Effect of Different Irrigated Crop Successions on Soil Carbon and Nitrogen–Phosphorus–Potassium Budget Under Mediterranean Conditions
Abstract
1. Introduction
- (i)
- The succession of different crop species (C3 and C4 plants; annual and perennial) will ensure that both water and nutrients are used more efficiently.
- (ii)
- The autumn–winter fallow period, when rainfall is frequent, can eventually lead to nutrient and carbon losses, increasing soil degradation.
2. Materials and Methods
2.1. Site and Crop Description
2.2. Sampling and Data Collection
2.2.1. Soil Sampling
2.2.2. Irrigation Water Sampling
2.2.3. Yield and Plant Extractions
2.3. Balance of Soil C and Macronutrients NPK
2.4. Statistical Analysis
3. Results
3.1. Soil Chemical Properties
3.1.1. Soil Organic Matter and Soil Organic Carbon
3.1.2. NPK Soil Composition
3.1.3. C/N Ratio
3.2. NPK Content in Seed and Forage
3.3. Irrigation Water Inputs
3.4. Soil Organic Carbon Balance
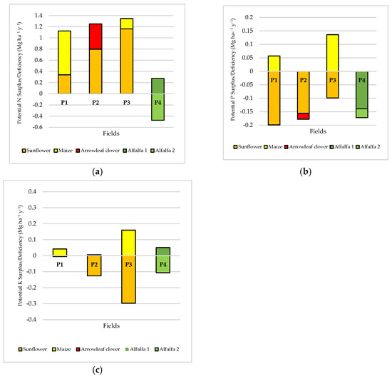
3.5. NPK Balance
4. Discussion
4.1. Carbon Balance
4.2. Nitrogen Balance
4.3. Phosphorus Balance
4.4. Potassium Balance
4.5. Practical Implications
4.6. Study Limitations
5. Conclusions
Supplementary Materials
Author Contributions
Funding
Institutional Review Board Statement
Data Availability Statement
Conflicts of Interest
References
- Adhikari, K.; Hartemink, A.E. Linking Soils to Ecosystem Services—A Global Review. Geoderma 2016, 262, 101–111. [Google Scholar] [CrossRef]
- Lehmann, J.; Bossio, D.A.; Kögel-Knabner, I.; Rillig, M.C. The Concept and Future Prospects of Soil Health. Nat. Rev. Earth Environ. 2020, 1, 544–553. [Google Scholar] [CrossRef] [PubMed]
- Olsson, L. Politics of Soils and Agriculture in a Warming World. In Regenerative Agriculture: What’s Missing? What Do We Still Need To Know? Springer: Berlin/Heidelberg, Germany, 2021; pp. 21–30. ISBN 978-3-030-72224-1. [Google Scholar]
- Lee, H.; Lautenbach, S.; Paula, A.; García-Nieto, A.; Bondeau, A.; Cramer, W.; Geijzendorffer, I.R. The Impact of Conservation Farming Practices on Mediterranean Agro-Ecosystem Services Provisioning-a Meta Analysis. Reg. Environ. Change 2019, 19, 2187–2202. [Google Scholar] [CrossRef]
- Panettieri, M.; de Sosa, L.L.; Domínguez, M.T.; Madejón, E. Long-Term Impacts of Conservation Tillage on Mediterranean Agricultural Soils: Shifts in Microbial Communities despite Limited Effects on Chemical Properties. Agric. Ecosyst. Environ. 2020, 304, 107144. [Google Scholar] [CrossRef]
- Stagnari, F.; Pagnani, G.; Galieni, A.; D’Egidio, S.; Matteucci, F.; Pisante, M. Effects of Conservation Agriculture Practices on Soil Quality Indicators: A Case-Study in a Wheat-Based Cropping Systems of Mediterranean Areas. Soil Sci. Plant Nutr. 2020, 66, 624–635. [Google Scholar] [CrossRef]
- Blanc, L.; Rezgui, F.; Hossard, L.; Lampurlanés, J.; Simon-Miquel, G.; Plaza-Bonilla, D. Performance of Co-Designed Diversified Mediterranean Cropping Systems: Hybridizing Stakeholders’ Knowledge and Modelling Data. Eur. J. Agron. 2024, 159, 127282. [Google Scholar] [CrossRef]
- Li, A.; Wu, Y.; Tai, X.; Cao, S.; Gao, T. Effects of Alfalfa Crop Rotation on Soil Nutrients and Loss of Soil and Nutrients in Semi-Arid Regions. Sustainability 2023, 15, 15164. [Google Scholar] [CrossRef]
