Evaluation of Nitrogen Fertilizer Supply and Soil Nitrate Thresholds for High Yields of Foxtail Millet
Abstract
1. Introduction
2. Materials and Methods
2.1. Study Sites
2.2. Experimental Design and Project Measurements
2.3. Statistical Analysis
3. Results
3.1. Agronomic Traits under Different Nitrogen Application Levels
3.2. Grain Yield of Foxtail Millet under Different Nitrogen Application Levels
3.3. Yield Related Traits under Different Nitrogen Application Levels
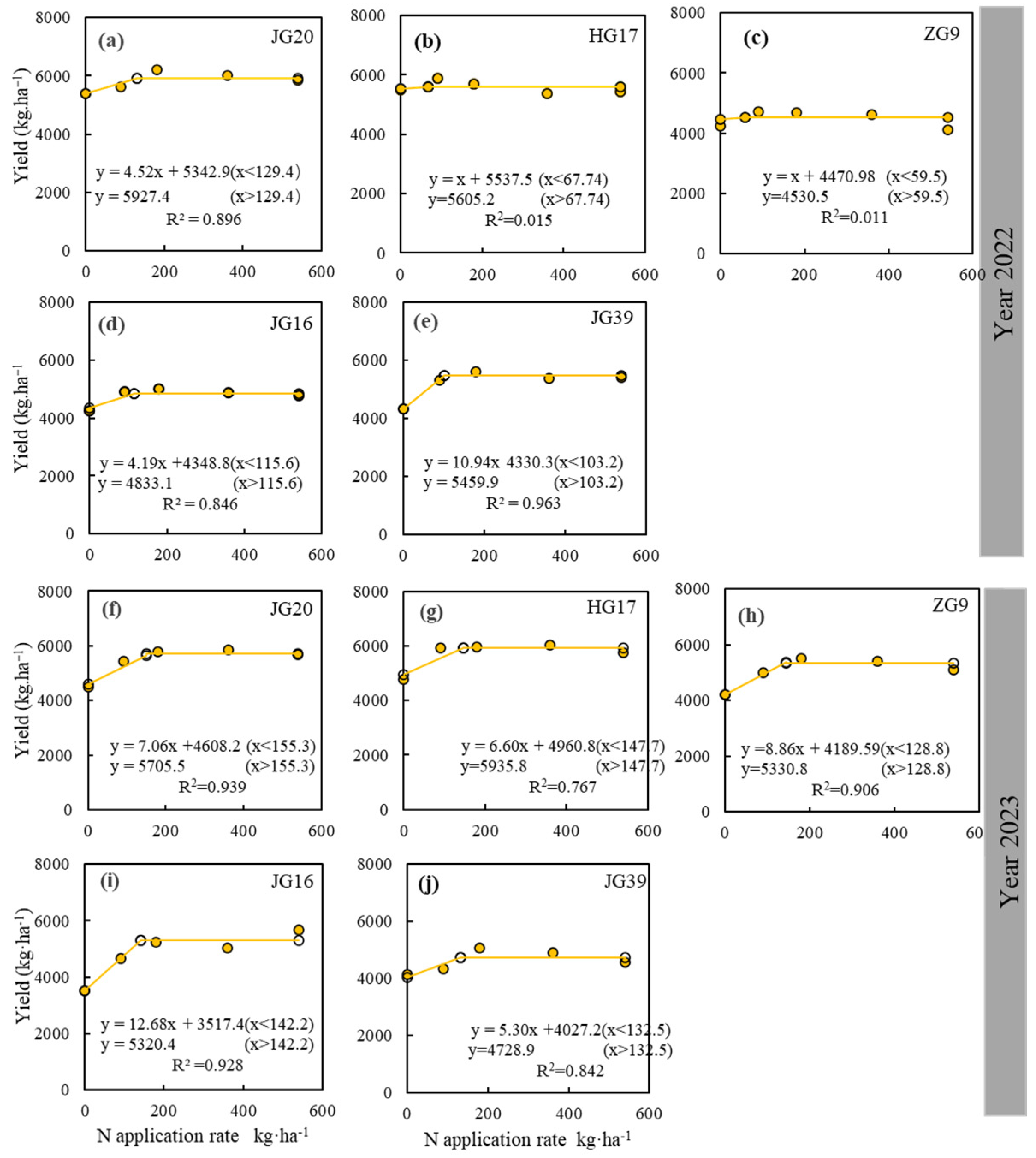
3.4. Relationship between Yield and Nitrogen Fertilizer Application Levels
3.5. Soil NH4+-N and NO3−-N Content before Sowing and at Maturity
3.6. Relationship between Soil NO3−-N Content and Yield under Different Nitrogen Application Levels
3.7. The Relationship between Optimal Nitrogen Application Levels and Soil Nitrate Availability
4. Discussion
4.1. High Yield of Foxtail Millet Depended on Rational Nutrient Management
4.2. The Availability of Soil Nitrate Nitrogen Was a Direct Factor Influencing Yield of Foxtail Millet
4.3. Proper Nitrogen Management Was Important to Maintain Soil Fertility and Reduce Environmental Risks
5. Conclusions
Supplementary Materials
Author Contributions
Funding
Data Availability Statement
Acknowledgments
Conflicts of Interest
References
- Lu, L.; Wang, Q.; Zhang, W.; Gao, M.; Xv, Y.; Li, S.J.; Dong, H.S.; Chen, D.L.; Peng, Y.; Dong, Z.Q. Urea Coated with Polyaspartic Acid-Chitosan Increases Foxtail Millet (Setaria italica L. Beauv.) Grain Yield by Improving Nitrogen Metabolism. Plants 2024, 13, 415. [Google Scholar] [CrossRef] [PubMed]
- Chu, Q.H.; Liu, H.L.; Yan, J.L. Study on the mechanism of loess soil fertilization and millet fertilizer absorption. J. Shanxi Agric. Univ. 1987, 1, 51–59, (In Chinese with English Abstract). [Google Scholar]
- Zheng, T.; Wang, S.; Wang, M.; Mao, J.; Xu, Y.; Ren, J.; Liu, Y.; Liu, S.; Qiao, Z.; Cao, X. Effect of Different Fertilizer Types on Quality of Foxtail Millet under Low Nitrogen Conditions. Plants 2024, 13, 1830. [Google Scholar] [CrossRef]
- Nan, Z.W.; Liu, S.T.; Yuan, M.Z.; Liu, J.T.; Xin, L.; Chen, J.P. Long-term positioning of nitrate nitrogen and ammonium nitrogen accumulation characteristics of fertilized soil and their relationship with maize yield. J. North China Agric. Sci. 2016, 31, 176–181, (In Chinese with English Abstract). [Google Scholar]
- Ju, C.X.; Buresh, R.J.; Wang, Z.Q.; Zhang, H.; Liu, L.J.; Yang, J.C.; Zhang, J.H. Root and shoot traits for rice varieties with higher grain yield and higher nitrogen use efficiency at lower nitrogen rates application. Field Crops Res. 2015, 175, 47–55. [Google Scholar] [CrossRef]
