Physiological and Ultrastructural Changes in Dendranthema morifolium Cultivars Exposed to Different Cadmium Stress Conditions
Abstract
1. Introduction
2. Materials and Methods
2.1. Plant Materials
2.2. Cadmium Treatment
2.3. Effect of Cd on Physiological Attributes
2.3.1. Chlorophyll Determination
2.3.2. MDA Contents
2.3.3. Relative Electrical Conductivity (REC)
2.4. Antioxidant Enzymes in Chrysanthemum Seedlings under Cd Stress
2.5. Ultrastructure Characteristics of Chrysanthemum’ F Variety
2.6. Statistical Analysis
3. Results
3.1. Chlorophyll and Carotenoid Contents
3.2. Cadmium’s Effect on Physiological Traits
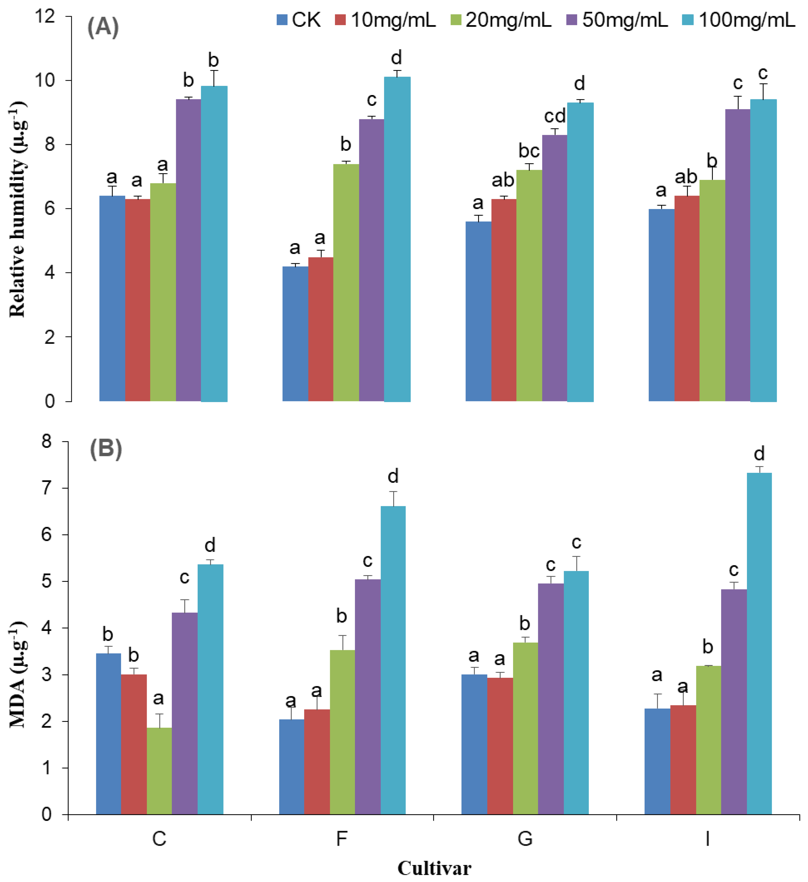
3.2.1. Relative Electrolytic Conductivity (REC)
3.2.2. MDA Contents
3.3. Cadmium Effect on Antioxidant Enzymes
3.3.1. Superoxide Dismutase Activity
3.3.2. Peroxidase Enzyme Activity
3.3.3. Catalase Enzyme Activity
3.4. Cadmium Effect on Ultrastructure of F Variety
4. Discussion
5. Conclusions
Author Contributions
Funding
Institutional Review Board Statement
Data Availability Statement
Conflicts of Interest
References
- Huang, T.; Xiong, B. Space comparison of agricultural green growth in agricultural modernization: Scale and quality. Agriculture 2022, 12, 1067. [Google Scholar] [CrossRef]
- Hayat, K.; Khan, J.; Khan, A.; Ullah, S.; Ali, S.; Salahuddin; Fu, Y. Ameliorative Effects of Exogenous Proline on Photosynthetic Attributes, Nutrients Uptake, and Oxidative Stresses under Cadmium in Pigeon Pea (Cajanus cajan L.). Plants 2021, 10, 796. [Google Scholar] [CrossRef] [PubMed]
- Hayat, K.; Khan, A.; Bibi, F.; Salahuddin Murad, W.; Fu, Y.; Batiha, G.E.; Alqarni, M.; Khan, A.; Al-Harrasi, A. Effect of Cadmium and Copper Exposure on Growth, Physio-Chemicals and Medicinal Properties of Cajanus cajan L.(Pigeon Pea). Metabolites 2021, 11, 769. [Google Scholar] [CrossRef] [PubMed]
- Mohiuddin, K.; Ogawa, Y.; Zakir, H.; Otomo, K.; Shikazono, N. Heavy metals contamination in water and sediments of an urban river in a developing country. Int. J. Environ. Sci. Technol. 2011, 8, 723–736. [Google Scholar] [CrossRef]
- Islam, M.S.; Ahmed, M.K.; Raknuzzaman, M.; Habibullah-Al-Mamun, M.; Islam, M.K. Heavy metal pollution in surface water and sediment: A preliminary assessment of an urban river in a developing country. Ecol. Indic. 2015, 48, 282–291. [Google Scholar] [CrossRef]
- Ali, I.; Khan, A.; Ali, A.; Ullah, Z.; Dai, D.-Q.; Khan, N.; Khan, A.; Al-Tawaha, A.R.; Sher, H. Iron and zinc micronutrients and soil inoculation of Trichoderma harzianum enhance wheat grain quality and yield. Front. Plant Sci. 2022, 13. [Google Scholar] [CrossRef]
- Andresen, E.; Küpper, H. Cadmium Toxicity in Plants; Springer: Dordrecht, The Netherlands, 2013; pp. 395–413. [Google Scholar]