- Cruz Colazo, J.; de Dios Herrero, J.; Sager, R.; Guzmán, M.L.; Zaman, M. Contribution of Integrated Crop Livestock Systems to Climate Smart Agriculture in Argentina. Land 2022, 11, 2060. [Google Scholar] [CrossRef]
- Ferreira, C.S.S.; Seifollahi-Aghmiuni, S.; Destouni, G.; Ghajarnia, N.; Kalantari, Z. Soil Degradation in the European Mediterranean Region: Processes, Status and Consequences. Sci. Total Environ. 2022, 805, 150106. [Google Scholar] [CrossRef]
- Crews, T.E.; Blesh, J.; Culman, S.W.; Hayes, R.C.; Jensen, E.S.; Mack, M.C.; Peoples, M.B.; Schipanski, M.E. Going Where No Grains Have Gone before: From Early to Mid-Succession. Agric. Ecosyst. Environ. 2016, 223, 223–238. [Google Scholar] [CrossRef]
- Harmanny, K.S.; Malek, Ž. Adaptations in Irrigated Agriculture in the Mediterranean Region: An Overview and Spatial Analysis of Implemented Strategies. Reg. Environ. Change 2019, 19, 1401–1416. [Google Scholar] [CrossRef] [PubMed]
- Instituto Nacional de Estatística, I.P. Estatísticas Agrícolas—2023; INE: Lisbon, Portugal, 2024; ISBN 978-989-25-0680-7. [Google Scholar]
- EDIA. Anuário Agrícola de Alqueva 2023; EDIA: Alqueva, Portugal, 2024. [Google Scholar]
- Anglade, J.; Billen, G.; Garnier, J. Relationships for Estimating N2 Fixation in Legumes: Incidence for N Balance of Legume-Based Cropping Systems in Europe. Ecosphere 2015, 6, art37. [Google Scholar] [CrossRef]
- Autret, B.; Beaudoin, N.; Rakotovololona, L.; Bertrand, M.; Grandeau, G.; Gréhan, E.; Ferchaud, F.; Mary, B. Can Alternative Cropping Systems Mitigate Nitrogen Losses and Improve GHG Balance? Results from a 19-Yr Experiment in Northern France. Geoderma 2019, 342, 20–33. [Google Scholar] [CrossRef]
- Poyda, A.; Levin, K.S.; Hülsbergen, K.-J.; Auerswald, K. Perennial Crops Can Compensate for Low Soil Carbon Inputs from Maize in Ley-Arable Systems. Plants 2023, 12, 29. [Google Scholar] [CrossRef] [PubMed]
- King, A.E.; Congreves, K.A.; Deen, B.; Dunfield, K.E.; Simpson, M.J.; Voroney, R.P.; Wagner-Riddle, C. Crop Rotations Differ in Soil Carbon Stabilization Efficiency, but the Response to Quality of Structural Plant Inputs Is Ambiguous. Plant Soil 2020, 457, 207–224. [Google Scholar] [CrossRef]
- Yang, M.; Yang, H. Utilization of Soil Residual Phosphorus and Internal Reuse of Phosphorus by Crops. PeerJ 2021, 9, e11704. [Google Scholar] [CrossRef]
- Zhao, S.; He, P.; Qiu, S.; Jia, L.; Liu, M.; Jin, J.; Johnston, A.M. Long-Term Effects of Potassium Fertilization and Straw Return on Soil Potassium Levels and Crop Yields in North-Central China. Field Crops Res. 2014, 169, 116–122. [Google Scholar] [CrossRef]
- Singh, V.K.; Dwivedi, B.S.; Yadvinder-Singh; Singh, S.K.; Mishra, R.P.; Shukla, A.K.; Rathore, S.S.; Shekhawat, K.; Majumdar, K.; Jat, M.L. Effect of Tillage and Crop Establishment, Residue Management and K Fertilization on Yield, K Use Efficiency and Apparent K Balance under Rice-Maize System in North-Western India. Field Crops Res. 2018, 224, 1–12. [Google Scholar] [CrossRef]
- IPMA Climate Normal—1981–2020-Beja. Available online: https://www.ipma.pt/en/oclima/normais.clima/1981-2010#562 (accessed on 30 July 2024).
