Effects of Mixtures Containing Physcion and Several Fungicides on the Yield of Wheat by Seed Coating and Its Potential Mechanisms
Abstract
1. Introduction
2. Materials and Methods
2.1. Seeds, Plant Pathogens, and Fungicides
2.2. Greenhouse Experiment
2.3. Field Experimental Design
2.4. Survey of Seedling Emergence Rate and Tiller Number
2.5. Disease Investigation
2.6. Yield
2.7. Lipid Peroxidation
2.8. Activities of Antioxidant Enzymes
2.9. Photosynthetic Pigment Content
2.10. Data Analysis
3. Results
3.1. Coating with Physcion Increased the Fresh Weight and Plant Height of Wheat Seedling and Decreased the Disease Index of Powdery Mildew in the Greenhouse Experiment
3.2. Coating with Physcion or Its Mixtures Increased the Emergence Rate of Wheat Seedlings and Tiller Number in the Field Trial
3.3. Coating with Physcion or Its Mixtures Decreased the Disease Index of Powdery Mildew in the Field Trial
3.4. Coating with Physcion or Its Mixtures Increased the Yield of Wheat
3.5. Coating with Physcion or Its Mixtures Reduced the MDA Content
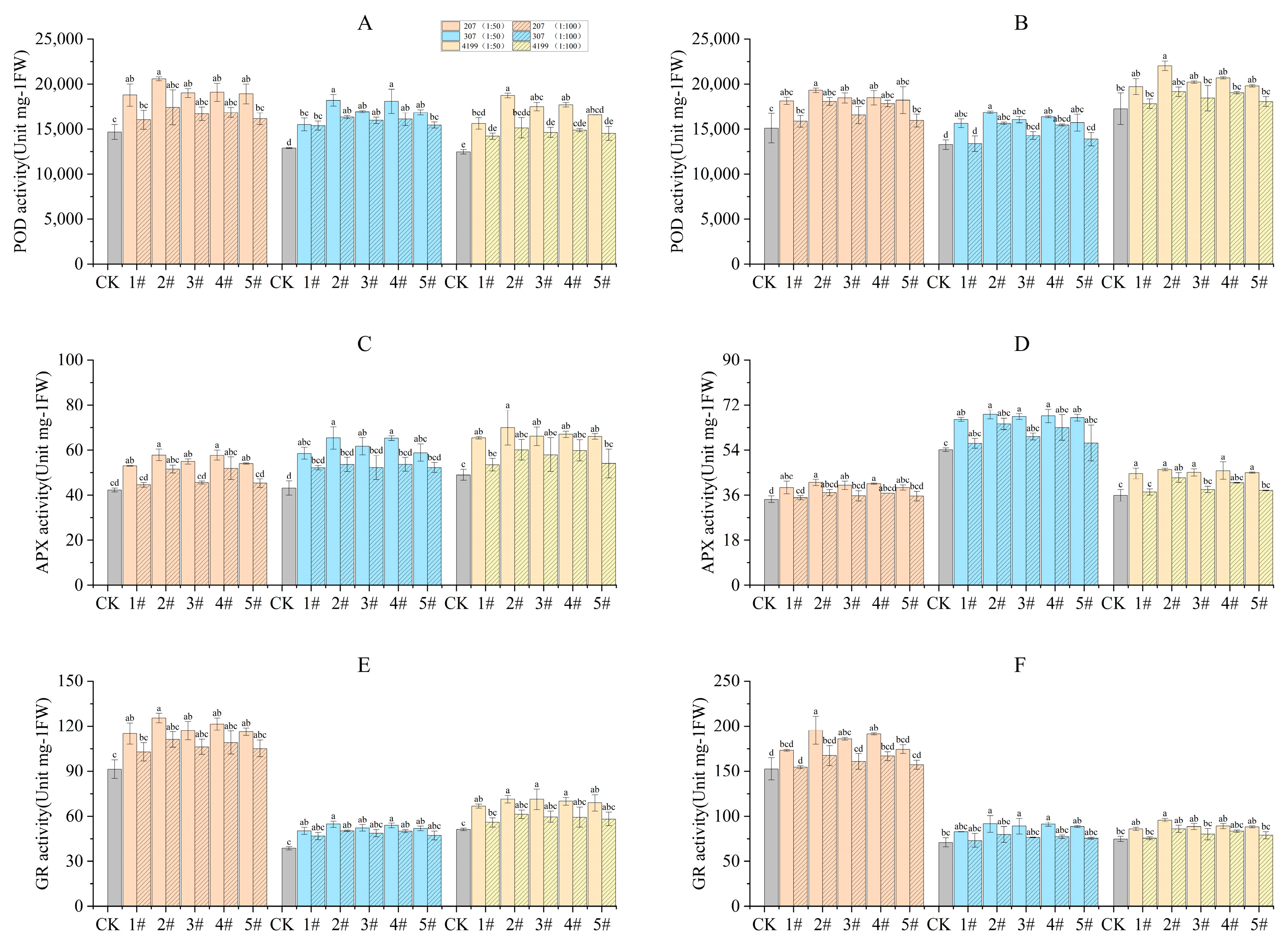
3.6. Coating with Physcion or Its Mixtures Enhanced Antioxidant Enzyme Activity
3.7. Coating with Physcion or Its Mixture Improved Chlorophyll Content
4. Discussion
5. Conclusions
Supplementary Materials
Author Contributions
Funding
Data Availability Statement
Conflicts of Interest
References
- Liu, H.; Xiong, W.; Pequeño, D.N.L.; Hernández-Ochoa, I.M.; Krupnik, T.J.; Burgueño, J.; Xu, Y. Exploring the uncertainty in projected wheat phenology, growth and yield under climate change in China. Agric. Forest Meteorol. 2022, 326, 109187. [Google Scholar] [CrossRef]
- Abhinandan, K.; Skori, L.; Stanic, M.; Hickerson, N.M.; Jamshed, M.; Samuel, M.A. Abiotic stress signaling in wheat–an inclusive overview of hormonal interactions during abiotic stress responses in wheat. Front. Plant Sci. 2018, 9, 734. [Google Scholar] [CrossRef] [PubMed]
- Todorovska, E.; Christov, N.; Slavov, S.; Christova, P.; Vassilev, D. Biotic stress resistance in wheat—Breeding and genomic selection implications. Biotekhnol. Biotekh. 2009, 23, 1417–1426. [Google Scholar] [CrossRef]
- Zhang, Z.; Zhang, X.; Hu, Z.; Wang, S.; Zhang, J.; Wang, X.; Wang, Q.; Zhang, B. Lack of K-dependent oxidative stress in cotton roots following coronatine-induced ROS accumulation. PLoS ONE 2015, 10, e0126476. [Google Scholar] [CrossRef]
