Wheat Seed Phenotype Detection Device and Its Application
Abstract
1. Introduction
2. Data and Methods
2.1. Wheat Seed
2.2. Wheat Seed Phenotypic Characteristic Detection System
2.2.1. Image Acquisition Device
2.2.2. Sampling Hole Plate
2.2.3. Image Acquisition Software Platform
2.2.4. Wheat Seed Phenotyping Detection Process
2.3. Image Acquisition Methods
2.4. Image Preprocessing
2.5. Feature Extraction
2.6. Thousand Seed Weight Measurement Method
2.7. Model Construction and Accuracy Evaluation
3. Results and Discussion
3.1. Effect of Sampling Hole Plate on Parameters
3.1.1. Average Error
3.1.2. Variance
3.2. Distribution of Phenotypic Characteristic Parameters of Wheat Seeds
3.3. Correlation Analysis of Seed Phenotypic Characteristics and Thousand Seed Weight
3.4. Parameters and Thousand Seed Weight Model
3.4.1. Models Built
3.4.2. Model Comparison Analysis
3.5. Discussion
4. Conclusions
- A wheat seed phenotypic characteristic parameter detection system was established to extract the phenotypic characteristic parameters of five wheat seeds: Luomai 26, Zhoumai 22, Luomai 42, Jinqiang 11, and Bainong 207. The distributions of phenotypic characteristic parameters showed that Luomai 26, Zhoumai 22, and Luomai 42 were the larger seeds among the five varieties, and Bainong 207 was the smaller seed. Jinqiang 11 had the largest perimeter and long axis, and the smalleat short axis, ellipticity, and elongation; thus, the seeds were elongated. Luomai 42 had the largest roundness with a small difference between the long and short axes.
- The correlations between the phenotypic characteristic parameters of wheat seeds and thousand seed weight were analysed. The results showed that most of thousand seed weight of wheat seeds were correlated with the area, perimeter, long axis, and short axis. The phenotypic characteristics with significant correlations were different for various varieties of wheat seeds. Among them, the correlations