Next Article in Journal
World Forage Import Market: Competitive Structure and Market Forces
Next Article in Special Issue
Study on the Temperature and Water Distribution of Hot Air in Red Loam Based on Soil Continuous Cropping Obstacles
Previous Article in Journal
Economic Development and Pesticide Use in EU Agriculture: A Nonlinear Panel Data Autoregressive Distributed Lag Approach
Previous Article in Special Issue
Can Organic Matter from Waste-Derived Amendments Limit Phosphorus Losses from Soil to the Aquatic Environment?
 
 
Font Type:
Arial Georgia Verdana
Font Size:
Aa Aa Aa
Line Spacing:
Column Width:
Background:
Article

Changes in Enzyme Activities in Salt-Affected Soils during Incubation Study of Diverse Particle Sizes of Rice Straw

1
Department of Soil Science, Punjab Agricultural University, Ludhiana 141004, India
2
Department of Microbiology, Punjab Agricultural University, Ludhiana 141004, India
3
Department of Botany and Microbiology, College of Science, King Saud University, Riyadh 11451, Saudi Arabia
4
Key Laboratory of Vegetation Restoration and Management of Degraded Ecosystems, South China Botanical Garden, Chinese Academy of Sciences, Guangzhou 510650, China
*
Author to whom correspondence should be addressed.
Agriculture 2023, 13(9), 1694; https://doi.org/10.3390/agriculture13091694
Submission received: 3 August 2023 / Revised: 24 August 2023 / Accepted: 25 August 2023 / Published: 28 August 2023

Abstract

:
Soil enzymes are linked to the plant–soil–enzyme–soil nutrients of the soil system, which play an important role in carbon cycling and phosphorus mineralization in soil. Monitoring soil biological quality, particularly enzyme activities, after receiving organic amendments is a prerequisite for the sustainable management of soils. An incubation study was conducted to evaluate the effect of different particle sizes of rice residue (control, powdered, 1 cm, 2 cm, 5 cm, and 10 cm) on the enzymatic activities in three soils (normal, saline, and sodic). The soils used in the study were alkaline in reaction with a pH range of 7.05–8.86 and an electrical conductivity (EC) gradient from 0.41 to 2.5 dS m−1. Significant changes in the soil enzyme activity (dehydrogenase, fluorescein diacetate, and alkaline phosphatase) were observed with the incorporation of rice residue as compared to control. The enzymatic activities were substantially enhanced with a decrease in the size of the residue up to 28 days during the incubation period. The maximum enzymatic activity in the three soils was found to be in the order of normal > sodic > saline soils. These results suggest that the particle size of rice residues and salt levels should be considered important factors in residue decomposition in soils, as they directly influence the activity of soil enzymes for the overall improvement of the biological pools in soils.

1. Introduction

The addition of rice residue to soil plays a crucial role in reshaping soil microbial and enzymatic activity, facilitating the decomposition of organic matter, and regulating the release of nutrients [1]. The incorporation of crop residue can improve the soil organic matter content and provide a favorable environment for the development and proliferation of soil microorganisms [2], which helps them in obtaining available carbon (C) from different residue materials and the soil matrix for their survival [3]. Further soil enzymes play a significant role in breaking down components like lignin and cellulose, which are found primarily in different residues and facilitate nutrient recycling through processes like oxidation (dehydrogenase, hydrolase, and glucosidase) for decomposition and mineralization (phosphatase and sulfatase) to release various nutrients within the soil [4]. Soil enzymes play a crucial role in the supply and release of nutrients from decomposing organic matter, and their activities strictly control the release of C, nitrogen (N), and phosphorus (P) from decomposing organic residues [5]. Also, some of the enzymes are considered very important for assessing soil quality, viz., DHA which serves as an indicator of total microbial activity, indirectly reflecting the availability of C and energy sources [6], and is closely related to microbial functionality [7]. Hence, utilizing farm residue efficiently is important in this regard.
No single mechanical residue management intervention is superior under all conditions [8]. The in situ management of crop residues is important for the redistribution of soil microbial and enzymatic activity in the soil, decomposition of organic residues and the regulation of nutrient cycling [9]. Many regions across the globe commonly recycle crop residues by incorporating them into the soil or retaining them as surface mulch [10]. However, the decomposition of crop residues and the subsequent release of nutrients to the soil can be modified by the physical and chemical characteristics of the crop residue; its quantity; soil type; soil temperature, moisture, nutrient, and water availability; and the duration of contact between residues and the soil [11]. The interaction between soil and plant residues is of significant importance, as it affects multiple factors, including nutrient availability, water dynamics, and microbial biodiversity [12]. The size of the contact between the soil and residues is a key factor for nutrient availability, which depends on their application as surface mulch or incorporation through different mechanical residue management interventions [13]. Also, some studies have demonstrated that the decomposition rate of residues is faster in the presence of soil than in the absence of it, which draws attention to the significance of the interaction between soil and residues in the decomposition process [14]. Further, some researchers also reported that crop residues that have been ground or chopped finely typically show a faster rate of decomposition [15]. In addition to this, several studies have also confirmed that the particle size affects these processes, although the nature of the effect seems variable, with some reports that reducing the particle size improves the rates of microbial decomposition processes [16], while others have shown the reverse effect [17]. The physical qualities of plant materials, which include particle size, toughness, and surface properties, have the potential to affect the accessibility of substrates to soil organisms [18].
Salinity and sodicity are significant global issues leading to soil degradation [19]. In fact, salinity has an impact on 33% of irrigated agricultural lands globally [20]. According to Hayat et al. [21], soil salinization is a rapidly spreading environmental issue brought on by both natural and human activities. Reduced precipitation and high evapotranspiration rates contribute to salt accumulation in the root zone, resulting in reduced plant growth [22]. Soil salinization and alkalinization have adverse effects on the physico-chemical [23], microbial [24], and enzyme activities [25] of soil. The impacts of biotic and abiotic factors on soil fertility can be assessed using soil enzyme activities as indicators [26], as microbial activity is greatly affected by soil salinity [27].
Generally, the addition of organic amendments can improve the soil properties in salt-affected soils by influencing the microbial population and activity as well as the availability of the substrate [28]. The replacement of the ions responsible for the salinity/sodicity, either chemically or by adding organic manure/residues, can be a feasible strategy for mitigating the ill effect posed by salt-affected soils [29]. Therefore, the use of rice residues of different particle sizes has remedial effects on soil biological processes through the production of functional enzymes, compatible solutes, and other metabolites in salt-affected soils [23]. In addition to the organic substrate quality [30], the application rate and the size of plant residues [31] can also influence the decomposition process and subsequent enzyme activities. However, the effect of different straw sizes on enzyme activities in contrasting soils during incubation studies remains poorly understood. Examining the responses of enzymes to varying straw sizes can provide insights into the accessibility and availability of substrates for microbial communities in different soil types. The aim of this study was to assess how different particle sizes of rice residue affect soil enzyme activity in three types of soils: normal, saline, and sodic. Additionally, the investigation aimed to assess the effects of the incorporation of rice residues of different particle sizes under varying alkalinity conditions on soil enzymatic activity.

