Antioxidant Profile and Sensory Analysis in Olive Oils of Different Quality Grades
Abstract
1. Introduction
2. Materials and Methods
2.1. Samples and Quality Parameters
2.2. Sensory Analysis
2.3. Fatty Acid Profile
2.4. Antioxidant Capacity
2.4.1. Extracts’ Preparation for Polyphenol Compounds and Antioxidant Activity Determination
2.4.2. Total Phenolic Compounds (TPC) Content
2.4.3. Total Antioxidant Capacity Determination
2.5. Statistical Analyses
3. Results and Discussion
3.1. Quality Parameters
3.2. Sensory Analyses
3.3. Fatty Acid Profile
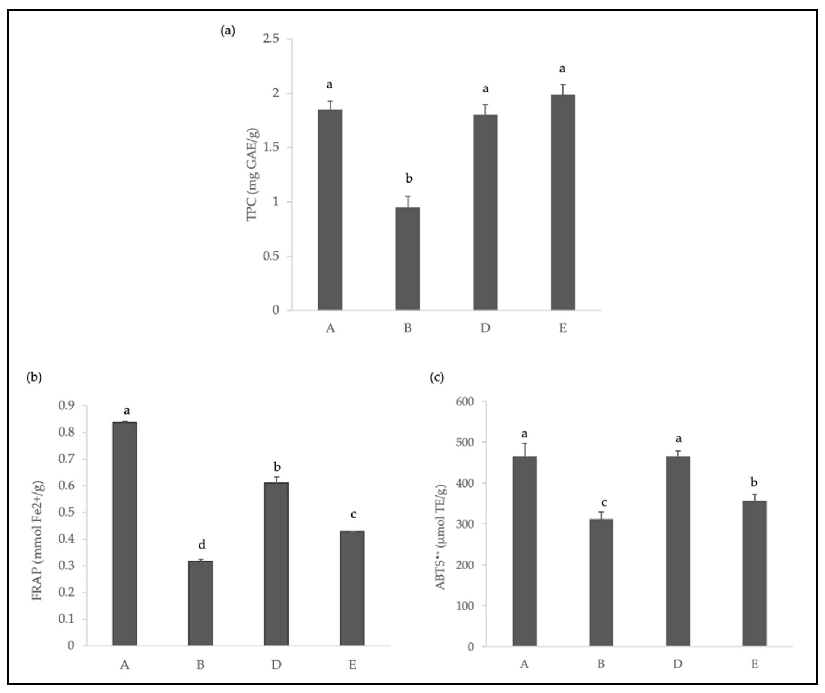
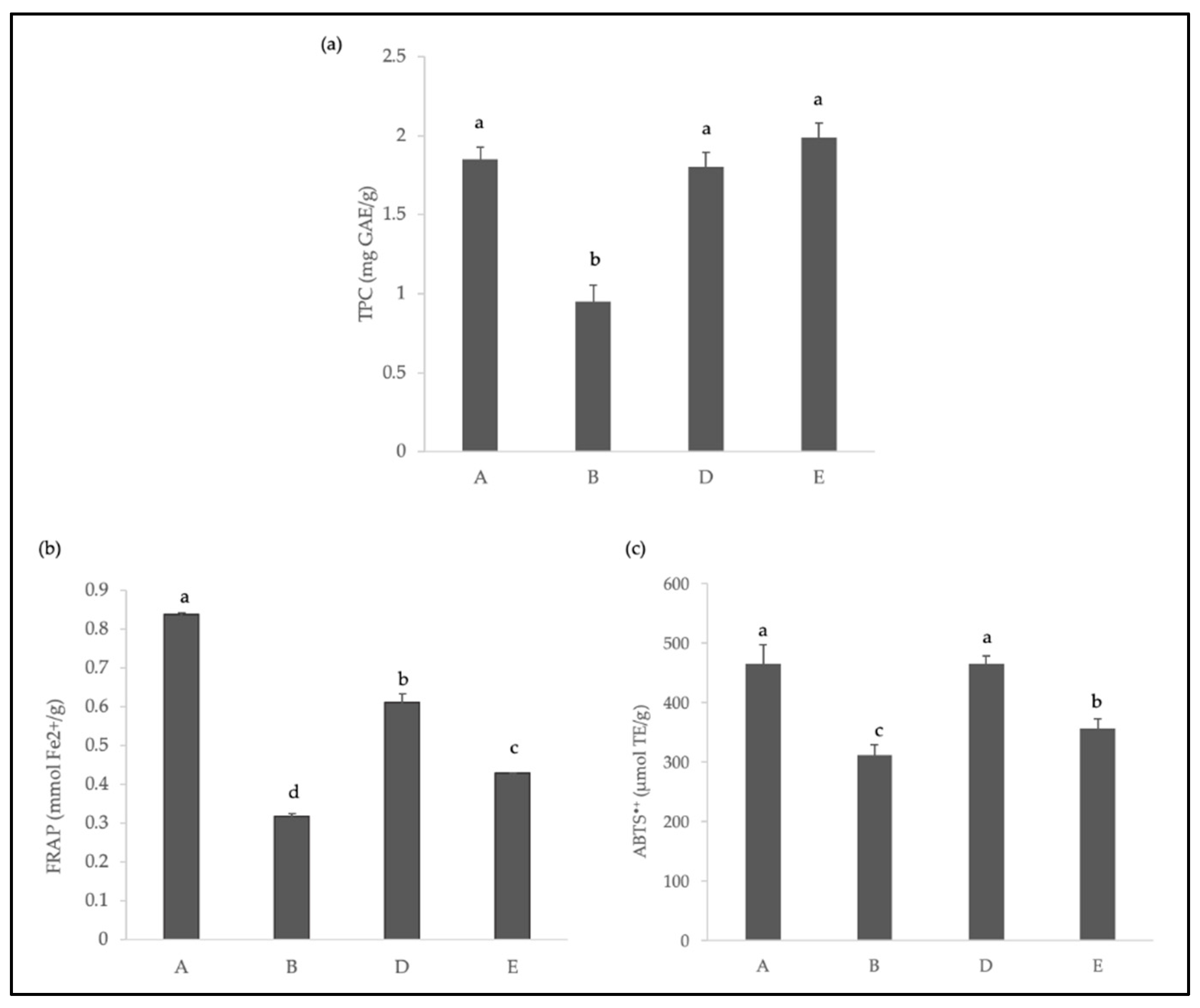
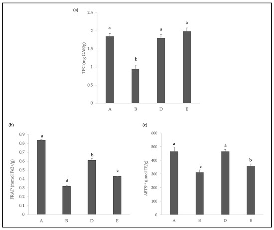
3.4. Antioxidant Profile
3.4.1. Total Phenolic Compounds
3.4.2. Total Antioxidant Capacity Determination
3.5. Principal Component Analysis
4. Conclusions
Author Contributions
Funding
Institutional Review Board Statement
Informed Consent Statement
Data Availability Statement
Conflicts of Interest
References
- IOC (2018). Sensory Analysis of Olive Oil Method for the Organoleptic Assessment of Virgin Olive Oil. COI/T.20/Doc. No 15/Rev. 10. 2018. Available online: https://www.internationaloliveoil.org/wp-content/uploads/2019/11/COI-T20-Doc.-15-REV-10-2018-Eng.pdf (accessed on 3 April 2023).
- EU, Commission Delegated Regulation, 2022/2104 of 29 July 2022. Available online: http://data.europa.eu/eli/reg_del/2022/2104/oj (accessed on 27 April 2023).
- IOC. Trade Standard Applying to Olive Oils and Olive Pomace Oils. COI/T.15/NC No 3/Rev. 19, November 2022. Available online: https://www.internationaloliveoil.org/wp-content/uploads/2022/12/Norme-comerciale-REV-19_ENK.pdf (accessed on 27 April 2023).
