Simulation of Mouldboard Plough Soil Cutting Based on Smooth Particle Hydrodynamics Method and FEM–SPH Coupling Method
Abstract
:1. Introduction
2. Materials and Methods
2.1. Brief Introduction to SPH
2.2. FEM–SPH Coupling Method
2.3. Soil Constitutive Law
3. Numerical Simulation
3.1. Establishment of the Finite Element Model of the Plough
3.2. Establishment of SPH Model, FEM–SPH Coupling Model
3.2.1. SPH Model
3.2.2. FEM-SPH Coupling Model
3.2.3. Boundary Conditions Imposed
3.3. Parameter Study
4. Results and Discussion
4.1. Cutting Process and Cutting Resistance Analysis
4.2. Stress Variation of Soil
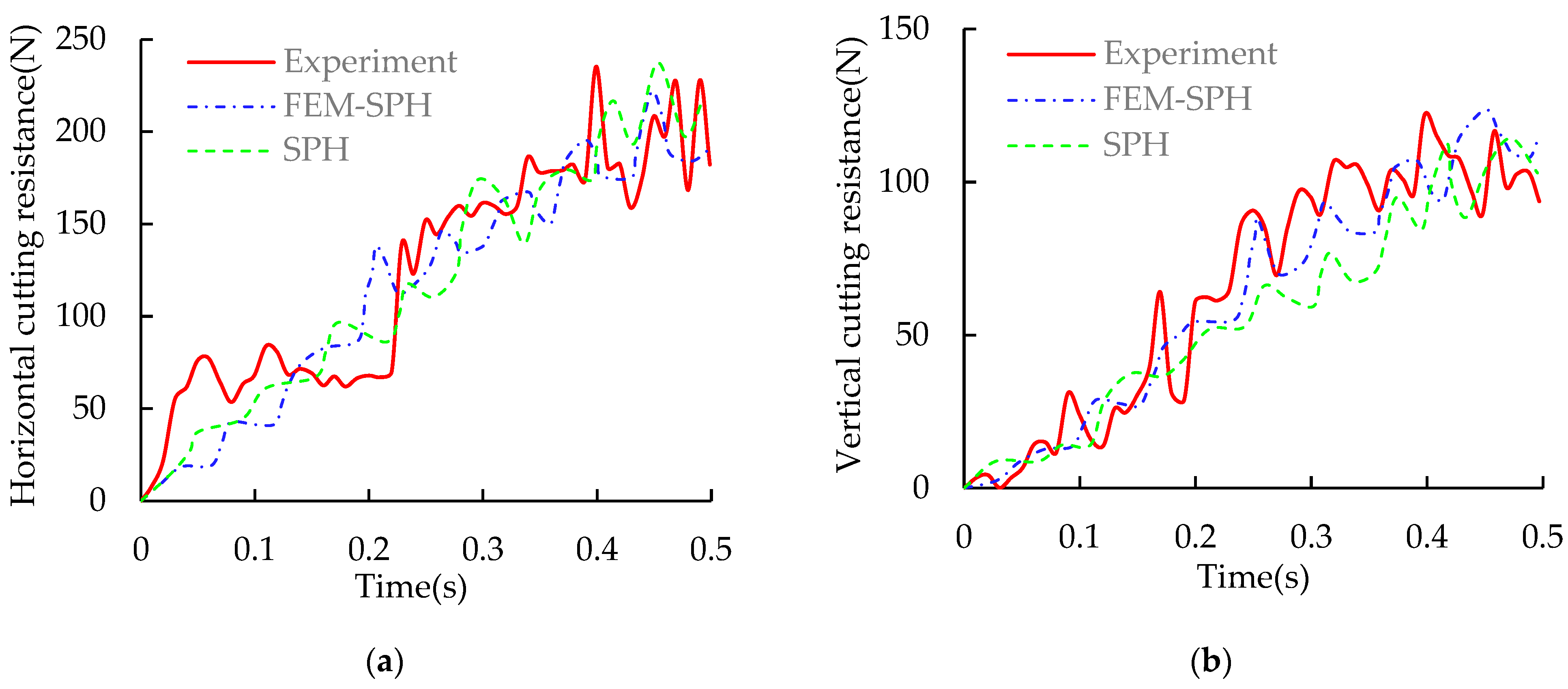
4.3. Model Validation
4.4. Effect of Cutting Speed and Depth on Cutting Resistance
4.5. Effect of Inclination Angle and Lifting Angle of the Plough on Cutting Resistance
5. Conclusions
Author Contributions
Funding
Institutional Review Board Statement
Data Availability Statement
Conflicts of Interest
References
- Naderi-Boldaji, M.; Karparvarfard, S.H.; Azimi-Nejadian, H. Investigation of the predictability of mouldboard plough draught from soil mechanical strength (cone index vs. shear strength) using finite element modelling. J. Terramech. 2023, 108, 21–31. [Google Scholar] [CrossRef]
- Renton, M.; Flower, K.C. Occasional mouldboard ploughing slows evolution of resistance and reduces long-term weed populations in no-till systems. Agric. Syst. 2015, 139, 66–75. [Google Scholar] [CrossRef]
- Saunders, C. Optimising the Performance of Shallow High-Speed Mouldboard Ploughs; Cranfield University: Cranfield, UK, 2002. [Google Scholar]
- Bulgakov, V.; Pascuzzi, S.; Adamchuk, V.; Ivanovs, S.; Pylypaka, S. A theoretical study of the limit path of the movement of a layer of soil along the plough mouldboard. Soil Tillage Res. 2019, 195, 11. [Google Scholar] [CrossRef]
- Moitzi, G.; Haas, M.; Wagentristl, H.; Boxberger, J.; Gronauer, A. Energy consumption in cultivating and ploughing with traction improvement system and consideration of the rear furrow wheel-load in ploughing. Soil Tillage Res. 2013, 134, 56–60. [Google Scholar] [CrossRef]
- Nabavi-Pelesaraei, A.; Rafiee, S.; Mohtasebi, S.S.; Hosseinzadeh-Bandbafha, H.; Chau, K.W. Energy consumption enhancement and environmental life cycle assessment in paddy production using optimization techniques. J. Clean. Prod. 2017, 162, 571–586. [Google Scholar] [CrossRef]
- Lieve, V.W. Precision-Agriculture and the Future of Farming in Europe; European Maritime Safety Agency: Lisbon, Portugal, 2016. [Google Scholar]
- Naderloo, L.; Alimadani, R.; Akram, A.; Javadikia, P.; Khanghah, H.Z. Tillage depth and forward speed effects on draft of three primary tillage implements in clay loam soil. J. Food Agric. Environ. 2009, 7, 382–385. [Google Scholar]