- Shah, F.U.R.; Ahmad, N.; Masood, K.R.; Peralta-Videa, J.R.; Ahmad, F.U.D. Heavy Metal Toxicity in Plants; Springer: Dordrecht, The Netherlands, 2010; pp. 71–97. [Google Scholar]
- White, P.J.; Pongrac, P. Heavy-Metal Toxicity in Plants. In Plant Stress Physiology; Cabi: Wallingford, UK, 2017; pp. 300–331. [Google Scholar]
- Birke, M.; Reimann, C.; Rauch, U.; Ladenberger, A.; Demetriades, A.; Jähne-Klingberg, F.; Oorts, K.; Gosar, M.; Dinelli, E.; Halamić, J. GEMAS: Cadmium distribution and its sources in agricultural and grazing land soil of Europe—Original data versus clr-transformed data. J. Geochem. Explor. 2016, 173, 13–30. [Google Scholar] [CrossRef]
- Gill, S.S.; Khan, N.A.; Tuteja, N. Cadmium at high dose perturbs growth, photosynthesis and nitrogen metabolism while at low dose it up regulates sulfur assimilation and antioxidant machinery in garden cress (Lepidium sativum L.). Plant Sci. 2012, 182, 112–120. [Google Scholar] [CrossRef]
- Monteiro, M.S.; Santos, C.; Soares, A.M.V.M.; Mann, R.M. Assessment of biomarkers of cadmium stress in lettuce. Ecotoxicol. Environ. Saf. 2009, 72, 811–818. [Google Scholar] [CrossRef]
- Perveen, S.; Anis, M. In vitro morphogenic response and metal accumulation in Albizia lebbeck (L.) cultures grown under metal stress. Eur. J. For. Res. 2012, 131, 669–681. [Google Scholar] [CrossRef]
- Khan, A.; Ali, S.; Khan, M.; Hamayun, M.; Moon, Y.-S. Parthenium hysterophorus’s Endophytes: The Second Layer of Defense against Biotic and Abiotic Stresses. Microorganisms 2022, 10, 2217. [Google Scholar] [CrossRef] [PubMed]
- Barceló, J.; Vázquez, M.D.; Poschenrieder, C. Structural and ultrastructural disorders in cadmium-treated bush bean plants (Phaseolus vulgaris L.). New Phytol. 1988, 108, 37–49. [Google Scholar] [CrossRef]
- Vecchia, F.D.; Rocca, N.L.; Moro, I.; Faveri, S.D.; Andreoli, C.; Rascio, N.J.P.S. Morphogenetic, ultrastructural and physiological damages suffered by submerged leaves of Elodea canadensis exposed to cadmium. Plant Sci. 2005, 168, 329–338. [Google Scholar] [CrossRef]
- Sandalio, L.M.; Dalurzo, H.C.; Gómez, M.; Romero-Puertas, M.C.; del Río, L.A. Cadmium-induced changes in the growth and oxidative metabolism of pea plants. J. Exp. Bot. 2001, 52, 2115–2126. [Google Scholar] [CrossRef] [PubMed]
- Xu, S.; Li, J.; Zhang, X.; Wei, H.; Cui, L. Effects of heat acclimation pretreatment on changes of membrane lipid peroxidation, antioxidant metabolites, and ultrastructure of chloroplasts in two cool-season turfgrass species under heat stress. Environ. Exp. Bot. 2006, 56, 274–285. [Google Scholar] [CrossRef]
