Mastitis Classification in Dairy Cows Using Weakly Supervised Representation Learning
Abstract
1. Introduction
2. Materials and Methods
2.1. Overview of the Proposed Model
2.2. Dataset Description
2.2.1. Data Collection
2.2.2. Data Preprocessing
2.2.3. Dataset Construction
2.3. Weakly Supervised Autoencoder-Based Mastitis Detection
2.4. Training and Evaluation
2.4.1. Model Training
2.4.2. Evaluation Metrics
3. Results
3.1. Cow Mastitis Estimation
3.2. Performance Evaluation
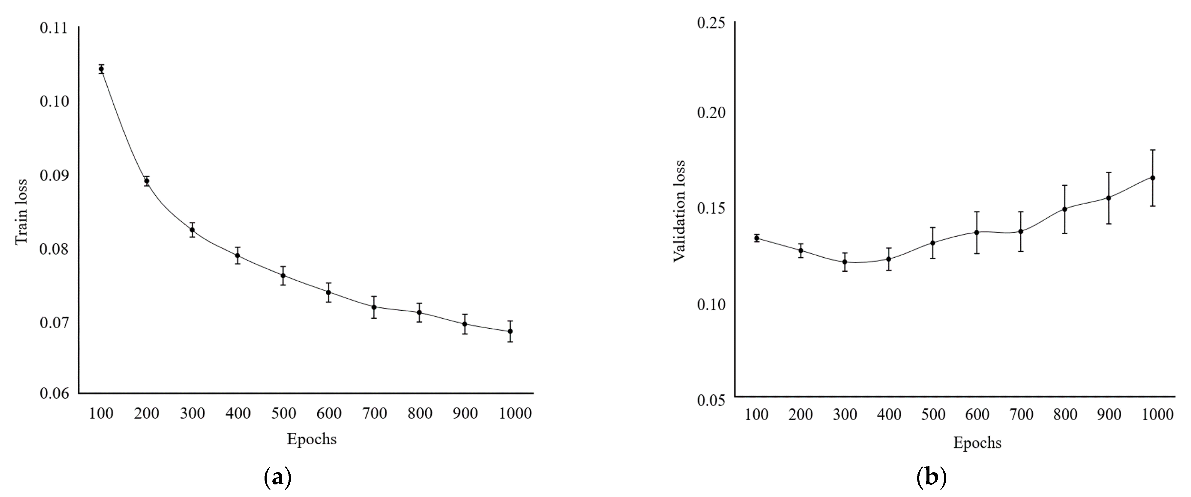
3.3. Model Performance Analysis
4. Discussion
5. Conclusions
Author Contributions
Funding
Institutional Review Board Statement
Data Availability Statement
Conflicts of Interest
References
- Seegers, H.; Fourichon, C.; Beaudeau, F. Production effects related to mastitis and mastitis economics in dairy cattle herds. Vet. Res. 2003, 34, 475–491. [Google Scholar] [CrossRef] [PubMed]
- Ibrahim, N. Review on mastitis and its economic effect. Can. J. Sci. Res. 2017, 6, 13–22. [Google Scholar]
- Leslie, K.E.; Petersson-Wolfe, C.S. Assessment and Management of Pain in Dairy Cows with Clinical Mastitis. Vet. Clin. N. Am. Food Anim. Pract. 2012, 28, 289–305. [Google Scholar] [CrossRef]
- Fadul-Pacheco, L.; Delgado, H.; Cabrera, V.E. Exploring machine learning algorithms for early prediction of clinical mastitis. Int. Dairy J. 2021, 119, 105051. [Google Scholar] [CrossRef]
- Reynolds, L.; Nierenberg, D. Disease and Drought Curb Meat Production and Consumption. In Vital Signs, 20th ed.; Island Press: Washington, DC, USA, 2013. [Google Scholar] [CrossRef]
- Hurt, C. Weekly Outlook: Beef Herd Expanding Quickly, But Will It Continue? Farmdoc Daily 2015, 5, 140. Available online: http://farmdocdaily.illinois.edu/2015/08/weekly-outlook-beef-herd-expanding-continue.html (accessed on 22 October 2024).