- Abu-Hamdeh, N.H. The Effect of Tillage Treatments on Soil Water Holding Capacity and on Soil Physical Properties. In Proceedings of the ISCO 13th International Soil Conservation Organization Conference, Brisbane, Australia, 4–8 July 2004. [Google Scholar]
- Guan, C.; Fu, J.; Xu, L.; Jiang, X.; Wang, S.; Cui, Z. Study on the reduction of soil adhesion and tillage force of bionic cutter teeth in secondary soil crushing. Biosyst. Eng. 2022, 213, 133–147. [Google Scholar] [CrossRef]
- Kichler, C.M.; Fulton, J.P.; Raper, R.L.; McDonald, T.P.; Zech, W.C. Effects of transmission gear selection on tractor performance and fuel costs during deep tillage operations. Soil Tillage Res. 2011, 113, 105–111. [Google Scholar] [CrossRef]
- Salahloo, M.; Alasti, B.M.; Mardani, A.; Abbasgholipour, M. Effect of Forward Speed, Working Depth and Overlay Parameters of Cultivator Tillage on Power Consumption and Draft Force. Iran. J. Biosyst. Eng. 2021, 51, 749–756. [Google Scholar]
- Rashidi, M.; Najjarzadeh, I.; Jaberinasab, B.; Emadi, S.M.; Fayyazi, M. Effect of Soil Moisture Content, Tillage Depth and Operation Speed on Draft Force of Moldboard Plow. Middle East J. Sci. Res. 2013, 16, 245–249. [Google Scholar]
- Kim, Y.S.; Kim, T.J.; Kim, Y.J.; Lee, S.D.; Park, S.U.; Kim, W.S. Development of a Real-Time Tillage Depth Measurement System for Agricultural Tractors: Application to the Effect Analysis of Tillage Depth on Draft Force during Plow Tillage. Sensors 2020, 20, 912. [Google Scholar] [CrossRef] [PubMed]
- Arvidsson, J.; Keller, T.; Gustafsson, K. Specific draught for mouldboard plough, chisel plough and disc harrow at different water contents. Soil Tillage Res. 2004, 79, 221–231. [Google Scholar] [CrossRef]
- Hoseinian, S.H.; Hemmat, A.; Esehaghbeygi, A.; Shahgoli, G.; Baghbanan, A. Development of a dual sideway-share subsurface tillage implement: Part 2. Effect of tool geometry on tillage forces and soil disturbance characteristics. Soil Tillage Res. 2022, 215, 105200. [Google Scholar] [CrossRef]
- Ibrahmi, A.; Bentaher, H.; Maalej, A. Soil-blade orientation effect on tillage forces determined by 3D finite element models. Span. J. Agric. Res. 2014, 12, 941–951. [Google Scholar] [CrossRef]
- Sadek, A.A.; Chen, Y.; Zeng, Z. Draft force prediction for a high-speed disc implement using discrete element modelling. Biosyst. Eng. 2021, 202, 133–141. [Google Scholar] [CrossRef]
- Wang, X.; Li, P.; He, J.; Wei, W.; Huang, Y. Discrete element simulations and experiments of soil-winged subsoiler interaction. Int. J. Agric. Biol. Eng. 2021, 14, 50–62. [Google Scholar] [CrossRef]