- Aravind, P.; Prasad, M.N.V. Cadmium-Zinc interactions in a hydroponic system using Ceratophyllum demersum L.: Adaptive ecophysiology, biochemistry and molecular toxicology. Braz. J. Plant Physiol. 2005, 17, 3–20. [Google Scholar] [CrossRef]
- Khan, M.D.; Mei, L.; Ali, B.; Chen, Y.; Cheng, X.; Zhu, S.J. Cadmium-Induced Upregulation of Lipid Peroxidation and Reactive Oxygen Species Caused Physiological, Biochemical, and Ultrastructural Changes in Upland Cotton Seedlings. BioMed Res. Int. 2013, 2013, 374063. [Google Scholar] [CrossRef]
- Liu, J.N.; Zhou, Q.X.; Sun, T.; Ma, L.Q.; Song, W. Growth responses of three ornamental plants to Cd and Cd–Pb stress and their metal accumulation characteristics. J. Hazard. Mater. 2008, 151, 261–267. [Google Scholar] [CrossRef]
- Gill, S.S.; Tuteja, N. Reactive oxygen species and antioxidant machinery in abiotic stress tolerance in crop plants. Plant Physiol. Biochem. 2010, 48, 909–930. [Google Scholar] [CrossRef]
- Riyazuddin, R.; Nisha, N.; Ejaz, B.; Khan, M.I.R.; Kumar, M.; Ramteke, P.W.; Gupta, R. A comprehensive review on the heavy metal toxicity and sequestration in plants. Biomolecules 2021, 12, 43. [Google Scholar] [CrossRef]
- Lyon, A.S.; Peeples, W.B.; Rosen, M.K. A framework for understanding the functions of biomolecular condensates across scales. Nat. Rev. Mol. Cell Biol. 2021, 22, 215–235. [Google Scholar] [CrossRef] [PubMed]
- Ahmad, S.U.; Ali, Y.; Jan, Z.; Rasheed, S.; Nazir, N.u.A.; Khan, A.; Rukh Abbas, S.; Wadood, A.; Rehman, A.U. Computational screening and analysis of deleterious nsSNPs in human p 14ARF (CDKN2A gene) protein using molecular dynamic simulation approach. J. Biomol. Struct. Dyn. 2022, 1–12. [Google Scholar]
- Khan, M.; Ali, S.; Al Azzawi, T.N.I.; Saqib, S.; Ullah, F.; Ayaz, A.; Zaman, W. The Key Roles of ROS and RNS as a Signaling Molecule in Plant–Microbe Interactions. Antioxidants 2023, 12, 268. [Google Scholar] [CrossRef]
- Laspina, N.V.; Groppa, M.D.; Tomaro, M.L.; Benavides, M.P. Nitric oxide protects sunflower leaves against Cd-induced oxidative stress. Plant Sci. 2005, 169, 323–330. [Google Scholar] [CrossRef]
- Khan, A.; Ali, S.; Murad, W.; Hayat, K.; Siraj, S.; Jawad, M.; Khan, R.A.; Uddin, J.; Al-Harrasi, A.; Khan, A. Phytochemical and pharmacological uses of medicinal plants to treat cancer: A case study from Khyber Pakhtunkhwa, North Pakistan. J. Ethnopharmacol. 2021, 281, 114437. [Google Scholar] [CrossRef]
- Huihui, Z.; Xin, L.; Zisong, X.; Yue, W.; Zhiyuan, T.; Meijun, A.; Yuehui, Z.; Wenxu, Z.; Nan, X.; Guangyu, S. Toxic effects of heavy metals Pb and Cd on mulberry (Morus alba L.) seedling leaves: Photosynthetic function and reactive oxygen species (ROS) metabolism responses. Ecotoxicol. Environ. Saf. 2020, 195, 110469. [Google Scholar] [CrossRef]