- COTR SAGRA—Sistema Agrometeorológico Para a Gestão Da Rega No Alentejo. Available online: https://www.cotr.pt/servicos/sagra.php (accessed on 30 July 2024).
- IUSS Working Group. WRB World Reference Base for Soil Resources 2014; World Soil Resources Report; FAO: Rome, Italy, 2015; p. 203. [Google Scholar]
- Tomaz, A.; Costa, M.J.; Coutinho, J.; Dôres, J.; Catarino, A.; Martins, I.; Mourinha, C.; Guerreiro, I.; Pereira, M.M.; Fabião, M.; et al. Applying Risk Indices to Assess and Manage Soil Salinization and Sodification in Crop Fields within a Mediterranean Hydro-Agricultural Area. Water 2021, 13, 3070. [Google Scholar] [CrossRef]
- Varennes, A. De Produtividade Dos Solos e Ambiente (Productivity of Soils and Environment); Escolar Editora: Lisboa, Portugal, 2003; ISBN 972-592-156-9. [Google Scholar]
- Walkley, A.; Black, A. An Examination of the Degtjareff Method for Determining Soil Organic Matter, and a Proposed Modification of the Chromic Acid Titration Method. Soil Sci. 1934, 37, 29–38. [Google Scholar] [CrossRef]
- Kjeldahl, J.G.C.T. Neue Methode Zur Bestimmung Des Stickstoffs in Organischen Körpern. Z. Für Anal. Chem. 1883, 22, 366–382. [Google Scholar] [CrossRef]
- Egnér, H.; Riehm, H.; Domingo, W.R. Untersuchungen Über Die Chemische Bodenanalyse Als Grundlage Für Die Beurteilung Des Nährstoffzustandes Der Böden. II. Chemische Extraktionsmethoden Zur. Phosphor-Und Kaliumbestimmung. K. Lantbr. Ann. 1960, 26, 199–215. [Google Scholar]
- ISO 11277-2020; Soil Quality—Determination of Particle Size Distribution in Mineral Soil Material—Method by Sieving and Sedimentation. WTO: Geneva, Switzerland, 2020.
- ISO 11260:2018; Soil Quality – Determination of Effective Cation Exchange Capacity and Base Saturation Level Using Barium Chloride Solution. WTO: Geneva, Switzerland, 2018.
- APHA. Standard Methods for the Examination of Water and Wastewater; APHA: Washington, DC, USA, 1998. [Google Scholar]
- Pacheco, C.A.; Oliveira, A.; Tomaz, A. Effects of Mineral and Organic Fertilization on Forage Maize Yield, Soil Carbon Balance, and NPK Budgets, Under Rainfed Conditions in the Azores Islands (Portugal). Int. J. Plant Prod. 2023, 17, 463–475. [Google Scholar] [CrossRef]
- Pieri, L.; Ventura, F.; Vignudelli, M.; Rossi, P. Nitrogen Balance in a Hilly Semi-Agricultural Watershed in Northern Italy. Ital. J. Agron. 2011, 6, 12. [Google Scholar] [CrossRef]
- IBM Corp. IBM SPSS Statistics for Windows, Version 29.0.0.0 (241); IBM Corp.: Armonk, NY, USA, 2022. [Google Scholar]
- Tomaz, A.; Martins, I.; Catarino, A.; Mourinha, C.; Dôres, J.; Fabião, M.; Boteta, L.; Coutinho, J.; Patanita, M.; Palma, P. Insights into the Spatial and Temporal Variability of Soil Attributes in Irrigated Farm Fields and Correlations with Management Practices: A Multivariate Statistical Approach. Water 2022, 14, 3216. [Google Scholar] [CrossRef]
