossRef]
- Li, Q.; Zhang, H.M.; Yan, H.G.; Qi, W.Y.; Lin, J.G.; Li, J.Q. Emission of Volatile Camphor Compounds from Cinnamomum camphora wood. Wood Res. 2020, 65, 663–674. [Google Scholar] [CrossRef]
- Zhou, Y.; Yan, W.D. Conservation and applications of camphor tree (Cinnamomum camphora) in China: Ethnobotany and genetic resources. Genet. Resour. Crop Evol. 2016, 63, 1049–1061. [Google Scholar] [CrossRef]
- Bhandari, U.; Kumar, A.; Lohani, H.; Chauhan, N. Chemical composition of essential oil of camphor tree (Cinnamomum camphora) leaves grown in Doon Valley of Uttarakhand. J. Essent. Oil Bear. Plants 2022, 25, 548–554. [Google Scholar] [CrossRef]
- Guo, S.S.; Geng, Z.F.; Zhang, W.J.; Liang, J.Y.; Wang, C.F.; Deng, Z.W.; Du, S.S. The chemical composition of essential oils from Cinnamomum camphora and their insecticidal activity against the stored product pests. Int. J. Mol. Sci. 2016, 17, 1836. [Google Scholar] [CrossRef]
- Davis, A.S.; Jacobs, D.F. Quantifying root system quality of nursery seedlings and relationship to outplanting performance. New For. 2005, 30, 295–311. [Google Scholar] [CrossRef]
- Grossnickle, S.C.; El-Kassaby, Y.A. Bareroot versus container stocktypes: A performance comparison. New For. 2016, 47, 1–51. [Google Scholar] [CrossRef]
- Stoven, A.A.; Mathers, H.M.; Struve, D.K. Fertilizer application method affects growth, nutrient, and water use efficiency of container-grown shade tree whips. Hortscience 2006, 41, 1206–1212. [Google Scholar] [CrossRef]
- Li, G.; Wang, L.H.; Sun, F.B.; Wang, Y.J.; Wu, H.T.; Hu, Z.W.; Zhang, B.B.; Yu, L.; Yan, H.; Shao, F. Capacity of Landscaping Plants to Accumulate Airborne Particulate Matter in Hangzhou, China. Pol. J. Environ. Stud. 2020, 29, 153–161. [Google Scholar] [CrossRef]
- Gong, X.; Shen, T.F.; Li, X.Q.; Lin, H.B.; Chen, C.H.; Li, H.H.; Wu, Z.X.; Liu, Q.L.; Xu, M.; Zhang, B.; et al. Genome-Wide Characterization and Analysis of bHLH Transcription Factors Related to Anthocyanin Biosynthesis in Cinnamomum camphora (‘Gantong 1’). Int. J. Mol. Sci. 2023, 24, 3498. [Google Scholar] [CrossRef] [PubMed]
- Li, P.; Jia, G.L.; Xin, G.L.; Cai, X. The complete chloroplast genome of Cinnamomum camphora (L.) Presl., a unique economic plant to China. Mitochondrial DNA Part B 2019, 4, 2511–2512. [Google Scholar] [CrossRef] [PubMed]
- Fan, C.; Shu, X.; Li, X.Q.; Li, X.W.; Huang, F.X.; Li, P. Effects of fertilization on growth and nutrient distribution of Cinnamomum camphora seedlings. Guihaia 2015, 35, 213–220. (In Chinese) [Google Scholar]
- Shu, X. Effects of Fertilization on Growth and Photosynthetic Physiology of Cinnamomum camphora Seedlings; Sichuan Agricultural University: Ya’an, China, 2014. (In Chinese) [Google Scholar]
- Ni, M.; Gao, Z.Z.; Chen, H.; Chen, C.; Yu, F.Y. Exponential fertilization regimes improved growth and nutrient status of Quercus nuttallii container seedlings. Agronomy 2022, 12, 669. [Google Scholar] [CrossRef]
- Fairbairn, N.J. A modified anthrone reagent. Chem. Ind. 1953, 4, 86. [Google Scholar]