- Chu, G.; Chen, S.; Xu, C.M.; Wang, D.Y.; Zhang, X.F. Agronomic and physiological performance of indica/japonica hybrid rice cultivar under low nitrogen conditions. Field Crops Res. 2019, 243, 107625. [Google Scholar] [CrossRef]
- Feng, Y.Z.; Guo, Z.Y.; Zhong, L.H.; Zhao, F.; Zhang, J.B.; Lin, X.G. Balanced fertilization decreases environmental filtering on soil bacterial community assemblage in North China. Front. Microbiol. 2017, 8, 2376. [Google Scholar] [CrossRef] [PubMed]
- Yousaf, M.; Li, J.F.; Lu, J.; Ren, T.; Cong, R.H.; Fahad, S.; Li, X.K. Effects of fertilization on crop production and nutrient supplying capacity under rice-oiled rape rotation system. Sci. Rep. 2017, 7, 1270. [Google Scholar] [CrossRef]
- Ren, N.; Wang, Y.; Ye, Y.L.; Zhao, Y.N.; Huang, Y.F.; Fu, W.; Chu, X. Effects of continuous nitrogen fertilizer application on the diversity and composition of rhizosphere soil bacteria. Front. Microbiol. 2020, 11, 1948. [Google Scholar] [CrossRef]
- Jiang, H.L.; Wen, X.X.; Liao, Y.C. Effect of nitrogen fertilization rate on winter wheat yield and soil nitrate nitrogen operation characteristics. J. Plant Nutr. Fertil. 2010, 16, 237–241, (In Chinese with English Abstract). [Google Scholar]
- Hao, T.T.; Zhu, Q.C.; Zeng, M.F.; Shen, J.B.; Shi, X.J.; Liu, X.J.; Zhang, F.S.; Vries, W.D. Impacts of nitrogen fertilizer type and application rate on soil acidification rate under a wheat-maize double cropping system. J. Environ. Manag. 2020, 270, 110888. [Google Scholar] [CrossRef] [PubMed]
- Wang, L.; Butcher, A.S.; Stuart, M.; Gooddy, D.C.; Bloomfield, J.P. The nitrate time bomb: A numerical way to investigate nitrate storage and lag time in the unsaturated zone. Environ. Geochem. Health 2013, 35, 667–681. [Google Scholar] [CrossRef] [PubMed]
- Kindred, D.R.; Milne, A.E.; Webster, R.; Marchant, B.P.; Sylvester-Bradley, R. Exploring the spatial variation in the fertilizer-nitrogen requirement of wheat within fields. J. Agric. Sci. 2014, 153, 25–41. [Google Scholar] [CrossRef]
- Chu, X. Recommended Indexes of Nitrogen Fertilizer for Wheat Based on Temporal and Spatial Variation of Soil Inorganic Nitrogen; Henan Agricultural University: Zhengzhou, China, 2021; (In Chinese with English Abstract). [Google Scholar]
- Chen, X.; Zhou, J.; Wang, X.; Blackmer, A.M.; Zhang, F. Optimal Rates of Nitrogen Fertilization for a Winter Wheat-Corn Cropping System in Northern China. Commun. Soil Sci. Plant Anal. 2004, 35, 583–597, (In Chinese with English Abstract). [Google Scholar] [CrossRef]
- Du, S.; Gao, X.Z. Application of information technology in farmland fertilization management. Soil Environ. 2002, 2, 189–193, (In Chinese with English Abstract). [Google Scholar]