- De Koning, K.; Rodenburg, J. Automatic milking: State of the art in Europe and North America. In A Better Understanding, Automatic Milking; Wageningen Academic: Leiden, The Netherlands, 2004. [Google Scholar] [CrossRef]
- Heikkila, A.M.; Vanninen, L.; Manninen, E. Economics of small-scale dairy farms having robotic milking. In Proceedings of the First North American Conference on Precision Dairy Management, Toronto, ON, Canada, 2–5 March 2010. [Google Scholar]
- Schewe, R.L.; Stuart, D. Diversity in agricultural technology adoption: How are automatic milking systems used and to what end? Agric. Hum. Values 2015, 32, 199–213. [Google Scholar] [CrossRef]
- De Mol, R.M.; Kroeze, G.H.; Achten, J.M.F.H.; Maatje, K.; Rossing, W. Results of a multivariate approach to automated oestrus and mastitis detection. Livest. Prod. Sci. 1997, 48, 219–227. [Google Scholar] [CrossRef]
- Heald, C.W.; Kim, T.; Sischo, W.M.; Cooper, J.B.; Wolfgang, D.R. A Computerized Mastitis Decision Aid Using Farm-Based Records: An Artificial Neural Network Approach. J. Dairy Sci. 2000, 83, 711–720. [Google Scholar] [CrossRef] [PubMed]
- Bausewein, M.; Mansfeld, R.; Doherr, M.G.; Harms, J.; Sorge, U.S. Sensitivity and Specificity for the Detection of Clinical Mastitis by Automatic Milking Systems in Bavarian Dairy Herds. Animals 2022, 12, 2131. [Google Scholar] [CrossRef]
- Haxhiaj, K.; Wishart, D.S.; Ametaj, B.N. Mastitis: What It Is, Current Diagnostics, and the Potential of Metabolomics to Identify New Predictive Biomarkers. Dairy 2022, 3, 722–746. [Google Scholar] [CrossRef]
- Castillo-Gallegos, E.; Cordero-Montoya, M.; Alonso-Díaz, M.Á. Use of a nonlinear model to estimate milk losses due to subclinical mastitis in Holstein-Zebu cows. Trop. Anim. Health Prod. 2022, 54, 299. [Google Scholar] [CrossRef] [PubMed]
- Miekley, B.; Traulsen, I.; Krieter, J. Mastitis detection in dairy cows: The application of support vector machines. J. Agric. Sci. 2013, 151, 889–897. [Google Scholar] [CrossRef]
- Mansour, E.; Mohammadi-Dehcheshmeh, M.; Ebrahimie, E.; Petrovski, K.R. Comprehensive analysis of machine learning models for prediction of sub-clinical mastitis: Deep Learning and Gradient-Boosted Trees outperform other models. Comput. Biol. Med. 2019, 114, 103456. [Google Scholar] [CrossRef]
- Fuyang, T.; Zhonghua, W.; Sufang, Y.; Benhai, X.; Shunxi, W. An Automated On-Line Clinical Mastitis Detection System Using Measurement of Electrical Parameters and Milk Production Efficiency. J. Phys. Conf. Ser. 2020, 1676, 012190. [Google Scholar] [CrossRef]
- Lemaître, G.; Nogueira, F.; Aridas, C.K. Imbalanced-learn: A python toolbox to tackle the curse of imbalanced datasets in machine learning. J. Mach. Learn. Res. 2017, 18, 1–5. [Google Scholar]
- Kibebew, K. Bovine mastitis: A review of causes and epidemiological point of view. J. Biol. Agric. Healthc. 2017, 7, 1–14. [Google Scholar]
- Zhdanovskaya, A.; Baidakova, D.; Ustalov, D. Data Labeling for Machine Learning Engineers: Project-Based Curriculum and Data-Centric Competitions. Proc. AAAI Conf. Artif. Intell. 2024, 37, 15886–15893. [Google Scholar] [CrossRef]
- Yang, Y.; Xu, Z. Rethinking the value of labels for improving class-imbalanced learning. Adv. Neural Inf. Process. Syst. 2020, 33, 19290–19301. [Google Scholar] [CrossRef]