- Kesner, A.; Choteborsky, R.; Linda, M.; Hromasova, M.; Katinas, E.; Sutanto, H. Stress distribution on a soil tillage machine frame segment with a chisel shank simulated using discrete element and finite element methods and validate by experiment. Biosyst. Eng. 2021, 209, 125–138. [Google Scholar] [CrossRef]
- Kim, Y.S.; Siddique, M.A.; Kim, W.S.; Kim, Y.J.; Lee, S.D.; Lee, D.K.; Hwang, S.J.; Nam, J.S.; Park, S.U.; Lim, R.G. DEM simulation for draft force prediction of moldboard plow according to the tillage depth in cohesive soil. Comput. Electron. Agric. 2021, 189, 18. [Google Scholar] [CrossRef]
- Makange, N.R.; Ji, C.Y.; Torotwa, I. Prediction of cutting forces and soil behavior with discrete element simulation. Comput. Electron. Agric. 2020, 179, 11. [Google Scholar] [CrossRef]
- Bal, A.R.L.; Dang, T.S.; Meschke, G. A 3D particle finite element model for the simulation of soft soil excavation using hypoplasticity. Comput. Part. Mech. 2020, 7, 151–172. [Google Scholar] [CrossRef]
- Bazarov, D.; Toshtemirov, S.; Mustafayev, S.; Xo’jayev, A.; Mamatkulov, I.; Boboev, F. Technology and machine parameters for preparing the soil for sowing cotton. E3S Web Conf. 2021, 264, 04046. [Google Scholar] [CrossRef]
- Chen, P.; Tao, W.; Zhu, L.; Wu, Q.M.; Zhang, J.W.; Dong, S.J.; Moray, P.J. Effect of varying remote cylinder speeds on plough-breast performances in alternative shifting tillage. Comput. Electron. Agric. 2021, 181, 11. [Google Scholar] [CrossRef]
- Gelybo, G.; Barcza, Z.; Dencso, M.; Potyo, I.; Kasa, I.; Horel, A.; Pokovai, K.; Birkas, M.; Kern, A.; Hollos, R.; et al. Effect of tillage and crop type on soil respiration in a long-term field experiment on chernozem soil under temperate climate. Soil Tillage Res. 2022, 216, 13. [Google Scholar] [CrossRef]
- Krauss, M.; Wiesmeier, M.; Don, A.; Cuperus, F.; Gattinger, A.; Gruber, S.; Haagsma, W.K.; Peigne, J.; Palazzoli, M.C.; Schulz, F.; et al. Reduced tillage in organic farming affects soil organic carbon stocks in temperate Europe. Soil Tillage Res. 2022, 216, 11. [Google Scholar] [CrossRef]
- Yurdem, H.; Degirmencioglu, A.; Cakir, E.; Gulsoylu, E. Measurement of strains induced on a three-bottom moldboard plough under load and comparisons with finite element simulations. Measurement 2019, 136, 594–602. [Google Scholar] [CrossRef]
- Nazemosadat, S.M.R.; Ghanbarian, D.; Naderi-Boldaji, M.; Nematollahi, M.A. Structural analysis of a mounted moldboard plow using the finite element simulation method. Span. J. Agric. Res. 2022, 20, 14. [Google Scholar] [CrossRef]