- Gomes, M.P.; Silva, A.A. Um Novo Diagrama Triangular Para a Classificação Básica Da Textura Do Solo. Garcia Da Orta 1962, 10, 171–179. [Google Scholar]
- Panagos, P.; De Rosa, D.; Liakos, L.; Labouyrie, M.; Borrelli, P.; Ballabio, C. Soil Bulk Density Assessment in Europe. Agric. Ecosyst. Environ. 2024, 364, 108907. [Google Scholar] [CrossRef]
- Van Bemmelen, J.M. Über Die Bestimmung Des Wassers, Des Humus, Des Schwefels, Der in Den Colloïdalen Silikaten Gebundenen Kieselsäure, Des Mangans u. s. w. Im Ackerboden. Die Landwirthschaftlichen Vers.-Station. 1890, 37, 279–290. [Google Scholar]
- Veloso, A.; Sempiterno, C.; Calouro, F.; Rebelo, F.; Pedra, F.; Castro, I.V.; Gonçalves, M.C.; Marcelo, M.E.; Pereira, P.; Fareleira, P.; et al. Manual de Fertilização das Culturas, 3rd ed.; INIAV: Lisboa, Portugal, 2022; ISBN 978-972-579-063-2. [Google Scholar]
- Tunesi, S.; Poggi, V.; Gessa, C. Phosphate Adsorption and Precipitation in Calcareous Soils: The Role of Calcium Ions in Solution and Carbonate Minerals. Nutr. Cycl. Agroecosyst. 1999, 53, 219–227. [Google Scholar] [CrossRef]
- Weil, R.R.; Brady, N.C. The Nature and Properties of Soils, 15th ed.; Prentice Hall: Upper Saddle River, NJ, USA, 2017; ISBN 978-0-13-325448-8. [Google Scholar]
- Chatterjee, D.; Datta, S.C.; Manjaiah, K.M. Fractions, Uptake and Fixation Capacity of Phosphorus and Potassium in Three Contrasting Soil Orders. J. Soil Sci. Plant Nutr. 2014, 14, 640–656. [Google Scholar] [CrossRef]
- Portela, E.; Abreu, M.M. Fixação do potássio nos solos portugueses. Rev. Ciênc. Agrárias. [CrossRef]
- Instituto Ricardo Jorge Tabela de Composição Dos Alimentos - INSA TCA V6.0 2023. Available online: https://portfir-insa.min-saude.pt/ (accessed on 28 May 2024).
- Martin, N.P.; Mertens, D.; Hatfield, R.; Jung, H. Alfalfa: Forage Crop of the Future. 2008. Available online: https://uknowledge.uky.edu/cgi/viewcontent.cgi?article=1072&context=ky_alfalfa (accessed on 28 May 2024).
- Lissbrant, S.; Berg, W.K.; Volenec, J.; Brouder, S.; Joern, B.; Cunningham, S.; Johnson, K. Phosphorus and Potassium Fertilization of Alfalfa. Purdue University Extension Bulletin, AY-331-W. 2009. Available online: https://www.extension.purdue.edu/extmedia/ay/ay-331-w.pdf (accessed on 10 March 2024).
- Pederson, G.A.; Brink, G.E.; Fairbrother, T.E. Nutrient Uptake in Plant Parts of Sixteen Forages Fertilized with Poultry Litter. Agron. J. 2002, 94, 895. [Google Scholar] [CrossRef]
- Moir, J.; Jordan, P.; Moot, D.; Lucas, D. Phosphorus Response and Optimum PH Ranges of Twelve Pasture Legumes Grown in an Acid Upland New Zealand Soil under Glasshouse Conditions. J. Soil Sci. Plant Nutr. 2016, 16, 438–460. [Google Scholar] [CrossRef]
- Diário da República 2 Série, 25. Available online: https://files.dre.pt/2s/2018/02/025000000/0413204170.pdf (accessed on 28 May 2024).