- Chen, F.; Wang, F.; Wu, F.; Mao, W.; Zhang, G.; Zhou, M. Modulation of exogenous glutathione in antioxidant defense system against Cd stress in the two barley genotypes differing in Cd tolerance. Plant Physiol Biochem. 2010, 48, 663–672. [Google Scholar] [CrossRef]
- Mckersie, B.D.; Leshem, Y.A.Y. Stress and Stress Coping in Cultivated Plants; Springer: Dordrecht, The Netherlands, 1994; pp. 79–103. [Google Scholar]
- Zhang, F.Q.; Wang, Y.-S.; Lou, Z.-P.; Dong, J.-D. Effect of heavy metal stress on antioxidative enzymes and lipid peroxidation in leaves and roots of two mangrove plant seedlings (Kandelia candel and Bruguiera gymnorrhiza). Chemosphere 2007, 67, 44–50. [Google Scholar] [CrossRef]
- Blokhina, O.; Virolainen, E.; Fagerstedt, K.V. Antioxidants, Oxidative Damage and Oxygen Deprivation Stress: A Review. Ann. Bot. 2003, 91, 179–194. [Google Scholar] [CrossRef]
- Lobo, V.; Patil, A.; Phatak, A.; Chandra, N. Free radicals, antioxidants and functional foods: Impact on human health. Pharmacogn. Rev. 2010, 4, 118. [Google Scholar] [CrossRef]
- Saxena, P.K.; Krishnaraj, S.; Dan, T.; Perras, M.R.; Vettakkorumakankav, N.N. Phytoremediation of Heavy Metal Contaminated and Polluted Soils. Chemosphere 2022, 303, 134788. [Google Scholar]
- Sajad, M.A.; Khan, M.S.; Bahadur, S.; Shuaib, M.; Naeem, A.; Zaman, W.; Ali, H. Nickel phytoremediation potential of some plant species of the Lower Dir, Khyber Pakhtunkhwa, Pakistan. Limnol. Rev. 2020, 20, 13–22. [Google Scholar] [CrossRef]
- Ball, V. Dendranthema. In Ball redbook, 16th ed.; Ball Publishing: Batavia, Indonesia, 1997; pp. 447–473. [Google Scholar]
- Mani, D.; Kumar, C.; Patel, N.K. Integrated micro-biochemical approach for phytoremediation of cadmium and lead contaminated soils using Gladiolus grandiflorus L cut flower. Ecotoxicol. Environ. Saf. 2016, 124, 435–446. [Google Scholar] [CrossRef]
- Kim, S.J.; Myung, N.Y.; Shin, B.G.; Lee, J.H.; So, H.S.; Park, R.K.; Um, J.Y.; Hong, S.H. Protective effect of a Chrysanthemum indicum containing formulation in cadmium-induced ototoxicity. Am. J. Chin. Med. 2011, 39, 587–600. [Google Scholar] [CrossRef] [PubMed]
- González-Chávez, M.D.C.A.; Carrillo-González, R. Tolerance of Chrysantemum maximum to heavy metals: The potential for its use in the revegetation of tailings heaps. J. Environ. Sci. (China) 2013, 25, 367–375. [Google Scholar] [CrossRef]
- Lan, W.; Luo, C.; Li, X.; Shen, Z. Copper Accumulation and Tolerance in Chrysanthemum coronarium L. and Sorghumsudanense L. Arch. Environ. Contam. Toxicol. 2008, 55, 238–246. [Google Scholar]
- Duxbury, A.C.; Yentsch, C.S. Plankton Pigment Nomographs. J. Fish. Res. Board Can. 1956, 22, 1575–1578. [Google Scholar]