- Foscolou, A.; Critselis, E.; Panagiotakos, D. Olive oil consumption and human health: A narrative review. Maturitas 2018, 118, 60–66. [Google Scholar] [CrossRef]
- Román, G.C.; Jackson, R.E.; Reis, J.N.; Román, A.B.; Toledo, J.; Toledo, E. Extra-virgin olive oil for potential prevention of Alzheimer disease. Rev. Neurol. 2019, 175, 705–723. [Google Scholar] [CrossRef]
- Jimenez-Lopez, C.; Carpena, M.; Lourenço-Lopes, C.; Gallardo-Gomez, M.; Lorenzo, J.M.; Barba, F.J.; Prieto, M.A.; Simal-Gandara, J. Bioactive Compounds and Quality of Extra Virgin Olive Oil. Foods 2020, 9, 1014. [Google Scholar] [CrossRef] [PubMed]
- Yubero-Serrano, E.M.; Lopez-Moreno, J.; Gomez-Delgado, F.; Lopez-Miranda, J. Extra virgin olive oil: More than a healthy fat. Eur. J. Clin. Nutr. 2019, 72, 8–17. [Google Scholar] [CrossRef]
- Seçmeler, Ö.; Galanakis, C.M. Chapter 8-olive fruit and olive oil. In Innovations in Traditional Foods; Woodhead Publishing: Sawston, UK, 2019; pp. 193–220. ISBN 9780128148884. [Google Scholar]
- Jukić Špika, M.; Perica, S.; Žanetić, M.; Škevin, D. Virgin Olive Oil Phenols, Fatty Acid Composition and Sensory Profile: Can Cultivar Overpower Environmental and Ripening Effect? Antioxidants 2021, 10, 689. [Google Scholar] [CrossRef]
- Caporaso, N.; Savarese, M.; Paduano, A.; Guidone, G.; De Marco, E.; Sacchi, R. Nutritional quality assessment of extra virgin olive oil from the Italian retail market: Do natural antioxidants satisfy EFSA health claims? J. Food Compos. Anal. 2015, 40, 154–162. [Google Scholar] [CrossRef]
- Lanza, B.; Ninfali, P. Antioxidants in Extra Virgin Olive Oil and Table Olives: Connections between Agriculture and Processing for Health Choices. Antioxidants 2020, 9, 41. [Google Scholar] [CrossRef]
- Commission Regulation (EU). No 432/2012. Off. J. Eur. Union Lex 2012, 136, 281–320. [Google Scholar]
- EFSA Panel on Dietetic Products, Nutrition and Allergies (NDA). Scientific Opinion on the substantiation of health claims related to polyphenols in olive and protection of LDL particles from oxidative damage (ID 1333, 1638, 1639, 1696, 2865), maintenance of normal blood HDL cholesterol concentrations (ID 1639), maintenance of normal blood pressure (ID 3781),“anti-inflammatory properties” (ID 1882), “contributes to the upper respiratory tract health” (ID 3468), “can help to maintain a normal function of gastrointestinal tract” (3779), and “contributes to body defences against external agents” (ID 3467) pursuant to Article 13(1) of Regulation (EC) No 1924/2006. EFSA J. 2011, 9, 2033. [Google Scholar] [CrossRef]
- Roselli, L.; Clodoveo, M.L.; Corbo, F.; De Gennaro, B. Are health claims a useful tool to segment the category of extra-virgin olive oil? Threats and opportunities for the Italian olive oil supply chain. Trends Food Sci. Technol. 2017, 68, 176–181. [Google Scholar] [CrossRef]
- Commission Regulation (EEC). n. 2568/91. On the characteristics of olive oil and olive pomace oil and on the relevant methods of analysis. Off. J. Eur. Union Lex 1991, 248, 1–82. [Google Scholar]
- Commission Regulation EU. No 61/2011 of 24 January 2011 amending Regulation No 2568/91/EEC on the characteristics of olive oil and olive pomace oil and on the relevant methods of analysis. Off. J. Eur. Comm. Lex 2011, 23, 1–13. [Google Scholar]
- Commission Regulation EU. No 1348/2013 of 16 December 2013 amending Regulation No 2568/91/EEC on the characteristics of olive oil and olive pomace oil and on the relevant methods of analysis. Off. J. Eur. Comm. Lex 2013, 338, 31–67. [Google Scholar]
- IOC (2021). Sensory Analysis of Olive Oil. Standard Guide for the Selection, Training and Quality Control of Virgin Olive Oil Tasters. Qualifications of Tasters, Panel Leaders and Trainers. COI/T.20/Doc. No 14/Rev. 7. 2021. Available online: https://www.internationaloliveoil.org/wp-content/uploads/2021/07/COI-T.20-Doc-14-REV-7-2021-EN.pdf (accessed on 27 April 2023).
