Distribution Characteristics of Carbon Density in Plant–Soil System of Temperate Steppe and Temperate Desert in the Longzhong Loess Plateau
Abstract
1. Introduction
2. Materials and Methods
2.1. Study Site Description
2.2. Experimental Design
2.3. Estimation of Carbon Density
- DHA is the aboveground carbon density of vegetation (g·m−2);
- BHAi is the biomass (kg·m−2) of the ith portion of the aboveground vegetation, where i = 1 and 2 denote the aboveground vegetation standing and living material and litter material, respectively;
- CHAi is the carbon content of aboveground part i of the vegetation (g·kg−1);
- DHB is the belowground carbon density of vegetation (g·m−2);
- BHBj is the belowground biomass of the jth layer of vegetation (kg·m−2);
- CHBj is the root carbon content in the jth layer of vegetation (g·kg−1);
- DH is the total carbon density of vegetation (g·m−2).
2.4. Statistical Analysis
3. Results
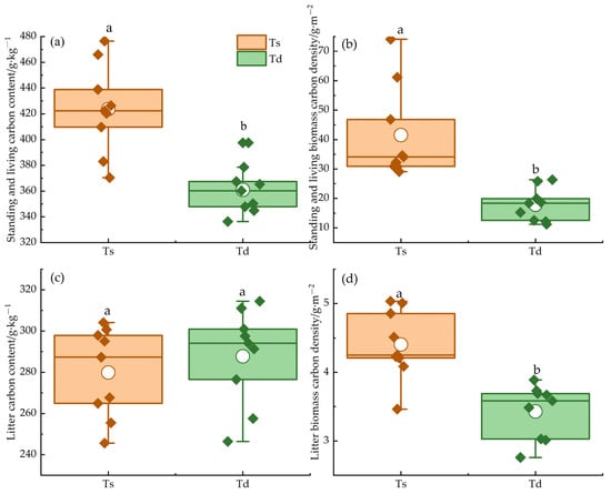
3.1. Analysis of Biomass Carbon Density of Vegetation in Temperate Steppe and Temperate Desert
3.2. Distribution of Soil Bulk Density and Carbon Content in Temperate Steppe and Temperate Desert
3.3. Distribution of Belowground Biomass and Soil Carbon Density in Temperate Steppe and Temperate Desert
3.4. Carbon Density and Its Allocation Pattern in Temperate Steppe and Temperate Desert Ecosystems
4. Discussion
4.1. Biomass Carbon Density of Vegetation in Temperate Steppe and Temperate Desert in the Longzhong Loess Plateau
4.2. Soil Carbon Density in Temperate Steppe and Temperate Desert in the Longzhong Loess Plateau
4.3. Carbon Density of Temperate Steppe and Temperate Desert Ecosystems in the Longzhong Loess Plateau
5. Conclusions
Author Contributions
Funding
Institutional Review Board Statement
Data Availability Statement
Acknowledgments
Conflicts of Interest
References
- Piao, S.L.; Fang, J.Y.; Ciais, P.; Peylin, P.; Huang, Y.; Sitch, S.; Wang, T. The carbon balance of terrestrial ecosystems in China. Nature 2009, 458, 1009–1013. [Google Scholar] [CrossRef] [PubMed]
- Ding, J.M.; Wang, W.Z.; Mi, W.B.; Hou, K.Y.; Zhang, X.W.; Zhao, Y.N.; Wen, Q. Spatial characteristics of soil organic carbon in grassland of Ningxia and its influencing factors. Acta Ecol. Sin. 2023, 43, 1913–1922. [Google Scholar] [CrossRef]
- Zhang, L.; Zhou, G.S.; Ji, Y.H.; Bai, Y.F. Spatiotemporal dynamic simulation of grassland carbon storage in China. Sci. China Earth Sci. 2016, 59, 1946–1958. [Google Scholar] [CrossRef]
- Scurlock, J.M.O.; Johnson, K.; Olson, R.J. Estimating net primary productivity from grassland biomass dynamics measurements. Glob. Change Biol. 2002, 8, 736–753. [Google Scholar] [CrossRef]
- Ma, A.N.; He, N.P.; Yu, G.R.; Wen, D.; Peng, S.L. Carbon storage in Chinese grassland ecosystems: Influence of different integrative methods. Sci. Rep. 2016, 6, 21378. [Google Scholar] [CrossRef]
- Bai, Y.F.; Chen, S.P. Carbon sequestration of Chinese grassland ecosystems: Stock, rate and potential. Chin. J. Plant Ecol. 2018, 42, 261–264. [Google Scholar] [CrossRef]