- Franceschini, S.; Grelet, C.; Leblois, J.; Gengler, N.; Soyeurt, H. Can unsupervised learning methods applied to milk recording big data provide new insights into dairy cow health? J. Dairy Sci. 2022, 105, 6760–6772. [Google Scholar] [CrossRef]
- Liu, J.; Bailey, D.W.; Cao, H.; Son, T.C.; Tobin, C.T. Development of a Novel Classification Approach for Cow Behavior Analysis Using Tracking Data and Unsupervised Machine Learning Techniques. Sensors 2024, 24, 4067. [Google Scholar] [CrossRef]
- Kiouvrekis, Y.; Vasileiou, N.G.C.; Katsarou, E.I.; Lianou, D.T.; Michael, C.K.; Zikas, S.; Katsafadou, A.I.; Bourganou, M.V.; Liagka, D.V.; Chatzopoulos, D.C.; et al. The Use of Machine Learning to Predict Prevalence of Subclinical Mastitis in Dairy Sheep Farms. Animals 2024, 14, 2295. [Google Scholar] [CrossRef] [PubMed]
- Großwendt, A.; Röglin, H.; Schmidt, M. Analysis of Ward’s Method. In Proceedings of the Thirtieth Annual ACM-SIAM Symposium on Discrete Algorithms, San Diego, CA, USA, 6–9 January 2019; Society for Industrial and Applied Mathematics: Philadelphia, PA, USA, 2019; pp. 2939–2957. [Google Scholar] [CrossRef]
- Wu, W.; Zhang, C. Towards Understanding End-to-End Learning in the Context of Data: Machine Learning Dancing over Semirings & Codd’s Table. In Proceedings of the Fifth Workshop on Data Management for End-To-End Machine Learning, Virtual, 20–25 June 2021; Association for Computing Machinery: New York, NY, USA, 2021; pp. 1–4. [Google Scholar]
- Bank, D.; Koenigstein, N.; Giryes, R. Autoencoders. In Machine Learning for Data Science Handbook; Rokach, L., Maimon, O., Shmueli, E., Eds.; Springer: Cham, Switzerland, 2023. [Google Scholar] [CrossRef]
- Davaslioglu, K.; Erpek, T.; Sagduyu, Y.E. End-to-end autoencoder communications with optimized interference suppression. arXiv 2021, arXiv:2201.01388. [Google Scholar] [CrossRef]
- Liseune, A.; Salamone, M.; Van den Poel, D.; Van Ranst, B.; Hostens, M. Leveraging latent representations for milk yield prediction and interpolation using deep learning. Comput. Electron. Agric. 2020, 175, 105600. [Google Scholar] [CrossRef]
- Vasafi, P.S.; Paquet-Durand, O.; Brettschneider, K.; Hinrichs, J.; Hitzmann, B. Anomaly detection during milk processing by autoencoder neural network based on near-infrared spectroscopy. J. Food Eng. 2021, 299, 110510. [Google Scholar] [CrossRef]
- Zhang, K.; Han, S.; Wu, J.; Cheng, G.; Wang, Y.; Wu, S.; Liu, J. Early lameness detection in dairy cattle based on wearable gait analysis using semi-supervised LSTM-Autoencoder. Comput. Electron. Agric. 2023, 213, 108252. [Google Scholar] [CrossRef]
- Ndubuaku, M.U.; Anjum, A.; Liotta, A. Unsupervised Anomaly Thresholding from Reconstruction Errors. In Internet and Distributed Computing Systems; IDCS, 2019; Montella, R., Ciaramella, A., Fortino, G., Guerrieri, A., Liotta, A., Eds.; Lecture Notes in Computer Science; Springer: Cham, Switzerland, 2019; Volume 11874. [Google Scholar] [CrossRef]
- Guo, L.Z.; Li, Y.F. Class-Imbalanced Semi-Supervised Learning with Adaptive Thresholding. In Proceedings of the 39th International Conference on Machine Learning, Baltimore, MD, USA, 17–23 July 2022; Volume 162, pp. 8082–8094. [Google Scholar]
- Cai, J.; Hao, J.; Yang, H.; Zhao, X.; Yang, Y. A Review on Semi-Supervised Clustering. Inf. Sci. 2023, 632, 164–200. [Google Scholar] [CrossRef]