- Reicosky, D.C. Carbon Management in Conservation Agriculture Systems. In Regenerative Agriculture: What’s Missing? What Do We Still Need To Know? Springer: Berlin/Heidelberg, Germany, 2021; pp. 33–46. [Google Scholar]
- Rhodes, C.J. The 2015 Paris Climate Change Conference: Cop21. Sci. Prog. 2016, 99, 97–104. [Google Scholar] [CrossRef]
- Lal, R. Beyond COP 21: Potential and Challenges of the “4 per Thousand” Initiative. J. Soil Water Conserv. 2016, 71, 20A–25A. [Google Scholar] [CrossRef]
- Giannini, V.; Raimondi, G.; Toffanin, A.; Maucieri, C.; Borin, M. Agronomic Management Strategies to Increase Soil Organic Carbon in the Short-Term: Evidence from on-Farm Experimentation in the Veneto Region. Plant Soil 2023, 491, 561–574. [Google Scholar] [CrossRef]
- Liu, J.; Fang, L.; Qiu, T.; Chen, J.; Wang, H.; Liu, M.; Yi, J.; Zhang, H.; Wang, C.; Sardans, J.; et al. Crop Residue Return Achieves Environmental Mitigation and Enhances Grain Yield: A Global Meta-Analysis. Agron. Sustain. Dev. 2023, 43, 78. [Google Scholar] [CrossRef]
- Liu, X.; Herbert, S.J.; Hashemi, A.M.; Zhang, X.; Ding, G. Effects of Agricultural Management on Soil Organic Matter and Carbon Transformation—A Review. Plant Soil Environ. 2006, 52, 531–543. [Google Scholar] [CrossRef]
- Billen, G.; Garnier, J.; Benoit, M.; Juliette, A. The Nitrogen. Cascade in Arable Crop Areas of the North. of France. Cah. Agric. 2013, 22, 272–281. [Google Scholar] [CrossRef]
- Organisation for Economic Co-operation and Development. Environmental Indicators for Agriculture, 2nd ed.; OECD: Paris, France; Washington, DC, USA, 1997; ISBN 978-92-64-15315-8. [Google Scholar]
- Kong, M.; Kang, J.; Han, C.-L.; Gu, Y.-J.; Siddique, K.H.M.; Li, F.-M. Nitrogen, Phosphorus, and Potassium Resorption Responses of Alfalfa to Increasing Soil Water and P Availability in a Semi-Arid Environment. Agronomy 2020, 10, 310. [Google Scholar] [CrossRef]
- de Castro, C.; de Oliveira, F.A. Nutrição e Adubação do Girassol. In Girassol no Brasil; Embrapa Soja: Londrina, Brazil, 2005; pp. 317–373. [Google Scholar]
- Bossolani, J.W.; Meneghette, H.H.A.; Sanches, I.R.; Dos Santos, F.L.; Parra, L.F.; Lazarini, E. 5-Year Effects of Potassium Fertilization Levels on Nutrition Balance and Yield in the Maize/Soybean Succession. Commun. Soil Sci. Plant Anal. 2022, 53, 2017–2028. [Google Scholar] [CrossRef]




| Field | Crop 1 (2018) | Crop 2 (2019) | Latitude | Longitude |
|---|---|---|---|---|
| P1 | Sunflower | Maize | 37°57′22.32″ N | 7°30′36.72″ W |
| P2 | Sunflower | Arrowleaf clover | 37°56′1.01″ N | 7°31′25.40″ W |
| P3 | Maize | Sunflower | 37°58′22.99″ N | 7°33′26.61″ W |
| P4 | Alfalfa | Alfalfa | 37°57′36.03″ N | 7°29′18.35″ W |