- Guan, H.L.; Fan, J.W.; Li, Y.Z.; Zhong, H.P. Estimation of carbon distribution and storage of natural grassland in Hainan Island. Ecol. Environ. Sci. 2019, 28, 1092–1099. [Google Scholar] [CrossRef]
- Tang, X.L.; Zhao, X.; Bai, Y.F.; Tang, Z.Y.; Wang, W.T.; Zhao, Y.C.; Wan, H.W.; Xie, Z.Q.; Shi, X.Z.; Wu, B.F. Carbon pools in China’s terrestrial ecosystems: New estimates based on an intensive field survey. Proc. Natl. Acad. Sci. USA 2018, 115, 4021–4026. [Google Scholar] [CrossRef]
- Ji, B.; Xie, Y.Z.; He, J.L.; Wang, Z.J.; Jiang, Q. Carbon sequestration characteristics of typical temperate natural grasslands in Ningxia, China. Chin. J. Appl. Ecol. 2020, 31, 3657–3664. [Google Scholar] [CrossRef]
- Grace, J. Presidential address: Understanding and managing the global carbon cycle. J. Ecol. 2004, 92, 189–202. [Google Scholar] [CrossRef]
- Kaiser, J. Panel estimates possible carbon ‘sinks’. Science 2000, 288, 942–943. [Google Scholar] [CrossRef]
- Tian, Z.; Wu, X.Q.; Xie, R.; Huang, Y. Comparison of soil organic carbon density of main grassland types in Inner Mongolia. Sci. Soil Water Conserv. 2014, 12, 8–13. [Google Scholar] [CrossRef]
- Yu, X.; Zhou, W.J.; Chen, Y.P.; Wang, Y.Q.; Cheng, P.; Hou, Y.Y.; Wang, Y.; Xiong, X.H.; Yang, L. Spatial variation of soil properties and carbon under different land use types on the Chinese Loess Plateau. Sci. Total Environ. 2020, 703, 134946. [Google Scholar] [CrossRef] [PubMed]
- Fang, X.; Xue, Z.J.; Li, B.C.; An, S.S. Soil organic carbon distribution in relation to land use and its storage in a small watershed of the Loess Plateau, China. Catena 2012, 88, 6–13. [Google Scholar] [CrossRef]
- Xu, Z.J.; Li, Z.C.; Liu, H.Y.; Zhang, X.D.; Hao, Q.; Cui, Y.; Yang, S.L.; Liu, M. Soil organic carbon in particle-size fractions under three grassland types in Inner Mongolia, China. J. Soils Sediments 2018, 18, 1896–1905. [Google Scholar] [CrossRef]
- Yang, L.C.; Li, C.B.; Ning, Y.; Nie, X.Q.; Xu, W.H.; Zhou, G.Y. Carbon density and its spatial distribution in the Potentilla fruticosa dominated alpine shrub in Qinghai, China. Chin. J. Plant Ecol. 2017, 41, 62–70. [Google Scholar] [CrossRef][Green Version]
- Deng, L.; Wang, K.B.; Zhu, G.Y.; Liu, Y.L.; Chen, L.; Shangguan, Z.P. Changes of soil carbon in five land use stages following 10 years of vegetation succession on the Loess Plateau, China. Catena 2018, 171, 185–192. [Google Scholar] [CrossRef]
- Dong, L.B.; Hai, X.Y.; Wang, X.Z.; Deng, L.; Li, B.B.; Liu, Y.L.; Li, J.W.; Li, M.Y.; Lv, W.W.; Shangguan, Z.P. Effects of plant community dynamics on ecosystem carbon stocks since returning farmlands to grasslands on the Loess Plateau. Acta Ecol. Sin. 2020, 40, 8559–8569. [Google Scholar] [CrossRef]
- Liu, S.N.; Wu, J.Q.; Li, G.; Yang, C.J.; Yuan, J.Y.; Xie, M.J. Seasonal freeze-thaw characteristics of soil carbon pools under different vegetation restoration types on the Longzhong Loess Plateau. Front. Ecol. Evol. 2022, 10, 1019627. [Google Scholar] [CrossRef]