- Torabi, H.; Mirtaheri, S.L.; Greco, S. Practical Autoencoder Based Anomaly Detection by Using Vector Reconstruction Error. Cybersecurity 2023, 6, 1. [Google Scholar] [CrossRef]
- Grandvalet, Y.; Bengio, Y. Semi-Supervised Learning by Entropy Minimization. Adv. Neural Inf. Process. Syst. 2004, 17, 529–536. [Google Scholar]
- Nielen, M.; Schukken, Y.H.; Van De Broek, J.; Brand, A.; Deluyker, H.A.; Maatje, K. Relations between On-Line Electrical Conductivity and Daily Milk Production on a Low Somatic Cell Count Farm. J. Dairy Sci. 1993, 76, 2589–2596. [Google Scholar] [CrossRef]
- Ebrahimie, E.; Ebrahimi, F.; Ebrahimi, M.; Tomlinson, S.; Petrovski, K.R. A Large-Scale Study of Indicators of Sub-Clinical Mastitis in Dairy Cattle by Attribute Weighting Analysis of Milk Composition Features: Highlighting the Predictive Power of Lactose and Electrical Conductivity. J. Dairy Res. 2018, 85, 193–200. [Google Scholar] [CrossRef]
- Tian, H.; Zhou, X.; Wang, H.; Xu, C.; Zhao, Z.; Xu, W.; Deng, Z. The Prediction of Clinical Mastitis in Dairy Cows Based on Milk Yield, Rumination Time, and Milk Electrical Conductivity Using Machine Learning Algorithms. Animals 2024, 14, 427. [Google Scholar] [CrossRef] [PubMed]
- Sharma, D.; Kaniamuthan, S.; Manimaran, A.; Kumaresan, A.; Sivaram, M.; Rajendran, D.; Wankhade, P.R.; Sejian, V.; Banu, S. Seasonal, Physiological and Bacteriological Risk Factors for Subclinical Mastitis in Dairy Cows Maintained under Different Farming Conditions. J. Dairy Res. 2023, 90, 164–172. [Google Scholar] [CrossRef] [PubMed]
- Malcata, F.B.; Pepler, P.T.; O’Reilly, E.L.; Brady, N.; Eckersall, P.D.; Zadoks, R.N.; Viora, L. Point-of-Care Tests for Bovine Clinical Mastitis: What Do We Have and What Do We Need? J. Dairy Res. 2020, 87, 60–66. [Google Scholar] [CrossRef] [PubMed]
- Tedeschi, L.O.; Greenwood, P.L.; Halachmi, I. Advancements in Sensor Technology and Decision Support Intelligent Tools to Assist Smart Livestock Farming. J. Anim. Sci. 2021, 99, skab038. [Google Scholar] [CrossRef] [PubMed]
- Vázquez Diosdado, J.A.; Barker, Z.E.; Hodges, H.R.; Amory, J.R.; Croft, D.P.; Bell, N.J.; Codling, E.A. Space-Use Patterns Highlight Behavioural Differences Linked to Lameness, Parity, and Days in Milk in Barn-Housed Dairy Cows. PLoS ONE 2018, 13, e0208424. [Google Scholar] [CrossRef]
- Oehm, A.W.; Knubben-Schweizer, G.; Rieger, A.; Stoll, A.; Hartnack, S. A Systematic Review and Meta-Analyses of Risk Factors Associated with Lameness in Dairy Cows. BMC Vet. Res. 2019, 15, 346. [Google Scholar] [CrossRef]
- Yang, X.; Daraz, U.; Ma, J.; Lu, X.; Feng, Q.; Zhu, H.; Wang, X.-B. Temporal–Spatial Variability of Grazing Behaviors of Yaks and the Drivers of Their Intake on the Eastern Qinghai-Tibetan Plateau. Front. Vet. Sci. 2024, 11, 1393136. [Google Scholar] [CrossRef]
- Showalter, S.; Gropp, J. Validating Weak-Form Market Efficiency in United States Stock Markets with Trend Deterministic Price Data and Machine Learning. arXiv 2019, arXiv:1909.05151. [Google Scholar] [CrossRef]
- Græsbøll, K.; Kirkeby, C.; Nielsen, S.S.; Halasa, T.; Toft, N.; Christiansen, L.E. Models to Estimate Lactation Curves of Milk Yield and Somatic Cell Count in Dairy Cows at the Herd Level for the Use in Simulations and Predictive Models. Front. Vet. Sci. 2016, 3, 115. [Google Scholar] [CrossRef]