- IOC (2021). Guidelines for the Accomplishment of Requirements of Standard ISO 17025 of Sensory Testing Laboratories with Particular Reference to Virgin Olive Oil. COI/T.28/Doc. No 1/Rev. 6. 2021. Available online: https://www.internationaloliveoil.org/wp-content/uploads/2021/12/COI-T28-Doc.-1-Rev6-Eng.pdf (accessed on 27 April 2023).
- Commission Implementing Regulation (EU) 2015/1833 Of 12 October 2015 Amending Regulation (EEC) No 2568/91, On The Characteristics of Olive Oil and Olive-Residue Oil and on the Relevant Methods of Analysis. Available online: http://data.europa.eu/eli/reg_impl/2015/1833/oj (accessed on 27 April 2023).
- Nowak, D.; Gośliński, M.; Popławski, C. Antioxidant Properties and Fatty Acid Profile of Cretan Extra Virgin Bioolive Oils: A Pilot Study. Int. J. Food Sci. 2021, 2021, 1–6. [Google Scholar] [CrossRef]
- Olmo-García, L.; Fernández-Fernández, C.; Hidalgo, A.; Vílchez, P.; Fernández-Gutiérrez, A.; Marchal, R.; Carrasco-Pancorbo, A. Evaluating the reliability of specific and global methods to assess the phenolic content of virgin olive oil: Do they drive to equivalent results? J. Chromatogr. A 2019, 1585, 56–69. [Google Scholar] [CrossRef]
- Costantini, L.; Lukšič, L.; Molinari, R.; Kreft, I.; Bonafaccia, G.; Manzi, L.; Merendino, N. Development of gluten-free bread using tartary buckwheat and chia flour rich in flavonoids and omega-3 fatty acids as ingredients. Food Chem. 2014, 165, 232–240. [Google Scholar] [CrossRef]
- Borges, T.H.; Serna, A.; López, L.C.; Lara, L.; Nieto, R.; Seiquer, I. Composition and Antioxidant Properties of Spanish Extra Virgin Olive Oil Regarding Cultivar, Harvest Year and Crop Stage. Antioxidants 2019, 8, 217. [Google Scholar] [CrossRef]
- Benzie, I.F.; Strain, J.J. Ferric reducing/antioxidant power assay: Direct measure of total antioxidant activity of bio-logical fluids and modified version for simultaneous measurement of total antioxidant power and ascorbic acid concentration. Methods Enzymol. 1999, 299, 15–27. [Google Scholar]
- Douzane, M.; Daas, M.-S.; Meribai, A.; Guezil, A.-H.; Abdi, A.; Tamendjari, A. Physico-chemical and sensory evaluation of virgin olive oils from several Algerian olive-growing regions. OCL 2021, 28, 55. [Google Scholar] [CrossRef]
- Piscopo, A.; Mafrica, R.; De Bruno, A.; Romeo, R.; Santacaterina, S.; Poiana, M. Characterization of Olive Oils Obtained from Minor Accessions in Calabria (Southern Italy). Foods 2021, 10, 305. [Google Scholar] [CrossRef]
- Serrano, A.; De la Rosa, R.; Sánchez-Ortiz, A.; Cano, J.; Pérez, A.G.; Sanz, C.; Arias-Calderón, R.; Velasco, L.; León, L. Chemical components influencing oxidative stability and sensorial properties of extra virgin olive oil and effect of genotype and location on their expression. LWT—Food Sci. Technol. 2020, 136, 110257. [Google Scholar] [CrossRef]