- Li, Y.L.; Liu, X.N.; Zhang, D.G.; He, G.X.; Xu, H.G.; Ji, T.; Jiang, J.C. Vegetation characteristics and soil physicochemical properties of different grassland types of temperate steppe in Longzhong. Acta Agrestia Sin. 2023, 31, 3405–3414. [Google Scholar] [CrossRef]
- Ma, W.H.; Fang, J.Y.; Yang, Y.H.; Mohammat, A. Biomass carbon stocks and their changes in northern China’s grasslands during 1982–2006. Sci. China Life Sci. 2010, 53, 841–850. [Google Scholar] [CrossRef] [PubMed]
- Qi, Y.C.; Peng, Q.; Dong, Y.S.; Xiao, S.S.; Jia, J.Q.; Guo, S.F.; He, Y.L.; Yan, Z.Q.; Wang, L.Q. Responses of ecosystem carbon budget to increasing nitrogen deposition in differently degraded leymus chinensis steppes in Inner Mongolia, China. Environ. Sci. 2015, 36, 625–635. [Google Scholar] [CrossRef]
- James, J.; Gross, C.; Dwivedi, P.; Myers, T.; Santos, F.; Bernardi, R.; Faria, M.; Guerrini, R.; Harrison, R.; Butman, D. Land use change alters the radiocarbon age and composition of soil and water-soluble organic matter in the Brazilian Cerrado. Geoderma 2019, 345, 38–50. [Google Scholar] [CrossRef]
- Deng, L.; Han, Q.S.; Zhang, C.; Tang, Z.S.; Shangguan, Z.P. Above-ground and below-ground ecosystem biomass accumulation and carbon sequestration with Caragana korshinskii Kom plantation development. Land Degrad. Dev. 2017, 28, 906–917. [Google Scholar] [CrossRef]
- Xu, X.M.; Zhang, X.P.; He, L.; Guo, J.W.; Xue, F.; Zou, Y.D.; Yi, H.J.; He, J.; Wang, H.J. Carbon Sequestration characteristics of different restored vegetation types in Loess Hilly Region. Environ. Sci. 2022, 43, 5263–5273. [Google Scholar] [CrossRef]
- Zhang, Q.Y.; Jia, X.X.; Wei, X.R.; Shao, M.G.; Li, T.C.; Yu, Q. Total soil organic carbon increases but becomes more labile after afforestation in China’s Loess Plateau. For. Ecol. Manag. 2020, 461, 117911. [Google Scholar] [CrossRef]
- Deng, L.; Zhang, Z.N.; Shangguan, Z.P. Long-term fencing effects on plant diversity and soil properties in China. Soil Tillage Res. 2014, 137, 7–15. [Google Scholar] [CrossRef]
- Zhang, Y.; Gao, Q.Z.; Dong, S.K.; Liu, S.L.; Wang, X.X.; Su, X.K.; Li, Y.Y.; Tang, L.; Wu, X.Y.; Zhao, H.D. Effects of grazing and climate warming on plant diversity, productivity and living state in the alpine rangelands and cultivated grasslands of the Qinghai-Tibetan Plateau. Rangel. J. 2015, 37, 57–65. [Google Scholar] [CrossRef]
- Liu, H.Y.; Mi, Z.R.; Lin, L.; Wang, Y.H.; Zhang, Z.H.; Zhang, F.W.; Wang, H.; Liu, L.L.; Zhu, B.; Cao, G.M.; et al. Shifting plant species composition in response to climate change stabilizes grassland primary production. Proc. Natl. Acad. Sci. USA 2018, 115, 4051–4056. [Google Scholar] [CrossRef]
- Bai, W.M.; Fang, Y.; Zhou, M.; Xie, T.; Li, L.H.; Zhang, W.H. Heavily intensified grazing reduces root production in an Inner Mongolia temperate steppe. Agric. Ecosyst. Environ. 2015, 200, 143–150. [Google Scholar] [CrossRef]
