Effect of Short Day and Low Temperature at the Nursery Stage on the Inflorescence and Yield of Six Different Strawberry (Fragaria ananassa Dutch.) Cultivars in a Soilless Culture System
Abstract
:1. Introduction
2. Materials and Methods
2.1. Plant Materials and Cultivation Management
2.2. Greenhouse Conditions
2.3. Soilless Culture System
2.4. Nutrient Solution Management and Irrigation
2.5. pH and EC Management
2.6. Experimental Design and Treatments
2.7. Growth Characteristics and Mineral Contents in the Nursery Stage
2.8. Inflorescence Characteristics
2.9. Yield and Fruit Quality Characteristics
2.10. Statistical Analysis
3. Results and Discussion
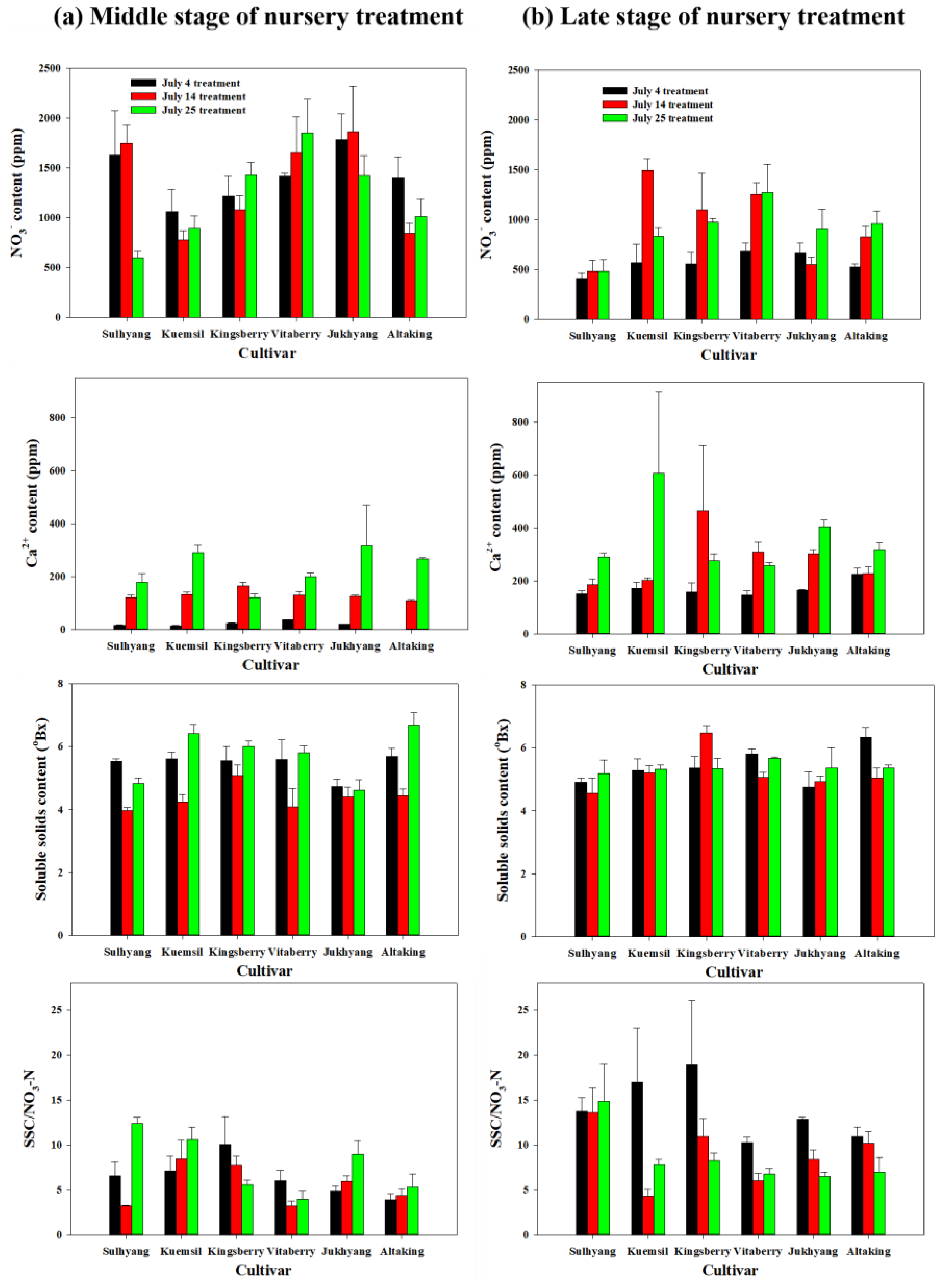
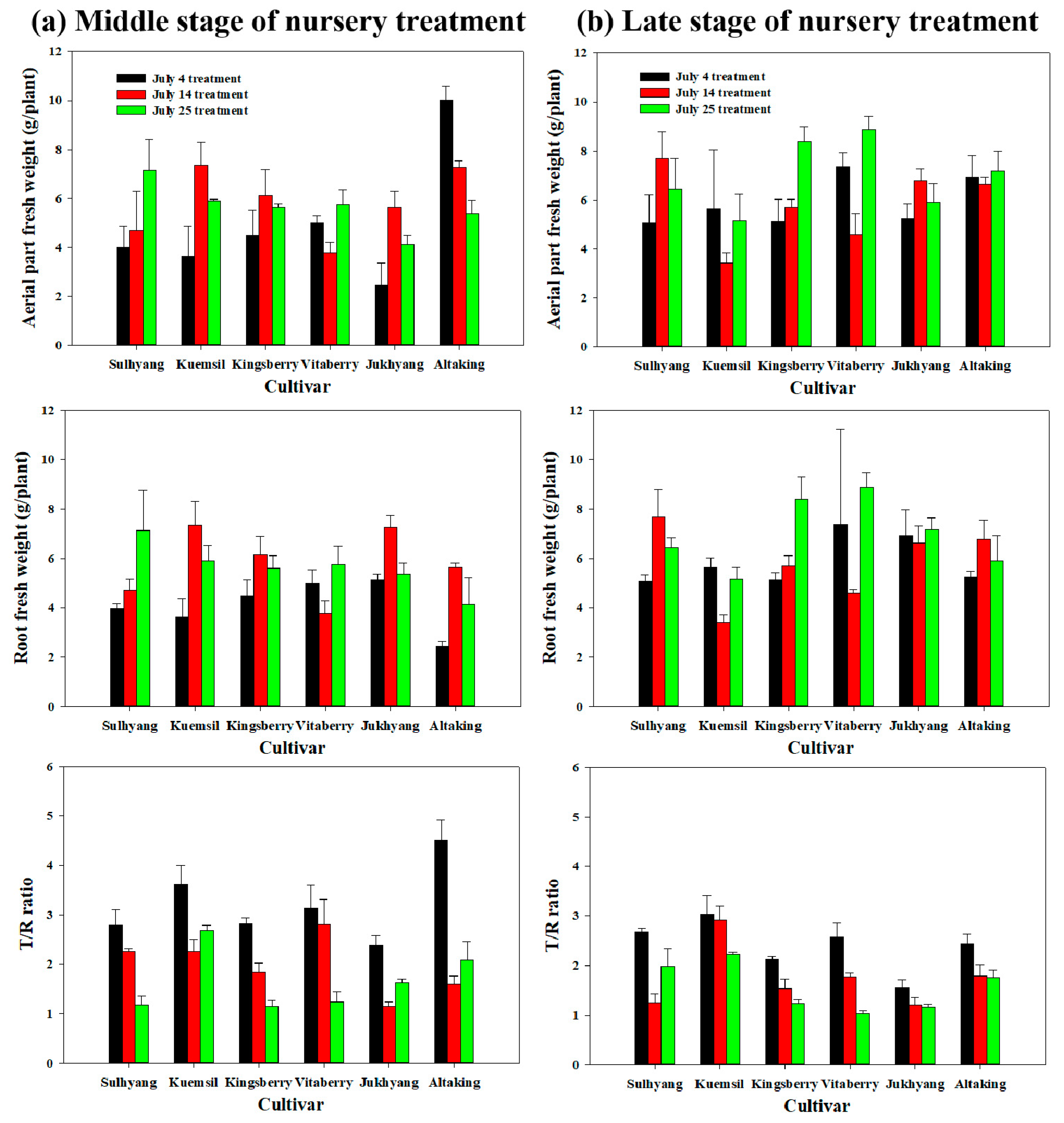
3.1. Growth Characteristics of Strawberry Plantlets
3.2. Inflorescence and Harvest Characteristics
3.3. Yield Characteristics
3.4. Fruit Quality Characteristics
4. Conclusions
Author Contributions
Funding
Institutional Review Board Statement
Data Availability Statement
Conflicts of Interest
References
- RDA. Manual for Strawberry Cultivation; RDA: Wanju, Republic of Korea, 2019; pp. 131–146. [Google Scholar]
- KAMIS. Garak Market Prices. 2023. Available online: https://www.kamis.or.kr/customer/nong_net/market/market.do (accessed on 9 December 2023).
