Potential of Calcium-Modified Biochar for Soil Nutrient and Carbon Sequestration in Citrus Orchards
Abstract
1. Introduction
2. Materials and Methods
2.1. Materials
2.2. Experimental Design
2.3. Measurement Method and Statistical Analysis
3. Results
3.1. Structural Characteristics of Calcium-Modified Biochar
3.2. Soil Nutrients
3.3. Soil Mineralization
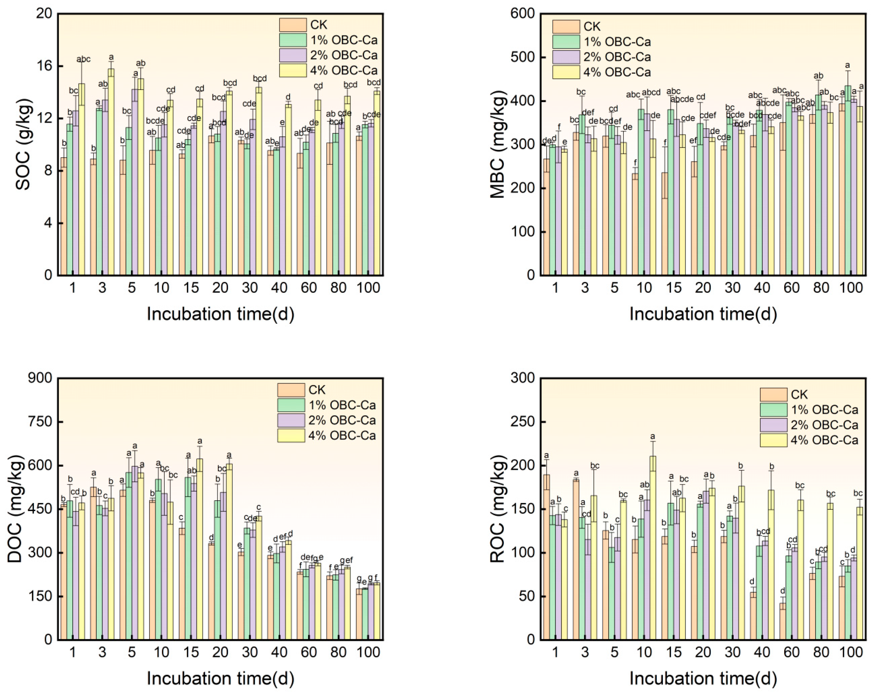
3.4. Soil Organic Carbon (SOC) and Active Organic Carbon Fractions
3.5. Soil Enzyme Activity
3.6. Random Forest Modeling and Correlation Analysis
4. Discussion
4.1. Effects of Calcium-Modified Biochar on Soil Nutrient Dynamics in Citrus Orchards
4.2. Effects of Calcium-Modified Biochar on the Mineralization of Citrus Orchard Soil
4.3. Effects of Calcium-Modified Biochar on Soil Organic Carbon and Its Fractions in Citrus Orchards
4.4. Effects of Calcium-Modified Biochar on Enzyme Activities in Citrus Orchard Soil
5. Conclusions
Supplementary Materials
Author Contributions
Funding
Institutional Review Board Statement
Data Availability Statement
Conflicts of Interest
References
- Chang, J.-W.; Wu, W.-M.; Zhu, Y.-C.; Liu, G.-Q.; Fang, P.-L.; Chen, M.; Qin, H. Relationship between citrus growth and soil nutrient and microbial community. Chin. J. Soil Sci. 2022, 53, 1386–1394. [Google Scholar]
- Chen, G.-F.; Huang, Y.-Y.; Liu, B.; Xiong, L.-M. Investigation and analysis of calcium content in soil-plant leaves and roots of citrus orchards. J. Anhui Agric. Sci. 2011, 39, 15293–15294. [Google Scholar]
- Kuo, Y.-L.; Lee, C.-H.; Jien, S.-H. Reduction of Nutrient Leaching Potential in Coarse-Textured Soil by Using Biochar. Water 2020, 12, 2012. [Google Scholar] [CrossRef]
- Lyu, H.; Zhang, Q.; Shen, B. Application of biochar and its composites in catalysis. Chemosphere 2020, 240, 124842. [Google Scholar] [CrossRef] [PubMed]
- Pan, L.; Mao, L.; Zhang, H.; Wang, P.; Wu, C.; Xie, J.; Yu, B.; Sial, M.U.; Zhang, L.; Zhang, Y.; et al. Modified Biochar as a More Promising Amendment Agent for Remediation of Pesticide-Contaminated Soils: Modification Methods, Mechanisms, Applications, and Future Perspectives. Appl. Sci. 2022, 12, 11544. [Google Scholar] [CrossRef]
- Xu, Y.; Liao, H.; Zhang, J.; Lu, H.; He, X.; Zhang, Y.; Wu, Z.; Wang, H.; Lu, M. A Novel Ca-Modified Biochar for Efficient Recovery of Phosphorus from Aqueous Solution and Its Application as a Phosphorus Biofertilizer. Nanomaterials 2022, 12, 2755. [Google Scholar] [CrossRef]
- Li, S.H.; Luo, C.; Yan, F.; Yang, Y.; Guo, B.; Wang, L.; Xu, S.Q.; Wu, F.; Ji, P.H. Remediation of Pb(II) and Cd(II) in polluted waters with calcium thioglycolate-modified straw biochar. Environ. Pollut. 2023, 338, 122638. [Google Scholar] [CrossRef]
- Liu, D.; Hao, Z.; Chen, D.; Jiang, L.; Li, T.; Tian, B.; Yan, C.; Luo, Y.; Chen, G.; Ai, H. Use of Eggshell-Catalyzed Biochar Adsorbents for Pb Removal from Aqueous Solution. ACS Omega 2022, 7, 21808–21819. [Google Scholar] [CrossRef]