- Bradford, M.M. A rapid and sensitive method for the quantitation of microgram quantities of protein utilizing the principle of protein-dye binding. Anal. Biochem. 1976, 72, 248–254. [Google Scholar] [CrossRef]
- Razaq, M.; Zhang, P.; Shen, H.L.; Salahuddin. Influence of nitrogen and phosphorous on the growth and root morphology of Acer mono. PLoS ONE 2017, 12, e0171321. [Google Scholar] [CrossRef]
- Valinger, E.; Sjögren, H.; Nord, G.; Cedergren, J. Effects on stem growth of Scots pine 33 years after thinning and/or fertilization in northern Sweden. Scand. J. For. Res. 2019, 34, 33–38. [Google Scholar] [CrossRef]
- Roy, R.; Wang, J.X.; Mostofa, M.G.; Fornara, D. Optimal water and fertilizer applications improve growth of Tamarix chinensis in a coal mine degraded area under arid conditions. Physiol. Plant. 2020, 172, 371–390. [Google Scholar] [CrossRef]
- Souza, N.H.; Marchetti, M.E.; Carnevali, T.D.; Ramos, D.D.; Scalon, S.D.Q.; Silva, E.F. Nutrition study of canafístula (I): Initial growth and seedlings quality of peltophorum dubium in response to fertilization with nitrogen and phosphorus. Rev. Árvore 2013, 37, 717–724. [Google Scholar] [CrossRef]
- Wu, J.S.; Tong, G.P.; Guo, R.; Ye, Z.H.; Jin, J.; Lin, H.P. N-Exponential fertilization could affect the growth and nitrogen accumulation of Metasequoia glyptostroboides seedling in a greenhouse environment. Phyton-Int. J. Exp. Bot. 2022, 91, 2211–2220. [Google Scholar] [CrossRef]
- Huang, H.; Wu, H.B.; Lopez, R.; Yin, D.S.; Shen, H.L.; Zhang, P. Effects of pre-hardening and autumn fertilization on biomass allocation and root morphology of Pinus koraiensis Seedlings. Forest 2023, 14, 59. [Google Scholar] [CrossRef]
- Prehn, D.; Bonomelli, C.; San Martin, R. Effect of fertilization on Guindilia trinervis in its natural habitat and in the greenhouse. Bosque 2013, 34, 243–252. [Google Scholar] [CrossRef][Green Version]
- López-Bucio, J.; Cruz-Ramírez, A.; Herrera-Estella, L. The role of nutrient availability in regulating root architecture. Curr. Opin. Plant Biol. 2003, 6, 280–287. [Google Scholar] [CrossRef] [PubMed]
- Jin, J.; Wang, G.H.; Liu, X.; Pan, X.; Herbert, S.J. Phosphorus application affects the soybean root response to water deficit at the initial flowering and full pod stages. Soil Sci. Plant Nutr. 2005, 51, 953–960. [Google Scholar] [CrossRef]
- He, J.; Jin, Y.I.; Turner, N.C.; Chen, Z.; Liu, H.Y.; Wang, X.L.; Siddique, K.H.; Li, F.M. Phosphorus application increases root growth, improves daily water use during the reproductive stage, and increases grain yield in soybean subjected to water shortage. Environ. Exp. Bot. 2019, 166, 103816. [Google Scholar] [CrossRef]
- Xu, B.C.; Niu, F.R.; Duan, D.P.; Xu, W.Z.; Huang, J. Root morphological characteristics of Lespedeza davurica (L.) intercropped with Bothriochloa ischaemum (L.) Keng under water stress and P application conditions. Pak. J. Bot. 2012, 44, 1857–1864. [Google Scholar]
- Wang, R.; Li, J.Y.; Zhang, F.Q.; Zhu, B.Z.; Pan, W. Growing dynamic root system of Aquilaria malaccensis and Aquilaria sinensis seedlings in response to different fertilizing types. Acta Ecol. Sin. 2011, 31, 98–106. [Google Scholar]
