Effects of a Preparation Containing Amino Acids on Pakchoi Nutrient Absorption, Yield, and Quality When Grown in Saline-Alkali Soil
Abstract
1. Introduction
2. Materials and Methods
2.1. Test Materials
2.2. Experimental Design
2.3. Sampling and Analytical Methods
2.4. Statistical Analysis
3. Results
3.1. Fresh Yield
3.2. Photosynthetic Performance
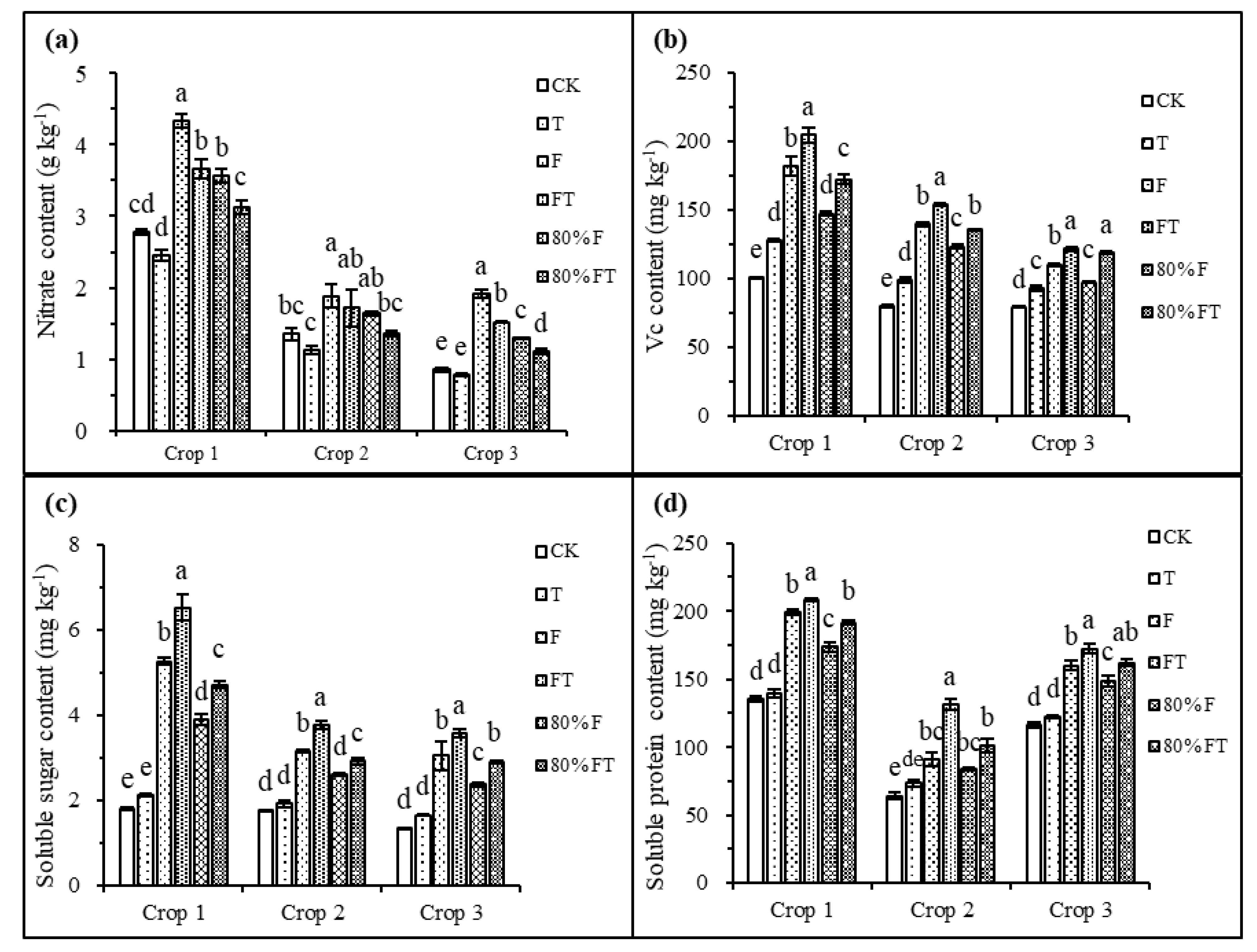
3.3. Shoot Quality
3.4. Nutrient Accumulation in the Shoot
3.5. Fertiliser Use Efficiency
4. Discussion
4.1. The Preparation Alleviated the Inhibiting Effect of Saline-Alkali Stress on Pakchoi Nutrient Uptake
4.2. The Preparation Achieved a Yield-Increasing Effect Equivalent to 20% Fertiliser Use in the Latter Crops
4.3. The Preparation Reduced the Nitrate Content in the Shoots
5. Conclusions
Author Contributions
Funding
Institutional Review Board Statement
Data Availability Statement
Acknowledgments
Conflicts of Interest
References
- Liu, L.; Bai, X.; Jiang, Z. The generic technology identification of saline-alkali land management and improvement based on social network analysis. Clust. Comput. 2018, 22, 13167–13176. [Google Scholar] [CrossRef]
- Mukhopadhyay, R.; Sarkar, B.; Jat, H.S.; Sharma, P.C.; Bolan, N.S. Soil salinity under climate change: Challenges for sustainable agriculture and food security. J. Environ. Manag. 2021, 280, 111736. [Google Scholar] [CrossRef] [PubMed]
- Bernstein, L. Effects of salinity and sodicity on plant growth. Annu. Rev. Phytopathol. 1975, 13, 295–312. [Google Scholar] [CrossRef]
- Ganapati, R.K.; Naveed, S.A.; Zafar, S.; Wang, W.; Xu, J. Saline-alkali tolerance in rice: Physiological response, molecular mechanism, QTL identification and application to breeding. Rice Sci. 2022, 29, 412–434. [Google Scholar] [CrossRef]
- Feng, D.; Gao, Q.; Liu, J.; Tang, J.; Hua, Z.; Sun, X. Categories of exogenous substances and their effect on alleviation of plant salt stress. Eur. J. Agron. 2023, 142, 126656. [Google Scholar] [CrossRef]
- Miao, Y.; Yang, F.; Wang, Z.; Shao, X.; Geng, Y. Progress of research on the improvement of saline-sodic soil by acidic substances. Chin. J. Eco-Agric. 2022, 31, 373–384. [Google Scholar]
- Colla, G.; Nardi, S.; Cardarelli, M.; Ertani, A.; Lucini, L.; Canaguier, R.; Rouphaef, Y. Protein hydrolysates as biostimulants in horticulture. Sci. Hortic. 2015, 196, 28–38. [Google Scholar] [CrossRef]
- Halpern, M.; Bar-Tal, A.; Ofek, M.; Minz, D.; Muller, T.; Yermiyahu, U. The use of biostimulants for enhancing nutrient uptake. Adv. Agron. 2015, 2015, 141–174. [Google Scholar]
- Xu, M.; Du, L.; Liu, M.; Zhou, J.; Pan, W.; Fu, H.; Zhang, X.; Ma, Q.; Wu, L. Glycine-chelated zinc rather than glycine-mixed zinc has lower foliar phytotoxicity than zinc sulfate and enhances zinc biofortification in waxy corn. Food Chem. 2022, 370, 131031. [Google Scholar] [CrossRef] [PubMed]