- Wang, K.F.; Yao, R.L.; Zhang, D.Q.; Peng, N.; Zhao, P.; Zhong, Y.M.; Zhou, H.J.; Huang, J.H.; Liu, C. Tetracycline Adsorption Performance and Mechanism Using Calcium Hydroxide-Modified Biochars. Toxics 2023, 11, 841. [Google Scholar] [CrossRef]
- Wang, P.; Chen, W.; Zhang, R.; Xing, Y. Enhanced Removal of Malachite Green Using Calcium-Functionalized Magnetic Biochar. Int. J. Environ. Res. Public Health 2022, 19, 3247. [Google Scholar] [CrossRef]
- Zhuo, S.-N.; Dai, T.-C.; Ren, H.-Y.; Liu, B.-F. Simultaneous adsorption of phosphate and tetracycline by calcium modified corn stover biochar: Performance and mechanism. Bioresour. Technol. 2022, 359, 127477. [Google Scholar] [CrossRef] [PubMed]
- Li, H.; Wang, B.; Siri, M.; Liu, C.; Feng, C.; Shao, X.; Liu, K. Calcium-modified biochar rather than original biochar decreases salinization indexes of saline-alkaline soil. Environ. Sci. Pollut. Res. 2023, 30, 74966–74976. [Google Scholar] [CrossRef] [PubMed]
- Sun, T.; Yang, W.; Xu, Y.; Wang, L.; Liang, X.; Huang, Q.; Sun, Y. Effect of Ca-modified biochar coupling with low-Cd accumulation maize cultivars on remediation of Cd contaminated soils and microbial community composition. Soil Tillage Res. 2023, 232, 105765. [Google Scholar] [CrossRef]
- Nan, H.; Jiang, Y.; Zhou, W.; Zhao, L.; Yang, F. New Insights into the Enhancement Effect of Exogenous Calcium on Biochar Stability during Its Aging in Farmland Soil. Agronomy 2023, 13, 1676. [Google Scholar] [CrossRef]
- Nan, H.Y.; Yin, J.X.; Yang, F.; Luo, Y.; Zhao, L.; Cao, X.D. Pyrolysis temperature-dependent carbon retention and stability of biochar with participation of calcium: Implications to carbon sequestration. Environ. Pollut. 2021, 287, 117566. [Google Scholar] [CrossRef]
- Ren, N.; Tang, Y.; Li, M. Mineral additive enhanced carbon retention and stabilization in sewage sludge-derived biochar. Process Saf. Environ. Prot. 2018, 115, 70–78. [Google Scholar] [CrossRef]
- Ji, C.; Yang, S.; Cheng, Y.; Liu, L.; Wang, D.; Zhu, S.; Tao, E.; Li, Y. In situ formed CaSO4 on waste dander biochar to inhibit the mineralization of soil organic carbon. Sci. Total Environ. 2023, 854, 158776. [Google Scholar] [CrossRef]
- Hu, L.; Huang, R.; Zhou, L.; Qin, R.; He, X.; Deng, H.; Li, K. Effects of magnesium-modified biochar on soil organic carbon mineralization in citrus orchard. Front. Microbiol. 2023, 14, 1109272. [Google Scholar] [CrossRef]
- Li, R.; Wang, J.J.; Zhou, B.; Awasthi, M.K.; Ali, A.; Zhang, Z.; Gaston, L.A.; Lahori, A.H.; Mahar, A. Enhancing phosphate adsorption by Mg/Al layered double hydroxide functionalized biochar with different Mg/Al ratios. Sci. Total Environ. 2016, 559, 121–129. [Google Scholar] [CrossRef]
- Zhang, M.; Yang, J.; Wang, H.; Lv, Q.; Xue, J. Enhanced removal of phosphate from aqueous solution using Mg/Fe modified biochar derived from excess activated sludge: Removal mechanism and environmental risk. Environ. Sci. Pollut. Res. 2021, 28, 16282–16297. [Google Scholar] [CrossRef]