2. Materials and Methods

2.1. Experimental Site and Soil

A laboratory incubation study was conducted using normal, sodic, and saline soils (Typic Ustipsamment) collected from an ongoing field experiment at the research farm of Punjab Agricultural University, Ludhiana (30°56′ N, 75°52′ E, 247 m above mean sea level), in the Indo-Gangetic plains of north-western India. Soil samples (0–0.15 m depth) were randomly collected from five sub-samples and thoroughly mixed to obtain a composite sample. The bulk soil samples were partially air-dried, sieved (<2 mm), graded, and stored at room temperature before the start of the incubation study (Table 1).

2.2. Analysis of Plant Material

The rice straw taken for the study was initially dried at 60 °C and stored in plastic bags before its use in the study as well as for the chemical analysis. The total carbon and nitrogen content of the rice residues was determined from finely ground samples via dry combustion with a Vario EL CHN elemental analyzer (Heraeus Elementor EL, Hanau, Germany). The biochemical constituents, namely, cellulose, hemicelluloses, and lignin, were determined using neutral detergent fiber (NDF) and acid detergent fiber (ADF) via the method described by Perez et al. [32].

2.3. Treatments and Experimental Procedure

A known weight of soil (550 g, dry-weight basis) was weighed and transferred to one-liter polypropylene pots (9 cm internal diameter and 10 cm long). The air-dried experimental soils (normal, saline, and sodic) were then moistened using distilled water, brought to 50% of their water-holding capacities, and incubated for a week at 30 °C before the start of the incubation study. To these pots, 5.5 g (1% dry-weight basis) of each organic residue was added, and the contents were uniformly mixed into the soil. Rice residues were chopped in five different lengths (powdered form, 1 cm, 2 cm, 5 cm, and 10 cm). The base of the pot was tapped firmly to allow the contents to settle to a bulk density of 1.4 g cm−3. A soil sample without rice residue was kept as a control. The experiment was carried out in a completely randomized block design with three soils (normal, saline, and sodic) and six treatments in three replications (Table 1). The treated pots were incubated at 30 °C for 63 days, and moist air was continuously circulated in the incubator. Various soil enzymes (dehydrogenase (DHA), fluorescein diacetate (FDA), and alkaline phosphatase (Alk-P)) were assayed at 1, 3, 7, 14, 21, 28, 42, and 63 days of incubation.
The soil dehydrogenase activity was determined via the method of Camina et al. [33] using 2,3,5-Triphenyl Tetrazolium Chloride (TTC) as a substrate. The soil samples were incubated at 30 °C for 24 h for color development. The filtrate was measured spectrophotometrically at 485 nm after the addition of methanol [34]. The concentration was obtained from the standard graph using µg of Tri Phenyl Formazan (TPF). The activity of alkaline phosphatase (Alk-P) was assayed on the basis of the p-nitrophenol (pNP) released after the cleavage of enzyme-specific synthetic substrates at a natural soil average pH according to the method of Tabatabai and Bremner [35]. To the air-dried soil sample, toluene was added to inactivate the microbial activity. The reaction mixture of a substrate with a modified universal buffer (MUB) that was incubated for 1 h was stopped by the addition of 0.5 M CaCl2. The development of a yellow color with 0.5 M NaOH was analyzed for the p-nitrophenol content on a spectrophotometer at 420 nm.
The fluorescein diacetate (FDA) activity was determined using the method of Adam and Duncan [36]. A soil (2 g) sample was treated with a 60 mM potassium phosphate buffer (pH 7.6) and FDA (1000 mg mL−1) solution. The samples were then placed in an orbital incubator at 30 °C for 20 min. After incubation, 15 mL of chloroform/methanol (2:1 v/v) was added immediately to terminate the reaction. After centrifugation at 2000× g rpm for 10 min, the supernatant was filtered, and the fluorescein color of the filtrate was measured at 490 nm on a spectrophotometer.

2.4. Statistical Analysis

R (version 4.3.0) was used for statistical analysis and to conduct an ANOVA [37]. The least significant difference (LSD) at a 0.05 level of probability was used to test the significance of differences among the treatment means with the help of the agricolae package. A further correlation among all three enzymes in the form of a histogram graph was constructed using R software (version 4.3.0).

3. Results

3.1. Biochemical Quality of Rice Residue

Rice straw (40.3% total C, 0.63% total N, 11.3% ash, C/N = 64.0) was collected from the field and was ground to a fine powder to evaluate the fiber content. The biochemical composition of the straw was found to be 32% cellulose, 27.5% hemicellulose, and 15.8% lignin.