- Shao, W.Y.; Wang, Q.Z.; Guan, Q.Y.; Luo, H.P.; Ma, Y.R.; Zhang, J. Distribution of soil available nutrients and their response to environmental factors based on path analysis model in arid and semi-arid area of northwest China. Sci. Total Environ. 2022, 827, 154254. [Google Scholar] [CrossRef] [PubMed]
- Yan, B.L.; Wang, Z.W.; Qu, Z.Q.; Wang, J.; Han, G.D. Effects of enclosure on carbon density of plant-soil system in typical steppe and desert steppe in Nei Mongol, China. Chin. J. Plant Ecol. 2018, 42, 327–336. [Google Scholar] [CrossRef][Green Version]
- Li, L.; Zhao, W. Carbon sequestration characteristics of a warm shrub tussock grassland ecosystemin northwestern Henan. Acta Pratacult. Sin. 2019, 28, 26–35. [Google Scholar] [CrossRef]
- Xin, X.P.; Ding, L.; Cheng, W.; Zhu, X.Y.; Chen, B.H.; Liu, Z.L.; He, G.L.; Qing, G.L.; Yang, G.X.; Tang, H.J. Biomass carbon storage and its effect factors in Steppe and Agro-Pastoral ecotones in Northern China. Sci. Agric. Sin. 2020, 53, 2757–2768. [Google Scholar] [CrossRef]
- Bai, Y.F.; Han, X.G.; Wu, J.G.; Chen, Z.Z.; Li, L.H. Ecosystem stability and compensatory effects in the Inner Mongolia grassland. Nature 2004, 431, 181–184. [Google Scholar] [CrossRef]
- Wu, Q.H.; Zhang, B.; Ma, B.; Tang, M.; Wang, G.Q.; Jia, Y.Q. Impact of climate warming on winter wheat planting in the Loess Plateau. Ecol. Environ. Sci. 2017, 26, 429–436. [Google Scholar] [CrossRef]
- Wang, Y.H.; Wang, Z.W.; Li, H.G.; Shen, T.T.; Zhang, X.; Li, J.W.; Han, G.D. Grazing decreased soil organic carbon by decreasing aboveground biomass in a desert steppe in Inner Mongolia. J. Environ. Manag. 2023, 327, 119112. [Google Scholar] [CrossRef]
- Htet, M.N.S.; Wang, H.L.; Yadav, V.; Sompouviseth, T.; Feng, B.L. Legume integration augments the forage productivity and quality in Maize-Based system in the Loess Plateau region. Sustainability 2022, 14, 6022. [Google Scholar] [CrossRef]
- Shen, X.J.; Liu, B.H.; Zhou, D.W.; Lu, X.G. Effect of grassland vegetation on diurnal temperature range in China’s temperate grassland region. Ecol. Eng. 2016, 97, 292–296. [Google Scholar] [CrossRef]
- Ren, H.Y.; Zheng, S.X.; Bai, Y.F. Effects of grazing on foliage biomass allocation of grassland communities in Xilin River Basin, Inner Mongolia. Chin. J. Plant Ecol. 2009, 33, 1065–1074. [Google Scholar] [CrossRef]
- Chen, J.H.; Gao, M.; Chen, G.C.; Zhu, H.; Ye, Y. Biomass accumulation and organic carbon stocks of Kandelia obovata mangrove vegetation under different simulated sea levels. Acta Oceanol. Sin. 2022, 41, 78–86. [Google Scholar] [CrossRef]
- Asitaiken, ·J.; Dong, Y.Q.; Zhou, S.J.; Nie, T.T.; Jiang, A.J.; An, S.Z. Effects of enclosure on vegetation diversity and niche characteristics of different grassland types in Xinjiang. Pratacult. Sci. 2023, 40, 1168–1185. [Google Scholar] [CrossRef]
- Fang, J.Y.; Yang, Y.H.; Ma, W.H.; Mohammat, A.; Shen, H.H. Ecosystem carbon stocks and their changes in China’s grasslands. Sci. China-Life Sci. 2010, 53, 757–765. [Google Scholar] [CrossRef]
- Zhu, D.H.; Hui, D.F.; Wang, M.Q.; Yang, Q.; Li, Z.; Huang, Z.J.; Yuan, H.M.; Yu, S.X. Allometric growth and carbon storage in the mangrove Sonneratia apetala. Wetl. Ecol. Manag. 2021, 29, 129–141. [Google Scholar] [CrossRef]