- Wang, H.L.; Zhang, H.; Li, J.J.; Ma, Q.; Wu, E.G.; Gao, J.F.; Yang, Q.H.; Feng, B.L. Transcriptome analysis reveals the mechanism of nitrogen fertilizers in starch synthesis and quality in waxy and non-waxy proso millet. Carbohydr. Polym. 2024, 323, 121372. [Google Scholar] [CrossRef]
- Yang, S.; Wang, L.S.; Akhtar, K.; Ahmad, I.; Khan, A. Optimizing nitrogen fertilization and variety for millet grain yield and biomass accumulation in dry regions. Agronomy 2022, 12, 2116. [Google Scholar] [CrossRef]
- Mao, B.; Zeng, Y.; Lai, C.; Yang, Y.; Zhou, Y.; Li, Z.; Xu, Q.; Li, T. Effects of nitrogen redunction fertilization on sugarcane bio-mass and the concentrations of soil nitrate and ammonium nitrogen. Chin. J. Ecol. 2023, 42, 2604–2612, (In Chinese with English Abstract). [Google Scholar]
- Yang, L.; Wang, L.H.; Chu, J.C.; Zhao, H.L.; Zhao, J.; Zang, H.D.; Yang, Y.D.; Zeng, Z.H. Improving soil quality and wheat yield through diversified crop rotations in the North China Plain. Soil Tillage Res. 2024, 244, 106231. [Google Scholar] [CrossRef]
- Zhao, N.; Wang, X.Q.; Ma, J.; Li, X.H.; Cao, J.F.; Zhou, J.; Wu, L.M.; Zhao, P.Y.; Cao, W.D. Co-incorporating green manure and crop straw increases crop productivity and improves soil quality with low greenhouse-gas emissions in a crop rotation. Crop J. 2024, 12, 1233–1241. [Google Scholar] [CrossRef]
- Bao, S.D. Soil Agro-Chemistrical Analysis, 3rd ed.; China Agricultural Press: Beijing, China, 2020. [Google Scholar]
- Zhang, G.X. Effects of Ridge-Furrow Ratio and Nitrogen Application Rate on the Yield of Rain-Fed Spring Maize and its Physiological and Ecological Mechanism in the Loess Plateau; College Northwest A&F University: Xianyang, China, 2022. [Google Scholar]
- King, K.; Ferela, A.; Vyn, T.J.; Trifunovic, S.; Eudy, D.; Hurburgh, C.; Archontoulis, S.V. Genetic gains in short-season corn hybrids: Grain yield, yield components, and grain quality traits. Crop Sci. 2024, 64, 710–725. [Google Scholar] [CrossRef]
- Fu, G.Q.; Zhang, H.H.; Liu, A.P.; Zhou, D.C.; Cheng, Y. Verification of precise nitrogen application rate and nitrogen use efficiency of rice. Mod. Agric. Technol. 2009, 1, 166–167, 169, (In Chinese with English Abstract). [Google Scholar]
- Xu, A.D.; Li, L.L.; Xie, J.H.; Wang, X.Z.; Coulter, J.A.; Liu, C.; Wang, L.L. Effect of Long-Term Nitrogen Addition on Wheat Yield, Nitrogen Use Efficiency, and Residual Soil Nitrate in a Semiarid Area of the Loess Plateau of China. Sustainability 2020, 12, 1735. [Google Scholar] [CrossRef]