- Classics Lowry, O.; Rosebrough, N.; Farr, A.; Randall, R. Protein measurement with the Folin phenol reagent. J. Biol. Chem. 1951, 193, 265–275. [Google Scholar] [CrossRef]
- Wang, M.E.; Zhou, Q.-X. Joint stress of chlorimuron-ethyl and cadmium on wheat Triticum aestivum at biochemical levels. Environ. Pollut. 2006, 144, 572–580. [Google Scholar] [CrossRef]
- Gichner, T.; Patková, Z.; Száková, J.; Demnerová, K. Cadmium induces DNA damage in tobacco roots, but no DNA damage, somatic mutations or homologous recombination in tobacco leaves. Mutat. Res. Genet. Toxicol. Environ. Mutagen. 2004, 559, 49–57. [Google Scholar] [CrossRef] [PubMed]
- Altschul, S.F.; Madden, T.L.; Schäffer, A.A.; Zhang, J.; Zhang, Z.; Miller, W.; Lipman, D.J. Gapped BLAST and PSI-BLAST: A new generation of protein database search programs. Nucleic Acids Res. 1997, 25, 3389–3402. [Google Scholar] [CrossRef] [PubMed]
- Gorin, N.; Heidema, F.T. Peroxidase activity in Golden Delicious apples as a possible parameter of ripening and senescence. J. Agric. Food Chem. 1976, 24, 200–201. [Google Scholar] [CrossRef] [PubMed]
- Goel, A.; Sheoran, I.S. Lipid Peroxidation and Peroxide-Scavenging Enzymes in Cotton Seeds Under Natural Ageing. Biol. Plant. 2003, 46, 429–434. [Google Scholar] [CrossRef]
- Stępiński, D. Functional ultrastructure of the plant nucleolus. Protoplasma 2014, 251, 1285–1306. [Google Scholar] [CrossRef]
- Yue, C.; Wang, Z.; Yang, P. The effect of light on the key pigment compounds of photosensitive etiolated tea plant. Bot. Stud. 2021, 62, 1–15. [Google Scholar] [CrossRef] [PubMed]
- Kalaji, M.; Guo, P. Chlorophyll fluorescence: A useful tool in barley plant breeding programs. Photochem. Res. Prog. 2008, 29, 439–463. [Google Scholar]
- Neves, N.R.; Oliva, M.A.; da Cruz Centeno, D.; Costa, A.C.; Ribas, R.F.; Pereira, E.G. Photosynthesis and oxidative stress in the restinga plant species Eugenia uniflora L. exposed to simulated acid rain and iron ore dust deposition: Potential use in environmental risk assessment. Sci. Total Environ. 2009, 407, 3740–3745. [Google Scholar] [CrossRef] [PubMed]
- Fang, Z.; Fang, Z.; Bouwkamp, J.; Bouwkamp, J.C.; Solomos, T.; Solomos, T. Chlorophyllase activities and chlorophyll degradation during leaf senescence in non-yellowing mutant and wild type of Phaseolus vulgaris L. J. Exp. Bot. 1998, 49, 503–510. [Google Scholar]
- Hashem, H.A. Cadmium toxicity induces lipid peroxidation and alters cytokinin content and antioxidant enzyme activities in soybean. Botanique 2013, 92, 1–7. [Google Scholar] [CrossRef]
- Metwally, A.; Safronova, V.I.; Belimov, A.A.; Dietz, K.J. Genotypic variation of the response to cadmium toxicity in Pisum sativum L. J. Exp. Bot. 2005, 56, 167–178. [Google Scholar] [CrossRef] [PubMed]