- Sharma, P.; Jha, A.B.; Dubey, R.S.; Pessarakli, M. Reactive oxygen species, oxidative damage, and antioxidative defense mechanism in plants under stressful conditions. J. Bot. 2012, 2012, 217037. [Google Scholar] [CrossRef]
- Liu, R.; Li, J.; Zhang, L.; Feng, T.; Zhang, Z.; Zhang, B. Fungicide difenoconazole induced biochemical and developmental toxicity in wheat (Triticum aestivum L.). Plants 2021, 10, 2304. [Google Scholar] [CrossRef]
- Yang, X.; Yang, L.; Wang, S.; Yu, D.; Ni, H. Synergistic interaction of physcion and chrysophanol on plant powdery mildew. Pestic. Sci. 2007, 63, 511–515. [Google Scholar] [CrossRef] [PubMed]
- Wei, J.; Yuan, S.; Zhou, Y.; Liu, Y. Study on the photolysis characteristics of botanic pesticide physcion. Mod. Pestic. 2020, 19, 35–38. [Google Scholar]
- Wang, N.; Cai, M.; Wang, X.; Xie, Y.; Ni, H. Inhibitory action of biofungicide physcion on initial and secondary infection of Magnaporthe oryzae. J. Phytopathol. 2016, 164, 641–649. [Google Scholar] [CrossRef]
- Hildebrandt, U.; Marsell, A.; Riederer, M. Direct effects of physcion, chrysophanol, emodin, and pachybasin on germination and appressorium formation of the barley (Hordeum vulgare L.) powdery mildew fungus Blumeria graminis f. sp. hordei (DC.) speer. J. Agric. Food Chem. 2018, 66, 3393–3401. [Google Scholar] [CrossRef]
- Zhang, J.; Liu, Y.; Zhao, C.; Cao, L.; Huang, Q.; Wu, Y. Enhanced germicidal efficacy by co-delivery of Validamycin and Hexaconazole with Methoxy Poly (ethylene glycol)-Poly (lactideco-glycolide) nanoparticles. J. Nanosci. Nanotechnol. 2016, 16, 152–159. [Google Scholar] [CrossRef]
- Li, J.; Duan, Y.; Bian, C.; Pan, X.; Yao, C.; Wang, J.; Zhou, M. Effects of validamycin in controlling Fusarium head blight caused by Fusarium graminearum: Inhibition of DON biosynthesis and induction of host resistance. Pestic. Biochem. Physiol. 2019, 153, 152–160. [Google Scholar] [CrossRef] [PubMed]
- Yao, F.; Kang, Q.; Lin, S.; Zhu, C.; Yu, D.; Deng, Z. lsolation and Structural ldentification of a Tetraene Macrolide Produced by Streptomyces hygrospinosus var. Beijingensis. J. Shanghai Jiaotong Univ. 2011, 45, 88–91. [Google Scholar]
- Yang, X.; Yang, L.; Yu, D.; Ni, H. Effects of physcion, a natural anthraquinone derivative, on the infection process of Blumeria graminis on wheat. Can. J. Plant Pathol. 2008, 30, 391–396. [Google Scholar] [CrossRef]