3.2. Effect of Diverse Particle Sizes of Rice Straw on Enzymatic Activities

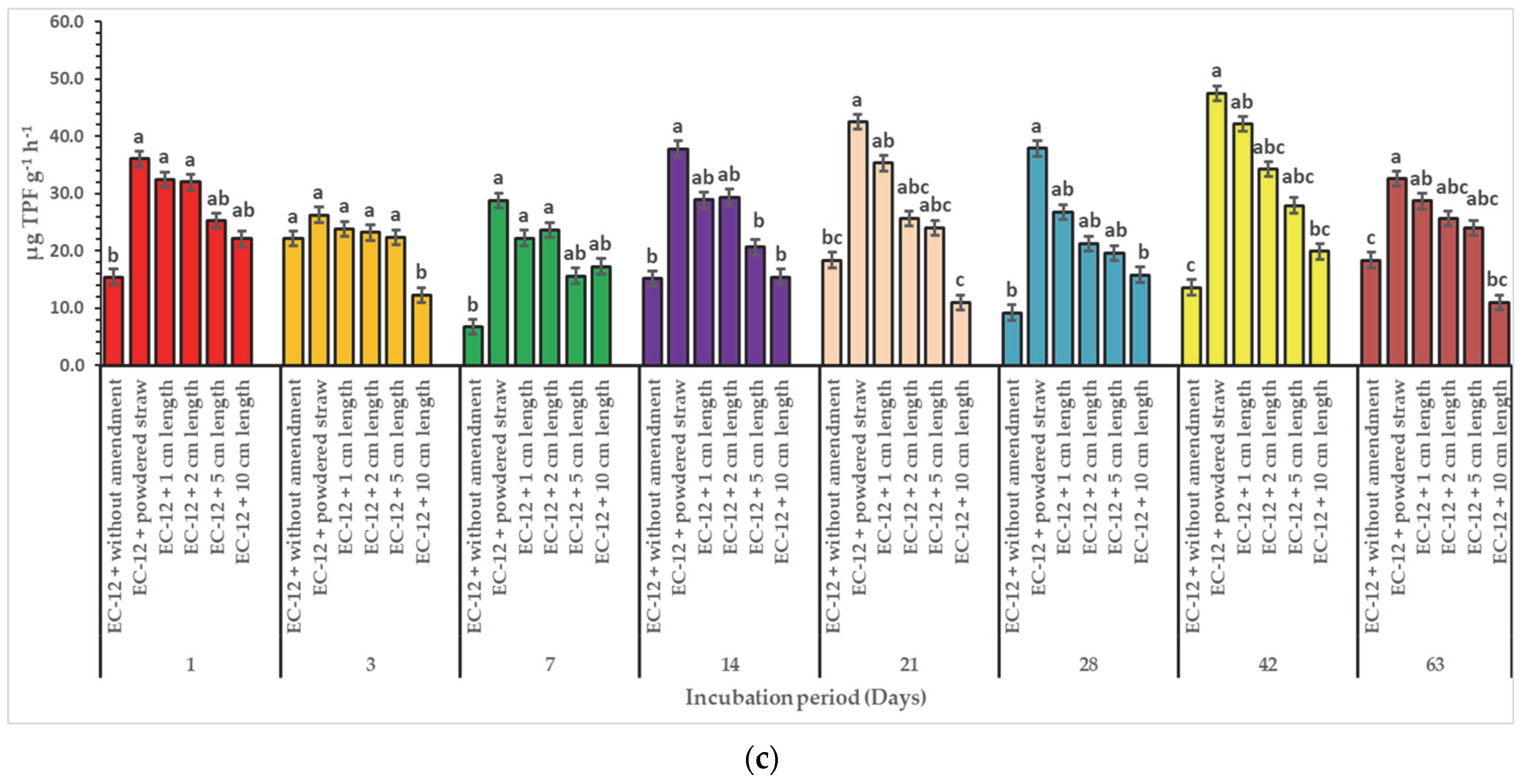
In the present study, DHA varied from 14.3 to 65.4 (4.5 times), from 2.6 to 35.7 (13.7 times), and from 6.7 to 47. 5 (7.9 times) μg TPF g−1 hr−1 in normal, sodic, and saline soils, respectively. Also, it was observed that the minimum value of DHA among all three soils was recorded in sodic soil (2.6 μg TPF g−1 hr−1), while the maximum value was recorded in normal soil (65.4 μg TPF g−1 hr−1). Furthermore, the DHA activity exhibited a consistent increase up to 42 days after incorporation (DAI) in all treatments, followed by a subsequent decline (Figure 1). Clearly, the soil dehydrogenase activity increased upon residue incorporation in all three soils under study. However, the increase was more pronounced in the treatments where powdered rice residue was incorporated than other particle sizes of rice residue with the order of normal > sodic > saline soils. In terms of salinity, no significant changes were observed within the treatments of both sodic and saline soils, irrespective of the size of the rice residue, except the powdered straw, which exhibited higher activity.
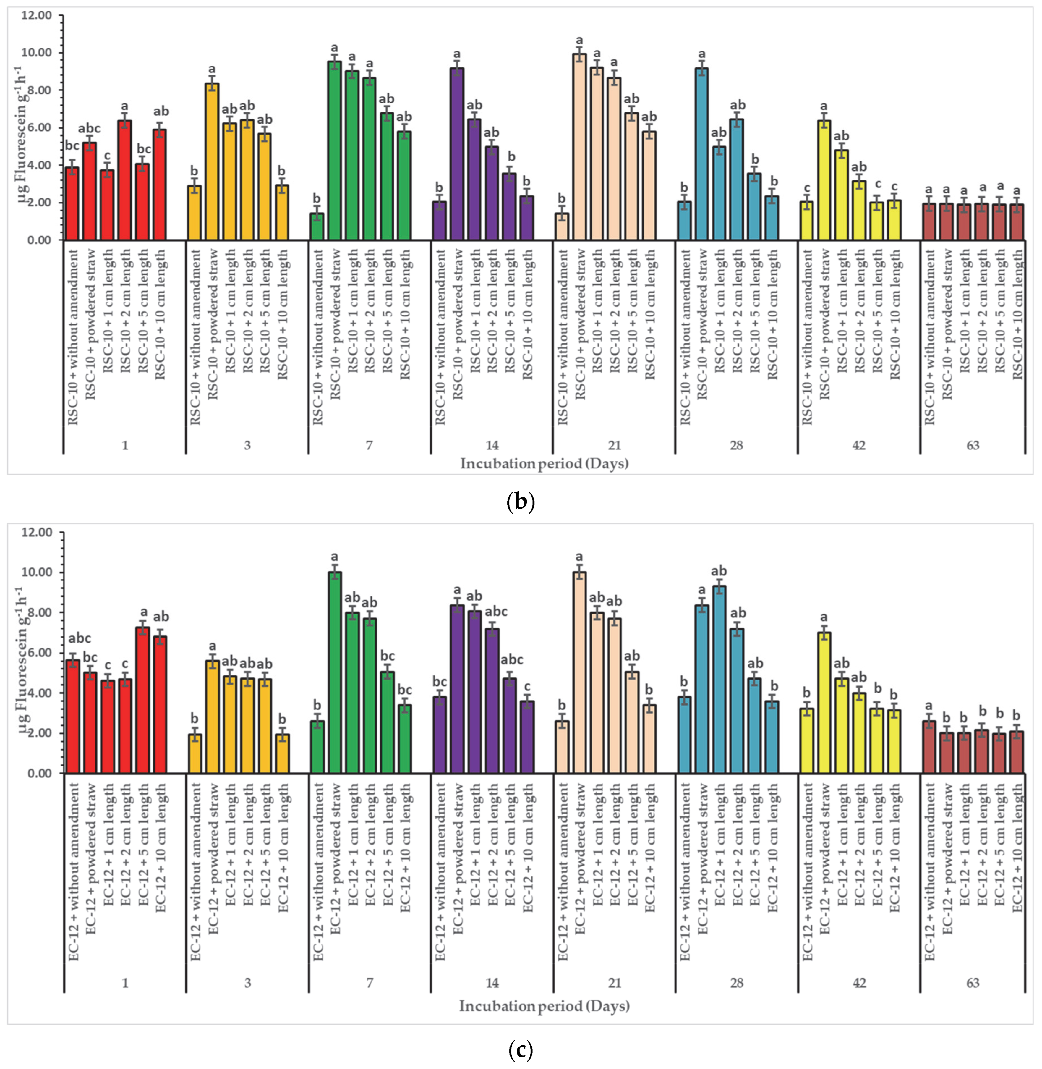
The FDA also varied significantly from 2.01 to 9.44 (4.7 times), from 1.42 to 9.92 (7 times), and from 1.93 to 10.01 (5.1 times) μg fluorescein g−1 h−1 in normal, sodic, and saline soils, respectively. Averaged over all sampling days and enzymes, the minimum activity of FDA was recorded under the treatment where no residue was incorporated in the soil, whereas it was maximal in the soils where powdered residue was incorporated. From the above data, it is evident that the particle size of rice residue had a significant effect on FDA activity (Figure 2). Also, it was lower in the saline soils compared to sodic soils, and the maximum values were recorded in normal soils. However, the activity of the microbial community declined over time in both sodic and saline soils, demonstrating that salinity/sodicity had a negative effect on soil microbial activity. The maximum activity of FDA was observed with powdered rice residue up to 28 DAI in normal soil and at 21 DAI in saline and sodic soils.
The activity of Alk-P showed considerable variation among the three soils. It varied from 1.21 to 12.58 (10.4 times), from 1.23 to 13.44 (10.4 times), and from 1.57 to 11.49 (7.3 times) μg PNP g−1 hr−1 among the normal, sodic, and saline soils, respectively (Figure 3). Among the different treatments, the soils amended with fine powdered residue increased their Alk-P in the initial days of incubation, but in the later stages of sampling its effect was altered. Also, all three soils where no residue was incorporated (control) recorded the minimum value of Alk-P compared to soils receiving varying lengths of residue amendments. Overall, normal soils had more activity of Alk-P compared to the two salt-affected soils under observation. In terms of the different soils studied, the maximum activity of Alk-P was observed at 42 DAI, and it subsequently declined. A correlation analysis showed that FDA had a significant linear and positive relationship with Alk-P (r = 0.98 ***) activity (Figure 4).