- Kim, H.; Lee, J.T.; Fong, K.C.; Bell, M.L. Alternative Adjustment for Seasonality and Long-Term Time-Trend in Time-Series Analysis for Long-Term Environmental Exposures and Disease Counts. BMC Med. Res. Methodol. 2021, 21, 2. [Google Scholar] [CrossRef]
- Hossein-Zadeh, N.G.; Kuhi, H.D.; France, J.; López, S. Introducing a Sinusoidal Equation to Describe Lactation Curves for Cumulative Milk Yield and Composition in Holstein Cows. J. Dairy Res. 2020, 87, 220–225. [Google Scholar] [CrossRef] [PubMed]
- Maatje, K.; Huijsmans, P.J.M.; Rossing, W.; Hogewerf, P.H. The Efficacy of In-Line Measurement of Quarter Milk Electrical Conductivity, Milk Yield, and Milk Temperature for the Detection of Clinical and Subclinical Mastitis. Livest. Prod. Sci. 1992, 30, 239–249. [Google Scholar] [CrossRef]
- Argaw, A. Review on Epidemiology of Clinical and Subclinical Mastitis on Dairy Cows. Food Sci. Qual. Manag. 2016, 52, 56–65. [Google Scholar]
- Kamphuis, C.; Sherlock, R.; Jago, J.; Mein, G.; Hogeveen, H. Automatic Detection of Clinical Mastitis Is Improved by In-Line Monitoring of Somatic Cell Count. J. Dairy Sci. 2008, 91, 4560–4570. [Google Scholar] [CrossRef]
- Hogeveen, H.; Kamphuis, C.; Steeneveld, W.; Mollenhorst, H. Sensors and Clinical Mastitis—The Quest for the Perfect Alert. Sensors 2010, 10, 7991–8009. [Google Scholar] [CrossRef]
- Kamphuis, C.; Rue, B.D.; Eastwood, C.R. Field Validation of Protocols Developed to Evaluate In-Line Mastitis Detection Systems. J. Dairy Sci. 2016, 99, 1619–1631. [Google Scholar] [CrossRef]
- Chengolova, Z.; Ivanov, Y.; Grigorova, G. The Relationship of Bovine Milk Somatic Cell Count to Neutrophil Level in Samples of Cow’s Milk Assessed by an Automatic Cell Counter. J. Dairy Res. 2021, 88, 330–333. [Google Scholar] [CrossRef]
- Johnson, J.M.; Khoshgoftaar, T.M. Survey on Deep Learning with Class Imbalance. J. Big Data 2019, 6, 27. [Google Scholar] [CrossRef]
- Ghosh, K.; Bellinger, C.; Corizzo, R.; Branco, P.; Krawczyk, B.; Japkowicz, N. The Class Imbalance Problem in Deep Learning. Mach. Learn. 2024, 113, 4845–4901. [Google Scholar] [CrossRef]
- Bürkner, P.C.; Gabry, J.; Vehtari, A. Efficient Leave-One-Out Cross-Validation for Bayesian Non-Factorized Normal and Student-t Models. Comput. Stat. 2021, 36, 1243–1261. [Google Scholar] [CrossRef]
- Caruana, R.; Lawrence, S.; Giles, C. Overfitting in Neural Nets: Backpropagation, Conjugate Gradient, and Early Stopping. Adv. Neural Inf. Process. Syst. 2000, 13, 381–387. [Google Scholar]
- Cohen, J. Statistical Power Analysis for the Behavioral Sciences, 2nd ed.; Routledge: New York, NY, USA, 1988. [Google Scholar] [CrossRef]
- Kotlarz, K.; Mielczarek, M.; Biecek, P.; Wojdak-Maksymiec, K.; Suchocki, T.; Topolski, P.; Jagusiak, W.; Szyda, J. An Explainable Deep Learning Classifier of Bovine Mastitis Based on Whole-Genome Sequence Data—Circumventing the p >> n Problem. Int. J. Mol. Sci. 2024, 25, 4715. [Google Scholar] [CrossRef]
- Fawcett, T. An Introduction to ROC Analysis. Pattern Recognit. Lett. 2006, 27, 861–874. [Google Scholar] [CrossRef]
- Yacouby, R.; Axman, D. Probabilistic Extension of Precision, Recall, and F1 Score for More Thorough Evaluation of Classification Models. In Proceedings of the First Workshop on Evaluation and Comparison of NLP Systems, Virtual, 20 November 2020; pp. 79–91. [Google Scholar] [CrossRef]