- Ren, M.; Wang, F.; Zhang, H.; Talib, K.M.; Mujtaba, K.G.; Jiang, X.; Zhou, C.; Kang, X. Effects of reducing base fertilizer and herbicide on yield and nitrogen use efficiency of winter. Guizhou Agirc. Sci. 2021, 49, 56–64. [Google Scholar]
- Xiaojuan, L.; Honggang, W.; Hanbing, L.; Lingyun, Z.; Nianjun, T.; Qingqing, L.; Jian, W.; Tingyun, K.; Zhensheng, L.; Bin, L.; et al. Awns play a dominant role in carbohydrate production during the grain-filling stages in wheat (Triticum aestivum). Physiol Plantarum. 2006, 127, 701–709. [Google Scholar]
- Abdullahil Baque, M.; Lee, E.J.; Paek, K.Y. Medium salt strength induced changes in growth, physiology and secondary metabolite content in adventitious roots of Morinda citrifolia: The role of antioxidant enzymes and phenylalanine ammonia lyase. Plant Cell Rep. 2010, 29, 685–694. [Google Scholar] [CrossRef]
- Pec, P.; Frebort, I. Competition of homologous substrates, putrescine and cadaverine, in the reaction catalyzed by pea diamine oxidase. Biochem. Int. 1991, 24, 633–640. [Google Scholar]
- Hasanuzzaman, M.; Fujita, M. Exogenous sodium nitroprusside alleviates arsenic-induced oxidative stress in wheat (Triticum aestivum L.) seedlings by enhancing antioxidant defense and glyoxalase system. Ecotoxicology 2013, 22, 584–596. [Google Scholar] [CrossRef]
- Nakano, Y.; Asada, K. Hydrogen peroxide is scavenged by ascorbate-specific peroxidase in spinach chloroplasts. Plant Cell Physiol. 1981, 22, 867–880. [Google Scholar]
- Pongprayoon, W.; Roytrakul, S.; Pichayangkura, R.; Chadchawan, S. The role of hydrogen peroxide in chitosan-induced resistance to osmotic stress in rice (Oryza sativa L.). Plant Growth Regul. 2013, 70, 159–173. [Google Scholar] [CrossRef]
- Xiang, L.; Xue, M.; Yang, L.; Gong, S.; Yu, D. Bionic fungicide physcion controls gray mold in tomato: Possible modes of action. J. Gen. Plant Pathol. 2019, 85, 57–65. [Google Scholar] [CrossRef]
- Li, J.; Han, A.; Zhang, L.; Meng, Y.; Xu, L.; Ma, F.; Liu, R. Chitosan oligosaccharide alleviates the growth inhibition caused by physcion and synergistically enhances resilience in maize seedlings. Sci. Rep. 2022, 12, 162. [Google Scholar] [CrossRef] [PubMed]
- Li, J.; Tian, Z.; Li, J.; Askari, K.; Han, A.; Ma, J.; Liu, R. Physcion and chitosan-Oligosaccharide (COS) synergistically improve the yield by enhancing photosynthetic efficiency and resilience in wheat (Triticum aestivum L.). Plant Physiol. Biochem. 2023, 203, 107993. [Google Scholar] [CrossRef] [PubMed]