- Huang, S.H.; Yang, W.F.; Ding, W.C.; Liu, J.; Jiang, L.L.; Liu, Y.X.; Xu, X.P.; Yang, Y.M.; He, P.; Yang, J. Estimation of Nitrogen Supply for Summer Maize Production through a Long-Term Field Trial in China. Agronomy 2021, 11, 1358. [Google Scholar] [CrossRef]
- Zhang, J.; Zhao, P.Y.; Pan, Z.C.; Duan, Y.; Li, H.C.; Wang, B.; Jing, Y.P.; Dong, Z.Q. Determination of input threshold of nitrogen fertilizer based on environment-friendly agriculture and maize yield. Trans. CSAE 2016, 32, 143. [Google Scholar]
- Sarkar, S.; Nanda, G.; Singh, R.; Kumar, S.; Singh, S.K.; Nath, H. Enhancement of Yield, Nitrogen use Efficiency, Production Economics of Fodder Oat through Selection of Appropriate Genotype and Nitrogen Fertilizer Application. Int. J. Environ. Clim. Chang. 2024, 14, 740–749. [Google Scholar] [CrossRef]
- Nie, S.W.; Zhang, H.G.; Zhang, Q.P.; Xu, J.D.; Zhang, Y.T. Effects of Reduced Application Rate of Nitrogen on Yield and Economical Benefit of Wheat under Different Tillage Methods. J. Henan Agric. Sci. 2020, 49, 16–22, (In Chinese with English Abstract). [Google Scholar]
- Qin, X.C.; Pan, J.T.; Guo, S.F.; Zhai, L.M.; Wang, H.Y.; Wu, S.X.; Liu, H.B. Effects of chemical fertilizer reduction combined with biogas fertilizer on crop yield of wheat–maize rotation and soil nitrogen loss in North China Plain. J. Agro-Environ. Sci. 2020, 39, 1558–1567, (In Chinese with English Abstract). [Google Scholar]
- Fracchiolla, M.; Renna, M.; Durante, M.; Mita, G.; Serio, F.; Cazzato, E. Cover Crops and Manure Combined with Commercial Fertilizers Differently Affect Yield and Quality of Processing Tomato (Solanum lycopersicum L.) Organically Grown in Puglia. Agriculture 2021, 11, 757. [Google Scholar] [CrossRef]
- Zhang, X.; Davidson, E.A.; Mauzerall, D.L.; Searchinger, T.D.; Dumas, P.; Shen, Y. Managing nitrogen for sustainable development. Nature 2015, 528, 51–59. [Google Scholar] [CrossRef]
- Wang, F.; Wang, C.R.; Yang, B.B.; Luo, X.M.; Qi, G.G.; Ji, F.L.; Guo, X.; Tao, Y.; Zhao, X.H.; Li, M.; et al. Nitrogen Application Timing and Levels Affect the Fate and Budget of Fertilizer Nitrogen in the Apple–Soil System. Plants 2024, 13, 813. [Google Scholar] [CrossRef] [PubMed]
- Liu, P.Z.; Lin, Y.R.; Li, Z.P.; Yang, Q.X.; Liu, L.L.; Wang, L.L.; Cheng, M.J.; Ren, X.L.; Chen, X.L. Optimization of fertilization scheme based on sustainable wheat productivity and minor nitrate residue in organic dry farming: An empirical study. Sci. Total Environ. 2024, 912, 169238. [Google Scholar] [CrossRef] [PubMed]
- Shi, Z.J.; Liu, D.H.; Luo, W.H.; Hafeez, M.B.; Li, J.; Wen, P.F.; Wang, X.L. Combined nitrogen and phosphorus management based on nitrate nitrogen threshold for balancing crop yield and soil nitrogen supply capacity. Agric. Ecosyst. Environ. 2022, 37, 108071. [Google Scholar] [CrossRef]