between area, short axis, and thousand seed weight of Luomai 26 reached highly significant levels (p < 0.01) with coefficients of 0.73 and 0.63; the area, long axis, short axis, perimeter, and rectangularity of Jinqiang 11 all had highly significant correlations (p < 0.01) with the thousand seed weight with coefficients of 0.928, 0.837, 0.901, 0.850, and 0.658, respectively. The correlation between the area, perimeter and thousand seed weight of Zhoumai 22 reached a highly significant level (p < 0.01) with correlation coefficients of 0.61 and 0.654; the correlation between area and thousand seed weight of Luomai 42 reached a highly significant level (p < 0.01) with a correlation coefficient of 0.727; the correlations between area, short axis, perimeter, and thousand seed weight of Bainong 207 reached highly significant levels (p < 0.01) with correlation coefficients of 0.86, 0.711, and 0.751.
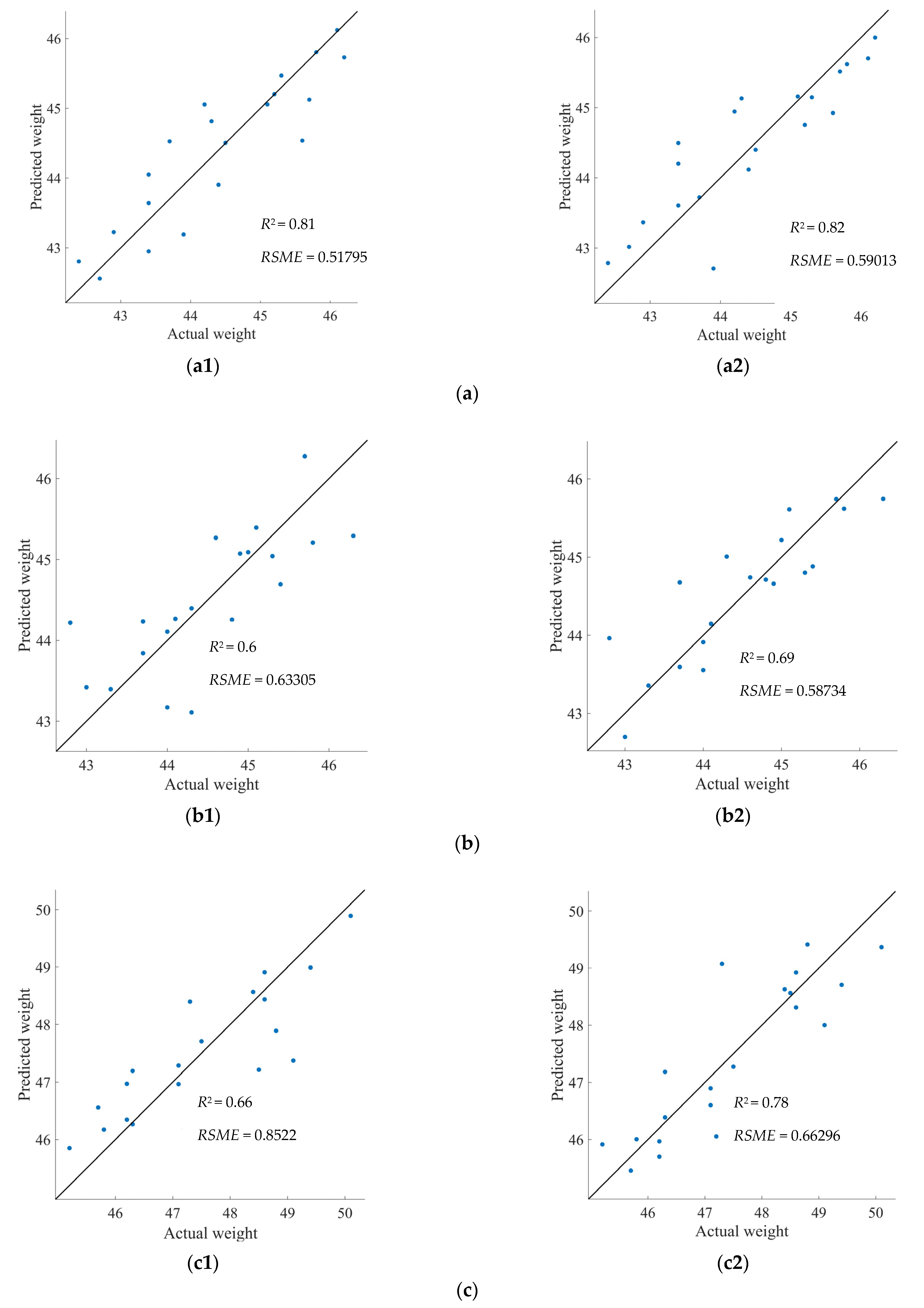
- A multiple linear regression model was developed using significantly correlated phenotypic parameters, in which the R2 of the prediction models for Jinqiang 11 and Bainong 207 were 0.853 and 0.757, respectively; the R2 of the prediction models for Luomai 26, Zhoumai 22, and Luomai 42 were all lower than 0.5. The models were further validated by selecting wheat seeds with thousand seed weights of 40–50 g, in which the R2 of the prediction models for Meichun 101, Luohan 7, and Luomai 38 were 0.575, 0.815, and 0.569, respectively. The modelling and validation showed that the model established in this paper had better results in predicting the thousand seed weight of wheat seeds when the thousand seed weight was 44–47 g.
Author Contributions
Funding
Institutional Review Board Statement
Informed Consent Statement
Data Availability Statement
Conflicts of Interest
References
- Announcement by the National Bureau of Statistics on 2022 Summer Grain Production Data. Grain Process. 2022, 47, 95.