- Choi, G.J.; Lee, S.W.; Jang, K.S.; Kim, J.S.; Cho, K.Y.; Kim, J.C. Effects of chrysophanol, parietin, and nepodin of Rumex crispus on barley and cucumber powdery mildews. Crop Prot. 2004, 23, 1215–1221. [Google Scholar] [CrossRef]
- Yang, L.; Gong, S.; Yang, X.; Yu, D. Activities of botanical fungicide physcion on several plants pathogenic fungi. Agrochemicals 2010, 49, 133–135. [Google Scholar]
- Zhang, C.; Li, J.; Su, Y.; Wu, X. Association of Physcion and Chitosan Can Efficiently Control Powdery Mildew in Rosa roxburghii. Antibiotics 2022, 11, 1661. [Google Scholar] [CrossRef] [PubMed]
- Zhao, X.; Xia, L. Field control efficacy of 0.05% physcion SC against powdery mildew on four crops. Pestic. Sci. Manag. 2021, 42, 44–49. [Google Scholar]
- Ou, X.; Li, X.; Qiao, H.; Ou, Y.; Wang, Z.; Zhang, S.; Xu, P. Breeding of a new wheat variety bainong 307 with dwarf, multi-resistance and high yield. Newsl. Agric. Sci. Technol. 2021, 08, 291–292. [Google Scholar]
- Paravar, A.; Piri, R.; Balouchi, H.; Ma, Y. Microbial seed coating: An attractive tool for sustainable agriculture. Biotechnol. Rep. 2023, 37, e00781. [Google Scholar] [CrossRef]
- Mnasri, N.; Chennaoui, C.; Gargouri, S.; Mhamdi, R.; Hessini, K.; Elkahoui, S.; Djébali, N. Efficacy of some rhizospheric and endophytic bacteria in vitro and as seed coating for the control of Fusarium culmorum infecting durum wheat in Tunisia. Eur. J. Plant Pathol. 2017, 147, 501–515. [Google Scholar] [CrossRef]
- Li, Y.; Roychowdhury, R.; Govta, L.; Jaiwar, S.; Wei, Z.Z.; Shams, I.; Fahima, T. Intracellular Reactive Oxygen Species-Aided Localized Cell Death Contributing to Immune Responses Against Wheat Powdery Mildew Pathogen. Phytopathology 2023, 113, 884–892. [Google Scholar] [CrossRef]
- Ma, X.; Yang, X.; Zeng, F.; Yang, L.; Yu, D.; Ni, H. Physcion, a natural anthraquinone derivative, enhances the gene expression of leaf-specific thionin of barley against Blumeria graminis. Pest Manag. Sci. 2010, 66, 718–724. [Google Scholar] [CrossRef]
- Liu, T.; Li, T.; Zhang, L.; Li, H.; Liu, S.; Yang, S.; An, Q.; Pan, C.; Zou, N. Exogenous salicylic acid alleviates the accumulation of pesticides and mitigates pesticide-induced oxidative stress in cucumber plants (Cucumis sativus L.). Ecotoxicol. Environ. Saf. 2021, 208, 111654. [Google Scholar] [CrossRef] [PubMed]