- Azimi-Nejadian, H.; Karparvarfard, S.H.; Naderi-Boldaji, M.; Rahmanian-Koushkaki, H. Combined finite element and statistical models for predicting force components on a cylindrical mouldboard plough. Biosyst. Eng. 2019, 186, 168–181. [Google Scholar] [CrossRef]
- Song, W.; Jiang, X.H.; Li, L.K.; Ren, L.L.; Tong, J. Increasing the width of disturbance of plough pan with bionic inspired subsoilers. Soil Tillage Res. 2022, 220, 14. [Google Scholar] [CrossRef]
- Aikins, K.A.; Ucgul, M.; Barr, J.B.; Awuah, E.; Antille, D.L.; Jensen, T.A.; Desbiolles, J.M.A. Review of Discrete Element Method Simulations of Soil Tillage and Furrow Opening. Agriculture 2023, 13, 29. [Google Scholar] [CrossRef]
- Azimi-Nejadian, H.; Karparvarfard, S.H.; Naderi-Boldaji, M. Weed seed burial as affected by mouldboard design parameters, ploughing depth and speed: DEM simulations and experimental validation. Biosyst. Eng. 2022, 216, 79–92. [Google Scholar] [CrossRef]
- Zhu, L.; Cheng, X.; Peng, S.S.; Qi, Y.Y.; Zhang, W.F.; Jiang, R.; Yin, C.L. Three dimensional computational fluid dynamic interaction between soil and plowbreast of horizontally reversal plow. Comput. Electron. Agric. 2016, 123, 1–9. [Google Scholar] [CrossRef]
- Wei, M.; Zhu, L.; Luo, F.; Zhang, J.W.; Dong, X.W.; Jen, T.C. Share-soil interaction load and wear at various tillage conditions of a horizontally reversible plough. Comput. Electron. Agric. 2019, 162, 21–30. [Google Scholar] [CrossRef]
- Guo, Y.; Yu, X. Analysis of surface erosion of cohesionless soils using a three-dimensional coupled computational fluid dynamics—Discrete element method (CFD-DEM) model. Can. Geotech. J. 2019, 56, 687–698. [Google Scholar] [CrossRef]
- Saunders, C.; Ucgul, M.; Godwin, R.J. Discrete element method (DEM) simulation to improve performance of a mouldboard skimmer. Soil Tillage Res. 2021, 205, 13. [Google Scholar] [CrossRef]
- Ibrahmi, A.; Bentaher, H.; Hbaieb, M.; Maalej, A.; Mouazen, A.M. Study the effect of tool geometry and operational conditions on mouldboard plough forces and energy requirement: Part 1. Finite element simulation. Comput. Electron. Agric. 2015, 117, 258–267. [Google Scholar] [CrossRef]
- Nadykto, V.; Kyurchev, V.; Bulgakov, V.; Findura, P.; Karaiev, O. Influence of the Plough with Tekrone Mouldboards and Landsides on Ploughing Parameters. Acta Technol. Agric. 2020, 23, 40–45. [Google Scholar] [CrossRef]
- Wang, X.Z.; Zhang, Q.K.; Huang, Y.X.; Ji, J.T. An efficient method for determining DEM parameters of a loose cohesive soil modelled using hysteretic spring and linear cohesion contact models. Biosyst. Eng. 2022, 215, 283–294. [Google Scholar] [CrossRef]