- Borges, T.H.; Pereira, J.A.; Cabrera-Vique, C.; Lara, L.; Oliveira, A.F.; Seiquer, I. Characterization of Arbequina virgin olive oils produced in different regions of Brazil and Spain: Physicochemical properties, oxidative stability and fatty acid profile. Food Chem. 2017, 215, 454–462. [Google Scholar] [CrossRef] [PubMed]
- Eid, M.M.; Tageldeen, A.R.; Abdelfatah, M.A. Biochemical and Sensory Assessment of Ordinary Virgin Olive Oil. Int. J. Food Sci. Nutr. Health 2022, 3, 79–106. [Google Scholar] [CrossRef]
- Rotondi, A.; Morrone, L.; Bertazza, G.; Neri, L. Effect of Duration of Olive Storage on Chemical and Sensory Quality of Extra Virgin Olive Oils. Foods 2021, 10, 2296. [Google Scholar] [CrossRef] [PubMed]
- Morales, M.T.; Przybylski, R. Olive oil oxidation. In Handbook of Olive Oil; Aparicio, R., Harwood, J., Eds.; Springer: Boston, MA, USA, 2013. [Google Scholar] [CrossRef]
- Pacetti, D.; Boarelli, M.C.; Giovannetti, R.; Ferraro, S.; Conti, P.; Alfei, B.; Caprioli, G.; Ricciutelli, M.; Sagratini, G.; Fedeli, D.; et al. Chemical and Sensory Profiling of Monovarietal Extra Virgin Olive Oils from the Italian Marche Region. Antioxidants 2020, 9, 330. [Google Scholar] [CrossRef]
- Reboredo-Rodríguez, P.; González-Barreiro, C.; Cancho-Grande, B.; Fregapane, G.; Salvador, M.; Simal-Gándara, J. Characterisation of extra virgin olive oils from Galician autochthonous varieties and their co-crushings with Arbequina and Picual cv. Food Chem. 2014, 176, 493–503. [Google Scholar] [CrossRef]
- Montaño, A.; Hernández, M.; Garrido, I.; Llerena, J.L.; Espinosa, F. Fatty Acid and Phenolic Compound Concentrations in Eight Different Monovarietal Virgin Olive Oils from Extremadura and the Relationship with Oxidative Stability. Int. J. Mol. Sci. 2016, 17, 1960. [Google Scholar] [CrossRef]
- Pardo, J.E.; Rabadán, A.; Suárez, M.; Tello, J.; Zied, D.C.; Álvarez-Ortí, M. Influence of Olive Maturity and Season on the Quality of Virgin Olive Oils from the Area Assigned to the Protected Designation of Origin of “Aceite de la Alcarria” (Spain). Agronomy 2021, 11, 1439. [Google Scholar] [CrossRef]
- Kosma, I.; Badeka, A.; Vatavali, K.; Kontakos, S.; Kontominas, M. Differentiation of Greek extra virgin olive oils according to cultivar based on volatile compound analysis and fatty acid composition. Eur. J. Lipid Sci. Technol. 2015, 118, 849–861. [Google Scholar] [CrossRef]
- Tuberoso, C.I.G.; Jerković, I.; Maldini, M.; Serreli, G. Phenolic Compounds, Antioxidant Activity, and Other Characteristics of Extra Virgin Olive Oils from Italian Autochthonous Varieties Tonda di Villacidro, Tonda di Cagliari, Semidana, and Bosana. J. Chem. 2016, 2016, 1–7. [Google Scholar] [CrossRef]
- De Santis, S.; Clodoveo, M.L.; Corbo, F. Correlation between Chemical Characterization and Biological Activity: An Urgent Need for Human Studies Using Extra Virgin Olive Oil. Antioxidants 2022, 11, 258. [Google Scholar] [CrossRef] [PubMed]