- Guo, R.; Qian, R.; Han, F.; Khaliq, A.; Hussain, S.; Yang, L.; Zhang, P.; Xiaoli Chen, X.L.; Ren, X.L. Managing straw and nitrogen fertilizer based on nitrate threshold for balancing nitrogen requirement of maize and nitrate residue. J. Environ. Manag. 2023, 329, 117084. [Google Scholar] [CrossRef]
- Huang, M.; Wang, Z.H.; Luo, L.J.; Wang, S.; He, G.; Cao, H.M.; Ma, X.L.; Huang, T.H.; Zhao, Y.; Diao, C.P.; et al. Soil testing at harvest to enhance productivity and reduce nitrate residues in dryland wheat production. Field Crops Res. 2017, 212, 153–164. [Google Scholar] [CrossRef]






| Treatment | FST (g·plant−1) | MST (g·plant−1) | FSP (g·plant−1) | MSP (g·plant−1) | FDM (g·plant−1) | MDM (g·plant−1) | DMAA (g·plant−1) |
|---|---|---|---|---|---|---|---|
| Year | |||||||
| 2022 | 10.5 b | 13.7 b | 3.3 b | 17.9 a | 13.8 b | 31.6 a | 17.8 a |
| 2023 | 14.5 a | 14.5 a | 7.1 a | 14.5 b | 21.5 a | 29.0 b | 7.5 b |
| Fertilizer | |||||||
| N0 | 11.1 c | 12.9 c | 4.9 c | 14.7 b | 16.0 c | 27.6 c | 11.6 b |
| N6 | 12.6 b | 13.8 bc | 5.6 bc | 16.0 a | 18.2 b | 29.8 b | 11.6 b |
| N12 | 13.8 a | 15.6 a | 5.8 a | 17.1 a | 19.6 a | 32.8 a | 13.2 a |
| N24 | 13.3 ab | 14.4 b | 5.2 b | 17.1 a | 18.5 ab | 31.5 ab | 13.0 a |
| N36 | 11.5 c | 13.8 bc | 4.5 bc | 16.1 a | 16 b | 29.9 b | 13.9 a |
| Variety | |||||||
| JG20 | 11.6 c | 12.2 c | 5.0 a | 17.0 a | 16.6 c | 29.2 bc | 12.6 ab |
| HG17 | 13.2 a | 14.1 b | 5.3 a | 17.2 a | 18.5 a | 31.3 ab | 12.9 ab |
| ZH9 | 12.2 bc | 14.5 ab | 5.1a | 15.8 b | 17.2 b | 30.3 b | 13.1 ab |
| JG16 | 12.8 ab | 15.6 a | 5.4 a | 17.0 a | 18.2 a | 32.6 a | 14.3 a |
| JG39 | 12.6 b | 13.4 bc | 5.2 a | 14.9 c | 17.8 a | 28.3 bc | 10.2 b |
| F-value and significance | |||||||
| Year (Y) | 230.3 ** | 4.0 * | 799.3 ** | 89.0 ** | 439.8 ** | 15.4 ** | 186.7 ** |
| Fertilizer (F) | 15.1 ** | 5.3 ** | 12.7 ** | 5.9 ** | 14.9 ** | 6.6 ** | 1.4 NS |
| Variety (V) | 6.7 ** | 12.6 ** | 1.9 NS | 10.0 ** | 5.4 ** | 12.6 ** | 4.9 ** |
| Y × F | 5.8 ** | 1.7 NS | 5.6 ** | 3.5 ** | 5.0 ** | 1.0 NS | 2.5 * |
| Y × V | 0.7 NS | 0.7 NS | 1.1 NS | 5.1 ** | 0.8 NS | 1.6 NS | 1.3 NS |
| F × V | 1.5 NS | 0.6 NS | 2.8 ** | 0.9 NS | 2.0 * | 0.7 NS | 0.6 NS |
| Y × F × V | 1.1 NS | 0.5 NS | 1.3 NS | 0.6 NS | 1.1 NS | 0.4 NS | 0.7 NS |
| Treatment | SN (Ten Thousand Plants·ha−1) | SWE (g) | GWE (g) | Yield (kg·ha−1) |
|---|---|---|---|---|
| Year | ||||
| 2022 | 42.15 a | 20.07 a | 16.34 a | 5119.23 a |
| 2023 | 40.80 a | 18.46 b | 14.86 b | 5129.79 a |