| Field | Year | Crop | Sowing Date (dd/mm) | Harvest (dd/mm) | Cycle Length (d) | Yield (kg DW ha−1) |
|---|---|---|---|---|---|---|
| P1 | 2018 | Sunflower | 18/04 | 27/08 | 131 | 3226 |
| 2019 | Maize | 13/06 | 17/11 | 157 | 9853 | |
| P2 | 2018 | Sunflower | 27/04 | 18/09 | 143 | 3280 |
| 2019 | Arrowleaf clover | 3/01 | 24/08 | 233 | 1590 | |
| P3 | 2018 | Maize | 18/07 | 17/01/19 | 183 | 4851 |
| 2019 | Sunflower | 16/05 | 15/09 | 122 | 3156 | |
| P4 | 2018 | Alfalfa | Permanent pasture | 3 to 4 cuts per year | Permanent pasture | 2376 (1) |
| 2019 | Alfalfa |
| Field | Year | Crop | Irrigation Period (dd/mm) * | Irrigation Volume (m3 ha−1) | Fertilizer N (kg N ha−1) | Fertilizer P (kg P2O5 ha−1) | Fertilizer K (kg K2O ha−1) |
|---|---|---|---|---|---|---|---|
| P1 | 2018 | Sunflower | 19/04–1/08 | 2517 | 127 | 34 | 0 |
| 2019 | Maize | June–September | 7500 | 253 | 0 | 0 | |
| Total | 10,017 | 380 | 34 | 0 | |||
| P2 | 2018 | Sunflower | 28/04–26/08 | 4606 | 109 | 40 | 12 |
| 2019 | Arrowleaf clover | 8/04–24/06 | 1510 | 0 | 88 | 0 | |
| Total | 6116 | 109 | 128 | 12 | |||
| P3 | 2018 | Maize | 18/07–4/10 | 4800 | 202 | 144 | 216 |
| 2019 | Sunflower | 20/05–30/08 | 3570 | 81 | 19 | 20 | |
| Total | 8370 | 283 | 163 | 236 | |||
| P4 | 2018 | Alfalfa | May–August | 4000 | 10 | 10 | 0 |
| 2019 | Alfalfa | 4000 | 0 | 0 | 0 | ||
| Total | 8000 | 10 | 10 | 0 |
| Field/Crop Succession | Soil Layer | Soil Organic Carbon (g C kg−1) | LS (2) | ||
|---|---|---|---|---|---|
| Crop1 Start | Crop1 End/ Crop2 Start | Crop2 End | |||
| P1 Sunflower Maize | 0–20 cm | 9.17 Aa | 6.99 Ab | 5.81 Ab | *** |
| 20–40 cm | 9.91 Aa | 6.51 Ab | 5.67 Ab | ||
| LS (3) | ns | ||||
| P2 Sunflower Arrowleaf clover | 0–20 cm | 7.42 Ab | 11.21 Aa | 4.09 b | *** |
| 20–40 cm | 4.80 Ab | 10.72 Aa | (1) | ||
| LS (3) | ns | ||||
| P3 Maize Sunflower | 0–20 cm | 6.57 Ab | 11.08 Aa | 9.30 Aa | *** |
| 20–40 cm | 4.78 Ab | 9.74 Aa | 8.74 Aa | ||
| LS (3) | ns | ||||
| P4 Alfalfa Alfalfa | 0–20 cm | 8.39 Aa | 8.70 Aa | 5.15 Ab | *** |
| 20–40 cm | 6.16 Ba | 5.32 Ba | 2.46 Bb | ||
| LS (3) | *** | ||||
| Field/Crop Succession | Nutrient | Soil Layer | Crop1 Start | Crop1 End/ Crop2 Start | Crop2 End | LS (2) |
|---|---|---|---|---|---|---|
| P1 Sunflower Maize | TN (mg kg−1) | 0–20 cm | 789.33 Ab | 859.56 Ab | 1033.00 Aa | *** |
| 20–40 cm | 694.56 Bb | 780.67 Bb | 988.22 Ba | |||
| LS (3) | *** | |||||
| P2O5 (mg kg−1) | 0–20 cm | 248.62 Aa | 124.45 Ab | 148.57 Ab | *** | |
| 20–40 cm | 144.85 Ba | 106.20 Ba | 123.12 Ba | ns | ||
| LS (3) | *** | |||||
| K2O (mg kg−1) | 0–20 cm | 115.07 Aa | 106.57 Aa | 94.98 Aa | ns | |