- Ito, H.; Saito, T. Studies on the flower formation in the strawberry plants i. Effects of temperature and photoperiod on the flower formation. Tohoku J. Agric. Res. 1962, 13, 191–203. [Google Scholar]
- Lee, J.N.; Lee, E.H.; Kim, W.B.; Lee, M.R.; Hong, S.J.; Yeoung, Y.R. Changes in productivity and fruit quality of ever-bearing strawberries during summer culture in highland. Korean J. Hortic. Sci. Technol. 2005, 23, 159–163. [Google Scholar]
- Durner, E. Photoperiod affects floral ontogeny in strawberry (Fragaria × ananassa duch.) plug plants. Sci. Hortic. 2015, 194, 154–159. [Google Scholar] [CrossRef]
- Yoshida, Y.; Nishimoto, T. Propagation and floral induction of transplant for forcing long-term production of seasonal flowering strawberries in Japan. Hortic. J. 2020, 89, 87–95. [Google Scholar] [CrossRef]
- Yano, T.; Yamanaka, R.; Kawashima, H.; Yamazaki, K.; Yoshida, Y. Effect of high temperature during intermittent low-temperature storage of nursery plants on flowering dates of strawberry. Hortic. Res. 2022, 21, 307–313. [Google Scholar] [CrossRef]
- Li, Y.; Xiao, J.; Guo, G.; Jeong, B.R. Transplant pre-chilling induces earlier flowering and fruiting for forcing-cultured june-bearing strawberries. Sci. Hortic. 2021, 288, 110371. [Google Scholar] [CrossRef]
- Al-Madhagi, I.; Al-Munibary, M.; Al-Doubibi, M. Effect of chilling and accumulative photo-thermal units on flowering of strawberry (Fragaria × ananassa duch.). J. Hortic. Res. 2018, 26, 25–35. [Google Scholar] [CrossRef]
- Yoshida, Y.; Ozaki, E.; Murakami, K.; Goto, T. Flower induction in june-bearing strawberry by intermittent low temperature storage. J. Jpn. Soc. Hortic. Sci. 2012, 81, 343–349. [Google Scholar] [CrossRef]
- Watanabe, G.; Yanagi, T.; Okuda, N.; Saito, Y. Effect of Cold Storage Duration on Runner Production in Strawberry Plants in Winter; International Society for Horticultural Science (ISHS): Leuven, Belgium, 2009; Volume 842, pp. 729–732. [Google Scholar]
- Lee, K.H.; Lee, D.B. Strawberry High-Quality Plantlet Production and Flower Bud Differentiation Discrimination Technology; Agricultural Technology Center of Wanju-gun: Wanju, Republic of Korea, 2022; pp. 8–33. [Google Scholar]
- CNARE NSES, RDA. Nursery Techniques for Strawberry Forcing Culture; RDA: Wanju, Republic of Korea, 2020; p. 75. [Google Scholar]
- RDA. Nutrient Solution Management for Strawberry Soilless Culture; RDA: Wanju, Republic of Korea, 2013; p. 51. [Google Scholar]
- RDA. Research Data Standards Manual for Vegetables-Strawberris; RDA: Wanju, Republic of Korea, 2021. [Google Scholar]