- Wu, F.; Zhang, G.; Dominy, P.J.E.; Botany, E. Four barley genotypes respond differently to cadmium: Lipid peroxidation and activities of antioxidant capacity. Environ. Exp. Bot. 2003, 50, 67–78. [Google Scholar] [CrossRef]
- Piotto, F.A.; Carvalho, M.E.A.; Souza, L.A.; Rabêlo, F.H.S.; Franco, M.R.; Batagin-Piotto, K.D.; Azevedo, R.A.J.E.S.; Research, P. Estimating tomato tolerance to heavy metal toxicity: Cadmium as study case. Environ. Sci. Pollut. Res. Int. 2018, 25, 27535–27544. [Google Scholar] [CrossRef] [PubMed]
- Young, A.J.; Britton, G. Carotenoids and Oxidative Stress; Springer: Dordrecht, The Netherlands, 1990; pp. 3381–3384. [Google Scholar]
- Burzyński, M.; Żurek, A. Effects of copper and cadmium on photosynthesis in cucumber cotyledons. Photosynthetica 2007, 45, 239–244. [Google Scholar] [CrossRef]
- Procházková, D.; Haisel, D.; Pavlíková, D.; Száková, J.i.; Wilhelmová, N.a. The impact of increased soil risk elements on carotenoid contents. Cent. Eur. J. Biol. 2014, 9, 678–685. [Google Scholar] [CrossRef]
- Hattab, S.; Dridi, B.; Chouba, L.; Ben, K.M.; Bousetta, H. Photosynthesis and growth responses of pea Pisum sativum L. under heavy metals stress. J. Environ. Sci. 2009, 21, 1552–1556. [Google Scholar] [CrossRef]
- Yang, H.; Shi, G.; Xu, Q.; Wang, H. Cadmium effects on mineral nutrition and stress in Potamogeton crispus. Russ. J. Plant Physiol. 2011, 58, 253–260. [Google Scholar] [CrossRef]
- Muradoglu, F.; Gundogdu, M.; Ercisli, S.; Encu, T.; Balta, F.; Jaafar, H.Z.; Zia-Ul-Haq, M. Cadmium toxicity affects chlorophyll a and b content, antioxidant enzyme activities and mineral nutrient accumulation in strawberry. Biol. Res. 2015, 48, 11. [Google Scholar] [CrossRef]
- Hassan, M.J.; Shao, G.; Zhang, G. Influence of Cadmium Toxicity on Growth and Antioxidant Enzyme Activity in Rice Cultivars with Different Grain Cadmium Accumulation. J. Plant Nutr. 2005, 28, 1259–1270. [Google Scholar] [CrossRef]
- Hegedüs, A.; Erdei, S.; Horváth, G. Comparative studies of H2O2 detoxifying enzymes in green and greening barley seedlings under cadmium stress. Plant Sci. 2011, 160, 1085–1093. [Google Scholar] [CrossRef]
- Neto, A.D.D.A.; Prisco, J.T.; Enéas-Filho, J.; Abreu, C.E.B.d.; Gomes-Filho, E. Effect of salt stress on antioxidative enzymes and lipid peroxidation in leaves and roots of salt-tolerant and salt-sensitive maize genotypes. Environ. Exp. Bot. 2006, 56, 87–94. [Google Scholar] [CrossRef]
- Ślesak, I.; Libik, M.; Karpinska, B.; Karpinski, S.; Miszalski, Z. The role of hydrogen peroxide in regulation of plant metabolism and cellular signalling in response to environmental stresses. Acta Biochim. Pol. 2007, 54, 39–50. [Google Scholar] [CrossRef]