- Han, H.; He, H.; Wu, Z.; Cong, Y.; Zong, S.; He, J.; Fu, Y.; Liu, K.; Sun, H.; Li, Y.; et al. Non-Structural Carbohydrate Storage strategy explains the spatial distribution of treeline species. Plants 2020, 9, 384. [Google Scholar] [CrossRef]
- Geiger, D.R.; Servaites, J.C.; Fuchs, M.A. Role of starch in carbon translocation and partitioning at the plant level. Aust. J. Plant Physiol. 2000, 27, 571–582. [Google Scholar] [CrossRef]
- Liu, D.H. Aging of plant leaves. Plant Physiol. J. 1983, 14–19. (In Chinese) [Google Scholar] [CrossRef]
- Wright, S.J.; Yavitt, J.B.; Wurzburger, N.; Turner, B.L.; Tanner, E.; Sayer, E.J.; Santiago, L.S.; Kaspari, M.; Hedin, L.O.; Harms, K.E.; et al. Potassium, phosphorus, or nitrogen limit root allocation, tree growth, or litter production in a lowland tropical forest. Ecology 2011, 92, 1616–1625. [Google Scholar] [CrossRef] [PubMed]
- Wright, S.J. Plant responses to nutrient addition experiments conducted in tropical forests. Ecol. Monogr. 2019, 89, 1382–1399. [Google Scholar] [CrossRef]
- Tang, X.Y.; Kang, Y.C.; Liang, X.X.; Ma, D.C.; Wang, L.H. Effects of N, P and K proportional fertilization on the physiological and photosynthetic characteristics of Tsoongiodendron odorum seedlings. J. NW For. Univ. 2022, 37, 37–42. (In Chinese) [Google Scholar]
- Latsague, M.; Saez, P.; Mora, M. Effect of the fertilization with nitrogen, phosphorus and potassium, on the foliar content of carbohydrates, proteins and photosynthetic pigments in plants of Berberidopsis corallina Hook. f. Gayana Bot. 2014, 71, 37–42. [Google Scholar] [CrossRef]
- Schaberg, P.G.; DeHayes, D.H.; Hawley, G.J.; Murakami, P.F.; Strimbeck, G.R.; McNulty, S.G. Effects of chronic N fertilization on foliar membranes, cold tolerance, and carbon storage in montane red spruce. Can. J. For. Res. 2002, 32, 1351–1359. [Google Scholar] [CrossRef]
- Wu, S.W.; Li, M.; Zhang, C.M.; Tan, Q.L.; Yang, X.Z.; Sun, X.Z.; Pan, Z.Y.; Deng, X.X.; Hu, C.X. Effects of phosphorus on fruit soluble sugar and citric acid accumulations in citrus. Plant Physiol. Biochem. 2021, 160, 73–81. [Google Scholar] [CrossRef] [PubMed]
- Jia, T.; Fang, X.M.; Yuan, Y.; Fu, Y.X.; Yi, M.; Yuan, S.G.; Guo, S.M.; Lai, M.; Xie, J.W.; Zhang, L. Phosphorus addition alter the pine resin flow rate by regulating tree growth and non-structural carbohydrates in a subtropical slash pine plantation. Ind. Crop. Prod. 2023, 199, 116782. [Google Scholar] [CrossRef]
- Chesti, M.H.; Ali, T.; Bhat, M.A. Effect of organic and inorganic phosphorus sources on quality of green gram (Vigna radiata L.) under temperate conditions of Jammu and Kashmir. Legume Res. 2012, 35, 47–49. [Google Scholar]
- Shi, Q.S. Effect of Canola Intercropped with Potato and Phosphorus Rate; Huazhong Agricultural University (People’s Republic of China): Wuhan, China, 2009. (In Chinese) [Google Scholar]