- Liu, X.; Lv, J. Efficient Phosphate Removal from Wastewater by Ca-Laden Biochar Composites Prepared from Eggshell and Peanut Shells: A Comparison of Methods. Sustainability 2023, 15, 1778. [Google Scholar] [CrossRef]
- Zou, G.; Zhao, F.; Lan, X.; Nawaz, M.; Shohag, J.I. Role of Coconut Shell Biochar on Soil Properties, Microbial Diversity and Nitrogen Mineralization in Tropical Latosol. Pol. J. Environ. Stud. 2024, 33, 1487–1496. [Google Scholar] [CrossRef]
- Fidel, R.B.; Laird, D.A.; Thompson, M.L.; Lawrinenko, M. Characterization and quantification of biochar alkalinity. Chemosphere 2017, 167, 367–373. [Google Scholar] [CrossRef] [PubMed]
- Shi, R.-Y.; Li, J.-Y.; Ni, N.; Xu, R.-K. Understanding the biochar’s role in ameliorating soil acidity. J. Integr. Agric. 2019, 18, 1508–1517. [Google Scholar] [CrossRef]
- Kwon, S.; Pignatello, J.J. Effect of natural organic substances on the surface and adsorptive properties of environmental black carbon (char): Pseudo pore blockage by model lipid components and its implications for N2-probed surface properties of natural sorbents. Environ. Sci. Technol. 2005, 39, 7932–7939. [Google Scholar] [CrossRef]
- Domingues, R.R.; Sanchez-Monedero, M.A.; Spokas, K.A.; Melo, L.C.A.; Trugilho, P.F.; Valenciano, M.N.; Silva, C.A. Enhancing Cation Exchange Capacity of Weathered Soils Using Biochar: Feedstock, Pyrolysis Conditions and Addition Rate. Agronomy 2020, 10, 824. [Google Scholar] [CrossRef]
- Liu, Z.; Yuan, D.; Qin, X.; He, P.; Fu, Y. Effect of Mg-Modified Waste Straw Biochar on the Chemical and Biological Properties of Acidic Soils. Molecules 2023, 28, 5225. [Google Scholar] [CrossRef]
- Zhang, Y.; Miao, S.; Song, Y.; Wang, X.; Jin, F. Biochar Application Reduces Saline-Alkali Stress by Improving Soil Functions and Regulating the Diversity and Abundance of Soil Bacterial Community in Highly Saline-Alkali Paddy Field. Sustainability 2024, 16, 1001. [Google Scholar] [CrossRef]
- Hong, C.; Lu, S. Does biochar affect the availability and chemical fractionation of phosphate in soils? Environ. Sci. Pollut. Res. 2018, 25, 8725–8734. [Google Scholar] [CrossRef]
- Yang, C.; Lu, S. Straw and straw biochar differently affect phosphorus availability, enzyme activity and microbial functional genes in an Ultisol. Sci. Total Environ. 2022, 805, 150325. [Google Scholar] [CrossRef]
- Tian, J.; Kuang, X.; Tang, M.; Chen, X.; Huang, F.; Cai, Y.; Cai, K. Biochar application under low phosphorus input promotes soil organic phosphorus mineralization by shifting bacterial phoD gene community composition. Sci. Total Environ. 2021, 779, 146556. [Google Scholar] [CrossRef] [PubMed]
- Zhu, X.; Fang, X.; Wang, L.; Xiang, W.; Alharbi, H.A.; Lei, P.; Kuzyakov, Y. Regulation of soil phosphorus availability and composition during forest succession in subtropics. For. Ecol. Manag. 2021, 502, 119706. [Google Scholar] [CrossRef]
- Bai, K.; Wang, W.; Zhang, J.; Yao, P.; Cai, C.; Xie, Z.; Luo, L.; Li, T.; Wang, Z. Effects of phosphorus-solubilizing bacteria and biochar application on phosphorus availability and tomato growth under phosphorus stress. BMC Biol. 2024, 22, 211. [Google Scholar] [CrossRef]