- Mostafa, G.G. Improving the growth of fennel plant grown under salinity stress using some biostimulants. Am. J. Plant Physiol. 1973, 10, 77–83. [Google Scholar] [CrossRef]
- Xuan, D.W.; Shang, J.G.; Mei, F.L.; Lu, S.J. Effects of gamma-aminobutyric acid on salt tolerance of wheat. J. South. Agric. 2017, 48, 1761–1768. [Google Scholar]
- Calvo, P.D.; Nelson, L.; Kloepper, J.W. Agricultural uses of plant biostimulants. Plant Soil 2014, 383, 3–41. [Google Scholar] [CrossRef]
- Ertani, A.; Schiavon, M.; Muscolo, A.; Nardi, S. Alfalfa plant-derived biostimulant stimulate short-term growth of salt stressed Zea mays L. plants. Plant Soil 2013, 364, 145–158. [Google Scholar] [CrossRef]
- Lucini, L.; Rouphael, Y.; Cardarelli, M.; Canaguier, R.; Kumar, P.; Colla, G. The effect of a plant-derived biostimulant on metabolic profiling and crop performance of lettuce grown under saline conditions. Sci. Hortic. 2015, 182, 124–133. [Google Scholar] [CrossRef]
- Zhou, W.; Zheng, W.; Wang, W.; Lv, H.; Liang, B.; Li, J. Exogenous pig blood-derived protein hydrolysates as a promising method for alleviation of salt stress in tomato (Solanum lycopersicum L.). Sci. Hortic. 2022, 294, 110779. [Google Scholar] [CrossRef]
- Xu, M.; Yuan, L.; Li, W.; Li, Y.; Li, J.; Zhao, B. Effects of a fertilizer synergist containing compound amino acids on seed germination and seedling growth of pakchoi under NaCl stress. J. Plant Nutr. Fertil. 2018, 24, 992–1000. [Google Scholar]
- Xu, M.; Yuan, L.; Li, W.; Li, Y.; Zhao, B. Effects of desalinated wastewater containing monosodium glutamate on germination and growth of pakchoi under Na2CO3. J. Plant Nutr. Fertil. 2019, 25, 1022–1031. [Google Scholar]
- Waqas, Q.; Longlong, X.; Shan, L.; Li, W.; Yiming, Z.; Klaus, B. Global greenhouse vegetable production systems are hotspots of soil N2O emissions and nitrogen leaching: A meta-analysis. Environ. Pollut. 2021, 272, 116372. [Google Scholar]
- Li He Sun, Q.; Zhao, S.; Zhang, W. The Experiment Principle and Technique on Plant Physiology and Biochemistry; Higher Education Press: Beijing, China, 2000; pp. 123–196. [Google Scholar]
- Zhao, S.J. Experimental Instruction in Plant Physiology; China Agricultural Science and Technology Press: Beijing, China, 2002. [Google Scholar]
- Bao, S. Method of Soil and Agricultural Chemistry Analysis; China Agricultural Press: Beijing, China, 2008; pp. 39–270. [Google Scholar]
- Ganeteg, U. Uptake of organic nitrogen by plants. New Phytol. 2009, 182, 31–48. [Google Scholar]
- Rasmussen, J.; Kuzyakov, Y. Carbon isotopes as proof for plant uptake of organic nitrogen: Relevance of inorganic carbon uptake. Soil Biol. Biochem. 2009, 41, 1586–1587. [Google Scholar] [CrossRef]