- Mo, Q.F.; Chen, Y.Q.; Yu, S.Q.; Fan, Y.X.; Peng, Z.T.; Wang, W.J.; Li, Z.A.; Wang, F.M. Leaf nonstructural carbohydrate concentrations of understory woody species regulated by soil phosphorus availability in a tropical forest. Ecol. Evol. 2020, 10, 8429–8438. [Google Scholar] [CrossRef] [PubMed]
- Al-Hamdani, S.H.; Sirna, C.B. Physiological Responses of Salvinia minima to Different Phosphorus and Nitrogen Concentrations. Am. Fern J. 2008, 98, 71–82. [Google Scholar] [CrossRef]
- Wang, X.; Xu, Z.; Yan, C.; Luo, W.; Wang, R.; Han, X.; Jiang, Y.; Li, M.H. Responses and sensitivity of N, P and mobile carbohydrates of dominant species to increased water, N and P availability in semi-arid grasslands in northern China. J. Plant Ecol. 2017, 10, 486–496. [Google Scholar] [CrossRef]
- Peng, Z.T.; Chen, M.; Huang, Z.; Zou, H.; Qin, X.; Yu, Y.; Bao, Y.; Zeng, S.; Mo, Q. Non-Structural carbohydrates regulated by nitrogen and phosphorus fertilization varied with organs and fertilizer levels in Moringa oleifera seedlings. J. Plant Growth Regul. 2021, 40, 1777–1786. [Google Scholar] [CrossRef]
- Feng, W.; Chen, S.; Shan, C.D.; Liu, J.M.; Huang, X.S.; Fu, L.S.; Kong, H.P.; Liu, G.A.; Yao, Z.Y. Growth, nutritional status, and nonstructural carbohydrates of Armand pine (Pinus armandii) seedlings in response to fertilization regimes and levels. J. For. Res. 2023, 28, 1341–6979. [Google Scholar] [CrossRef]


| Fertilization Times | N1 (mg∙Plant−1) | N2 (mg∙Plant−1) | N3 (mg∙Plant−1) | P (mg∙Plant−1) |
|---|---|---|---|---|
| 1 | 1.62 | 1.83 | 1.95 | 0.24 |
| 2 | 2.69 | 3.19 | 3.51 | 0.49 |
| 3 | 4.48 | 5.57 | 6.31 | 1.02 |
| 4 | 7.44 | 9.73 | 11.35 | 2.11 |
| 5 | 12.37 | 16.99 | 20.40 | 4.37 |
| 6 | 20.55 | 29.67 | 36.66 | 9.07 |
| 7 | 34.15 | 51.81 | 65.91 | 18.81 |
| 8 | 56.75 | 90.47 | 118.46 | 39.01 |
| 9 | 94.30 | 157.97 | 212.94 | 80.90 |
| 10 | 156.71 | 275.83 | 382.76 | 167.79 |
| 11 | 260.42 | 481.62 | 688.01 | 348.00 |
| 12 | 432.77 | 840.95 | 1236.70 | 721.76 |
| 13 | 719.17 | 1468.39 | 2222.97 | 1496.93 |
| 14 | 1195.12 | 2563.95 | 3995.78 | 3104.64 |
| Total | 2998.54 | 5997.98 | 9003.72 | 5995.14 |
| Treatment | Seedling Height (cm) | ||||
|---|---|---|---|---|---|
| 6.29 | 7.29 | 8.29 | 9.29 | 11.29 | |
| CK | 12.94 ± 2.52 a | 15.21 ± 3.30 a | 29.47 ± 8.74 b | 34.77 ± 8.32 ab | 23.37 ± 3.40 d |
| N1 | 12.94 ± 2.52 a | 18.17 ± 3.93 a | 33.46 ± 8.85 ab | 32.98 ± 11.10 b | 32.12 ± 3.59 c |
| N2 | 12.94 ± 2.52 a | 16.24 ± 3.94 a | 32.78 ± 5.54 ab | 42.42 ± 6.19 a | 39.90 ± 5.32 b |
| N3 | 12.94 ± 2.52 a | 18.14 ± 4.11 a | 37.64 ± 5.27 a | 39.74 ± 9.70 ab | 43.57 ± 5.36 ab |
| P | 12.94 ± 2.52 a | 18.92 ± 5.10 a | 29.3 ± 6.80 b | 36.18 ± 9.51 ab | 30.87 ± 4.70 c |
| N1P | 12.94 ± 2.52 a | 19.29 ± 6.16 a | 31.19 ± 7.29 ab | 31.92 ± 8.03 b | 32.49 ± 3.45 c |
| N2P | 12.94 ± 2.52 a | 16.03 ± 3.64 a | 30.82 ± 6.25 ab | 34.58 ± 8.73 ab | 40.05 ± 2.45 b |
| N3P | 12.94 ± 2.52 a | 19.91 ± 5.68 a | 34.7 ± 7.45 a | 37.4 ± 9.76 ab | 47.43 ± 6.78 a |
| Treatment | Ground Diameter (mm) | ||||
|---|---|---|---|---|---|
| 6.29 | 7.29 | 8.29 | 9.29 | 11.29 | |
| CK | 1.85 ± 0.21 a | 2.64 ± 0.52 a | 2.81 ± 0.54 d | 3.58 ± 0.46 a | 3.43 ± 0.56 c |