- Hameed, A.; Iqbal, N. Chemo-priming with mannose, mannitol and H2O2 mitigate drought stress in wheat. Cereal Res. Commun. 2014, 42, 450–462. [Google Scholar] [CrossRef]
- Liu, J.; Friebe, V.M.; Frese, R.N.; Jones, M.R. Polychromatic solar energy conversion in pigment-protein chimeras that unite the two kingdoms of (bacterio) chlorophyll-based photosynthesis. Nat. Commun. 2020, 11, 1542. [Google Scholar] [CrossRef] [PubMed]
- An, Q.; Li, C.; Li, H.; Zheng, Q.; Li, B.; Li, Z. An analysis of the genetic relation between photosynthesis and yield-related traits in Wheat. Agriculture 2022, 12, 560. [Google Scholar] [CrossRef]
- Yang, M.J.; Huang, K.Y.; Han, Q.D. Research progresses on wheat powdery mildew and its resistance. Mol. Plant Breed 2016, 14, 1244–1254. [Google Scholar]
- Razi, K.; Muneer, S. Drought stress-induced physiological mechanisms, signaling pathways and molecular response of chloroplasts in common vegetable crops. Crit. Rev. Biotechnol. 2021, 41, 669–691. [Google Scholar] [CrossRef] [PubMed]
- Sharma, A.; Kumar, V.; Thukral, A.K.; Bhardwaj, R. Responses of plants to pesticide toxicity: An overview. Planta Daninha 2019, 37, e019184291. [Google Scholar] [CrossRef]



| Concentration | Fresh Weight (g) | Stem Length (cm) | Root Length (cm) |
|---|---|---|---|
| CK | 0.15 ± 0.01 c | 12.39 ± 0.77 bc | 13.52 ± 0.17 a |
| 1:25 | 0.18 ± 0.02 bc | 11.87 ± 0.01 c | 11.30 ± 0.22 b |
| 1:50 | 0.26 ± 0.01 a | 14.78 ± 0.18 a | 11.37 ± 0.84 b |
| 1:100 | 0.21 ± 0.01 b | 13.28 ± 0.39 b | 12.06 ± 0.38 b |
| 1:200 | 0.21 ± 0.02 b | 12.89 ± 0.23 bc | 12.44 ± 0.14 ab |
| Concentration | Disease Index | Control Effect (%) |
|---|---|---|
| CK | 77.78 ± 2.11 a | - a |
| 1:25 | 18.00 ± 0.42 c | 76.86 ± 0.53 b |
| 1:50 | 5.11 ± 1.03 d | 93.43 ± 1.32 a |
| 1:100 | 15.11 ± 2.18 c | 80.57 ± 2.81 b |
| 1:200 | 36.22 ± 0.57 b | 53.43 ± 0.73 c |
| Emergence Rate (%) | Tiller Number | ||||||
|---|---|---|---|---|---|---|---|
| Treatment | Concentration | 207 | 307 | 4199 | 207 | 307 | 4199 |
| CK | - a | 64.00 ± 3.22 b | 62.22 ± 5.80 c | 64.00 ± 4.10 b | 5.50 ± 0.32 f | 5.44 ± 0.41 b | 6.15 ± 0.41 d |
| 1# | 1:50 | 81.00 ± 3.92 a | 88.33 ± 3.77 ab | 84.86 ± 7.47 a | 8.15 ± 0.26 abcd | 7.80 ± 0.34 a | 7.75 ± 0.54 abc |
| 1:100 | 72.50 ± 5.59 ab | 80.00 ± 6.54 abc | 77.71 ± 9.87 ab | 6.95 ± 0.57 de | 7.20 ± 0.69 a | 7.00 ± 0.40 cd | |