| 20–40 cm | 94.82 Aa | 96.99 Aa | 86.27 Aa | |||
| LS (3) | ns | |||||
| P2 Sunflower Arrowleaf clover | TN (g kg−1) | 0–20 cm | 608.22 Ab | 731.11 Aa | 775.67 a | *** |
| 20–40 cm | 489.33 Bb | 674.33 Ba | (1) | |||
| LS (3) | *** | |||||
| P2O5 (mg kg−1) | 0–20 cm | 221.34 Aa | 143.64 Ab | 115.81 b | *** | |
| 20–40 cm | 131.13 Ba | 84.18 Bb | (1) | *** | ||
| LS (3) | *** | |||||
| K2O (mg kg−1) | 0–20 cm | 206.59 Aa | 149.26 Ab | 143.22 b | *** | |
| 20–40 cm | 140.34 Ba | 139.38 Aa | (1) | ns | ||
| LS (3) | *** | ns | ||||
| P3 Maize Sunflower | TN (g kg−1) | 0–20 cm | 794.25 Ab | 793.25 Ab | 1049.42 Aa | *** |
| 20–40 cm | 571.25 Bb | 702.92 Bb | 917.50 Ba | |||
| LS (3) | *** | |||||
| P2O5 (mg kg−1) | 0–20 cm | 228.30 Aa | 335.12 Aa | 235.23 Aa | ns | |
| 20–40 cm | 118.35 Bb | 186.79 Ba | 197.35 Ba | *** | ||
| LS (3) | *** | |||||
| K2O (mg kg−1) | 0–20 cm | 236.78 Ab | 367.04 Aa | 226.28 Ab | *** | |
| 20–40 cm | 150.23 Ba | 182.76 Ba | 195.35 Aa | ns | ||
| LS (3) | *** | *** | ns | |||
| P4 Alfalfa Alfalfa | Total N (g kg−1) | 0–20 cm | 908.53 Aa | 1001.73 Aa | 850.87 Aa | ns |
| 20–40 cm | 703.40 Ba | 682.53 Ba | 598.47 Ba | |||
| LS (3) | *** | |||||
| P2O5 (mg kg−1) | 0–20 cm | 228.81 Aa | 195.62 Aab | 162.83 Ab | ** | |
| 20–40 cm | 163.30 Ba | 76.50 Bb | 76.27 Bb | *** | ||
| LS (3) | *** | |||||
| K2O (mg kg−1) | 0–20 cm | 161.23 Aa | 166.49 Aa | 119.73 Ab | *** | |
| 20–40 cm | 134.99 Aa | 116.92 Bab | 98.42 Bb | * | ||
| LS (3) | ns | *** | * | |||
| Field/Crop Succession | Crop1 Start | Crop1 End/ Crop2 Start | Crop2 End | LS (1) |
|---|---|---|---|---|
| P1 Sunflower Maize | 13.15 Aa | 8.36 Bb | 5.67 Bc | *** |
| P2 Sunflower Arrowleaf clover | 11.38 Ab | 15.40 Aa | 5.14 Bc | ** |
| P3 Maize Sunflower | 8.27 Bb | 13.93 Aa | 9.43 Ab | *** |
| P4 Alfalfa Alfalfa | 8.83 Ba | 8.29 Ba | 5.71 Bb | *** |
| LS (2) | *** | *** | *** |
| Field | Year | Crop | N (kg ha−1) | P (kg ha−1) | K (kg ha−1) |
|---|---|---|---|---|---|
| P1 | 2018 | Sunflower (1) | 79.27 ± 3.29 | 1.44 ± 0.19 | 23.72 ± 3.83 |
| 2019 | Maize (1) | 53.15 ± 0.44 | 12.13 ± 1.23 | 137.30 ± 6.15 | |
| Total | 132.42 | 13.57 | 161.02 | ||
| P2 | 2018 | Sunflower (1) | 93.07 ± 6.55 | 2.89 ± 0.23 | 37.34 ± 2.65 |
| 2019 | Arrowleaf clover (1) | 74.18 ± 2.55 | 8.04 ± 1.21 | 20.53 ± 1.35 | |
| Total | 167.25 | 10.93 | 57.87 | ||
| P3 | 2018 | Maize (1) | 56.19 ± 3.34 | 1.31 ± 0.12 | 17.28 ± 2.34 |
| 2019 | Sunflower (1) | 20.20 ± 0.05 | 10.62 ± 1.85 | 18.19 ± 1.68 | |
| Total | 76.39 | 11.93 | 35.47 | ||
| P4 | 2018 | Alfalfa (2) | 98.59 ± 11.78 | 0.88 ± 0.15 | 87.93 ± 7.39 |
| 2019 | Alfalfa (2) | 70.52 ± 8.06 | 4.78 ± 0.81 | 43.10 ± 8.46 | |