| N1 | 1.85 ± 0.21 a | 2.85 ± 0.51 a | 3.17 ± 0.42 bcd | 3.82 ± 0.56 a | 4.23 ± 0.96 b |
| N2 | 1.85 ± 0.21 a | 2.66 ± 0.35 a | 3.24 ± 0.34 bcd | 4.19 ± 0.61 a | 4.74 ± 0.49 b |
| N3 | 1.85 ± 0.21 a | 2.80 ± 0.50 a | 3.65 ± 0.40 ab | 4.17 ± 0.30 a | 4.72 ± 0.79 b |
| P | 1.85 ± 0.21 a | 2.97 ± 0.40 a | 3.23 ± 0.40 bcd | 3.83 ± 0.84 a | 4.48 ± 0.88 b |
| N1P | 1.85 ± 0.21 a | 2.74 ± 0.97 a | 3.13 ± 0.86 cd | 3.82 ± 0.64 a | 4.45 ± 0.99 b |
| N2P | 1.85 ± 0.21 a | 3.23 ± 0.44 a | 3.37 ± 0.44 abc | 3.73 ± 0.47 a | 4.57 ± 0.49 b |
| N3P | 1.85 ± 0.21 a | 3.18 ± 0.56 a | 3.77 ± 0.47 a | 4.34 ± 0.34 a | 5.27 ± 0.82 a |
| Treatment | Root Length (cm) | Root Surface Area (cm2) | Root Volume (cm3) | Average Diameter (mm) |
|---|---|---|---|---|
| CK | 169.34 ± 69.70 cd | 49.53 ± 18.98 d | 1.57 ± 0.15 c | 1.39 ± 0.47 b |
| N1 | 133.29 ± 9.42 d | 63.72 ± 5.39 cd | 2.51 ± 0.40 bc | 1.69 ± 0.26 ab |
| N2 | 271.38 ± 28.84 ab | 100.30 ± 52.37 bc | 3.49 ± 2.60 bc | 1.30 ± 0.30 b |
| N3 | 306.19 ± 53.63 ab | 92.19 ± 16.69 bc | 2.30 ± 0.46 c | 1.16 ± 0.25 b |
| P | 341.57 ± 49.72 a | 180.68 ± 17.42 a | 8.29 ± 1.64 a | 2.36 ± 0.27 a |
| N1P | 257.41 ± 39.18 abc | 97.24 ± 6.07 bc | 3.18 ± 1.40 bc | 1.34 ± 0.68 b |
| N2P | 248.51 ± 77.58 abc | 124.22 ± 19.67 b | 5.05 ± 0.86 b | 1.64 ± 0.28 b |
| N3P | 231.76 ± 41.94 bc | 99.79 ± 14.93 bc | 3.57 ± 1.35 bc | 1.41 ± 0.38 b |
Disclaimer/Publisher’s Note: The statements, opinions and data contained in all publications are solely those of the individual author(s) and contributor(s) and not of MDPI and/or the editor(s). MDPI and/or the editor(s) disclaim responsibility for any injury to people or property resulting from any ideas, methods, instructions or products referred to in the content. |
© 2024 by the authors. Licensee MDPI, Basel, Switzerland. This article is an open access article distributed under the terms and conditions of the Creative Commons Attribution (CC BY) license (https://creativecommons.org/licenses/by/4.0/).
Share and Cite
Mao, X.; Zhang, G.; Liu, Z.; Huang, F.; Yu, F. Combined Application of Nitrogen and Phosphorus Promotes the Growth and Nutrient Accumulations of Cinnamomum camphora Container Seedlings. Agriculture 2024, 14, 280. https://doi.org/10.3390/agriculture14020280
Mao X, Zhang G, Liu Z, Huang F, Yu F. Combined Application of Nitrogen and Phosphorus Promotes the Growth and Nutrient Accumulations of Cinnamomum camphora Container Seedlings. Agriculture. 2024; 14(2):280. https://doi.org/10.3390/agriculture14020280
Chicago/Turabian StyleMao, Xue, Guangtao Zhang, Zemao Liu, Fenglong Huang, and Fangyuan Yu. 2024. "Combined Application of Nitrogen and Phosphorus Promotes the Growth and Nutrient Accumulations of Cinnamomum camphora Container Seedlings" Agriculture 14, no. 2: 280. https://doi.org/10.3390/agriculture14020280
APA StyleMao, X., Zhang, G., Liu, Z., Huang, F., & Yu, F. (2024). Combined Application of Nitrogen and Phosphorus Promotes the Growth and Nutrient Accumulations of Cinnamomum camphora Container Seedlings. Agriculture, 14(2), 280. https://doi.org/10.3390/agriculture14020280