| Fertilizer | ||||
| N0 | 40.80 ab | 18.40 b | 14.90 c | 5182.10 a |
| N6 | 42.00 ab | 18.71 b | 15.29 bc | 5289.80 a |
| N12 | 43.65 a | 18.88 b | 15.29 bc | 5412.60 a |
| N24 | 40.80 ab | 20.06 a | 16.07 ab | 5198.95 a |
| N36 | 40.05 b | 20.26 a | 16.47 a | 4539.07 b |
| Variety | ||||
| JG20 | 46.80 a | 18.02 b | 14.38 b | 5637.19 a |
| HG17 | 43.80 b | 19.77 a | 15.92 a | 5607.32 a |
| ZH9 | 39.60 c | 19.40 a | 15.95 a | 4749.77 b |
| JG16 | 40.50 c | 19.13 a | 15.58 a | 4780.51 b |
| JG39 | 36.60 d | 19.99 a | 16.17 a | 4847.74 b |
| F-value and significance | ||||
| Year (Y) | 2.4 NS | 24.9 ** | 28.0 ** | 0.02 NS |
| Fertilizer (F) | 2.2 NS | 5.4 ** | 4.3 ** | 14.85 ** |
| Variety (V) | 16.7 ** | 4.5 ** | 5.2 ** | 26.72 ** |
| Y × F | 6.9 ** | 5.0 ** | 4.6 ** | 6.48 ** |
| Y × V | 5.4 ** | 2.1 NS | 4.0 ** | 6.02 ** |
| F × V | 3.0 ** | 1.7 * | 2.2 ** | 0.71 NS |
| Y × F × V | 1.2 NS | 1.3 NS | 2.0 * | 1.20 NS |
Disclaimer/Publisher’s Note: The statements, opinions and data contained in all publications are solely those of the individual author(s) and contributor(s) and not of MDPI and/or the editor(s). MDPI and/or the editor(s) disclaim responsibility for any injury to people or property resulting from any ideas, methods, instructions or products referred to in the content. |
© 2024 by the authors. Licensee MDPI, Basel, Switzerland. This article is an open access article distributed under the terms and conditions of the Creative Commons Attribution (CC BY) license (https://creativecommons.org/licenses/by/4.0/).
Share and Cite
Lu, Y.; Zhao, Y.; Xia, X.; Liu, M.; Wei, Z.; Wang, J.; Liu, J.; Cui, J.; Li, S. Evaluation of Nitrogen Fertilizer Supply and Soil Nitrate Thresholds for High Yields of Foxtail Millet. Agriculture 2024, 14, 1711. https://doi.org/10.3390/agriculture14101711
Lu Y, Zhao Y, Xia X, Liu M, Wei Z, Wang J, Liu J, Cui J, Li S. Evaluation of Nitrogen Fertilizer Supply and Soil Nitrate Thresholds for High Yields of Foxtail Millet. Agriculture. 2024; 14(10):1711. https://doi.org/10.3390/agriculture14101711
Chicago/Turabian StyleLu, Yiwei, Yu Zhao, Xueyan Xia, Meng Liu, Zhimin Wei, Jingxin Wang, Jianjun Liu, Jihan Cui, and Shunguo Li. 2024. "Evaluation of Nitrogen Fertilizer Supply and Soil Nitrate Thresholds for High Yields of Foxtail Millet" Agriculture 14, no. 10: 1711. https://doi.org/10.3390/agriculture14101711
APA StyleLu, Y., Zhao, Y., Xia, X., Liu, M., Wei, Z., Wang, J., Liu, J., Cui, J., & Li, S. (2024). Evaluation of Nitrogen Fertilizer Supply and Soil Nitrate Thresholds for High Yields of Foxtail Millet. Agriculture, 14(10), 1711. https://doi.org/10.3390/agriculture14101711
