Genome-Wide Characterization of the R2R3-MYB Gene Family in Diospyros oleifera
Abstract
1. Introduction
2. Materials and Methods
2.1. Plant Material
2.2. Determination of Soluble Tannins in Fruits
2.3. DoMYB Gene Identification
2.4. Analysis of DoMYB Protein Properties and Conserved Motifs
2.5. Phylogenetic Tree and Gene Structure Analysis
2.6. Chromosome Distribution and Collinearity Analysis
2.7. Expression Analysis of MYB Genes and RT-PCR Analysis
3. Results
3.1. Identification of R2R3-MYB Genes in D. oleifera
3.2. Phylogenetic Tree of R2R3-MYB Genes in D. oleifera
3.3. Gene Structure and Protein Motifs of DoMYB
3.4. Genome Distribution and Gene Duplication of DoMYBs
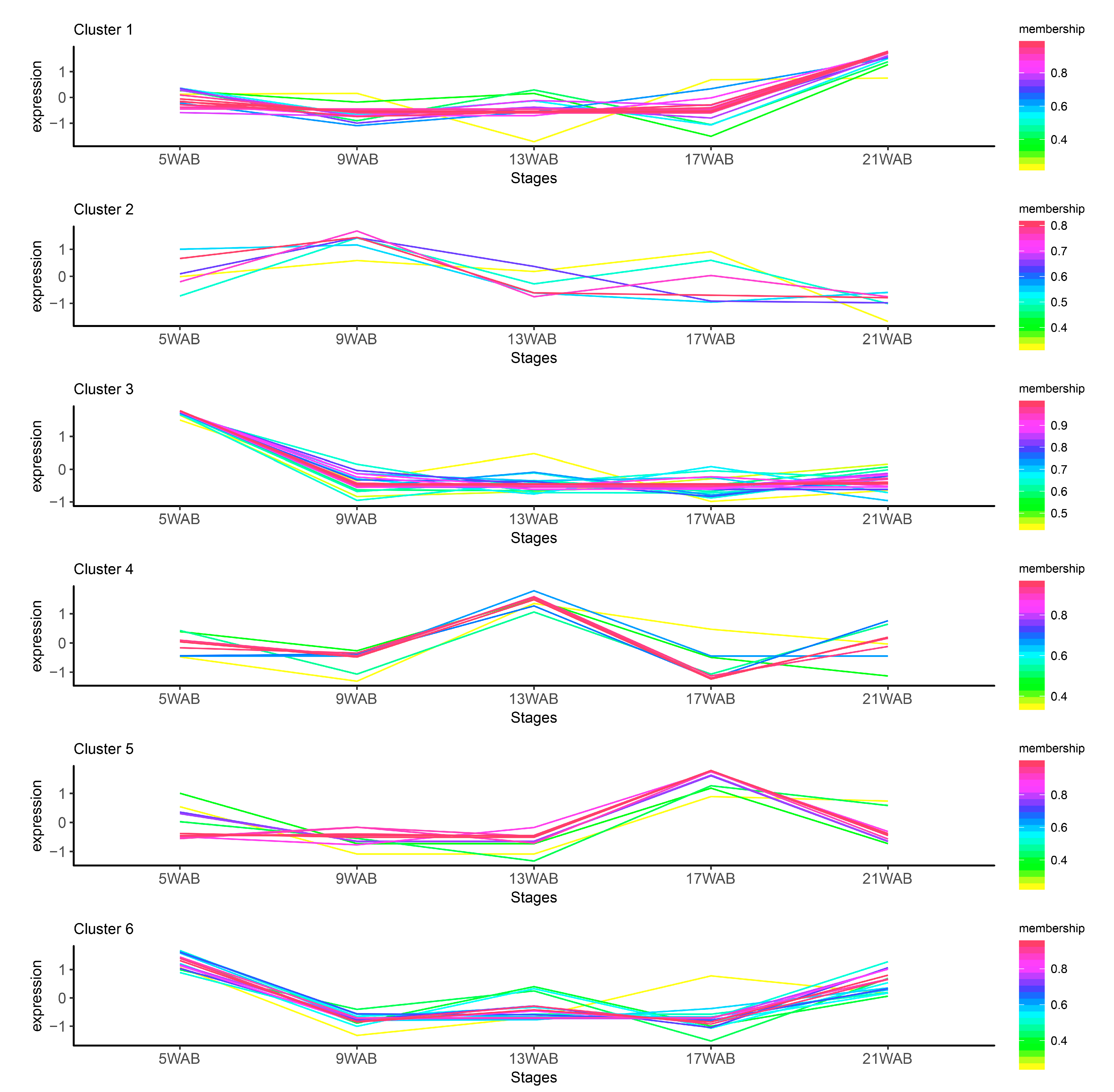
3.5. Expression Profile Analysis of DoMYB Genes and Expression of Four DoMYB Genes by RT-PCR



4. Discussion
5. Conclusions
Author Contributions
Funding
Data Availability Statement
Conflicts of Interest
References
- Ma, Y.; Zhang, H.; Tu, Y.; Chen, X. Advances in research on transcription factors related to fruit development and ripening. Genom. Appl. Biol. 2017, 36, 4836–4846. [Google Scholar]
- Zhang, C.; Wang, Y.; Chen, J.; Wang, Y.; Zhang, M. Research advances on the regulation of secondary metabolism by plant myb transcription factors. Genom. Appl. Biol. 2020, 39, 4171–4177. [Google Scholar]
- Shi, S.; Gong, X.; Zou, Y. The role of WRKY transcription factors in biotic and abiotic stress responses in plants. Chin. J. Biochem. Mol. Biol. 2017, 33, 674–680. [Google Scholar]
- Lloyd, A.; Brockman, A.; Aguirre, L.; Campbell, A.; Bean, A.; Cantero, A.; Gonzalez, A. Advances in the MYB-bHLH-WD repeat (MBW) pigment regulatory model: Addition of a wrky factor and co-option of an anthocyanin MYB for betalain regulation. Plant Cell Physiol. 2017, 58, 1431–1441. [Google Scholar] [CrossRef]
- Liu, J.; Osbourn, A.; Ma, P. MYB transcription factors as regulators of phenylpropanoid metabolism in plants. Mol. Plant 2015, 8, 689–708. [Google Scholar] [CrossRef]
- Xu, W.; Dubos, C.; Lepiniec, L. Transcriptional control of flavonoid biosynthesis by MYB-bHLH-WDR complexes. Trends Plant Sci. 2015, 20, 176–185. [Google Scholar] [CrossRef]
- Ares, J.; Ghosal, D.; Wienand, U.; Saedler, H. The regulatory c1 locus of zea mays encodes a protein with homology to myb proto-oncogene products and with structural similarities to transcriptional activators. EMBO J. 1987, 6, 3553–3558. [Google Scholar] [CrossRef]
- Dubos, C.; Stracke, R.; Grotewold, E.; Weisshaar, B.; Martin, C.; Lepiniec, L. MYB transcription factors in Arabidopsis. Trends Plant Sci. 2010, 15, 573–581. [Google Scholar] [CrossRef]
- Du, H.; Liang, Z.; Zhao, S.; Nan, M.; Tran, L.; Lu, K.; Huang, Y.; Li, J. The evolutionary history of R2R3-MYB proteins across 50 eukaryotes: New insights into subfamily classification and expansion. Sci. Rep. 2015, 5, 11037. [Google Scholar] [CrossRef]