- Tegeder, M.; Rentsch, D. Uptake and partitioning of amino acids and peptides. Mol. Plant 2010, 3, 997–1011. [Google Scholar] [CrossRef]
- Rao, Y.; Peng, T.; Xue, S. Mechanisms of plant saline-alkaline tolerance. J. Plant Physiol. 2023, 281, 153916. [Google Scholar] [CrossRef]
- Moormann, J.; Heinemann, B.; Hildebrandt, T.M. News about amino acid metabolism in plant-microbe interactions. Trends Biochem. Sci. 2022, 47, 839–885. [Google Scholar] [CrossRef]
- Walchliu, P.; Liu, L.H.; Remans, T.; Tester, M.; Forde, B.G. Evidence that l-glutamate can act as an exogenous signal to modulate root growth and branching in Arabidopsis thaliana. Plant Cell Physiol. 2006, 47, 1045–1057. [Google Scholar] [CrossRef] [PubMed]
- Yan, L.S.; Soon, K.K. Exogenous proline mitigates the detrimental effects of saline and alkaline stresses in Leymus chinensis (Trin.). J. Plant Biotechnol. 2010, 37, 529–538. [Google Scholar]
- Chen, P.; Wang, Y.; Liu, Q.; Zhang, Y.; Li, X.; Li, H.; Li, W. Phase changes of continuous cropping obstacles in strawberry (Fragaria × ananassa Duch.) production. Appl. Soil Ecol. 2020, 155, 103026. [Google Scholar] [CrossRef]
- Tan, G.; Liu, Y.; Peng, S.; Yin, H.; Meng, D.; Tao, J.; Gu, Y.; Li, J.; Yang, S.; Xiao, N.; et al. Soil potentials to resist continuous cropping obstacle: Three field cases. Environ. Res. 2021, 200, 111319. [Google Scholar] [CrossRef]
- Chia, C.K.; Tsui, Y.C.; Hsin, Y.W.; Yan, A.J.; Ming, H.H. Exogenous glutamate rapidly induces the expression of genes involved in metabolism and defense responses in rice roots. BMC Genom. 2017, 18, 186–203. [Google Scholar]
- Chia, C.K.; Tsui, Y.C.; Yan, N.J.; Ming, H.H. Glutamine rapidly induces the expression of key transcription factor genes involved in nitrogen and stress responses in rice roots. BMC Genom. 2015, 16, 731. [Google Scholar]
- Gunes, A.; Post, W.; Kirkby, E.; Mehmet, A. Influence of partial replacement of nitrate by amino acid nitrogen or urea in the nutrient medium on nitrate accumulation in NFT grown winter lettuce. J. Plant Nutr. 1994, 17, 1929–1938. [Google Scholar] [CrossRef]
- Cao, X.; Li, X.; Zhu, L.; Zhang, J.; Yu, S.; Jin, Q.; Wu, L. Effects of different ratios of exogenous glycine, nitrate and ammonium on growth and quality of pakchoi (Brassica chinensis L.). J. Agro-Environ. Sci. 2015, 34, 1846–1852. [Google Scholar]
- Lei, Z.; Xue, M.Y.; De, C.G.; Wang, L.; Li, J.; Wei, Z.; Shi, Y. Effects of poly-γ-glutamic acid (γ-PGA) on plant growth and its distribution in a controlled plant-soil system. Sci. Rep. 2017, 7, 6090–6103. [Google Scholar]






| Treatment | Abbreviation | Nutrient Input (g kg−1) | ||
|---|---|---|---|---|
| N | P2O5 | K2O | ||
| No fertiliser | CK | — | — | — |