- Dong, P.; Zhang, Z.; Zhang, M. Combination of Phytoextraction and Biochar Improves Available Potassium and Alters Microbial Community Structure in Soils. Water 2024, 16, 118. [Google Scholar] [CrossRef]
- Yao, T.; Zhang, W.; Gulaqa, A.; Cui, Y.; Zhou, Y.; Weng, W.; Wang, X.; Liu, Q.; Jin, F. Effects of Peanut Shell Biochar on Soil Nutrients, Soil Enzyme Activity, and Rice Yield in Heavily Saline-Sodic Paddy Field. J. Soil Sci. Plant Nutr. 2021, 21, 655–664. [Google Scholar] [CrossRef]
- Buss, W.; Wurzer, C.; Manning, D.A.C.; Rohling, E.J.; Borevitz, J.; Masek, O. Mineral-enriched biochar delivers enhanced nutrient recovery and carbon dioxide removal. Commun. Earth Environ. 2022, 3, 67. [Google Scholar] [CrossRef]
- Ameloot, N.; Graber, E.R.; Verheijen, F.G.A.; De Neve, S. Interactions between biochar stability and soil organisms: Review and research needs. Eur. J. Soil Sci. 2013, 64, 379–390. [Google Scholar] [CrossRef]
- Singh Yadav, S.P.; Bhandari, S.; Bhatta, D.; Poudel, A.; Bhattarai, S.; Yadav, P.; Ghimire, N.; Paudel, P.; Paudel, P.; Shrestha, J.; et al. Biochar application: A sustainable approach to improve soil health. J. Agric. Food Res. 2023, 11, 100498. [Google Scholar] [CrossRef]
- Zhang, Q.; Xiao, J.; Xue, J.; Zhang, L. Quantifying the Effects of Biochar Application on Greenhouse Gas Emissions from Agricultural Soils: A Global Meta-Analysis. Sustainability 2020, 12, 3436. [Google Scholar] [CrossRef]
- Khan, M.N.; Li, D.; Shah, A.; Huang, J.; Zhang, L.; Nunez-Delgado, A.; Han, T.; Du, J.; Ali, S.; Sial, T.A.; et al. The impact of pristine and modified rice straw biochar on the emission of greenhouse gases from a red acidic soil. Environ. Res. 2022, 208, 112676. [Google Scholar] [CrossRef]
- Kalu, S.; Seppanen, A.; Mganga, K.Z.; Sietio, O.-M.; Glaser, B.; Karhu, K. Biochar reduced the mineralization of native and added soil organic carbon: Evidence of negative priming and enhanced microbial carbon use efficiency. Biochar 2024, 6, 7. [Google Scholar] [CrossRef]
- Yang, Y.; Sun, K.; Han, L.; Chen, Y.; Liu, J.; Xing, B. Biochar stability and impact on soil organic carbon mineralization depend on biochar processing, aging and soil clay content. Soil Biol. Biochem. 2022, 169, 108657. [Google Scholar] [CrossRef]
- Ke, Y.-J.; Hu, X.-Y.; Yi, Q.; Yu, Z. Impacts of Rice Straw Biochar on Organic Carbon and CO2 Release in Arable Soil. Environ. Sci. 2014, 35, 93–99. [Google Scholar]
- Li, S.-L. Effect and Mechanism of Potassium-Modified Bagasse Biochar on the Carbon Sequestration of Sugarcane Field and Manga-Nese-Contaminated Soil. Master’s Thesis, Guangxi Normal University, Guilin, China, 2021. [Google Scholar]
- Dong, L.; Yang, X.; Shi, L.; Shen, Y.; Wang, L.; Wang, J.; Li, C.; Zhang, H. Biochar and nitrogen fertilizer co-application changed SOC content and fraction composition in Huang-Huai-Hai plain, China. Chemosphere 2022, 291, 132925. [Google Scholar] [CrossRef]