4. Discussion

Extracellular activities, an important indicator of microbial functions, are intimately related to C dynamics and nutrient cycling in deteriorated agricultural soils [38]. In the present study, different enzymes varied significantly upon the addition of rice straw of different particle sizes in different soils with varying alkalinity. The DHA in salt-affected soils was significantly less compared to normal soils, and only marginal differences were observed within the treatments in both the soils. This might be due to the presence of less soil biota in salt-affected soils, as salinity may cause an unfavorable environment for them and electrical conductivity is negatively correlated with DHA, as reported by Sritongon et al. [39]. Another reason for it may be the salting-out effect, which involves a decrease in enzyme solubility due to dehydration, resulting in alterations in the enzyme’s catalytic site [40]. Singh et al. [41] concluded that soil salinity causes reduced microbial population due to toxicities from specific ions (Na+ and Cl) or the osmotic effects of excessive salts in soil, which can lead to nutritional imbalances in microbial cells and ultimately decrease DHA enzyme production. In addition to the above conditions, the scarce water induced by salinity leads to imbalances in usual cellular activities and breaks down microbial cells [42]. Hence, there is less microbial activity. This was also evident in the present study. The impact of residue size on DHA also varied significantly (Figure 1). In the present study, DHA was higher with the incorporation of powdered straw at 21 and 42 DAI, suggesting that reduced residue size plays a crucial role in soil microbe colonization, influencing the exchange of water, nutrients, and oxygen [43]. Also, one more possible reason for the high DHA with powdered straw could be that microbes obtain a substrate in a desirable state in a powdered form due to rapid mineralization, which accelerates the activity of DHA in the soils. In this regard, our results are in agreement with the findings of Tejeda and Benenitez [44], who while working on maize crops, reported higher DHA associated with powdered maize straw, which was attributed to intimate plant residue–soil mixing. Regardless of particle sizes and salt levels, normal soil consistently maintained the highest DHA activity due to the fact that rice straw is utilized as a C source by the microbes, which could cause the accelerated DHA in the normal soils. Consistent with our results, Sharma et al. [45] also reported a significant increase in soil DHA upon the addition of rice residue. Averaged across all sampling days, larger particle sizes of residues enhanced the activity in the later stages of incubation (mostly after 21 DAI, Figure 1). A potential reason for this may be the cumulative effect of surface area and microbial activity, and these results are in agreement with the findings of Sisodia et al. [46], who outlined the fact that microbes and their activity have an impact on how organic residues decompose in soil in terms of their size and abundance.
FDA is subject to hydrolysis by various enzymes, including proteases, lipases, and esterases, resulting in the production of fluorescein, which exhibits correlations with parameters of microbial biomass such as the ATP content and oxygen consumption and can provide a measurement of the comprehensive soil microbial activity [47]. In the present study, a trend similar to that of DHA was observed for FDA (Figure 2) due to the fact that salinity alters the osmotic and matric potential of the soil solution, thereby making it difficult for microbes to obtain water and nutrients [48]. Considering all three soils and enzymes, the peak was consistent up to 28 DAI, which was similar to the findings reported by Perucci [49], who observed that soil enzyme activities were significantly higher within 30 days of the addition of municipal compost residues. The increased activities after the addition of organic residues were due to the acceleration of microbe population growth through organic substrate decomposition, supplies of carbon and energy, and steady sources of readily metabolizable C and N for enzyme activity and to stimulate the heterotrophic microbes [50]. The FDA declined significantly after 28 DAI, which could have been due to the fact that there was a differential pattern of the decomposition of the varying residue particle sizes, as initially the brisk mineralization of powdered residue may have contributed to a delay in the net immobilization of varying lengths of rice residues. Overall, FDA was more dominant with the application of powdered rice straw compared to other sizes of rice residues, which can be explained in terms of the wide C/N ratio of rice residues of varying lengths that took more time to decompose compared to powdered straw, which had a very low C/N ratio [51]. Many researchers have reported that FDA is negatively correlated with the electrical conductivity (EC) of soil [39] and significantly correlated with microbial biomass carbon (MBC) [52]. Hence, there is variation in its activity. This was evident in the present study, as FDA was higher in normal soils characterized by a high MBC due to residue incorporation, and its activity was lower in salt-affected soils with high values of EC compared to normal soils.
Soil phosphatase activity arises from a combination of soil bacteria, fungi, and fauna [53]. Unlike DHA and FDA, a sudden decline in Alk-P was observed at 3 DAI (Figure 3), but among the different treatments the Alk-P activity was higher with the application of powdered straw compared to other particle sizes of rice straw. This may have been due to the fact that rice residue, as a substrate for microbes, plays a significant role in the protection of enzymes in the three-dimensional networks of clay and humus complexes. Additionally, the relatively high activity of powdered straw can be attributed to its easily degradable form, facilitating higher microbial activity [54], and the stabilized form of organic matter is not as assuredly decomposed by microbes as the unstable or reactive forms [55]. This confirms the trend of an initial increase in the activity of the phosphatase enzyme where powdered straw was applied. However, after 3 DAI there was an inconsistent peak in the activity up to 42 DAI, beyond which it declined sharply. Also, this inconsistent peak was dominant in normal soils compared to the two salt-affected soils, as the activity of Alk-P in both sodic and saline soils declined with time, demonstrating that the activity of the microbial community was greatly influenced by the salinity/sodicity [52] compared to normal soils. Microbes exhibit the ability to produce and release significant quantities of extracellular phosphatase due to their collective biomass, high metabolic activity, and short life cycles [56]. The present investigation also concluded that the abundance of the phosphatase enzyme was higher in sodic soil compared to saline soil, which could have been due to the fact that the sodic soils had more available P and a positive correlation between the available P and the phosphatase enzyme [57]. Averaged over all sampling days of the incubation, the pattern for the activity of Alk-P was found to be normal > sodic > saline. This pattern of activity was confirmed by the results reported by Mishra et al. [58], which stated that in natural unreclaimed soil, the introduction of organic inputs from native plants can stimulate microbial activity and help mitigate the osmotic stress induced by soluble salts. Some researchers also reported that enzymes in salt-affected soils are less protected and might be denatured by proteolysis [39].