- Zhou, L. Research on Phenotype Information Perception Method of Wheat Based on Spectra and Images. Bachelor’s Thesis, Zhejiang University, Hangzhou, China, 2022. [Google Scholar]
- Liang, L. Research on Wheat Grain Classification Technology Based on Improved Hierarchical Analysis. Master’s Thesis, Hebei Agricultural University, Baoding, China, 2013. [Google Scholar]
- Sun, J.; Zhang, L.; Zhou, X.; Wu, X.H.; Shen, J.F.; Dai, C.X. Detection of rice seed vigor levels using hyperspectral image depth features. J. Agric. Eng. 2021, 37, 171–178. [Google Scholar]
- Zhao, H.M.; Ge, C.J.; Jia, J.Q.; Zhang, S.J. A high-throughput phenotyping system for wheat seeds based on image analysis. Shandong Agric. Sci. 2021, 53, 113–120. [Google Scholar]
- Wang, J.C.; Gao, Z.F.; Li, D.S.; Zhu, D.M.; Wu, H.Y. Research on the application of agricultural information technology in wheat breeding. J. Crop 2018, 184, 37–43. [Google Scholar]
- Taner, A.; Oztekin, Y.B.; Tekguler, A.; Sauk, H.; Duran, H. Classification of Varieties of Grain Species by Artificial Neural Networks. Agron.-Basel 2018, 8, 123. [Google Scholar] [CrossRef]
- Chen, X.; Xun, Y.; Li, W.; Zhang, J.X. Combining discriminant analysis and neural networks for corn variety identification. Comput. Electron. Agric. 2010, 71, S48–S53. [Google Scholar] [CrossRef]
- Pourreza, A.; Pourreza, H.; Abbaspour-Fard, M.H.; Sadrnia, H. Identification of nine Iranian wheat seed varieties by textural analysis with image processing. Comput. Electron. Agric. 2012, 83, 102–108. [Google Scholar] [CrossRef]
- Yang, S.; Zheng, L.H.; He, P.; Wu, T.; Sun, S.; Wang, M.J. High-throughput soybean seeds phenotyping with convolutional neural networks and transfer learning. Plant Methods 2021, 17, 50. [Google Scholar] [CrossRef]
- Colmer, J.; O’Neill, C.M.; Wells, R.; Bostrom, A.; Reynolds, D.; Websdale, D.; Shiralagi, G.; Lu, W.; Lou, Q.J.; Le Cornu, T.; et al. SeedGerm: A cost-effective phenotyping platform for automated seed imaging and machine-learning based phenotypic analysis of crop seed germination. New Phytol. 2020, 228, 778–793. [Google Scholar] [CrossRef]
- Korohou, T.; Okinda, C.; Li, H.K.; Cao, Y.F.; Nyalala, I.; Huo, L.F.; Potcho, M.; Li, X.; Ding, Q.S. Wheat grain yield estimation based on image morphological properties and wheat biomass. J. Sens. 2020, 2020, 1571936. [Google Scholar] [CrossRef]
- Zhang, H.; Li, H.P.; Ye, J. Research on morphological characteristics of wheat grain appearance. Grain Feed. Ind. 2013, 311, 7–9. [Google Scholar]
- Li, Z.; Liao, T.Q.; Feng, Q.C.; Zhang, D.Y.; Wang, Q.; Wang, X.N.; Zhang, L.H.; Wang, X. Design of cucumber seed vigor index detection system based on image processing technology. Seeds 2015, 34, 111–115. [Google Scholar]
- Majumdar, S.; Javas, D.S. Classification of cereal grains using machine vision: I. Morphology models. Trans. ASAE 2000, 43, 1669–1675. [Google Scholar] [CrossRef]
- Wang, Z.J.; Cong, P.S.; Zhou, J.L.; Zhou, Z.L. A method for evaluating wheat grain appearance quality based on image processing and artificial neural network. J. Agric. Eng. 2007, 158–161. [Google Scholar]
- Qadri, S.; Qadri, S.F.; Razzaq, A.; Rehman, M.U.I.; Ahmad, N.; Nawaz, S.A.; Saher, N.; Akhtar, N.; Khan, D.M. Classification of canola seed varieties based on multi-feature analysis using computer vision approach. Int. J. Food Prop. 2021, 24, 493–504. [Google Scholar] [CrossRef]
- Javanmardi, S.; Ashtiani, S.H.M.; Verbeek, F.J.; Martynenko, A. Computer-vision classification of corn seed varieties using deep convolutional neural network. J. Stored Prod. Res. 2021, 92, 101800. [Google Scholar] [CrossRef]