- Weinbrenner, T.; Fitó, M.; de la Torre, R.; Saez, G.T.; Rijken, P.; Tormos, C.; Coolen, S.; Albaladejo, M.F.; Abanades, S.; Schroder, H.; et al. Olive Oils High in Phenolic Compounds Modulate Oxidative/Antioxidative Status in Men. J. Nutr. 2004, 134, 2314–2321. [Google Scholar] [CrossRef] [PubMed]
- Marrugat, J.; Covas, M.-I.; Fitó, M.; Schroder, H.; Miró-Casas, E.; Gimeno, E.; López-Sabater, M.C.; de la Torre, R.; Farré, M.; the members of the SOLOS Investigators. Effects of differing phenolic content in dietary olive oils on lipids and LDL oxidation. A randomized controlled trial. Eur. J. Nutr. 2004, 43, 140–147. [Google Scholar] [CrossRef]
- Pozzetti, L.; Ferrara, F.; Marotta, L.; Gemma, S.; Butini, S.; Benedusi, M.; Fusi, F.; Ahmed, A.; Pomponi, S.; Ferrari, S.; et al. Extra Virgin Olive Oil Extracts of Indigenous Southern Tuscany Cultivar Act as Anti-Inflammatory and Vasorelaxant Nutraceuticals. Antioxidants 2022, 11, 437. [Google Scholar] [CrossRef]
- Campestre, C.; Angelini, G.; Gasbarri, C.; Angerosa, F. The Compounds Responsible for the Sensory Profile in Monovarietal Virgin Olive Oils. Molecules 2017, 22, 1833. [Google Scholar] [CrossRef]
- Fanali, C.; Della Posta, S.; Vilmercati, A.; Dugo, L.; Russo, M.; Petitti, T.; Mondello, L.; de Gara, L. Extraction, Analysis, and Antioxidant Activity Evaluation of Phenolic Compounds in Different Italian Extra-Virgin Olive Oils. Molecules 2018, 23, 3249. [Google Scholar] [CrossRef]
- Geana, E.-I.; Ciucure, C.T.; Apetrei, I.M.; Clodoveo, M.L.; Apetrei, C. Discrimination of Olive Oil and Extra-Virgin Olive Oil from Other Vegetable Oils by Targeted and Untargeted HRMS Profiling of Phenolic and Triterpenic Compounds Combined with Chemometrics. Int. J. Mol. Sci. 2023, 24, 5292. [Google Scholar] [CrossRef]
- Fernandes, G.D.; Ellis, A.C.; Gámbaro, A.; Barrera-Arellano, D. Sensory evaluation of high-quality virgin olive oil: Panel analysis versus consumer perception. Curr. Opin. Food Sci. 2018, 21, 66–71. [Google Scholar] [CrossRef]
- Farrag, A.F.; Zahran, H.; Al-Okaby, M.F.; El-Sheikh, M.M.; Soliman, T.N. Physicochemical Properties of White Soft Cheese Supplemented With Encapsulated Olive Phenolic Compounds. Egypt. J. Chem. 2020, 63, 2921–2931. [Google Scholar] [CrossRef]



| Physicochemical Analysis * | |||||
|---|---|---|---|---|---|
| Olive Oil Sample | Free Acidity(% Oleic Acid) | Peroxide Value (mEq O2/kg) | K232 | K270 | ΔK |
| A | 0.20 ± 0.01 b | 12.0 ± 0.6 c | 2.308 ± 0.03 c | 0.149 ± 0.01 c | 0.008 ± 0.001 |
| B | 0.47 ± 0.02 a | 16.7 ± 0.6 a | 2.714 ± 0.05 a | 0.290 ± 0.01 a | 0.010 ± 0.004 |
| D | 0.18 ± 0.01 b | 10.0 ± 0.8 d | 2.080 ± 0.08 d | 0.132 ± 0.01 d | 0.002 ± 0.000 |
| E | 0.45 ± 0.01 a | 15.5 ± 0.5 b | 2.545 ± 0.05 b | 0.205 ± 0.01 b | 0.003 ± 0.002 |
| Sensory Analysis * | |||||||
|---|---|---|---|---|---|---|---|
| Olive Oil Sample | Defect Predominantly | Other Defects | Fruity | Bitter | Pungent | Olive Oil Quality Grade ** | |
| Type | Intensity | ||||||