5. Conclusions

Our results indicate that soil enzymatic activities were substantially enhanced after the addition of different sizes of rice straw during the first few days of incubation. The maximum enzymatic activities were observed up to 28 days after incorporation. Soil enzyme activities were significantly higher in normal soils, followed by sodic soils, and were lowest in saline soils. The soils with the highest salinity level and larger particle sizes showed the lowest soil enzymatic activities. Both the particle size of rice straw and salt levels should be considered important factors for predicting their rates of decomposition using periodic changes in soil enzyme activity. The present study highlights the positive impact of the application of a smaller size of rice straw, which significantly enhanced soil enzymatic activity compared to larger sizes in salt-affected soils.

Author Contributions

Conceptualization, S.S., A.S.C. and N.G.; methodology, S.S., S.A. and N.G.; software, S.S., S.A. and M.H.S.; validation, S.S. and N.G.; formal analysis, S.S., N.S., S.A., M.H.S. and A.S.C.; investigation, S.S., A.S.C. and N.G.; resources, S.A., M.H.S. and S.S.; data curation, S.S.; writing—original draft preparation, S.A., S.S., N.S., A.S.C. and M.H.S.; writing—review and editing, S.S., N.G., N.S., S.A., M.H.S. and F.U.H.; visualization, N.G. and S.S.; supervision, S.S.; project administration, S.S.; funding acquisition, S.A. and M.H.S. All authors have read and agreed to the published version of the manuscript.

Funding

This research was funded by the Researchers Supporting Project number (RSP2023R194), King Saud University, Riyadh, Saudi Arabia.

Institutional Review Board Statement

Not applicable.

Data Availability Statement

Not applicable.

Acknowledgments

The authors would like to extend their sincere appreciation to the Researchers Supporting Project number (RSP2023R194), King Saud University, Riyadh, Saudi Arabia. Thanks are due to the Head, Department of Soil Science, Punjab Agricultural University for providing necessary laboratory and field facilities.

Conflicts of Interest

The authors declare no conflict of interest.