- Yamasaki, A.; Yoneyama, T.; Tanaka, F.; Tanaka, K. Nakashima Tracer studies on the allocation of carbon and nitrogen during flower induction of strawberry plants as affected by the nitrogen level. Acta Hortic. 2002, 567, 349–352. [Google Scholar] [CrossRef]
- Yamasaki, A.; Yoneyama, T.; Tanaka, F.; Tanaka, K. Carbon and nitrogen status of flower-induced strawberry as revealed by 13c- and 15n-tracer studies. Acta Hortic. 2000, 514, 301–310. [Google Scholar] [CrossRef]
- Sønsteby, A.; Opstad, N.; Heide, O. Environmental manipulation for establishing high yield potential of strawberry forcing plants. Sci. Hortic. 2013, 157, 65–73. [Google Scholar] [CrossRef]
- Durner, E. Long-day and nitrogen conditioning of ‘albion’ strawberry (Fragaria × ananassa duch.) enhances off-season field production. J. Hortic. Sci. Biotechnol. 2017, 93, 1–10. [Google Scholar] [CrossRef]
- Kim, D.-Y.; Kim, T.I.; Kim, W.-S.; Kang, Y.I.; Yun, H.K.; Choi, J.M.; Yoon, M.K. Changes in growth and yield of strawberry (cv. Maehyang and seolhyang) in response to defoliation during nursery period. J. Bio-Environ. Con. 2011, 20, 283–289. [Google Scholar]
- Krüger, E.; Woznicki, T.; Heide, O.; Kusnierek, K.; Rivero, R.; Masny, A.; Sowik, I.; Brauksiepe, B.; Eimert, K.; Mott, D.; et al. Flowering phenology of six seasonal-flowering strawberry cultivars in a coordinated european study. Horticulturae 2022, 8, 933. [Google Scholar] [CrossRef]
- Takeda, F.; Newell, M. Effects of runner tip size and plugging date on fall flowering in short-day strawberry (Fragaria × ananassa duch.) cultivars. Int. J. Fruit Sci. 2007, 6, 103–117. [Google Scholar] [CrossRef]
- Jonkers, H. On the flower formation, the dormancy and the early forcing of strawberries. Med Landbwg Wagening. 1965, 65, 1–59. [Google Scholar]
- Durner, E.F. Photoperiod and temperature conditioning of ‘sweet charlie’ strawberry (Fragaria × ananassa duch.) plugs enhances off-season production. Sci. Hortic. 2016, 201, 184–189. [Google Scholar] [CrossRef]
- Jun, H.J.; Liu, S.S.; Jeon, E.H.; Bae, G.H.; Kang, S.I. Effect of low temperature-darkness treatment on floral initiation and flowering response of korean strawberry cultivars. Korean J. Hortic. Sci. Technol. 2013, 31, 726–731. [Google Scholar]
- Rozbiany, P.; Taha, S. Response of strawberry (Fragaria × ananassa duch.) flowering and yield to photoperiod. In Recent Studies on Strawberries; IntechOpen: London, UK, 2023; pp. 1–12. [Google Scholar]
- Atsushi, Y. Recent progress of strawberry year-round production technology in Japan. Jpn. Agicultural Res. Q. 2013, 47, 37–42. [Google Scholar]










| Nursery Stage Treatment | After Transplanting | |
|---|---|---|
| Temperature (day/night) | 28/18 °C | 28/8 °C |
| Day length (day/night) | 8/16 h | 8/16 h |