- Kim, T.K. Understanding One-Way ANOVA Using Conceptual Figures. Korean J. Anesthesiol. 2017, 70, 22–26. [Google Scholar] [CrossRef] [PubMed]
- Abdi, H.; Williams, L.J. Tukey’s Honestly Significant Difference (HSD) Test. Encycl. Res. Des. 2010, 3, 1–5. [Google Scholar]
- Hyde, R.M.; Down, P.M.; Bradley, A.J.; Breen, J.E.; Hudson, C.; Leach, K.A.; Green, M.J. Automated Prediction of Mastitis Infection Patterns in Dairy Herds Using Machine Learning. Sci. Rep. 2020, 10, 4289. [Google Scholar] [CrossRef]
- Jin, C.; Upton, J.; Bazargani, M.H.Z.; Mac Namee, B. Using Milk Flow Profiles for Subclinical Mastitis Detection. Smart Agric. Technol. 2024, 9, 100537. [Google Scholar] [CrossRef]







| Farm Code | Number of Cows | Number of Data Points | ||||
|---|---|---|---|---|---|---|
| Normal (Health) | Abnormal (Mastitis) | |||||
| Clot | CMT | VO | Total | |||
| A (Cheonan-si) | 26 | 9272 | 23 | 35 | - | 58 |
| B (Dangjin-si) | 36 | 9751 | 2 | - | 41 | 43 |
| C (Asan-si) | 15 | 2179 | 11 | 33 | 16 | 60 |
| D (Asan-si) | 19 | 3892 | 24 | - | 6 | 30 |
| Mean Loss | Peak Loss | |||||
|---|---|---|---|---|---|---|
| AE | Ours | Cohen’s d | AE | Ours | Cohen’s d | |
| Mastitis | 0.01 ± 0.007 | 0.03 ± 0.012 | 2.04 | 0.06 ± 0.055 | 0.12 ± 0.061 | 1.03 |
| Non-mastitis | 0.01 ± 0.004 | 0.02 ± 0.009 | 1.44 | 0.08 ± 0.049 | 0.10 ± 0.047 | 0.42 |
| Threshold | Accuracy | Sensitivity | Specificity | F1-Score |
|---|---|---|---|---|
| 0.5 | 0.93 ± 0.024 a* | 0.65 ± 0.015 a | 0.94 ± 0.026 a | 0.35 ± 0.110 a |
| 0.6 | 0.94 ± 0.021 b | 0.62 ± 0.015 b | 0.95 ± 0.025 a | 0.37 ± 0.114 a |
| 0.7 | 0.95 ± 0.019 c | 0.59 ± 0.017 c | 0.96 ± 0.022 b | 0.39 ± 0.121 a |
| 0.8 | 0.96 ± 0.017 d | 0.55 ± 0.017 d | 0.97 ± 0.020 c | 0.41 ± 0.115 b |
| 0.9 | 0.97 ± 0.014 d | 0.44 ± 0.014 e | 0.98 ± 0.012 d | 0.40 ± 0.108 a,b |
Disclaimer/Publisher’s Note: The statements, opinions and data contained in all publications are solely those of the individual author(s) and contributor(s) and not of MDPI and/or the editor(s). MDPI and/or the editor(s) disclaim responsibility for any injury to people or property resulting from any ideas, methods, instructions or products referred to in the content. |
© 2024 by the authors. Licensee MDPI, Basel, Switzerland. This article is an open access article distributed under the terms and conditions of the Creative Commons Attribution (CC BY) license (https://creativecommons.org/licenses/by/4.0/).
Share and Cite
Cho, S.-H.; Lee, M.; Lee, W.-H.; Seo, S.; Lee, D.-H. Mastitis Classification in Dairy Cows Using Weakly Supervised Representation Learning. Agriculture 2024, 14, 2084. https://doi.org/10.3390/agriculture14112084
Cho S-H, Lee M, Lee W-H, Seo S, Lee D-H. Mastitis Classification in Dairy Cows Using Weakly Supervised Representation Learning. Agriculture. 2024; 14(11):2084. https://doi.org/10.3390/agriculture14112084
Chicago/Turabian StyleCho, Soo-Hyun, Mingyung Lee, Wang-Hee Lee, Seongwon Seo, and Dae-Hyun Lee. 2024. "Mastitis Classification in Dairy Cows Using Weakly Supervised Representation Learning" Agriculture 14, no. 11: 2084. https://doi.org/10.3390/agriculture14112084
APA StyleCho, S.-H., Lee, M., Lee, W.-H., Seo, S., & Lee, D.-H. (2024). Mastitis Classification in Dairy Cows Using Weakly Supervised Representation Learning. Agriculture, 14(11), 2084. https://doi.org/10.3390/agriculture14112084