| 2# | 1:50 | 89.50 ± 8.27 a | 92.78 ± 6.12 a | 91.14 ± 7.48 a | 8.90 ± 0.39 a | 8.15 ± 0.48 a | 9.10 ± 0.29 a |
| 1:100 | 80.50 ± 9.73 a | 87.78 ± 5.31 ab | 80.57 ± 3.05 ab | 7.65 ± 0.57 bcd | 7.56 ± 0.26 a | 7.56 ± 0.51 bcd | |
| 3# | 1:50 | 87.50 ± 8.48 a | 88.89 ± 10.94 ab | 86.86 ± 5.31 a | 8.65 ± 0.27 ab | 7.95 ± 0.05 a | 8.75 ± 0.34 ab |
| 1:100 | 78.50 ± 3.32 a | 82.22 ± 3.79 abc | 79.43 ± 10.63 ab | 7.25 ± 0.32 cd | 7.45 ± 0.28 a | 7.25 ± 0.51 cd | |
| 4# | 1:50 | 88.00 ± 5.15 a | 91.11 ± 10.63 ab | 90.86 ± 7.69 a | 8.65 ± 0.27 ab | 8.00 ± 0.78 a | 8.83 ± 0.17 ab |
| 1:100 | 79.00 ± 8.68 a | 87.22 ± 9.73 ab | 79.43 ± 5.06 ab | 7.35 ± 0.13 cd | 7.55 ± 0.69 a | 7.50 ± 0.18 bcd | |
| 5# | 1:50 | 84.50 ± 5.88 a | 88.89 ± 10.13 ab | 86.29 ± 8.15 a | 8.20 ± 0.20 abc | 7.90 ± 0.19 a | 7.80 ± 0.29 abc |
| 1:100 | 76.50 ± 4.97 a | 82.22 ± 8.90 abc | 78.29 ± 4.1 ab | 7.25 ± 0.32 cd | 7.35 ± 0.47 a | 7.06 ± 0.26 cd | |
| Treatment | Concentration | Disease Index (207) | Control Effect (%) | Disease Index (307) | Control Effect (%) | Disease Index (4199) | Control Effect (%) |
|---|---|---|---|---|---|---|---|
| CK | - a | 4.18 ± 0.09 a | - a | 3.38 ± 0.16 a | - a | 4.47 ± 0.37 a | - a |
| 1# | 1:50 | 2.21 ± 0.1 bcd | 61.89 ± 3.24 bcd | 1.58 ± 0.15 de | 53.29 ± 4.34 bc | 2.01 ± 0.1 cd | 70.83 ± 2.97 c |
| 1:100 | 2.43 ± 0.03 b | 54.90 ± 0.86 d | 2.20 ± 0.02 b | 34.87 ± 0.66 f | 2.57 ± 0.08 b | 54.81 ± 2.40 d | |
| 2# | 1:50 | 1.61 ± 0.08 e | 80.77 ± 2.47 a | 1.07 ± 0.12 f | 68.42 ± 3.69 a | 1.68 ± 0.03 d | 81.45 ± 0.79 a |
| 1:100 | 2.01 ± 0.09 d | 68.18 ± 2.84 b | 1.64 ± 0.19 cde | 51.32 ± 5.54 bcd | 2.19 ± 0.07 bc | 65.71 ± 2.13 c | |
| 3# | 1:50 | 2.08 ± 0.11 d | 66.08 ± 3.39 b | 1.51 ± 0.22 e | 55.26 ± 6.46 b | 1.92 ± 0.06 cd | 73.40 ± 1.87 bc |
| 1:100 | 2.37 ± 0.12 bc | 56.99 ± 3.89 cd | 1.93 ± 0.1 bcd | 42.76 ± 3.05 cdef | 2.48 ± 0.11 b | 57.37 ± 3.27 d | |
| 4# | 1:50 | 1.66 ± 0.08 e | 79.37 ± 2.62 a | 1.12 ± 0.06 ef | 63.89 ± 1.92 a | 1.66 ± 0.08 d | 81.09 ± 2.17 a |
| 1:100 | 2.21 ± 0.1 bcd | 64.69 ± 3.6 bc | 1.98 ± 0.10 bcd | 41.45 ± 2.83 def | 2.17 ± 0.05 bc | 66.35 ± 1.43 c | |
| 5# | 1:50 | 2.08 ± 0.04 d | 66.08 ± 1.31 b | 1.29 ± 0.06 ef | 61.84 ± 1.68 ab | 1.92 ± 0.08 cd | 73.40 ± 2.36 bc |
| 1:100 | 2.12 ± 0.11 cd | 64.69 ± 3.60 bc | 1.98 ± 0.10 bcd | 41.45 ± 2.83 def | 2.17 ± 0.05 bc | 66.35 ± 1.43 c |