- Liu, Z.; Luan, Y.; Li, J.; Yin, Y. Expression of a tomato MYB gene in transgenic tobacco increases resistance to Fusarium oxysporum and Botrytis cinerea. Eur. J. Plant Pathol. 2016, 144, 607–617. [Google Scholar] [CrossRef]
- Liu, C.; Hao, J.; Qiu, M.; Pan, J.; He, Y. Genome-wide identification and expression analysis of the MYB transcription factor in Japanese plum (Prunus salicina). Genomics 2020, 112, 4875–4886. [Google Scholar] [CrossRef]
- Feng, S.; Xu, Y.; Yang, L.; Sun, S.; Wang, D.; Chen, X. Genome-wide identification and characterization of R2R3-MYB transcription factors in pear. Sci. Hortic. 2015, 197, 176–182. [Google Scholar] [CrossRef]
- Li, Q.; Zhang, C.; Li, J.; Wang, L.; Ren, Z. Genome-wide identification and characterization of R2R3MYB family in Cucumis sativus. PLoS ONE 2012, 7, e475762012. [Google Scholar] [CrossRef]
- Du, H.; Yang, S.; Liang, Z.; Feng, B.; Lei, L.; Huang, Y.; Tang, Y. Genome-wide analysis of the MYB transcription factor superfamily in soybean. BMC Plant Biol. 2012, 12, 106. [Google Scholar] [CrossRef]
- Wang, X.; Wu, J.; Guan, M.; Zhao, C.; Geng, P.; Zhao, Q. Arabidopsis MYB4 plays dual roles in flavonoid biosynthesis. Plant J. 2020, 101, 637–652. [Google Scholar] [CrossRef]
- Zhu, L.; Guan, Y.; Zhang, Z.; Song, A.; Chen, S.; Jiang, J.; Chen, F. CmMYB8 encodes an R2R3 MYB transcription factor which represses lignin and flavonoid synthesis in chrysanthemum. Plant Physiol. Biochem. 2020, 149, 217–224. [Google Scholar] [CrossRef]
- Lau, S.; Schwarzacher, T.; Othman, R.; Harikrishna, J. dsRNA silencing of an R2R3-MYB transcription factor affects flower cell shape in a Dendrobium hybrid. BMC Plant Biol. 2015, 15, 194. [Google Scholar] [CrossRef]
- Wang, F.; Kong, W.; Wong, G.; Fu, L.; Peng, R.; Li, Z.; Yao, Q. AtMYB12 regulates flavonoids accumulation and abiotic stress tolerance in transgenic Arabidopsis thaliana. Mol. Genet. Genom. 2016, 291, 1545–1559. [Google Scholar] [CrossRef]
- Pandey, A.; Misra, P.; Khan, M.; Swarnkar, G. Co-expression of Arabidopsis transcription factor, AtMYB12, and soybean iso-flavone synthase, GmIFS1, genes in tobacco leads to enhanced biosynthesis of isoflavones and flavonols resulting in osteo-protective activity. Plant Biotechnol. J. 2014, 12, 69–80. [Google Scholar] [CrossRef]
- Li, Y.; Chen, M.; Wang, S.; Ning, J.; Ding, X.; Chu, Z. AtMYB11 regulates caffeoylquinic acid and flavonol synthesis in tomato and tobacco. Plant Cell Tissue Organ Cult. 2015, 122, 309–319. [Google Scholar] [CrossRef]
- Pandey, A.; Misra, P.; Trivedi, P. Constitutive expression of Arabidopsis MYB transcription factor, AtMYB11, in tobacco mod-ulates flavonoid biosynthesis in favor of flavonol accumulation. Plant Cell Rep. 2015, 34, 1515–1528. [Google Scholar] [CrossRef] [PubMed]
- Yang, F.; Cai, J.; Yang, Y.; Liu, Z. Overexpression of microRNA828 reduces anthocyanin accumulation in Arabidopsis. Plant Cell Tissue Organ Cult. 2013, 115, 159–167. [Google Scholar] [CrossRef]