References

  1. Wang, S.; Tang, J.; Li, Z.; Liu, Y.; Zhou, Z.; Wang, J.; Dai, Z. Carbon mineralization under different saline—Alkali stress conditions in paddy fields of Northeast China. Sustainability 2020, 12, 2921. [Google Scholar] [CrossRef]
  2. Zhang, S.J.; Zhang, G.; Wang, D.J.; Liu, Q. Abiotic and biotic effects of long-term straw retention on reactive nitrogen runoff losses in a rice–wheat cropping system in the Yangtze Delta region. Agric. Ecosyst. Environ. 2021, 305, 107162. [Google Scholar] [CrossRef]
  3. Buckley, S.; Allen, D.; Brackin, R.; Jamtgard, S.; Nasholm, T.; Schmidt, S. Microdialysis as an in situ technique for sampling soil enzymes. Soil Biol. Biochem. 2019, 135, 20–27. [Google Scholar] [CrossRef]
  4. Mazzon, M.; Cavani, L.; Margon, A.; Sorrenti, G.; Ciavatta, C.; Marzadori, C. Changes in soil phenol oxidase activities due to long-term application of compost and mineral N in a walnut orchard. Geoderma 2018, 316, 70–77. [Google Scholar] [CrossRef]
  5. Ma, L.; Zhao, B.; Guo, Z.; Wang, D.; Li, D.; Xu, J.; Zhang, J. Divergent responses of bacterial activity, structure, and co-occurrence patterns to long-term unbalanced fertilization without nitrogen, phosphorus, or potassium in a cultivated vertisol. Environ. Sci. Pollut. Res. 2019, 26, 12741–12754. [Google Scholar] [CrossRef]
  6. Das, S.K.; Varma, A. Role of enzymes in maintaining soil health. In Soil Enzymology; Shukla, G., Varma, A., Eds.; Springer: Berlin/Heidelberg, Germany, 2011; pp. 25–42. [Google Scholar]
  7. Sun, R.; Dsouza, M.; Gilbert, J.A.; Guo, X.; Wang, D.; Guo, Z.; Ni, Y.; Chu, H. Fungal community composition in soils subjected to long-term chemical fertilization is most influenced by the type of organic matter. Environ. Microbiol. 2016, 18, 5137–5150. [Google Scholar] [CrossRef] [PubMed]
  8. Kumar, K.; Goh, K.M. Crop residue management: Effects on soil quality, soil nitrogen dynamics, crop yield, and nitrogen recovery. Adv. Agron. 2000, 68, 197–319. [Google Scholar]
  9. Wang, J.B.; Chen, Z.H.; Chen, L.J.; Zhu, A.N.; Wu, Z.J. Surface soil phosphorus and phosphatase activities affected by tillage and crop residue input amounts. Plant Soil Environ. 2011, 6, 251–257. [Google Scholar] [CrossRef]
  10. Ahmad, R.; Jilani, G.; Arshad, M.; Zahir, Z.A.; Khalid, A. Bio-conversion of organic wastes for their recycling in agriculture: An overview of perspectives and prospects. Ann. Microbiol. 2007, 57, 471–479. [Google Scholar] [CrossRef]
  11. Alghamdi, R.S.; Cihacek, L. Do post-harvest crop residues in no-till systems provide for nitrogen needs of following crops? Agron. J. 2022, 114, 835–852. [Google Scholar] [CrossRef]
  12. Magid, J.; De Neergaard, A.; Brandt, M. Heterogeneous distribution may substantially decrease initial decomposition, long-term microbial growth and N-immobilization from high C-to-N ratio resources. Eur. J. Soil Sci. 2006, 57, 517–529. [Google Scholar] [CrossRef]
  13. Guerif, J.; Richard, G.; Durr, C.; Machet, J.M.; Recous, S.; Roger-Estrade, J. A review of tillage effects on crop residue management, seedbed conditions and seedling establishment. Soil Tillage Res. 2001, 61, 13–32. [Google Scholar] [CrossRef]
  14. Cogle, A.L.; Strong, W.M.; Saffigna, P.G.; Ladd, J.N.; Amato, M. Wheat straw decomposition in subtropical Australia. II.* effect of straw placement on decomposition and recovery of added “N-urea. Aust. J. Soil Res. 1987, 25, 481–490. [Google Scholar] [CrossRef]
  15. Nyhan, J.W. Decomposition of Carbon-14 labeled plant materials in a grassland soil under field conditions. Soil Proc. Sci. Soc. Am. 1975, 39, 643–648. [Google Scholar] [CrossRef]
  16. Amato, M.; Jackson, R.B.; Butler, J.H.A.; Ladd, J.N. Decomposition of plant material in Australian soils. II. Residual organic 14C and 15N from legume plant parts decomposing under field and laboratory conditions. Aust. J. Soil Res. 1984, 22, 331–341. [Google Scholar] [CrossRef]
  17. Sørensen, P.; Ladd, J.N.; Amato, M. Microbial assimilation of14C of ground and unground plant materials decomposing in aloamy sand and a clay soil. Soil Biol. Biochem. 1996, 28, 1425–1434. [Google Scholar] [CrossRef]
  18. Thomas, B.S.; Yang, J.; Mo, K.M.; Abdalla, J.A.; Hawileh, R.A.; Ariyachandra, E. Biomass ashes from agricultural wastes as supplementary cementitious materials or aggregate replacement in cement/geopolymer concrete: A comprehensive review. J. Build. Eng. 2021, 40, 102332. [Google Scholar] [CrossRef]
  19. Hailu, B.; Mehari, H. Impacts of soil salinity/sodicity on soil-water relations and plant growth in dry land areas: A review. J. Nat. Sci. Res. 2021, 12, 1–10. [Google Scholar]
  20. Litalien, A.; Zeeb, B. Curing the earth: A review of anthropogenic soil salinization and plant based strategies for sustainable mitigation. Sci. Total Environ. 2020, 698, 134235. [Google Scholar] [CrossRef]
  21. Hayat, K.; Bundschuh, J.; Jan, F.; Menhas, S.; Hayat, S.; Haq, F.; Shah, A.; Chaudhary, H.J.; Ullah, A.; Zhang, D.; et al. Combating soil salinity with combining saline agriculture and phyto management with salt accumulating plants. Crit. Rev. Environ. Sci. Technol. 2020, 11, 1085–1115. [Google Scholar] [CrossRef]
  22. Wicke, B.; Smeets, E.; Dornburg, V.; Vashev, B.; Gaiser, T.; Turkenburg, W.; Faaij, A. The global technical and economic potential of bioenergy fromsalt-affected soils. Energy Environ. Sci. 2011, 4, 2669–2681. [Google Scholar] [CrossRef]
  23. Dendooven, L.; Alcántara-Hernández, R.J.; Valenzuela-Encinas, C.; Luna-Guido, M.; Perez-Guevara, F.; Marsh, R. Dynamics of carbon and nitrogen in an extreme alkaline saline soil: A review. Soil Biol. Biochem. 2010, 42, 865–877. [Google Scholar] [CrossRef]
  24. Yan, N.; Marshner, P. Response of microbial activity and biomass to increasing salinity depends on the final salinity, not the original salinity. Soil Biol. Biochem. 2012, 53, 50–55. [Google Scholar] [CrossRef]
  25. Singh, K.; Singh, B.; Singh, R.R. Changes in physico-chemical, microbial and enzymatic activities during restoration of degraded sodic land: Ecological suitability of mixed forest over monoculture plantation. Catena 2012, 96, 57–67. [Google Scholar] [CrossRef]
  26. Zhang, X.; Dippold, M.A.; Kuzyakov, Y.; Razavi, B.S. Spatial pattern of enzyme activities depends on root exudate composition. Soil Biol. Biochem. 2019, 133, 83–93. [Google Scholar] [CrossRef]
  27. Egamberdieva, D.; Renella, G.; Wirth, S.; Islam, R. Secondary salinity effects on soil microbial biomass. Biol. Fertil. Soils 2010, 46, 445–449. [Google Scholar] [CrossRef]
  28. Makoi, J.H.J.R.; Ndakidemi, P.A. Reclamation of sodic soils in northern Tanzania, using locally available organic and inorganic resources. Afr. J. Biotechnol. 2007, 6, 1926–1931. [Google Scholar]
  29. Garcıa-Gil, J.C.; Plaza, C.; Soler-Rovira, P.; Polo, A. Long-term effects of municipal solid waste compost application on soil enzyme activities and microbial biomass. Soil Biol. Biochem. 2000, 32, 1907–1913. [Google Scholar] [CrossRef]
  30. Ansari, M.A.; Ravishankar, N.; Ansari, M.H.; Babu, S.; Layek, J.; Panwar, A.S. Integrating conservation agriculture with intensive crop diversification in the maize-based organic system: Impact on sustaining food and nutritional security. Front. Nutr. 2023, 10, 1137247. [Google Scholar] [CrossRef]
  31. Yang, X.; Liu, J.; McGrouther, K.; Huang, H.; Lu, K.; Guo, X.; He, L.; Lin, X.; Che, L.; Ye, Z.; et al. Effect of biochar on the extractability of heavy metals (Cd, Cu, Pb and Zn) and enzyme activity in soil. Environ. Sci. Pollut. Res. 2016, 23, 974–984. [Google Scholar] [CrossRef]
  32. Pérez-Hidalgo, M.; Guerra-Hernández, E.; García-Villanova, B. Determination of insoluble dietary fiber compounds: Cellulose, hemicellulose and lignin in legumes. ARS Pharm. 1997, 38, 357–364. [Google Scholar]
  33. Camina, F.; Trasar, C.C.; Sotres, G.F.; Leiros, C. Measurement of dehydrogenase activity in acid soil rich in organic matter. Soil Biol. Biochem. 1998, 33, 1005–1011. [Google Scholar] [CrossRef]
  34. Casida, L.E.; Kalien, D.A., Jr.; Sartoro, T. Soil dehydrogenase activity. Soil Sci. 1964, 98, 371–376. [Google Scholar] [CrossRef]
  35. Tabatabai, M.A.; Bremmer, J.M. Use of p-nitrophenyl phosphate for assay of soil phosphatase activity. Soil Biol. Biochem. 1969, 1, 301–307. [Google Scholar] [CrossRef]