| Total | 169.11 | 5.66 | 131.03 |
| Field | Year | Crop | TN (kg ha−1) | P (kg ha−1) | K (kg ha−1) |
|---|---|---|---|---|---|
| P1 | 2018 | Sunflower | 4.60 ± 0.06 | 0.26 ± 0.02 | 15.51 ± 0.28 |
| 2019 | Maize | 12.94 ± 0.80 | 0.71 ± 0.05 | 48.03 ± 0.43 | |
| Total | 17.54 | 0.97 | 63.54 | ||
| P2 | 2018 | Sunflower | 4.93 ± 0.09 | 0.63 ± 0.03 | 27.22 ± 0.00 |
| 2019 | Arrowleaf clover | 0.92 ± 02 | 0.05 ± 0.00 | 8.80 ± 0.09 | |
| Total | 5.85 | 0.68 | 36.02 | ||
| P3 | 2018 | Maize | 6.30 ± 0.10 | 0.80 ± 0.03 | 28.98 ± 0.53 |
| 2019 | Sunflower | 2.50 ± 0.05 | 0.11 ± 0.00 | 20.80 ± 0.41 | |
| Total | 8.80 | 0.91 | 49.78 | ||
| P4 | 2018 | Alfalfa | 1.67 ± 0.02 | 0.17 ± 0.05 | 9.31 ± 0.17 |
| 2019 | Alfalfa | 0.98 ± 0.06 | 0.05 ± 0.00 | 8.90 ± 0.09 | |
| Total | 2.65 | 0.22 | 18.21 |
Disclaimer/Publisher’s Note: The statements, opinions and data contained in all publications are solely those of the individual author(s) and contributor(s) and not of MDPI and/or the editor(s). MDPI and/or the editor(s) disclaim responsibility for any injury to people or property resulting from any ideas, methods, instructions or products referred to in the content. |
© 2024 by the authors. Licensee MDPI, Basel, Switzerland. This article is an open access article distributed under the terms and conditions of the Creative Commons Attribution (CC BY) license (https://creativecommons.org/licenses/by/4.0/).
Share and Cite
Neto, C.; Catarino, A.; Sobreiro, J.; das Dores, J.; Patanita, M.; Tomaz, A.; Palma, P. Effect of Different Irrigated Crop Successions on Soil Carbon and Nitrogen–Phosphorus–Potassium Budget Under Mediterranean Conditions. Agriculture 2024, 14, 1908. https://doi.org/10.3390/agriculture14111908
Neto C, Catarino A, Sobreiro J, das Dores J, Patanita M, Tomaz A, Palma P. Effect of Different Irrigated Crop Successions on Soil Carbon and Nitrogen–Phosphorus–Potassium Budget Under Mediterranean Conditions. Agriculture. 2024; 14(11):1908. https://doi.org/10.3390/agriculture14111908
Chicago/Turabian StyleNeto, Cláudia, Adriana Catarino, Justino Sobreiro, José das Dores, Manuel Patanita, Alexandra Tomaz, and Patrícia Palma. 2024. "Effect of Different Irrigated Crop Successions on Soil Carbon and Nitrogen–Phosphorus–Potassium Budget Under Mediterranean Conditions" Agriculture 14, no. 11: 1908. https://doi.org/10.3390/agriculture14111908
APA StyleNeto, C., Catarino, A., Sobreiro, J., das Dores, J., Patanita, M., Tomaz, A., & Palma, P. (2024). Effect of Different Irrigated Crop Successions on Soil Carbon and Nitrogen–Phosphorus–Potassium Budget Under Mediterranean Conditions. Agriculture, 14(11), 1908. https://doi.org/10.3390/agriculture14111908