- Preston, J.; Wheeler, J.; Heazlewood, J.; Li, S.; Parish, R. AtMYB32 is required for normal pollen development in Arabidopsis thaliana. Plant J. 2004, 40, 979–995. [Google Scholar] [CrossRef] [PubMed]
- Baumann, K.; Perez-Rodriguez, M.; Bradley, D.; Venail, J.; Martin, C. Control of cell and petal morphogenesis by R2R3 MYB transcription factors. Development 2007, 134, 1691–1701. [Google Scholar] [CrossRef] [PubMed]
- Akagi, T.; Katayama-Ikegami, A.; Yonemori, K. Proanthocyanidin biosynthesis of persimmon (Diospyros Kaki Thunb.) fruit. Sci. Hortic. 2011, 130, 373–380. [Google Scholar] [CrossRef]
- Gu, H. Studies on the Characteristics, Structures of Persimmon Tannin and Its Interaction with Some Snake Venom Proteins; Huazhong Agricultural University: Wuhan, China, 2007. [Google Scholar]
- Akagi, T.; Ikegami, A.; Tsujimoto, T.; Kobayashi, S.; Sato, A.; Kono, A.; Yonemori, K. DkMyb4 Is a myb transcription factor in-volved in proanthocyanidin biosynthesis in persimmon fruit. Plant Physiol. 2009, 151, 2028–2045. [Google Scholar] [CrossRef]
- Fang, F.; Wang, M.; Zhu, Q.; Min, T.; Grierson, D.; Yin, X.; Chen, K. DkMYB6 is involved in persimmon fruit deastringency, via transcriptional activation on both DkPDC and DkERF. Postharvest Biol. Technol. 2016, 111, 161–167. [Google Scholar] [CrossRef]
- Chen, W.; Zheng, Q.; Li, J.; Liu, Y.; Xu, L.; Zhang, Q.; Luo, Z. DkMYB14 is a bifunctional transcription factor that regulates the accumulation of proanthocyanidin in persimmon fruit. Plant J. 2021, 106, 1708–1727. [Google Scholar] [CrossRef]
- Xu, Y.; Liu, C.; Cheng, W.; Wu, K.; Gong, B. Full-length transcriptome profling for fruit development in Diospyros oleifera using nanopore sequencing. BMC Genom. Data 2023, 24, 17. [Google Scholar] [CrossRef]
- Kanzaki, S. The origin and cultivar development of Japanese Persimmon (Diospyros kaki Thunb.). Jpn. Soc Food Sci. Technol. 2016, 63, 328–330. [Google Scholar] [CrossRef]
- Fu, J.; Liu, H.; Hu, J.; Liang, Y.; Liang, J.; Wuyun, T.; Tan, X. Five complete chloroplast genome sequences from Diospyros: Genome organization and comparative analysis. PLoS ONE 2016, 11, 7. [Google Scholar] [CrossRef]
- Finn, R.; Clements, J.; Eddy, S. HMMER web server: Interactive sequence similarity searching. Nucleic Acids Res. 2011, 39, W29–W37. [Google Scholar] [CrossRef]
- Zhou, L.; Yarra, R.; Jin, L.; Cao, H. Genome-wide identification and expression analysis of MYB gene family in oil palm (Elaeis guineensis Jacq.) under abiotic stress conditions. Environ. Exp. Bot. 2020, 180, 104245. [Google Scholar] [CrossRef]
- Nguyen, L.; Schmidt, H.; Haeseler, A.; Minh, B. Iq-Tree: A fast and effective stochastic algorithm for estimating maxi-mum-likelihood phylogenies. Mol. Biol. Evol. 2015, 32, 268–274. [Google Scholar] [CrossRef]