- Li, Y.; Li, Y.; Chang, S.X.; Yang, Y.; Fu, S.; Jiang, P.; Luo, Y.; Yang, M.; Chen, Z.; Hu, S.; et al. Biochar reduces soil heterotrophic respiration in a subtropical plantation through increasing soil organic carbon recalcitrancy and decreasing carbon degrading microbial activity. Soil Biol. Biochem. 2018, 122, 173–185. [Google Scholar] [CrossRef]
- Rasul, M.; Cho, J.; Shin, H.-S.; Hur, J. Biochar-induced priming effects in soil via modifying the status of soil organic matter and microflora: A review. Sci. Total Environ. 2022, 805, 150304. [Google Scholar] [CrossRef]
- Wang, J.; Xiong, Z.; Kuzyakov, Y. Biochar stability in soil: Meta-analysis of decomposition and priming effects. Glob. Change Biol. Bioenergy 2016, 8, 512–523. [Google Scholar] [CrossRef]
- Dong, X.; Singh, B.P.; Li, G.; Lin, Q.; Zhao, X. Biochar application constrained native soil organic carbon accumulation from wheat residue inputs in a long-term wheat-maize cropping system. Agric. Ecosyst. Environ. 2018, 252, 200–207. [Google Scholar] [CrossRef]
- Huang, R.; Lan, T.; Song, X.; Li, J.; Ling, J.; Deng, O.; Wang, C.; Gao, X.; Li, Q.; Tang, X.; et al. Soil labile organic carbon impacts C:N:P stoichiometry in urban park green spaces depending on vegetation types and time after planting. Appl. Soil Ecol. 2021, 163, 103926. [Google Scholar] [CrossRef]
- Fang, Y.; Singh, B.P.; Luo, Y.; Boersma, M.; Van Zwieten, L. Biochar carbon dynamics in physically separated fractions and microbial use efficiency in contrasting soils under temperate pastures. Soil Biol. Biochem. 2018, 116, 399–409. [Google Scholar] [CrossRef]
- Ye, R.; Horwath, W.R. Influence of rice straw on priming of soil C for dissolved organic C and CH4 production. Plant Soil 2017, 417, 231–241. [Google Scholar] [CrossRef]
- Zhang, T.; Zhu, X.; Shi, L.; Li, J.; Li, S.; Lu, J.; Li, Y. Efficient removal of lead from solution by celery-derived biochars rich in alkaline minerals. Bioresour. Technol. 2017, 235, 185–192. [Google Scholar] [CrossRef] [PubMed]
- Abiven, S.; Hund, A.; Martinsen, V.; Cornelissen, G. Biochar amendment increases maize root surface areas and branching: A shovelomics study in Zambia. Plant Soil 2015, 395, 45–55. [Google Scholar] [CrossRef]
- Masto, R.E.; Kumar, S.; Rout, T.K.; Sarkar, P.; George, J.; Ram, L.C. Biochar from water hyacinth (Eichornia crassipes) and its impact on soil biological activity. Catena 2013, 111, 64–71. [Google Scholar] [CrossRef]
- Tang, B.; Xu, H.; Song, F.; Ge, H.; Chen, L.; Yue, S.; Yang, W. Effect of biochar on immobilization remediation of Cd-contaminated soil and environmental quality. Environ. Res. 2022, 204, 111840. [Google Scholar] [CrossRef]
- Wang, G.; Jin, Z.; Wang, X.; George, T.S.; Feng, G.; Zhang, L. Simulated root exudates stimulate the abundance of Saccharimonadales to improve the alkaline phosphatase activity in maize rhizosphere. Appl. Soil Ecol. 2022, 170, 104274. [Google Scholar] [CrossRef]