- Lan, Z.L.; Zhao, Y.; Zhang, J.G.; Li, H.J.; Si, B.C.; Jiao, R.; Muhammad, N.K.; Tanveer, A.S. Distribution of soil organic and inorganic carbon under different land use types in the Loess Plateau of northern Shaanxi. Environ. Sci. 2018, 39, 339–347. [Google Scholar] [CrossRef]
- Wu, W.J.; Chen, G.J.; Meng, T.F.; Li, C.; Feng, H.; Si, B.C.; Siddique, K.H.M. Effect of different vegetation restoration on soil properties in the semi-arid Loess Plateau of China. Catena 2023, 220, 106630. [Google Scholar] [CrossRef]
- Tian, S.Y.; Man, X.L. Study on characteristics of soil microbial biomass carbon and dissolved organic carbon in northern forest region of Daxing’an Montains. Chin. J. Soil Sci. 2016, 47, 838–845. [Google Scholar] [CrossRef]
- Zhang, C.Y.; Zhao, X.; Xin, Y.C.; Tang, W.J.; Wang, L. Carbon storage and distribution of grassland ecosystems in Qinghai Province. J. Beijing Norm. Univ. (Nat. Sci.) 2022, 58, 286–292. [Google Scholar] [CrossRef]
- Chen, W.; Li, G.C.; Wang, D.L.; Yang, Z.; Wang, Z.; Zhang, X.P.; Peng, B.; Bi, P.S.; Zhang, F.J. Influence of the ecosystem conversion process on the carbon and water cycles in different regions of China. Ecol. Indic. 2023, 248, 110040. [Google Scholar] [CrossRef]
- Yu, Z.; Li, Q.Z.; Wang, P.Y.; Jiang, Q. Changes of organic carbon density in desert steppe ecosystem driven by degradation and restoration. J. Desert Res. 2022, 42, 215–222. [Google Scholar] [CrossRef]
- Wang, Y.Y.; Deng, L.; Wu, G.L.; Wang, K.B.; Shangguan, Z.P. Large-scale soil organic carbon mapping based on multivariate modelling: The case of grasslands on the Loess Plateau. Land Degrad. Dev. 2018, 29, 26–37. [Google Scholar] [CrossRef]
- Cui, H.W.; Wagg, C.; Wang, X.T.; Liu, Z.Y.; Liu, K.; Chen, S.Y.; Chen, J.W.; Song, H.X.; Meng, L.H.; Wang, J.J. The loss of above- and belowground biodiversity in degraded grasslands drives the decline of ecosystem multifunctionality. Appl. Soil Ecol. 2022, 172, 104370. [Google Scholar] [CrossRef]
- Agnihotri, R.; Sharma, M.P.; Prakash, A.; Ramesh, A.; Bhattacharjya, S.; Patra, A.K.; Manna, M.C.; Kurganova, I.; Kuzyakov, Y. Glycoproteins of arbuscular mycorrhiza for soil carbon sequestration: Review of mechanisms and controls. Sci. Total Environ. 2021, 806, 150571. [Google Scholar] [CrossRef] [PubMed]







| Grassland Type | Utilization Pattern | Longitude (° E) | Latitude (° N) | Altitude (m) | Administrative Division | Soil Type | Plant Community |
|---|---|---|---|---|---|---|---|
| Temperate steppe | Seasonal grazing | 103.413 | 36.6239 | 2033 | Lanzhou | Sierozem | Stipa capillata + Poa annua |
| 103.098 | 36.802 | 2589 | Lanzhou | Heilu soil | Agropyron cristatum + Stipa grandis | ||
| 103.06 | 36.505 | 2245 | Lanzhou | Sierozem | Stipa bungeana + Artemisia frigida | ||
| 104.4633 | 37.07766 | 1830 | Baiyin | Sierozem | Stipa capillata + Poa annua | ||
| 105.192 | 36.77812 | 2030 | Baiyin | Sierozem | Agropyron cristatum + Leymus chinensis | ||