- Katoh, K.; Standley, D. MAFFT multiple sequence alignment software version 7: Improvements in performance and usability. Mol. Biol. Evol. 2013, 30, 772–780. [Google Scholar] [CrossRef]
- Chen, C.; Chen, H.; Zhang, Y.; Thomas, H.; Frank, M.; He, Y.; Xia, R. TBtools: An integrative toolkit developed for interactive analyses of big biological dat. Mol. Plant 2020, 13, 1194–1202. [Google Scholar] [CrossRef]
- Cannon, S.; Mitra, A.; Baumgarten, A.; Young, N.; May, G. The roles of segmental and tandem gene duplication in the evolution of large gene families in Arabidopsis thaliana. BMC Plant Biol. 2004, 4, e102004. [Google Scholar] [CrossRef]
- Wang, L.; Qiu, T.; Yue, J.; Guo, N.; He, Y.; Han, X.; Wang, Q.; Jia, P.; Wang, H.; Li, M.; et al. Arabidopsis ADF1 is regulated by MYB73 and is involved in response to salt stress affecting actin filament organization. Plant Cell Physiol. 2021, 62, 1387–1395. [Google Scholar] [CrossRef]
- Persak, H.; Pitzschke, A. Dominant repression by arabidopsis transcription factor MYB44 causes oxidative damage and hypersensitivity to abiotic stress. Int. J. Mol. Sci. 2014, 15, 2517–2537. [Google Scholar] [CrossRef]
- Geng, P.; Zhang, S.; Liu, J.; Zhao, C.; Wu, J.; Cao, Y.; Fu, C.; Han, X.; He, H.; Zhao, Q. MYB20, MYB42, MYB43, and MYB85 regulate phenylalanine and lignin biosynthesis during secondary cell wall formation. Plant Physiol. 2020, 182, 1272–1283. [Google Scholar] [CrossRef]
- Fornale, S.; Lopez, E.; Salazar-Henao, J.; Fernandez-Nohales, P.; Rigau, J.; Caparros-Ruiz, D. AtMYB7, a new player in the regulation of uv-sunscreens in Arabidopsis thaliana. Plant Cell Physiol. 2014, 55, 507–516. [Google Scholar] [CrossRef] [PubMed]
- Su, F. Isolation and Characterization of MYB, Basic Helix-Loop-Helix and WD40 Transcription Factors Genes Involved in Persimmon Proanthocyanidin Metabolism; Huazhong Agricultural University: Wuhan, China, 2012. [Google Scholar]
- Zhang, C.; Ma, R.; Xu, J.; Yan, J.; Guo, L.; Song, J.; Feng, R.; Yu, M. Genome-wide identification and classification of MYB super-family genes in peach. PLoS ONE 2018, 13, e01991922018. [Google Scholar]
- Li, C.; Lu, S. Genome-wide characterization and comparative analysis of R2R3-MYB transcription factors shows the complexity of MYB-associated regulatory networks in Salvia miltiorrhiza. BMC Genom. 2014, 15, 277. [Google Scholar] [CrossRef] [PubMed]
- Zhang, N.; Ran, J.; Bao, S.; Ma, Y.; Marie, A.; Yan, K. Identification and expression analysis of MYB transcription factors in Glycyrrhiza uralensis. Mol. Plant Breed. 2023. [Google Scholar]
- Yang, K.; Li, Y.; Wang, S.; Xu, X. Genome-wide identification and expression analysis of the MYB transcription factor in moso bamboo (Phyllostachys edulis). Peer J. 2019, 6, e62422019. [Google Scholar] [CrossRef]