- Zhang, L.B.; Cai, Z.X.; Liu, H.F. A novel approach for simulation of soil-tool interaction based on an arbitrary Lagrangian-Eulerian description. Soil Tillage Res. 2018, 178, 41–49. [Google Scholar] [CrossRef]
- Zhang, J.H.; Wang, J.; Wang, T. Research on the Coupled Water-Soil SPH Algorithm Improvement and Application Based on Two-phase Mixture Theory. Int. J. Comput. Methods 2022, 19, 23. [Google Scholar] [CrossRef]
- Lucy, L.B. A numerical approach to the testing of the fission hypothesis. Astron. J. 1977, 82, 1013–1024. [Google Scholar] [CrossRef]
- Gingold, R.A.; Monaghan, J.J. Smoothed particle hydrodynamics: Theory and application to non-spherical stars. Mon. Not. R. Astron. Soc. 1977, 181, 375–389. [Google Scholar] [CrossRef]
- Hu, M.; Gao, T.; Dong, X.; Tan, Q.; Yi, C.; Wu, F.; Bao, A. Simulation of soil-tool interaction using smoothed particle hydrodynamics (SPH). Soil Tillage Res. 2023, 229, 105671. [Google Scholar] [CrossRef]
- Zhang, J.M.; Yao, H.P.; Chen, L.Z.; Zheng, E.L.; Zhu, Y.; Xue, J.L. Vibration characteristics analysis and suspension parameter optimization of tractor/implement system with front axle suspension under ploughing operation condition. J. Terramech. 2022, 102, 49–64. [Google Scholar] [CrossRef]
- Wang, H.B.; Yan, F.; Zhang, L.W.; Zhang, W.; Li, X.M.; Wang, S.Q.; Wang, S. Mechanism and flow process of debris avalanche in mining waste dump based on improved SPH simulation. Eng. Fail. Anal. 2022, 138, 22. [Google Scholar] [CrossRef]
- He, H.Z.; Karsai, A.; Liu, B.Y.; Hammond, F.L.; Goldman, D.I.; Arson, C. Simulation of compound anchor intrusion in dry sand by a hybrid FEM plus SPH method. Comput. Geotech. 2023, 154, 16. [Google Scholar] [CrossRef]
- Feng, D.; Imin, R. A kernel derivative free SPH method. Results Appl. Math. 2023, 17, 100355. [Google Scholar] [CrossRef]
- Zhan, L.; Peng, C.; Zhang, B.Y.; Wu, W. A SPH framework for dynamic interaction between soil and rigid body system with hybrid contact method. Int. J. Numer. Anal. Methods Geomech. 2020, 44, 1446–1471. [Google Scholar] [CrossRef]
- Wang, W.; Wu, Y.J.; Wu, H.; Yang, C.Z.; Feng, Q.S. Numerical analysis of dynamic compaction using FEM-SPH coupling method. Soil Dyn. Earthq. Eng. 2021, 140, 11. [Google Scholar] [CrossRef]
- Feng, S.J.; Gao, H.Y.; Gao, L.; Zhang, L.M.; Chen, H.X. Numerical modeling of interactions between a flow slide and buildings considering the destruction process. Landslides 2019, 16, 1903–1919. [Google Scholar] [CrossRef]
- Li, Z.X.; Chen, J.S.; Wang, X.N.; Shen, X.J.; Cen, Y.M.; Chen, J.; Chu, Y.J.; Han, Y.J. Microstructure distribution and bending fracture mechanism of 65Mn steel in the laser surface treatment. Mater. Sci. Eng. A-Struct. Mater. Prop. Microstruct. Process. 2022, 850, 8. [Google Scholar] [CrossRef]