  36. Adam, G.; Duncan, H. Development of a sensitive and rapid method for the measurement of total microbial activity using fluorescein diacetate (FDA) in a range of soils. Soil Biol. Biochem. 2001, 33, 943–951. [Google Scholar] [CrossRef]
  37. R Core Team. R Language Definition; R Foundation for Statistical Computing: Vienna, Austria, 2000; Volume 3. [Google Scholar]
  38. Wu, J.P.; Liu, Z.F.; Sun, Y.X.; Zhou, L.X.; Lin, Y.B.; Fu, S.F. Introduced Eucalyptus urophylla plantations change the composition of the microbial community in subtropical China. Land Degrad. Dev. 2013, 24, 400–406. [Google Scholar] [CrossRef]
  39. Sritongon, N.; Sarin, P.; Theerakulpisut, P.; Riddech, N. The effect of salinity on soil chemical characteristics, enzyme activity and bacterial community composition in rice rhizospheres in Northeastern Thailand. Sci. Rep. 2022, 12, 20360. [Google Scholar] [CrossRef] [PubMed]
  40. Lemanowicz, J.; Gawlińska, K.; Siwik-Ziomek, A. Impact of technogenic saline soils on some chemical properties and on the activity of selected enzymes. Energies 2021, 14, 4882. [Google Scholar] [CrossRef]
  41. Singh, P.; Chaudhary, O.P.; Mavi, M.S. Irrigation-induced salinization effects on soil chemical and biological properties under Cotton-Wheat rotation on loamy sand soil in Northwest India. J. Ind. Soc. Soil Sci. 2018, 66, 386–391. [Google Scholar] [CrossRef]
  42. Yan, N.; Marshner, P.; Cao, W.; Zuo, C.; Qin, W. Influence of salinity and water content on soil microorganisms. Int. Soil Water Conserv. Res. 2015, 3, 316–323. [Google Scholar] [CrossRef]
  43. Whalen, J.K. Managing soil biota-mediated decomposition and nutrient mineralization in sustainable agroecosystems. Adv. Agric. 2014, 2014, 384604. [Google Scholar] [CrossRef]
  44. Tejada, M.; Benitez, C. Effects of crushed maize straw residues on soil biological properties and soil restoration. Land Degrad. Dev. 2014, 25, 501–509. [Google Scholar] [CrossRef]
  45. Sharma, S.; Saikia, R.; Thind, H.S.; Singh, Y.; Jat, M.L. Tillage, green manure and residue management accelerate soil carbon pools and hydrolytic enzymatic activities for conservation agriculture based rice-wheat systems. Commun. Soil Sci. Plant Anal. 2020, 52, 470–486. [Google Scholar] [CrossRef]
  46. Sisodia, R.S.; Lal, M.; Vardhan, A.D.; Singh, R.B.; Mandal, A.; Manna, M.C.; Singh, V.K.; Brajendra. Effect of manure and chemical amelioration on crop yields and soil biological activities in saline soils of semiarid Indo-Gangetic alluvium (Typic ustrochrepts) type in India. Ind. J. Agric. Sci. 2013, 83, 1031–1037. [Google Scholar]
  47. Dzionek, A.; Dzik, J.; Wojcieszyńska, D.; Guzik, U. Fluorescein diacetate hydrolysis using the whole biofilm as a sensitive tool to evaluate the physiological state of immobilized bacterial cells. Catalysts 2018, 8, 434. [Google Scholar] [CrossRef]
  48. Fagodiya, R.K.; Malyan, S.K.; Singh, D.; Kumar, A.; Yadav, R.K.; Sharma, P.C.; Pathak, H. Greenhouse gas emissions from salt-affected soils: Mechanistic understanding of interplay factors and reclamation approaches. Sustainability 2022, 14, 11876. [Google Scholar] [CrossRef]
  49. Perucci, P. Effect of the addition of municipal solid-waste compost on microbial biomass and enzyme activities in soil. Biol. Fertil. Soils 1990, 10, 221–226. [Google Scholar] [CrossRef]
  50. Pathak, H.; Rao, D.L.N. Carbon and nitrogen mineralization from added organic matter in saline and alkali soils. Soil Biol. Biochem. 1998, 30, 695–702. [Google Scholar] [CrossRef]
  51. Ambus, P.; Jensen, E.S. Nitrogen mineralization and denitrification as influenced by crop residue particle size. Plant Soil 1997, 197, 261–270. [Google Scholar] [CrossRef]
  52. Azadi, N.; Raiesi, F. Salinization depresses soil enzyme activity in metal-polluted soils through increases in metal mobilization and decreases in microbial biomass. Ecotoxicology 2021, 30, 1071–1083. [Google Scholar] [CrossRef] [PubMed]
  53. Neemisha; Sharma, S. Soil enzymes and their role in nutrient cycling. In Structure and Functions of Pedosphere; Springer Nature Singapore: Singapore, 2022; pp. 173–188. [Google Scholar]
  54. Tabatabai, M.A. Soil Enzymes. In Methods of Soil Analysis Part 2 Microbiological and Biochemical Properties; Weaver, R.W., Angle, S., Bottomley, P., Bezdicek, D., Smith, S., Tabatabai, A., Wollum, A., Eds.; Soil Science Society of America: Madison, WI, USA, 1994; pp. 775–833. [Google Scholar]
  55. Liang, C.; Gasco, G.; Fu, S.; Méndez, A.; Paz-Ferreiro, J. Biochar from pruning residues as a soil amendment: Effects of pyrolysis temperature and particle size. Soil Tillage Res. 2016, 164, 3–10. [Google Scholar] [CrossRef]
  56. Zahran, H.H. Diversity, adaptation and activity of the bacterial flora in saline environments. Biol. Fert. Soil 1997, 25, 211–223. [Google Scholar] [CrossRef]
  57. Harrison, A.F. Relationship between intensity of phosphatase activity and physico-chemical properties in woodland soils. Soil Biol. Biochem. 1983, 15, 93–99. [Google Scholar] [CrossRef]
  58. Mishra, P.; Mishra, J.; Arora, N.K. Plant growth promoting bacteria for combating salinity stress in plants–Recent developments and prospects: A review. Microbiol. Res. 2021, 252, 126861. [Google Scholar] [CrossRef]
Figure 1. Changes in DHA, as influenced by different particle sizes of rice straw, in normal soils (a), sodic soils (b), and saline soils (c). Error bars denote standard deviations, and the values with similar letters do not differ significantly at the 5% level as per DMRT. (RSC-residual sodium carbonate).
Figure 1. Changes in DHA, as influenced by different particle sizes of rice straw, in normal soils (a), sodic soils (b), and saline soils (c). Error bars denote standard deviations, and the values with similar letters do not differ significantly at the 5% level as per DMRT. (RSC-residual sodium carbonate).
Agriculture 13 01694 g001aAgriculture 13 01694 g001b
Figure 2. Changes in FDA, as influenced by different particle sizes of rice straw, in normal soils (a), sodic soils (b), and saline soils (c). Error bars denote standard deviations, and the values with similar letters do not differ significantly at the 5% level as per DMRT.
Figure 2. Changes in FDA, as influenced by different particle sizes of rice straw, in normal soils (a), sodic soils (b), and saline soils (c). Error bars denote standard deviations, and the values with similar letters do not differ significantly at the 5% level as per DMRT.
Agriculture 13 01694 g002aAgriculture 13 01694 g002b
Figure 3. Changes in Alk-P, as influenced by different particle sizes of rice straw, in normal soils (a), sodic soils (b), and saline soils (c). Error bars denote standard deviations, and the values with similar letters do not differ significantly at the 5% level as per DMRT.
Figure 3. Changes in Alk-P, as influenced by different particle sizes of rice straw, in normal soils (a), sodic soils (b), and saline soils (c). Error bars denote standard deviations, and the values with similar letters do not differ significantly at the 5% level as per DMRT.
Agriculture 13 01694 g003
Figure 4. Relationship between dehydrogenase (DHA), fluorescein diacetate (FDA), and alkaline phosphatase (Alk-P). * and *** significance at 0.01 and 0.05%.
Figure 4. Relationship between dehydrogenase (DHA), fluorescein diacetate (FDA), and alkaline phosphatase (Alk-P). * and *** significance at 0.01 and 0.05%.
Agriculture 13 01694 g004
Table 1. Initial physico-chemical characteristics of normal, sodic, and saline soils.
Table 1. Initial physico-chemical characteristics of normal, sodic, and saline soils.
ParametersNormal SoilSodic SoilSaline Soil
pH7.828.867.05
EC0.4062.102.45
Ca2+ + Mg2+ (meq L−1)4.31.91.4
HCO3 (meq L−1)2.56.53.8
Chlorine (meq L−1)3.516.817.1
Na+ (meq L−1)7.8831.2530.7
K+ (meq L−1)2.881.440.961
SAR7.4344.051.0
Organic carbon (%)0.440.420.43
Available phosphorus (kg ha−1)24.1822.044.76
Available potassium (kg ha−1)16015070
meq L1—milliequivalent per liter; SAR—sodium absorption ratio; EC—electrical conductivity.
Disclaimer/Publisher’s Note: The statements, opinions and data contained in all publications are solely those of the individual author(s) and contributor(s) and not of MDPI and/or the editor(s). MDPI and/or the editor(s) disclaim responsibility for any injury to people or property resulting from any ideas, methods, instructions or products referred to in the content.