| 104.574 | 36.268 | 2191 | Baiyin | Sierozem | Stipa bungeana + Leymus chinensis | ||
| 103.9776 | 35.1708 | 2290 | Dingxi | Sierozem | Stipa capillata + Aster altaicus | ||
| 104.191 | 35.041 | 2288 | Dingxi | Sierozem | Agropyron cristatum + Stipa grandis | ||
| 104.4519 | 35.33396 | 2402 | Dingxi | Heilu soil | Stipa bungeana + Gueldenstaedtia verna | ||
| Temperate desert | Seasonal grazing | 104.237 | 36.914 | 1744 | Baiyin | Sierozem | Sympegma regelii + Krascheninnikovia ceratoides |
| 104.202 | 36.578 | 1754 | Baiyin | Sierozem | Sympegma regelii + Stipa sareptana | ||
| 104.984 | 36.82 | 2265 | Baiyin | Sierozem | Sympegma regelii + Reaumuria songarica | ||
| 104.385 | 36.785 | 1622 | Baiyin | Sierozem | Reaumuria songarica + Ephedra przewalskii | ||
| 104.699 | 37.045 | 1958 | Baiyin | Sierozem | Reaumuria songarica + Ephedra przewalskii | ||
| 103.895 | 36.871 | 2196 | Baiyin | Sierozem | Reaumuria songarica + Salsola passerinum | ||
| 104.036 | 36.669 | 1982 | Baiyin | Sierozem | Kalidium foliatum + Salsola passerinum | ||
| 104.424 | 37.311 | 1620 | Baiyin | Sierozem | Kalidium foliatum + Kalidium gracile | ||
| 104.606 | 36.726 | 1511 | Baiyin | Sierozem | Salsola passerinum + Reaumuria songarica |
Disclaimer/Publisher’s Note: The statements, opinions and data contained in all publications are solely those of the individual author(s) and contributor(s) and not of MDPI and/or the editor(s). MDPI and/or the editor(s) disclaim responsibility for any injury to people or property resulting from any ideas, methods, instructions or products referred to in the content. |
© 2024 by the authors. Licensee MDPI, Basel, Switzerland. This article is an open access article distributed under the terms and conditions of the Creative Commons Attribution (CC BY) license (https://creativecommons.org/licenses/by/4.0/).
Share and Cite
Li, Y.; He, G.; Liu, X.; Xu, H.; Ji, T.; Lin, D.; Jiang, J. Distribution Characteristics of Carbon Density in Plant–Soil System of Temperate Steppe and Temperate Desert in the Longzhong Loess Plateau. Agriculture 2024, 14, 177. https://doi.org/10.3390/agriculture14020177
Li Y, He G, Liu X, Xu H, Ji T, Lin D, Jiang J. Distribution Characteristics of Carbon Density in Plant–Soil System of Temperate Steppe and Temperate Desert in the Longzhong Loess Plateau. Agriculture. 2024; 14(2):177. https://doi.org/10.3390/agriculture14020177
Chicago/Turabian StyleLi, Yali, Guoxing He, Xiaoni Liu, Heguang Xu, Tong Ji, Dong Lin, and Jiachang Jiang. 2024. "Distribution Characteristics of Carbon Density in Plant–Soil System of Temperate Steppe and Temperate Desert in the Longzhong Loess Plateau" Agriculture 14, no. 2: 177. https://doi.org/10.3390/agriculture14020177
APA StyleLi, Y., He, G., Liu, X., Xu, H., Ji, T., Lin, D., & Jiang, J. (2024). Distribution Characteristics of Carbon Density in Plant–Soil System of Temperate Steppe and Temperate Desert in the Longzhong Loess Plateau. Agriculture, 14(2), 177. https://doi.org/10.3390/agriculture14020177