- Bentaher, H.; Ibrahmi, A.; Hamza, E.; Hbaieb, M.; Kantchev, G.; Maalej, A.; Arnold, W. Finite element simulation of moldboard-soil interaction. Soil Tillage Res. 2013, 134, 11–16. [Google Scholar] [CrossRef]
- Godwin, R.J.; O’Dogherty, M.J.; Saunders, C.; Balafoutis, A.T. A force prediction model for mouldboard ploughs incorporating the effects of soil characteristic properties, plough geometric factors and ploughing speed. Biosyst. Eng. 2007, 97, 117–129. [Google Scholar] [CrossRef]













| Parameters | Value | Parameters | Value |
|---|---|---|---|
| Density of soil | 2600 | Static friction coefficient between soil and plough | 0.6 |
| Shear modulus of soil | Dynamic friction coefficient between soil and plough | 0.1 | |
| Poisson’s ratio of soil | 0.38 | Static friction coefficient between two soil particles | 0.422 |
| Density of plough | 7970 | Dynamic friction coefficient between two soil particles | 0.282 |
| Young’s modulus of plough | Radius of particle | 5 | |
| Poisson’s ratio of plough | 0.32 | Gravity | 9.806 |
Disclaimer/Publisher’s Note: The statements, opinions and data contained in all publications are solely those of the individual author(s) and contributor(s) and not of MDPI and/or the editor(s). MDPI and/or the editor(s) disclaim responsibility for any injury to people or property resulting from any ideas, methods, instructions or products referred to in the content. |
© 2023 by the authors. Licensee MDPI, Basel, Switzerland. This article is an open access article distributed under the terms and conditions of the Creative Commons Attribution (CC BY) license (https://creativecommons.org/licenses/by/4.0/).
Share and Cite
Jin, X.; Ma, F.; Wang, D.; Zhu, Z. Simulation of Mouldboard Plough Soil Cutting Based on Smooth Particle Hydrodynamics Method and FEM–SPH Coupling Method. Agriculture 2023, 13, 1847. https://doi.org/10.3390/agriculture13091847
Jin X, Ma F, Wang D, Zhu Z. Simulation of Mouldboard Plough Soil Cutting Based on Smooth Particle Hydrodynamics Method and FEM–SPH Coupling Method. Agriculture. 2023; 13(9):1847. https://doi.org/10.3390/agriculture13091847
Chicago/Turabian StyleJin, Xiaoming, Fangping Ma, Di Wang, and Zhengtao Zhu. 2023. "Simulation of Mouldboard Plough Soil Cutting Based on Smooth Particle Hydrodynamics Method and FEM–SPH Coupling Method" Agriculture 13, no. 9: 1847. https://doi.org/10.3390/agriculture13091847
APA StyleJin, X., Ma, F., Wang, D., & Zhu, Z. (2023). Simulation of Mouldboard Plough Soil Cutting Based on Smooth Particle Hydrodynamics Method and FEM–SPH Coupling Method. Agriculture, 13(9), 1847. https://doi.org/10.3390/agriculture13091847