- He, H.X. Research on the Classification Model of Wheat Seed Varieties Based on Machine Vision. Master’s Thesis, Anhui Agricultural University, Hefei, China, 2018. [Google Scholar]
- Kara, M.; Sayinci, B.; Elkoca, E.; Ozturk, I.; Ozmen, T.B. Seed size and shape analysis of registered common bean (Phaseolus valgaris L.) cultivars in Turkey using digital photograohy. J. Agric. Sci. 2013, 19, 219–234. [Google Scholar]
- Tanabata, T.; Shibaya, T.; Hori, K.; Ebana, K.; Yano, M. SmartGrain: High-throughput phenotyping software for measuring and seed shape through image analysis. Plant Physiol. 2012, 160, 1870–1880. [Google Scholar] [CrossRef]
- Sabanci, K.; Kayabasi, A.; Toktas, A. Computer vision-based method for classification of wheat grains using artificial neural network. J. Sci. Food Agric. 2017, 97, 2588–2593. [Google Scholar] [CrossRef]
- Xia, X. Research on Wheat Variety Identification Based on Computer Vision. Master’s Thesis, Henan University of Technology, Zhengzhou, China, 2011. [Google Scholar]
- Fan, C.; Xia, X.; Shi, X.F.; Hou, L.D. Research on wheat variety classification based on optimization neural network. J. Henan Univ. Technol. (Nat. Sci. Ed.) 2012, 33, 72–76. [Google Scholar]
- Choudhary, R.; Paliwal, J.; Jayas, D.S. Classification of cereal grains using wavelet, morphological, colour, and textural features of non-touching kernel images. Biosyst. Eng. 2008, 99, 330–337. [Google Scholar] [CrossRef]
- Manickavasagan, A.; Sathya, G.; Jayas, D.S. Comparison of illuminations to identify wheat classes using monochrome images. Comput. Electron. Agric. 2008, 63, 237–244. [Google Scholar] [CrossRef]
- Pazoki, A.R.; Pazoki, Z. Classifification system for rain fed wheat grain cultivars using artifificial neural network. Afr. J. Biotechnol. 2011, 10, 8031–8038. [Google Scholar]
- Ma, Y.H.; Han, Y. Color image segmentation method. Sci. Technol. Inf. Dev. Econ. 2006, 16, 158–159. [Google Scholar]
- Cui, Y. Image Processing and Analysis—Mathematical Morphology Methods and Applications; Science Press: Beijing, China, 2009. [Google Scholar]
- Gegas, V.C.; Nazari, A.; Griffiths, S.; Simmonds, J.; Fish, L.; Orford, S.; Sayers, L.; Doonan, J.H.; Snape, J.W. A genetic framework for grain size and shape variation in wheat. Plant Cell 2010, 22, 1046–1056. [Google Scholar] [CrossRef]
- Feng, L.J.; Li, X.J.; Wen, C.L. Wheat variety identification based on sparse representation. J. Jiangnan Univ. (Nat. Sci. Ed.) 2015, 14, 730–735. [Google Scholar]
- Abdipour, M.; Younessi-Hmazekhanlu, M.; Ramazani, S.H.R.; Omidi, A.H. Artificial neural networks and multiple linear regression as potential methods for modeling seed yield of safflower (Carthamus tinctorius L.). Ind. Crops Prod. 2018, 127, 185–194. [Google Scholar] [CrossRef]
- Abdipour, M.; Ebrahimi, M.; Lzadi-Darbandi, A.; Mastrangelo, A.M. Association between Grain Size and Shape and Quality Traits, and Path Analysis of Thousand Grain Weight in Iranian Bread Wheat Landraces from Different Geographic Regions. Not. Bot. Horti Agrobot. Cluj-Napoca 2016, 44, 228–236. [Google Scholar] [CrossRef]
- Cui, F.; Ding, A.M.; Li, J.; Zhao, C.H.; Li, X.F.; Feng, D.S.; Wang, X.Q.; Wang, L.; Gao, J.R.; Wang, H.G. Wheat kernel dimensions: How do they contribute to kernel weight at an individual QTL level? J. Genet. 2011, 90, 409–425. [Google Scholar] [CrossRef] [PubMed]










| Varieties | Average Errors of 1 mm Hole Plate (mm) | Average Errors of 2 mm Hole Plate (mm) | Average Errors of 3 mm Hole Plate (mm) |
|---|---|---|---|
| Luomai 26 | 0.199362 | 0.296986 | 0.492199 |
| Jinqiang 11 | 0.093554 | 0.199852 | 0.631647 |