- Mmadi, M.; Dossa, K.; Wang, L.; Zhou, R.; Wang, Y.; Cisse, N.; Sy, M.; Zhang, X. Functional characterization of the versatile MYB gene family uncovered their important roles in plant development and responses to drought and waterlogging in sesame. Genes 2017, 8, 362. [Google Scholar] [CrossRef]
- Wang, N.; Ma, Q.; Ma, J.; Pei, W.; Liu, G.; Cui, Y.; Wu, M.; Zang, X.; Zhang, J.; Yu, S.; et al. A comparative genome-wide analysis of the R2R3-MYB gene family among four gossypium species and their sequence variation and association with fiber quality traits in an interspecific g. hirsutum × g. barbadense population. Front. Genet. 2019, 10, 741. [Google Scholar] [CrossRef]
- Prouse, M.; Campbell, M. The interaction between MYB proteins and their target DNA binding sites. Biochim. ET Biophys. Acta-Gene Regul. Mech. 2012, 1819, 67–77. [Google Scholar] [CrossRef]
- Ji, Q.; Wang, D.; Zhou, J.; Xu, Y.; Shen, B.; Zhou, F. Genome-wide characterization and expression analyses of the MYB super-family genes during developmental stages in Chinese jujube. Peer J. 2019, 7, e63532019. [Google Scholar]
- Liu, C.; Xie, T.; Chen, C.; Luan, A.; Long, J.; Li, C.; Ding, Y.; He, Y. Genome-wide organization and expression profiling of the R2R3-MYB transcription factor family in pineapple (Ananas comosus). BMC Genom. 2017, 18, 503. [Google Scholar] [CrossRef]
- Li, Z.; Peng, R.; Tian, Y.; Tian, Y.; Han, H.; Xu, J. Genome-Wide identification and analysis of the MYB transcription factor su-perfamily in Solanum lycopersicum. Plant Cell Physiol. 2016, 57, 1657–1677. [Google Scholar] [CrossRef]
- Xing, H.; Wu, J.; Wang, L. Research progress on the metabolism and regulation of astringent substances in fruits. J. Fruit Sci. 2023. [Google Scholar]
- Han, W.; Li, J.; Liang, Y.; Li, H.; Li, C.; Fu, J. Annual variation of soluble tannin in the fruits and leaves of persimmon. J. Nanjing For. Univ. (Nat. Sci. Ed.) 2015, 39, 61–66. [Google Scholar]







| Reactant | Volume (μL) |
| cDNA | 2 |
| Forward Primer | 1 |
| Reverse Primer | 1 |
| RNase-free H2O | 1 |
| iTaqTM Universal Syber Green PCR Master Mix | 5 |
| Gene | Forward Primer Sequence (5′-3′) | Reverse Primer Sequence (5′-3′) | Tm (°C) |
|---|---|---|---|
| DoMYB16 | TTTGCTTCTGCAGCCGTC | GCTCAAGGTTGAGGTCTGG | 60.9 |
| DoMYB22 | GCTTGGACGAAGGAAGAAGAC | TTTCCACTGCGATGCAACC | 61.5 |
| DoMYB56 | GATCCCTTCCAAAGGCTG | CTGTGAAATTACCACGTTTGAG | 58.1 |
| DoMYB85 | CTCATCGCTTACATCCGAG | GAGGTAATTGATCCAGCGG | 58.0 |
| Gene Name | Pl (aa) | MW (Da) | PI | Alpha Helix (Hh) | Extend Strand (Ee) | Beta Turn (Tt) | Random Coil (Cc) |
|---|---|---|---|---|---|---|---|
| DoMYB1 | 447 | 49,831.87 | 9.23 | 147 | 33 | 16 | 251 |
| DoMYB2 | 376 | 42,563.75 | 6.40 | 137 | 38 | 11 | 190 |
| DoMYB3 | 473 | 53,058.37 | 8.19 | 165 | 40 | 23 | 245 |
| DoMYB4 | 315 | 35,216.81 | 5.62 | 76 | 15 | 15 | 209 |
| DoMYB5 | 237 | 26,628.13 | 8.68 | 88 | 17 | 12 | 120 |
| DoMYB6 | 307 | 34,743.54 | 5.89 | 121 | 11 | 11 | 164 |
| DoMYB7 | 426 | 46,859.69 | 6.68 | 146 | 28 | 18 | 234 |