| Preparation | T | 0.003 | — | 0.001 |
| Water-soluble fertiliser | F | 0.070 | 0.035 | 0.018 |
| F + T | FT | 0.073 | 0.035 | 0.018 |
| 80% F | 80% F | 0.056 | 0.028 | 0.014 |
| 80% F + T | 80% FT | 0.059 | 0.029 | 0.015 |
| Parameter | Treatment | 1st Crop | 2nd Crop | 3rd Crop |
|---|---|---|---|---|
| Leaf area (cm2) | CK | 29.50 ± 7.52 c | 36.30 ± 5.85 c | 20.26 ± 1.28 e |
| T | 34.75 ± 7.86 bc | 39.55 ± 2.24 bc | 27.97 ± 2.98 d | |
| F | 44.29 ± 15.25 ab | 43.97 ± 6.41 ab | 43.64 ± 1.25 a | |
| FT | 53.32 ± 10.25 a | 45.35 ± 4.31 a | 44.26 ± 2.86 a | |
| 80% F | 33.57 ± 5.52 bc | 40.88 ± 2.40 b | 36.94 ± 0.98 c | |
| 80% FT | 44.90 ± 8.89 ab | 42.12 ± 5.91 ab | 40.34 ± 1.36 b | |
| SPAD value | CK | 42.15 ± 0.80 c | 34.80 ± 3.14 d | 36.41 ± 2.50 b |
| T | 45.05 ± 1.98 abc | 39.55 ± 3.19 c | 40.29 ± 2.34 ab | |
| F | 45.10 ± 2.25 abc | 43.97 ± 1.21 ab | 41.33 ± 4.44 ab | |
| FT | 46.85 ± 2.13 a | 45.35 ± 3.11 a | 43.73 ± 3.73 a | |
| 80% F | 43.03 ± 1.49 bc | 40.88 ± 2.21 bc | 40.60 ± 2.33 ab | |
| 80% FT | 45.95 ± 3.08 ab | 43.62 ± 0.71 ab | 40.85 ± 2.53 ab |
Disclaimer/Publisher’s Note: The statements, opinions and data contained in all publications are solely those of the individual author(s) and contributor(s) and not of MDPI and/or the editor(s). MDPI and/or the editor(s) disclaim responsibility for any injury to people or property resulting from any ideas, methods, instructions or products referred to in the content. |
© 2023 by the authors. Licensee MDPI, Basel, Switzerland. This article is an open access article distributed under the terms and conditions of the Creative Commons Attribution (CC BY) license (https://creativecommons.org/licenses/by/4.0/).
Share and Cite
Xu, M.; Yuan, L.; Zhang, S.; Li, Y.; Zhao, B. Effects of a Preparation Containing Amino Acids on Pakchoi Nutrient Absorption, Yield, and Quality When Grown in Saline-Alkali Soil. Agriculture 2023, 13, 863. https://doi.org/10.3390/agriculture13040863
Xu M, Yuan L, Zhang S, Li Y, Zhao B. Effects of a Preparation Containing Amino Acids on Pakchoi Nutrient Absorption, Yield, and Quality When Grown in Saline-Alkali Soil. Agriculture. 2023; 13(4):863. https://doi.org/10.3390/agriculture13040863
Chicago/Turabian StyleXu, Meng, Liang Yuan, Shuiqin Zhang, Yanting Li, and Bingqiang Zhao. 2023. "Effects of a Preparation Containing Amino Acids on Pakchoi Nutrient Absorption, Yield, and Quality When Grown in Saline-Alkali Soil" Agriculture 13, no. 4: 863. https://doi.org/10.3390/agriculture13040863
APA StyleXu, M., Yuan, L., Zhang, S., Li, Y., & Zhao, B. (2023). Effects of a Preparation Containing Amino Acids on Pakchoi Nutrient Absorption, Yield, and Quality When Grown in Saline-Alkali Soil. Agriculture, 13(4), 863. https://doi.org/10.3390/agriculture13040863