- Tewari, R.K.; Kumar, P.; Sharma, P.N. Antioxidant responses to enhanced generation of superoxide anion radical and hydrogen peroxide in the copper-stressed mulberry plants. Planta 2006, 223, 1145–1153. [Google Scholar] [CrossRef] [PubMed]
- Mehta, R.A.; Fawcett, T.W.; Porath, D.; Mattoo, A.K. Oxidative stress causes rapid membrane translocation and in vivo degradation of ribulose-1,5-bisphosphate carboxylase/oxygenase. J. Biol. Chem 1992, 267, 2810–2816. [Google Scholar] [CrossRef] [PubMed]
- Luna, C.M.; González, C.A.; Trippi, V.S. Oxidative Damage Caused by an Excess of Copper in Oat Leaves. Plant Cell Physiol. 1994, 35, 11–15. [Google Scholar]
- Giridhar, G.; Thimann, K.V. The interaction of senescence and wounding in oat leaves. II. Chlorophyll breakdown caused by wounding in light. Plant Sci. 1998, 54, 133–139. [Google Scholar] [CrossRef]
- Takemura, T.; Hanagata, N.; Sugihara, K.; Baba, S.; Karube, I.; Dubinsky, Z. Physiological and biochemical responses to salt stress in the mangrove, Bruguiera gymnorrhiza. Aquat. Bot. 2000, 68, 15–28. [Google Scholar] [CrossRef]
- Schickler, H.; Caspi, H. Response of antioxidative enzymes to nickel and cadmium stress in hyperaccumulator plants of the genus Alyssum. Physiol. Plant. 1999, 105. [Google Scholar] [CrossRef]
- Zhang, H.; Jiang, Y.; He, Z.; Ma, M. Cadmium accumulation and oxidative burst in garlic (Allium sativum). J. Plant Physiol. 2005, 162, 977–984. [Google Scholar] [CrossRef]
- Bert, V.; Meerts, P.; Saumitou-Laprade, P.; Salis, P.; Gruber, W.; Verbruggen, N. Genetic basis of Cd tolerance and hyperaccumulation in Arabidopsis halleri. Plant Soil 2003, 249, 9–18. [Google Scholar] [CrossRef]
- Chaca, M.V.P.; Vigliocco, A.; Reinoso, H.; Molina, A.; Abdala, G.; Zirulnik, F.; Pedranzani, H. Effects of cadmium stress on growth, anatomy and hormone contents in Glycine max (L.) Merr. Acta Physiol. Plant. 2014, 36, 2815–2826. [Google Scholar] [CrossRef]
- Nasraoui-Hajaji, A.; Gouia, H.; Carrayol, E.; Haouari-Chaffei, C. Ammonium alleviates redox state in solanum seedlings under cadmium stress conditions. J. Environ. Anal. Toxicol 2012, 2, 116–120. [Google Scholar]
- Jiménez-Tototzintle, M.; Oller, I.; Hernández-Ramírez, A.; Malato, S.; Maldonado, M. Remediation of agro-food industry effluents by biotreatment combined with supported TiO2/H2O2 solar photocatalysis. Chem. Eng. J. 2015, 273, 205–213. [Google Scholar] [CrossRef]
- Rueda-Márquez, J.; Pintado-Herrera, M.G.; Martín-Díaz, M.; Acevedo-Merino, A.; Manzano, M. Combined AOPs for potential wastewater reuse or safe discharge based on multi-barrier treatment (microfiltration-H2O2/UV-catalytic wet peroxide oxidation). Chem. Eng. J. 2015, 270, 80–90. [Google Scholar] [CrossRef]