| Duration | Starting on 4/7, 14/7, and 25/7 in 5 weeks (around 40 day-old plantlet age) | Transplanting on 11/8, 18/8, 25/8, and 15/9 (control) |
| Substrate | Mixture of coir, peat, and pearlite (Hanareum type A, Sinsung Mineral, Seongnam, Republic of Korea) | Mixture of coir, peat, and pearlite (Cham Grow No. 2, Cham Grow Inc., Hongseong, Republic of Korea) |
| Fertilization | Standard nutrient solution of Gyeongsangnam-do Agricultural Research and Extension Services for the nursery stage (macronutrients: NO3-N 12.0 mg∙L−1, NH4-N 0.6 mg∙L−1, PO4-P 4.4 mg∙L−1, K 6.0 mg∙L−1, Ca 8.0 mg∙L−1, Mg 4.0 mg∙L−1, SO4-S 4.0 mg∙L−1; micronutrients: Fe 3.00 mg∙L−1, B 0.50 mg∙L−1, Mn 0.50 mg∙L−1, Zn 0.20 mg∙L−1, Cu 0.04 mg∙L−1, Mo 0.04 mg∙L−1) | Standard nutrient solution of Gyeongsangnam-do Agricultural Research and Extension Services after transplanting (macronutrients: NO3-N 13.0 mg∙L−1, NH4-N 0.8 mg∙L−1, PO4-P 4.4 mg∙L−1, K 6.3 mg∙L−1, Ca 8.0 mg∙L−1, Mg 4.0 mg∙L−1, SO4-S 4.0 mg∙L−1; micronutrients: Fe 3.00 mg∙L−1, B 0.50 mg∙L−1, Mn 0.50 mg∙L−1, Zn 0.20 mg∙L−1, Cu 0.04 mg∙L−1, Mo 0.04 mg∙L−1) |
| Irrigation system | Drip irrigation with timer control, three times a day, open system | Drip irrigation with timer control, six times a day, open system |
| Size of pots | 24-cell pots, 510 mm × 340 mm × 100 mm, 168 mL/cell | Styrofoam boxes (width 37 cm, length 200 cm) |
| Treatment z | Nursery Stage | Cultivar | No. of Leaves | Plant Height (cm) | Petiole Length (cm) | Leaf Length (cm) | Leaf Width (cm) | Crown Diameter (mm) | No. of Primary Roots |
|---|---|---|---|---|---|---|---|---|---|
| 4 July | Mid-stage | Sulhyang | 3.3 c–f y | 32.2 c–e | 17.9 c–g | 7.7 b–e | 6.7 a–c | 8.63 cd | 17.1 a–c |
| Kuemsil | 3.3 c–f | 34.0 a–d | 19.5 b–f | 7.3 c–e | 5.9 b–e | 8.69 cd | 9.3 f | ||
| Kingsberry | 3.5 b–e | 36.3 a–c | 21.8 a–c | 7.0 d–g | 6.2 a–d | 9.35 a–c | 13.1 b–f | ||
| Vitaberry | 4.2 a | 36.3 a–c | 20.0 b–d | 8.0 a–d | 6.3 a–c | 10.08 ab | 11.8 c–f | ||
| Jukhyang | 3.3 c–f | 29.4 d–g | 16.2 d–g | 7.8 b–d | 7.0 a | 10.22 a | 19.6 a | ||
| Altaking | 3.9 ab | 31.8 c–e | 20.0 b–d | 6.5 e–h | 5.1 e–h | 8.67 cd | 11.9 c–f | ||
| Late-stage | Sulhyang | 4.5 a–e | 32.7 a–d | 20.8 a–c | 7.0 a–c | 5.6 a–d | 9.58 a | 16.1 b–e | |
| Kuemsil | 4.3 a | 36.9 b–e | 24.2 a | 7.9 a | 6.0 a–c | 9.57 a | 11.9 c–e | ||
| Kingsberry | 3.7 a–c | 34.1 e–h | 23.3 ab | 7.1 a–c | 6.1 ab | 9.64 a | 15.4 b–e | ||
| Vitaberry | 4.4 b–f | 31.0 b–e | 19.2 b–g | 7.0 a–c | 5.6 a–d | 9.27 a | 15.2 b–e | ||
| Jukhyang | 3.9 fg | 26.8 d–f | 16.0 e–g | 6.8 b–f | 6.1 ab | 9.36 a | 15.1 b–e | ||
| Altaking | 5.0 a–e | 33.1 a–c | 22.0 a–c | 5.8 d–f | 6.4 ab | 9.55 a | 16.5 bc | ||