Share and Cite

MDPI and ACS Style

Sharma, S.; Gupta, N.; Chakkal, A.S.; Sharma, N.; Alamri, S.; Siddiqui, M.H.; Haider, F.U. Changes in Enzyme Activities in Salt-Affected Soils during Incubation Study of Diverse Particle Sizes of Rice Straw. Agriculture 2023, 13, 1694. https://doi.org/10.3390/agriculture13091694

AMA Style

Sharma S, Gupta N, Chakkal AS, Sharma N, Alamri S, Siddiqui MH, Haider FU. Changes in Enzyme Activities in Salt-Affected Soils during Incubation Study of Diverse Particle Sizes of Rice Straw. Agriculture. 2023; 13(9):1694. https://doi.org/10.3390/agriculture13091694

Chicago/Turabian Style

Sharma, Sandeep, Nihar Gupta, Anmoldeep Singh Chakkal, Neha Sharma, Saud Alamri, Manzer H. Siddiqui, and Fasih Ullah Haider. 2023. "Changes in Enzyme Activities in Salt-Affected Soils during Incubation Study of Diverse Particle Sizes of Rice Straw" Agriculture 13, no. 9: 1694. https://doi.org/10.3390/agriculture13091694

APA Style

Sharma, S., Gupta, N., Chakkal, A. S., Sharma, N., Alamri, S., Siddiqui, M. H., & Haider, F. U. (2023). Changes in Enzyme Activities in Salt-Affected Soils during Incubation Study of Diverse Particle Sizes of Rice Straw. Agriculture, 13(9), 1694. https://doi.org/10.3390/agriculture13091694

Note that from the first issue of 2016, this journal uses article numbers instead of page numbers. See further details here.

Article Metrics

Back to TopTop