| A | Fusty/muddy sediment | 3.0± 0.2 c | Winey-vinegary | 3.0± 0.6 b | 4.0± 0.4 a | 4.0± 0.3 a | VOO |
| B | Rancid | 6.3± 0.3 a | Musty | 0.5± 0.4 d | 0.5± 0.5 c | 0.5± 0.6 c | LVOO |
| D | n.d. | 0.0± 0.0 d | n.d. | 4.5± 0.5 a | 4.0± 0.7 a | 4.0± 0.3 a | EVOO |
| E | Fusty/muddy sediment | 4.5± 0.1 b | Musty | 1.0± 0.4 c | 1.5± 0.4 b | 1.5± 0.5 b | OVOO |
| C16:0 Palmitic Acid | C16:1 Palmitoleic Acid | C18:0 Stearic Acid | C18:1 Oleic Acid | C18:2 Linoleic Acid | C18:3 Linolenic Acid | C20:0 Arachidic Acid | C20:1 Eicosenoic Acid | C18:1/C18:2 | |
|---|---|---|---|---|---|---|---|---|---|
| A | 11.57 ± 0.05 d | 1.16 ± 0.03 a | 3.82 ± 0.02 a | 75.62 ± 0.05 b | 7.22 ± 0.02 c | 0.71 ± 0.01 a | 0.44 ± 0.02 ab | 0.25 ± 0.02 c | 10.47 ± 0.06 b |
| B | 12.03 ± 0.03 a | 1.12 ± 0.01 b | 3.79 ± 0.01 b | 69.21 ± 0.04 d | 7.58 ± 0.04 a | 0.69 ± 0.02 b | 0.45 ± 0.01 a | 0.27 ± 0.02 bc | 9.13 ± 0.06 d |
| D | 11.72 ± 0.01 c | 1.04 ± 0.01 c | 2.55 ± 0.01 d | 76.52 ± 0.04 a | 6.87 ± 0.01 d | 0.67 ± 0.04 c | 0.41 ± 0.01 c | 0.34 ± 0.01 a | 11.13 ± 0.06 a |
| E | 11.97 ± 0.02 b | 1.14 ± 0.02 ab | 2.95 ± 0.04 c | 74.65 ± 0.02 c | 7.41 ± 0.02 b | 0.68 ± 0.01 c | 0.42 ± 0.03 bc | 0.28 ± 0.01 b | 10.07 ± 0.06 c |
| F1 | F2 | F3 | F4 | |
|---|---|---|---|---|
| Eigenvalue | 5.019 | 0.558 | 0.357 | 0.051 |
| Variability (%) | 83.642 | 9.296 | 5.944 | 0.854 |
| Cumulative (%) | 83.642 | 92.938 | 98.882 | 99.736 |
Disclaimer/Publisher’s Note: The statements, opinions and data contained in all publications are solely those of the individual author(s) and contributor(s) and not of MDPI and/or the editor(s). MDPI and/or the editor(s) disclaim responsibility for any injury to people or property resulting from any ideas, methods, instructions or products referred to in the content. |
© 2023 by the authors. Licensee MDPI, Basel, Switzerland. This article is an open access article distributed under the terms and conditions of the Creative Commons Attribution (CC BY) license (https://creativecommons.org/licenses/by/4.0/).
Share and Cite
Frangipane, M.T.; Costantini, L.; Merendino, N.; Massantini, R. Antioxidant Profile and Sensory Analysis in Olive Oils of Different Quality Grades. Agriculture 2023, 13, 993. https://doi.org/10.3390/agriculture13050993
Frangipane MT, Costantini L, Merendino N, Massantini R. Antioxidant Profile and Sensory Analysis in Olive Oils of Different Quality Grades. Agriculture. 2023; 13(5):993. https://doi.org/10.3390/agriculture13050993
Chicago/Turabian StyleFrangipane, Maria Teresa, Lara Costantini, Nicolò Merendino, and Riccardo Massantini. 2023. "Antioxidant Profile and Sensory Analysis in Olive Oils of Different Quality Grades" Agriculture 13, no. 5: 993. https://doi.org/10.3390/agriculture13050993
APA StyleFrangipane, M. T., Costantini, L., Merendino, N., & Massantini, R. (2023). Antioxidant Profile and Sensory Analysis in Olive Oils of Different Quality Grades. Agriculture, 13(5), 993. https://doi.org/10.3390/agriculture13050993