| Zhoumai 22 | 0.148807 | 0.216848 | 0.422150 |
| Luomai 42 | 0.146492 | 0.289650 | 0.316111 |
| Bainong 207 | 0.341720 | 0.081696 | 0.402236 |
| Hole Plate | Varieties | Variance | Total Variance | ||||||
|---|---|---|---|---|---|---|---|---|---|
| Area | Long Axis | Short Axis | Perimeter | Ellipticity | Rectangularity | Elongation | |||
| 1 mm | Luomai 26 Jinqiang 11 | 0.0422 | 0.0024 | 0.0009 | 0.0337 | 0.0000 | 0.0000 | 0.0009 | 0.0802 |
| 0.0151 | 0.0012 | 0.0003 | 0.0100 | 0.0000 | 0.0002 | 0.0000 | 0.0269 | ||
| Zhoumai 22 | 0.0151 | 0.0042 | 0.0008 | 0.0133 | 0.0000 | 0.0000 | 0.0000 | 0.0334 | |
| Luomai 42 | 0.0241 | 0.0060 | 0.0015 | 0.0181 | 0.0000 | 0.0000 | 0.0000 | 0.0497 | |
| Bainong 207 | 0.0404 | 0.0015 | 0.0008 | 0.0258 | 0.0000 | 0.0000 | 0.0001 | 0.0686 | |
| 2 mm | Luomai 26 | 0.0006 | 0.0000 | 0.0000 | 0.0002 | 0.0000 | 0.0000 | 0.0003 | 0.0011 |
| Jinqiang 11 | 0.0031 | 0.0001 | 0.0001 | 0.0007 | 0.0000 | 0.0000 | 0.0000 | 0.0040 | |
| Zhoumai 22 | 0.0002 | 0.0000 | 0.0000 | 0.0001 | 0.0000 | 0.0000 | 0.0000 | 0.0004 | |
| Luomai 42 | 0.0026 | 0.0001 | 0.0000 | 0.0008 | 0.0000 | 0.0000 | 0.0010 | 0.0044 | |
| Bainong 207 | 0.0521 | 0.0002 | 0.0001 | 0.0001 | 0.0000 | 0.0000 | 0.0007 | 0.0533 | |
| 3 mm | Luomai 26 | 0.0087 | 0.0006 | 0.0002 | 0.0068 | 0.0000 | 0.0000 | 0.0022 | 0.0185 |
| Jinqiang 11 | 0.0745 | 0.0033 | 0.0011 | 0.0404 | 0.0000 | 0.0000 | 0.0023 | 0.1217 | |
| Zhoumai 22 | 0.0067 | 0.4495 | 0.0001 | 0.0016 | 0.0000 | 0.0000 | 0.0010 | 0.4588 | |
| Luomai 42 | 0.0291 | 0.0019 | 0.0008 | 0.0217 | 0.0000 | 0.0000 | 0.0000 | 0.0534 | |
| Bainong 207 | 0.0076 | 0.0004 | 0.0001 | 0.0283 | 0.0000 | 0.0000 | 0.0000 | 0.0365 | |
| Varieties | Multiple Linear Regression Model | R2 | RMSE | Measured TSW (g) |
|---|---|---|---|---|
| Luomai 26 | 0.497 | 0.668 | 50.800 | |
| Jinqiang 11 | 0.853 | 0.450 | 44.410 | |
| Zhoumai 22 | 0.345 | 0.605 | 50.585 | |
| Luomai 42 | 0.493 | 0.690 | 50.665 | |
| Bainong 207 | 0.757 | 0.470 | 44.505 |
| Varieties | Multiple Linear Regression Model | R2 | RMSE | Measured TSW (g) |
|---|---|---|---|---|
| Meichun 101 | 0.575 | 0.605 | 42.815 | |
| Luohan 7 | 0.815 | 0.599 | 47.470 | |
| Luomai 38 | 0.569 | 0.723 | 49.385 |
Disclaimer/Publisher’s Note: The statements, opinions and data contained in all publications are solely those of the individual author(s) and contributor(s) and not of MDPI and/or the editor(s). MDPI and/or the editor(s) disclaim responsibility for any injury to people or property resulting from any ideas, methods, instructions or products referred to in the content. |
© 2023 by the authors. Licensee MDPI, Basel, Switzerland. This article is an open access article distributed under the terms and conditions of the Creative Commons Attribution (CC BY) license (https://creativecommons.org/licenses/by/4.0/).
Share and Cite
Zhang, H.; Ji, J.; Ma, H.; Guo, H.; Liu, N.; Cui, H. Wheat Seed Phenotype Detection Device and Its Application. Agriculture 2023, 13, 706. https://doi.org/10.3390/agriculture13030706
Zhang H, Ji J, Ma H, Guo H, Liu N, Cui H. Wheat Seed Phenotype Detection Device and Its Application. Agriculture. 2023; 13(3):706. https://doi.org/10.3390/agriculture13030706
Chicago/Turabian StyleZhang, Haolei, Jiangtao Ji, Hao Ma, Hao Guo, Nan Liu, and Hongwei Cui. 2023. "Wheat Seed Phenotype Detection Device and Its Application" Agriculture 13, no. 3: 706. https://doi.org/10.3390/agriculture13030706
APA StyleZhang, H., Ji, J., Ma, H., Guo, H., Liu, N., & Cui, H. (2023). Wheat Seed Phenotype Detection Device and Its Application. Agriculture, 13(3), 706. https://doi.org/10.3390/agriculture13030706