- Jing, Y.; Zhang, Y.; Han, I.; Wang, P.; Mei, Q.; Huang, Y. Effects of different straw biochars on soil organic carbon, nitrogen, available phosphorus, and enzyme activity in paddy soil. Sci. Rep. 2020, 10, 8837. [Google Scholar] [CrossRef]
- Yang, X.; Liu, J.; McGrouther, K.; Huang, H.; Lu, K.; Guo, X.; He, L.; Lin, X.; Che, L.; Ye, Z.; et al. Effect of biochar on the extractability of heavy metals (Cd, Cu, Pb, and Zn) and enzyme activity in soil. Environ. Sci. Pollut. Res. 2016, 23, 974–984. [Google Scholar] [CrossRef]
- Zheng, L.; Tong, C.; Gao, J.; Xiao, R. Effects of wetland plant biochars on heavy metal immobilization and enzyme activity in soils from the Yellow River estuary. Environ. Sci. Pollut. Res. 2022, 29, 40796–40811. [Google Scholar] [CrossRef]
- Wang, S.-N. The Characteristics and Influencing Factors of Soil Organic Carbon Source/Sink in Saline-alkaline Paddy Lands in Western Jilin Province. Ph.D. Thesis, Jilin University, Changchun, China, 2022. [Google Scholar]
- Wu, H.; Cui, H.; Fu, C.; Li, R.; Qi, F.; Liu, Z.; Yang, G.; Xiao, K.; Qiao, M. Unveiling the crucial role of soil microorganisms in carbon cycling: A review. Sci. Total Environ. 2024, 909, 168627. [Google Scholar] [CrossRef]
- Zhang, X.; Teng, Z.; Zhang, H.; Cai, D.; Zhang, J.; Meng, F.; Sun, G. Nitrogen application and intercropping change microbial community diversity and physicochemical characteristics in mulberry and alfalfa rhizosphere soil. J. For. Res. 2021, 32, 2121–2133. [Google Scholar] [CrossRef]
- Zhang, Y.-X.; Li, D.; Zhang, Z.-Y.; Liao, K.-J. Comparison of two methods for the determination of cation exchange in soil. Guizhou For. Sci. Technol. 2010, 38, 45–49. [Google Scholar]
- Wang, H.; Ren, T.; Mueller, K.; Van Zwieten, L.; Wang, H.; Feng, H.; Xu, C.; Yun, F.; Ji, X.; Yin, Q.; et al. Soil type regulates carbon and nitrogen stoichiometry and mineralization following biochar or nitrogen addition. Sci. Total Environ. 2021, 753, 141645. [Google Scholar] [CrossRef] [PubMed]
- Rong, G.; Zhang, X.; Wu, H.; Ge, N.; Yao, Y.; Wei, X. Changes in soil organic carbon and nitrogen mineralization and their temperature sensitivity in response to afforestation across China’s Loess Plateau. Catena 2021, 202, 105226. [Google Scholar] [CrossRef]
- Hu, L.; Li, S.; Li, K.; Huang, H.; Wan, W.; Huang, Q.; Li, Q.; Li, Y.; Deng, H.; He, T. Effects of Two Types of Straw Biochar on the Mineralization of Soil Organic Carbon in Farmland. Sustainability 2020, 12, 10586. [Google Scholar] [CrossRef]
- Gao, S.; Hoffman-Krull, K.; DeLuca, T.H. Soil biochemical properties and crop productivity following application of locally produced biochar at organic farms on Waldron Island, WA. Biogeochemistry 2017, 136, 31–46. [Google Scholar] [CrossRef]
- Huang, R.; Tian, D.; Liu, J.; Lu, S.; He, X.; Gao, M. Responses of soil carbon pool and soil aggregates associated organic carbon to straw and straw-derived biochar addition in a dryland cropping mesocosm system. Agric. Ecosyst. Environ. 2018, 265, 576–586. [Google Scholar] [CrossRef]