| DoMYB8 | 330 | 37,558.84 | 5.53 | 95 | 16 | 12 | 207 |
| DoMYB9 | 190 | 21,895.13 | 9.22 | 74 | 20 | 15 | 81 |
| DoMYB10 | 307 | 34,318.37 | 6.54 | 61 | 34 | 16 | 196 |
| DoMYB11 | 180 | 20,789.82 | 9.71 | 68 | 20 | 13 | 79 |
| DoMYB12 | 176 | 20,289.19 | 9.60 | 61 | 10 | 13 | 92 |
| DoMYB13 | 315 | 35,361.68 | 6.06 | 108 | 38 | 25 | 144 |
| DoMYB14 | 209 | 24,049.69 | 5.25 | 90 | 13 | 14 | 92 |
| DoMYB15 | 278 | 31,480.36 | 9.16 | 97 | 30 | 17 | 134 |
| DoMYB16 | 244 | 27,431.13 | 8.94 | 82 | 21 | 15 | 126 |
| DoMYB17 | 477 | 53,580.97 | 7.94 | 164 | 43 | 20 | 250 |
| DoMYB18 | 242 | 27,907.75 | 8.54 | 84 | 4 | 12 | 142 |
| DoMYB19 | 745 | 80,030.09 | 8.97 | 164 | 131 | 38 | 412 |
| DoMYB20 | 282 | 32,411.60 | 8.15 | 119 | 16 | 13 | 134 |
| DoMYB21 | 333 | 36,681.78 | 6.60 | 137 | 17 | 28 | 151 |
| DoMYB22 | 135 | 15,755.00 | 9.96 | 58 | 7 | 10 | 60 |
| DoMYB23 | 357 | 39,107.39 | 9.64 | 109 | 26 | 19 | 203 |
| DoMYB24 | 284 | 32,286.21 | 5.71 | 82 | 19 | 15 | 168 |
| DoMYB25 | 325 | 36,196.01 | 6.14 | 117 | 7 | 10 | 191 |
| DoMYB26 | 291 | 31,579.47 | 8.37 | 97 | 15 | 12 | 167 |
| DoMYB27 | 422 | 47,592.02 | 8.82 | 117 | 57 | 28 | 220 |
| DoMYB28 | 306 | 34,324.57 | 5.44 | 89 | 23 | 12 | 182 |
| DoMYB29 | 358 | 39,020.08 | 9.19 | 85 | 21 | 11 | 241 |
| DoMYB30 | 293 | 32,627.48 | 8.03 | 105 | 17 | 6 | 165 |
| DoMYB31 | 305 | 34,515.83 | 8.63 | 96 | 18 | 10 | 181 |
| DoMYB32 | 331 | 36,414.59 | 7.62 | 85 | 15 | 12 | 219 |
| DoMYB33 | 336 | 37,340.03 | 7.04 | 110 | 23 | 14 | 189 |
| DoMYB34 | 307 | 34,436.04 | 5.81 | 85 | 15 | 17 | 190 |
| DoMYB35 | 322 | 36,305.23 | 9.41 | 76 | 29 | 16 | 201 |
| DoMYB36 | 337 | 36,950.06 | 6.78 | 83 | 36 | 18 | 200 |
| DoMYB37 | 322 | 35,998.41 | 6.75 | 122 | 9 | 15 | 176 |
| DoMYB38 | 294 | 33,021.38 | 9.95 | 93 | 31 | 17 | 153 |
| DoMYB39 | 303 | 34,106.43 | 6.64 | 114 | 18 | 16 | 155 |
| DoMYB40 | 329 | 36,687.90 | 5.62 | 105 | 25 | 18 | 181 |
| DoMYB41 | 257 | 28,927.68 | 7.58 | 96 | 14 | 17 | 130 |
| DoMYB42 | 257 | 28,914.25 | 8.57 | 84 | 8 | 10 | 155 |
| DoMYB43 | 361 | 40,132.21 | 8.11 | 138 | 7 | 13 | 203 |
| DoMYB44 | 345 | 38,760.76 | 6.89 | 160 | 23 | 18 | 144 |
| DoMYB45 | 299 | 33,209.67 | 6.10 | 75 | 16 | 14 | 194 |
| DoMYB46 | 308 | 34,203.01 | 6.39 | 101 | 15 | 10 | 182 |
| DoMYB47 | 319 | 36,255.33 | 6.01 | 110 | 44 | 26 | 139 |
| DoMYB48 | 211 | 24,400.87 | 8.77 | 83 | 15 | 15 | 98 |
| DoMYB49 | 264 | 29,978.52 | 5.18 | 87 | 8 | 13 | 156 |
| DoMYB50 | 260 | 29,677.74 | 7.71 | 81 | 16 | 12 | 151 |
| DoMYB51 | 298 | 33,412.36 | 6.00 | 87 | 18 | 17 | 176 |
| DoMYB52 | 246 | 27,496.91 | 8.65 | 48 | 49 | 27 | 122 |
| DoMYB53 | 320 | 35,136.87 | 8.12 | 120 | 26 | 19 | 155 |
| DoMYB54 | 269 | 30,495.47 | 9.14 | 149 | 12 | 18 | 90 |
| DoMYB55 | 227 | 25,176.03 | 9.50 | 73 | 28 | 14 | 112 |
| DoMYB56 | 214 | 24,086.30 | 8.61 | 68 | 18 | 12 | 116 |
| DoMYB57 | 298 | 33,336.32 | 6.10 | 83 | 24 | 12 | 179 |