| 18 July | Mid-stage | Sulhyang | 3.5 b–e | 32.9 b–e | 19.6 b–e | 8.1 a–d | 6.8 ab | 10.17 ab | 16.7 a–d |
| Kuemsil | 3.8 a–d | 39.2 a | 23.3 ab | 9.0 a | 6.8 ab | 10.28 a | 11.5 d–f | ||
| Kingsberry | 2.9 f | 36.3 a–c | 20.5 b–d | 7.6 b–e | 6.9 ab | 10.44 a | 18.1 ab | ||
| Vitaberry | 3.3 c–f | 32.3 c–e | 19.6 b–e | 8.4 a–c | 6.7 a–c | 9.23 a–d | 15.2 a–e | ||
| Jukhyang | 3.1 ef | 27.8 e–g | 15.0 fg | 7.0 d–g | 6.3 a–c | 8.53 cd | 14.3 a–f | ||
| Altaking | 4.3 a | 30.5 c–f | 18.3 c–g | 6.0 gh | 4.6 gh | 8.53 cd | 15.7 a–c | ||
| Late-stage | Sulhyang | 3.7 b–f | 31.6e –h | 19.8 a–f | 7.5 ab | 6.1 ab | 9.95 a | 25.0 a | |
| Kuemsil | 3.1 ab | 35.4 h | 21.3 a–c | 7.3 ab | 5.6 a–d | 8.93 a | 8.4d e | ||
| Kingsberry | 3.5 d–f | 28.6 f–h | 20.6 a–e | 7.4 ab | 6.7 a | 9.92 a | 17.7 bc | ||
| Vitaberry | 3.5 b–f | 30.2 f–h | 15.8 fg | 6.8 b–d | 5.4 a–d | 9.26 a | 13.9 b–e | ||
| Jukhyang | 3.3 ef | 27.9 gh | 18.0 c–g | 6.5 b–f | 6.1 ab | 9.05 a | 19.5 a–c | ||
| Altaking | 5.1 a–c | 34.0 ab | 19.2 b–g | 5.6 f | 4.0 d | 9.54 a | 20.2 ab | ||
| 25 July | Mid-stage | Sulhyang | 3.3 d–f | 28.8 d–g | 16.7 d–g | 6.6 e–h | 5.3 d–g | 8.37 cd | 14.3 a–f |
| Kuemsil | 3.7 a–d | 38.7 ab | 25.8 a | 8.7 ab | 6.6 a–c | 9.88 ab | 12.8 b–f | ||
| Kingsberry | 3.3 c–f | 28.2 d–g | 17.3 c–g | 7.2 d–f | 6.7 a–c | 8.58 cd | 13.9 b–f | ||
| Vitaberry | 3.4 b–f | 27.1 e–g | 15.1 e–g | 6.1 f–h | 4.9 f–h | 8.27 cd | 12.3 c–f | ||
| Jukhyang | 3.9 a–c | 23.9 g | 14.7 g | 6.5 e–h | 5.7 c–f | 8.99 b–d | 16.0 a–d | ||
| Altaking | 4.3 a | 25.1 fg | 15.4 e–g | 5.5 h | 4.3 h | 8.04 d | 10.0 ef | ||
| Late-stage | Sulhyang | 4.3 a–d | 33.4 c–f | 18.2 c–g | 7.2 a–c | 6.0 a–c | 9.21 a | 16.3 b–d | |
| Kuemsil | 4.3 a–e | 32.9 b–e | 18.3 c–g | 6.7 b–e | 4.7 b–d | 8.91 a | 8.5 de | ||
| Kingsberry | 4.0 a–e | 32.6 d–g | 18.2 c–g | 6.6 b–f | 5.8 a–c | 9.77 a | 16.8 bc | ||
| Vitaberry | 4.2 c–g | 29.0 d–f | 15.2 fg | 6.2 c–f | 5.1 a–d | 9.23 a | 13.5 b–e | ||
| Jukhyang | 3.7 g | 23.0 d–h | 14.7 g | 5.9 d–f | 5.4 a–d | 8.47 a | 15.3 b–e | ||
| Altaking | 5.3 d–f | 28.4 a | 16.6 d–g | 5.7 ef | 4.2 cd | 9.05 a | 13.6 b–e |
| Treatment z | Cultivar | Marketable Fruit Yield (g/Plant) | Yield (kg/m−2) | Marketable Fruit Ratio (%) |
|---|---|---|---|---|
| 4 July | Sulhyang | 576.9 ef y | 5.55 ef | 82.7 a |
| Kuemsil | 485.4 g–i | 4.67 g–i | 80.0 a | |
| Kingsberry | 684.5 b–d | 6.59 b–d | 80.2 a | |
| Vitaberry | 456.3 g–j | 4.39 g–i | 79.4 a | |
| Jukhyang | 335.5 lm | 3.23 lm | 65.1 b | |
| Altaking | 797.5 b | 7.09 b | 83.2 a | |
| 14 July | Sulhyang | 627.5 c–e | 6.04 c–e | 83.8 a |
| Kuemsil | 427.5 h–k | 4.11 h–k | 78.4 a | |