| Grain Number per Spike | 1000-Grain Weight (g) | Spike Number | Theoretical Yield (kg hm−2) | ||||||||||
|---|---|---|---|---|---|---|---|---|---|---|---|---|---|
| T | C | 207 | 307 | 4199 | 207 | 307 | 4199 | 207 | 307 | 4199 | 207 | 307 | 4199 |
| CK | - a | 47.22 ± 0.28 d | 50.13 ± 0.51 f | 44.71 ± 0.81 e | 50.71 ± 0.34 e | 47.79 ± 0.47 e | 45.22 ± 0.75 e | 397.98 ± 6.20 e | 397.53 ± 4.43 d | 490.10 ± 6.02 e | 8420.88 ± 171.62 e | 8419.51 ± 197.72 e | 9009.83 ± 193.54 e |
| 1# | 1:50 | 49.72 ± 0.6 abc | 52.54 ± 0.49 bcde | 49.14 ± 0.51 abcd | 53.38 ± 0.32 bcd | 50.82 ± 0.10 abc | 49.2 ± 0.33 abc | 425.94 ± 5.91 bc | 417.22 ± 4.12 abc | 522.22 ± 5.82 bc | 10,043.38 ± 512.09 abc | 9425 ± 168.25 bc | 10,714.14 ± 246.77 bc |
| 1:100 | 47.65 ± 0.99 cd | 51.16 ± 0.26 def | 46.92 ± 0.62 cde | 52.62 ± 0.20 d | 50.2 ± 0.36 cd | 48.02 ± 0.30 cd | 406.04 ± 10.64 de | 400.19 ± 3.68 d | 500.63 ± 6.78 de | 8643.26 ± 194.5 de | 9009.85 ± 53.05 cd | 9468.25 ± 394.92 de | |
| 2# | 1:50 | 51.82 ± 0.22 a | 56.16 ± 0.33 a | 51.42 ± 0.74 a | 54.48 ± 0.16 a | 51.44 ± 0.30 a | 49.91 ± 0.12 a | 444.52 ± 5.06 a | 432.87 ± 5.42 a | 544.10 ± 8.23 a | 10,533.64 ± 181.5 a | 10,207.04 ± 114.82 a | 11,863.27 ± 189.56 a |
| 1:100 | 48.74 ± 0.7 bcd | 52.38 ± 0.57 bcde | 48.20 ± 1.1 bcd | 53.26 ± 0.33 bcd | 50.62 ± 0.21 abc | 48.31 ± 0.58 bcd | 425.28 ± 5.49 bc | 415.02 ± 3.29 bc | 518.13 ± 6.89 cd | 9401.96 ± 160.29 bcd | 9354.34 ± 201.26 bc | 10,139.37 ± 100.39 cd | |
| 3# | 1:50 | 51.19 ± 0.97 a | 53.91 ± 1.05 bc | 49.69 ± 0.84 ab | 53.64 ± 0.19 bc | 51.16 ± 0.38 ab | 49.44 ± 0.12 ab | 432.38 ± 6.86 abc | 423.68 ± 5.20 ab | 538.38 ± 4.17 ab | 10,158.13 ± 199.13 ab | 9578.28 ± 176.4 b | 11,295.65 ± 541.47 ab |
| 1:100 | 48.51 ± 0.77 bcd | 52.18 ± 0.64 cdef | 47.84 ± 0.71 bcd | 53.12 ± 0.18 cd | 50.58 ± 0.19 bc | 48.18 ± 0.41 bcd | 415.54 ± 5.13 cde | 410.49 ± 8.59 bcd | 510.80 ± 5.13 cd | 8899.67 ± 236.43 de | 9157.19 ± 192.19 bcd | 9976.92 ± 243.91 cd | |
| 4# | 1:50 | 51.22 ± 0.83 a | 54.40 ± 0.45 ab | 50.06 ± 0.90 ab | 54.05 ± 0.18 ab | 51.27 ± 0.12 ab | 49.49 ± 0.17 ab | 435.50 ± 2.16 ab | 426.64 ± 4.72 ab | 541.73 ± 6.52 a | 10,186.52 ± 487.81 ab | 10,035.73 ± 93.58 a | 11,395.97 ± 256.74 ab |
| 1:100 | 48.56 ± 0.16 bcd | 52.29 ± 0.76 bcde | 48.04 ± 0.33 bcd | 53.17 ± 0.22 cd | 50.61 ± 0.14 abc | 48.28 ± 0.42 bcd | 421.30 ± 4.58 bcd | 412.35 ± 4.47 bcd | 517.02 ± 4.15 cd | 9252.69 ± 209.82 cde | 9306.82 ± 179.15 bc | 10,032.77 ± 178.22 cd | |