| DoMYB58 | 268 | 29,346.15 | 8.36 | 60 | 22 | 18 | 168 |
| DoMYB59 | 459 | 51,543.09 | 5.73 | 165 | 38 | 18 | 238 |
| DoMYB60 | 276 | 30,087.02 | 8.84 | 93 | 26 | 15 | 142 |
| DoMYB61 | 326 | 36,744.14 | 4.84 | 89 | 24 | 16 | 197 |
| DoMYB62 | 263 | 29,832.70 | 5.42 | 84 | 18 | 11 | 150 |
| DoMYB63 | 248 | 28,486.51 | 8.28 | 93 | 26 | 11 | 118 |
| DoMYB64 | 150 | 17,520.20 | 9.94 | 65 | 9 | 11 | 65 |
| DoMYB65 | 343 | 38,660.60 | 5.68 | 121 | 18 | 6 | 198 |
| DoMYB66 | 328 | 36,744.14 | 5.37 | 75 | 17 | 13 | 223 |
| DoMYB67 | 308 | 34,665.81 | 5.60 | 150 | 23 | 16 | 119 |
| DoMYB68 | 269 | 30,023.70 | 5.25 | 89 | 16 | 12 | 152 |
| DoMYB69 | 304 | 34,383.19 | 7.15 | 98 | 26 | 14 | 166 |
| DoMYB70 | 268 | 30,117.18 | 8.77 | 91 | 21 | 8 | 148 |
| DoMYB71 | 329 | 36,389.43 | 5.45 | 86 | 21 | 14 | 208 |
| DoMYB72 | 240 | 27,555.09 | 8.25 | 73 | 3 | 14 | 150 |
| DoMYB73 | 194 | 21,813.42 | 6.00 | 80 | 16 | 18 | 80 |
| DoMYB74 | 338 | 37,928.47 | 6.11 | 112 | 23 | 11 | 192 |
| DoMYB75 | 255 | 29,174.58 | 5.92 | 91 | 2 | 15 | 147 |
| DoMYB76 | 401 | 43,298.30 | 6.10 | 121 | 42 | 18 | 220 |
| DoMYB77 | 532 | 58,007.83 | 5.77 | 121 | 42 | 18 | 220 |
| DoMYB78 | 357 | 40,912.83 | 9.31 | 189 | 17 | 13 | 138 |
| DoMYB79 | 300 | 34,227.61 | 6.32 | 95 | 23 | 12 | 170 |
| DoMYB80 | 263 | 30,501.71 | 5.36 | 78 | 6 | 17 | 162 |
| DoMYB81 | 275 | 31,064.00 | 7.05 | 100 | 20 | 11 | 144 |
| DoMYB82 | 300 | 33,664.53 | 9.81 | 120 | 11 | 17 | 152 |
| DoMYB83 | 290 | 32,913.66 | 9.47 | 109 | 27 | 21 | 133 |
| DoMYB84 | 356 | 39,191.54 | 5.39 | 144 | 35 | 15 | 162 |
| DoMYB85 | 223 | 25,287.93 | 9.06 | 65 | 27 | 13 | 118 |
| DoMYB86 | 238 | 27,029.51 | 7.74 | 79 | 15 | 18 | 126 |
| DoMYB87 | 335 | 37,946.41 | 5.27 | 104 | 19 | 13 | 199 |
| DoMYB88 | 267 | 30,934.37 | 8.96 | 99 | 25 | 13 | 130 |
| DoMYB89 | 297 | 33,889.72 | 8.81 | 85 | 18 | 8 | 186 |
| DoMYB90 | 315 | 34,912.49 | 5.82 | 114 | 12 | 13 | 176 |
| DoMYB91 | 324 | 36,292.58 | 6.41 | 127 | 29 | 16 | 152 |
| DoMYB92 | 400 | 44,426.44 | 5.20 | 142 | 39 | 23 | 196 |
| DoMYB93 | 418 | 46,206.03 | 9.28 | 135 | 45 | 16 | 222 |
| DoMYB94 | 188 | 21,414.05 | 6.77 | 71 | 6 | 13 | 98 |
| DoMYB95 | 351 | 39,417.11 | 5.49 | 123 | 6 | 14 | 208 |
| DoMYB96 | 191 | 21,802.42 | 6.52 | 69 | 13 | 8 | 101 |
| DoMYB97 | 308 | 34,698.15 | 6.45 | 75 | 29 | 18 | 186 |
| DoMYB98 | 304 | 34,321.47 | 7.97 | 84 | 28 | 20 | 172 |
| DoMYB99 | 356 | 39,267.03 | 6.42 | 130 | 20 | 11 | 195 |
| DoMYB100 | 324 | 36,284.61 | 5.52 | 116 | 19 | 12 | 177 |
| DoMYB101 | 243 | 27,224.38 | 8.78 | 116 | 24 | 19 | 84 |
| DoMYB102 | 329 | 36,989.76 | 8.09 | 116 | 19 | 14 | 180 |
| DoMYB103 | 289 | 31,383.24 | 8.99 | 83 | 15 | 9 | 182 |
| DoMYB104 | 324 | 36,675.75 | 8.84 | 74 | 28 | 9 | 213 |
| DoMYB105 | 376 | 42,123.00 | 6.35 | 98 | 54 | 25 | 199 |
| DoMYB106 | 322 | 35,361.58 | 6.18 | 124 | 16 | 20 | 163 |