| Kingsberry | 685.4 b–d | 6.59 b–d | 78.2 a | |
| Vitaberry | 461.1 g–j | 4.44 g–j | 77.9 a | |
| Jukhyang | 381.7 j–m | 3.67 j–m | 67.7 b | |
| Altaking | 921.5 a | 8.86 a | 84.6 a | |
| 25 July | Sulhyang | 676.9 b–d | 6.51 b–d | 82.7 a |
| Kuemsil | 484.0 g–i | 4.66 g–i | 78.8 a | |
| Kingsberry | 608.2 de | 5.85 de | 77.4 a | |
| Vitaberry | 526.2 f–g | 5.06 f–g | 82.9 a | |
| Jukhyang | 395.2 j–m | 3.80 j–m | 61.9 b | |
| Altaking | 871.8 a | 8.39 a | 83.4 a | |
| Control | Sulhyang | 500.5 f–h | 4.82 f–h | 79.9 a |
| Kuemsil | 403.8 i–l | 3.88 i–l | 76.2 a | |
| Kingsberry | 614.9 de | 5.92 de | 82.3 a | |
| Vitaberry | 351.8 k–m | 3.38 k–m | 68.6 b | |
| Jukhyang | 315.7 m | 3.04 m | 64.5 b | |
| Altaking | 702.1 b–c | 6.75 bc | 84.3 a |
Disclaimer/Publisher’s Note: The statements, opinions and data contained in all publications are solely those of the individual author(s) and contributor(s) and not of MDPI and/or the editor(s). MDPI and/or the editor(s) disclaim responsibility for any injury to people or property resulting from any ideas, methods, instructions or products referred to in the content. |
© 2023 by the authors. Licensee MDPI, Basel, Switzerland. This article is an open access article distributed under the terms and conditions of the Creative Commons Attribution (CC BY) license (https://creativecommons.org/licenses/by/4.0/).
Share and Cite
Choi, S.-H.; Kim, D.-Y.; Kim, S.; Gil, C.S. Effect of Short Day and Low Temperature at the Nursery Stage on the Inflorescence and Yield of Six Different Strawberry (Fragaria ananassa Dutch.) Cultivars in a Soilless Culture System. Agriculture 2024, 14, 22. https://doi.org/10.3390/agriculture14010022
Choi S-H, Kim D-Y, Kim S, Gil CS. Effect of Short Day and Low Temperature at the Nursery Stage on the Inflorescence and Yield of Six Different Strawberry (Fragaria ananassa Dutch.) Cultivars in a Soilless Culture System. Agriculture. 2024; 14(1):22. https://doi.org/10.3390/agriculture14010022
Chicago/Turabian StyleChoi, Su-Hyun, Dae-Young Kim, Seolah Kim, and Chan Saem Gil. 2024. "Effect of Short Day and Low Temperature at the Nursery Stage on the Inflorescence and Yield of Six Different Strawberry (Fragaria ananassa Dutch.) Cultivars in a Soilless Culture System" Agriculture 14, no. 1: 22. https://doi.org/10.3390/agriculture14010022
APA StyleChoi, S.-H., Kim, D.-Y., Kim, S., & Gil, C. S. (2024). Effect of Short Day and Low Temperature at the Nursery Stage on the Inflorescence and Yield of Six Different Strawberry (Fragaria ananassa Dutch.) Cultivars in a Soilless Culture System. Agriculture, 14(1), 22. https://doi.org/10.3390/agriculture14010022