| 5# | 1:50 | 49.88 ± 0.52 ab | 53.05 ± 0.68 bcd | 49.41 ± 0.34 abc | 53.4 ± 0.29 bcd | 51.05 ± 0.16 ab | 49.25 ± 0.45 abc | 431.74 ± 4.29 abc | 420.39 ± 5.54 ab | 537.14 ± 5.57 ab | 10,114.96 ± 170.41 ab | 9548.07 ± 159.09 b | 10,955.93 ± 224.35 b |
| 1:100 | 47.67 ± 0.83 cd | 51.90 ± 0.97 cdef | 46.92 ± 0.81 cde | 52.84 ± 0.24 cd | 50.56 ± 0.13 bc | 48.04 ± 0.44 cd | 414.50 ± 3.98 cde | 403.61 ± 6.53 cd | 504.45 ± 4.99 cde | 8742.22 ± 269.39 de | 9117.41 ± 70.91 bcd | 9615.66 ± 255.17 de | |
Disclaimer/Publisher’s Note: The statements, opinions and data contained in all publications are solely those of the individual author(s) and contributor(s) and not of MDPI and/or the editor(s). MDPI and/or the editor(s) disclaim responsibility for any injury to people or property resulting from any ideas, methods, instructions or products referred to in the content. |
© 2024 by the authors. Licensee MDPI, Basel, Switzerland. This article is an open access article distributed under the terms and conditions of the Creative Commons Attribution (CC BY) license (https://creativecommons.org/licenses/by/4.0/).
Share and Cite
Tian, Z.; Li, J.; Zhang, F.; Xu, L.; Zhou, F.; Zhou, L.; Wang, H.; Liu, R. Effects of Mixtures Containing Physcion and Several Fungicides on the Yield of Wheat by Seed Coating and Its Potential Mechanisms. Agriculture 2024, 14, 237. https://doi.org/10.3390/agriculture14020237
Tian Z, Li J, Zhang F, Xu L, Zhou F, Zhou L, Wang H, Liu R. Effects of Mixtures Containing Physcion and Several Fungicides on the Yield of Wheat by Seed Coating and Its Potential Mechanisms. Agriculture. 2024; 14(2):237. https://doi.org/10.3390/agriculture14020237
Chicago/Turabian StyleTian, Zhixiang, Jingchong Li, Fulong Zhang, Li Xu, Feng Zhou, Lin Zhou, Hongliang Wang, and Runqiang Liu. 2024. "Effects of Mixtures Containing Physcion and Several Fungicides on the Yield of Wheat by Seed Coating and Its Potential Mechanisms" Agriculture 14, no. 2: 237. https://doi.org/10.3390/agriculture14020237
APA StyleTian, Z., Li, J., Zhang, F., Xu, L., Zhou, F., Zhou, L., Wang, H., & Liu, R. (2024). Effects of Mixtures Containing Physcion and Several Fungicides on the Yield of Wheat by Seed Coating and Its Potential Mechanisms. Agriculture, 14(2), 237. https://doi.org/10.3390/agriculture14020237