| DoMYB107 | 293 | 33,084.08 | 5.38 | 72 | 49 | 18 | 154 |
| DoMYB108 | 307 | 34,040.00 | 6.33 | 98 | 23 | 20 | 166 |
| DoMYB109 | 215 | 24,752.27 | 8.83 | 84 | 21 | 15 | 95 |
| DoMYB110 | 278 | 30,587.70 | 9.71 | 89 | 44 | 20 | 125 |
| DoMYB111 | 366 | 41,940.98 | 9.39 | 190 | 21 | 17 | 138 |
| DoMYB112 | 437 | 47,323.99 | 5.58 | 119 | 25 | 15 | 278 |
| DoMYB113 | 294 | 32,965.13 | 7.55 | 109 | 17 | 9 | 159 |
| DoMYB114 | 307 | 33,741.82 | 5.92 | 123 | 16 | 15 | 153 |
| DoMYB115 | 421 | 46,970.16 | 7.16 | 107 | 16 | 16 | 282 |
| DoMYB116 | 293 | 32,205.63 | 5.12 | 71 | 30 | 15 | 177 |
| DoMYB117 | 344 | 38,716.17 | 7.77 | 123 | 16 | 15 | 153 |
| DoMYB118 | 218 | 25,472.06 | 9.18 | 116 | 8 | 22 | 72 |
| DoMYB119 | 257 | 29,072.37 | 8.68 | 87 | 4 | 13 | 153 |
| DoMYB120 | 302 | 33,305.36 | 6.76 | 117 | 17 | 8 | 160 |
| DoMYB121 | 292 | 31,846.84 | 7.66 | 80 | 31 | 16 | 165 |
| DoMYB122 | 322 | 36,028.09 | 9.53 | 124 | 22 | 15 | 161 |
| DoMYB123 | 422 | 48,001.00 | 5.99 | 108 | 21 | 13 | 280 |
| DoMYB124 | 329 | 36,333.10 | 6.46 | 80 | 31 | 16 | 165 |
| DoMYB125 | 323 | 35,995.21 | 5.34 | 92 | 15 | 14 | 202 |
| DoMYB126 | 228 | 25,949.92 | 5.80 | 88 | 11 | 11 | 118 |
| DoMYB127 | 199 | 22,270.00 | 5.91 | 89 | 13 | 13 | 84 |
| DoMYB128 | 263 | 29,832.70 | 5.42 | 84 | 18 | 11 | 150 |
| DoMYB129 | 340 | 38,213.70 | 5.77 | 127 | 17 | 12 | 184 |
Disclaimer/Publisher’s Note: The statements, opinions and data contained in all publications are solely those of the individual author(s) and contributor(s) and not of MDPI and/or the editor(s). MDPI and/or the editor(s) disclaim responsibility for any injury to people or property resulting from any ideas, methods, instructions or products referred to in the content. |
© 2023 by the authors. Licensee MDPI, Basel, Switzerland. This article is an open access article distributed under the terms and conditions of the Creative Commons Attribution (CC BY) license (https://creativecommons.org/licenses/by/4.0/).
Share and Cite
Ji, K.; Liu, C.; Wu, K.; Yue, Z.; Dong, Y.; Gong, B.; Xu, Y. Genome-Wide Characterization of the R2R3-MYB Gene Family in Diospyros oleifera. Agriculture 2023, 13, 955. https://doi.org/10.3390/agriculture13050955
Ji K, Liu C, Wu K, Yue Z, Dong Y, Gong B, Xu Y. Genome-Wide Characterization of the R2R3-MYB Gene Family in Diospyros oleifera. Agriculture. 2023; 13(5):955. https://doi.org/10.3390/agriculture13050955
Chicago/Turabian StyleJi, Kang, Cuiyu Liu, Kaiyun Wu, Zhihui Yue, Yi Dong, Bangchu Gong, and Yang Xu. 2023. "Genome-Wide Characterization of the R2R3-MYB Gene Family in Diospyros oleifera" Agriculture 13, no. 5: 955. https://doi.org/10.3390/agriculture13050955
APA StyleJi, K., Liu, C., Wu, K., Yue, Z., Dong, Y., Gong, B., & Xu, Y. (2023). Genome-Wide Characterization of the R2R3-MYB Gene Family in Diospyros oleifera. Agriculture, 13(5), 955. https://doi.org/10.3390/agriculture13050955