- Jien, S.-H.; Chen, W.-C.; Ok, Y.S.; Awad, Y.M.; Liao, C.-S. Short-term biochar application induced variations in C and N mineralization in a compost-amended tropical soil. Environ. Sci. Pollut. Res. 2018, 25, 25715–25725. [Google Scholar] [CrossRef]
- Zhao, Z.; Zhang, C.; Li, F.; Gao, S.; Zhang, J. Effect of compost and inorganic fertilizer on organic carbon and activities of carbon cycle enzymes in aggregates of an intensively cultivated Vertisol. PLoS ONE 2020, 15, e0229644. [Google Scholar] [CrossRef]
- Sarma, B.; Borkotoki, B.; Narzari, R.; Kataki, R.; Gogoi, N. Organic amendments: Effect on carbon mineralization and crop productivity in acidic soil. J. Clean. Prod. 2017, 152, 157–166. [Google Scholar] [CrossRef]
- Xu, H.; Shao, H.; Lu, Y. Arbuscular mycorrhiza fungi and related soil microbial activity drive carbon mineralization in the maize rhizosphere. Ecotoxicol. Environ. Saf. 2019, 182, 109476. [Google Scholar] [CrossRef]







| Treatment | Fitting Parameters | |||
|---|---|---|---|---|
| C0/mg∙kg−1 | k/d−1 | R2 | C0/SOC | |
| CK | 3239 ± 257.40 | 0.026 ± 0.004 | 0.962 | 0.304 |
| 1% OBC-Ca | 2915 ± 189.06 | 0.048 ± 0.009 | 0.914 | 0.253 |
| 2% OBC-Ca | 2334 ± 144.25 | 0.070 ± 0.014 | 0.873 | 0.201 |
| 4% OBC-Ca | 2601 ± 168.89 | 0.050 ± 0.009 | 0.910 | 0.185 |
Disclaimer/Publisher’s Note: The statements, opinions and data contained in all publications are solely those of the individual author(s) and contributor(s) and not of MDPI and/or the editor(s). MDPI and/or the editor(s) disclaim responsibility for any injury to people or property resulting from any ideas, methods, instructions or products referred to in the content. |
© 2024 by the authors. Licensee MDPI, Basel, Switzerland. This article is an open access article distributed under the terms and conditions of the Creative Commons Attribution (CC BY) license (https://creativecommons.org/licenses/by/4.0/).
Share and Cite
Bai, Y.; Huang, R.; Li, S.; Li, X.; Fan, Q.; Liu, S.; Hu, L. Potential of Calcium-Modified Biochar for Soil Nutrient and Carbon Sequestration in Citrus Orchards. Agriculture 2024, 14, 2222. https://doi.org/10.3390/agriculture14122222
Bai Y, Huang R, Li S, Li X, Fan Q, Liu S, Hu L. Potential of Calcium-Modified Biochar for Soil Nutrient and Carbon Sequestration in Citrus Orchards. Agriculture. 2024; 14(12):2222. https://doi.org/10.3390/agriculture14122222
Chicago/Turabian StyleBai, Yinnan, Rui Huang, Shu Li, Xianliang Li, Qijun Fan, Shengqiu Liu, and Lening Hu. 2024. "Potential of Calcium-Modified Biochar for Soil Nutrient and Carbon Sequestration in Citrus Orchards" Agriculture 14, no. 12: 2222. https://doi.org/10.3390/agriculture14122222
APA StyleBai, Y., Huang, R., Li, S., Li, X., Fan, Q., Liu, S., & Hu, L. (2024). Potential of Calcium-Modified Biochar for Soil Nutrient and Carbon Sequestration in Citrus Orchards. Agriculture, 14(12), 2222. https://doi.org/10.3390/agriculture14122222