- Zhang, J.-Y.; Xia, C.; Wang, H.-F.; Tang, C. Recent advances in electrocatalytic oxygen reduction for on-site hydrogen peroxide synthesis in acidic media. J. Energy Chem. 2022, 67, 432–450. [Google Scholar] [CrossRef]
- An, J.; Feng, Y.; Zhao, Q.; Wang, X.; Liu, J.; Li, N. Electrosynthesis of H2O2 through a two-electron oxygen reduction reaction by carbon based catalysts: From mechanism, catalyst design to electrode fabrication. Environ. Sci. Ecotechnol. 2022, 11, 100170. [Google Scholar] [CrossRef]
- Asghar, M.; Habib, S.; Zaman, W.; Hussain, S.; Ali, H.; Saqib, S. Synthesis and characterization of microbial mediated cadmium oxide nanoparticles. Microsc. Res. Tech. 2020, 83, 1574–1584. [Google Scholar] [CrossRef]
- Shah, S.Q.; Khan, N.; Ahmad, S.U. The relationship of synonymous codon usage bias analyses of stress resistant and reference genes in significant species of plants. Pak. J. Bot. 2021, 53, 841–846. [Google Scholar] [CrossRef]
- Chen, Y.X.; He, Y.F.; Luo, Y.M.; Yu, Y.L.; Lin, Q.; Wong, M.H. Physiological mechanism of plant roots exposed to cadmium. Chemosphere 2003, 50, 789–793. [Google Scholar] [CrossRef]
- Zafar, I.; Iftikhar, R.; Ahmad, S.U.; Rather, M.A. Genome wide identification, phylogeny, and synteny analysis of sox gene family in common carp (Cyprinus carpio). Biotechnol. Rep. 2021, 30, e00607. [Google Scholar] [CrossRef] [PubMed]
- Jin, X.; Yang, X.; Islam, E.; Liu, D.; Mahmood, Q. Effects of cadmium on ultrastructure and antioxidative defense system in hyperaccumulator and non-hyperaccumulator ecotypes of Sedum alfredii Hance. J. Hazard. Mater. 2008, 156, 387–397. [Google Scholar] [CrossRef] [PubMed]
- Bhaduri, A.M.; Fulekar, M.H. Antioxidant enzyme responses of plants to heavy metal stress. Rev. Environ. Sci. Bio/Technol. 2012, 11, 55–69. [Google Scholar] [CrossRef]
- Sharma, R.K.; Bibi, S.; Chopra, H.; Khan, M.S.; Aggarwal, N.; Singh, I.; Ahmad, S.U.; Hasan, M.M.; Moustafa, M.; Al-Shehri, M. In Silico and In Vitro Screening Constituents of Eclipta alba Leaf Extract to Reveal Antimicrobial Potential. Evid. Based Complement. Altern. Med. 2022, 2022. [Google Scholar] [CrossRef] [PubMed]
- Appenroth, K.J.; Keresztes, á.; Sárvári, é.; Jaglarz, A.; Fischer, W. Multiple Effects of Chromate on Spirodela polyrhiza: Electron Microscopy and Biochemical Investigations. Plant Bio. 2003, 5, 315–323. [Google Scholar] [CrossRef]
- Qing, X.; Zhao, X.; Hu, C.; Wang, P.; Zhang, Y.; Zhang, X.; Wang, P.; Shi, H.; Jia, F.; Qu, C. Selenium alleviates chromium toxicity by preventing oxidative stress in cabbage (Brassica campestris L. ssp. Pekinensis) leaves. Ecotoxicol. Environ. Saf. 2015, 114, 179–189. [Google Scholar] [CrossRef] [PubMed]
- Suñe, N.; Sánchez, G.; Caffaratti, S.; Maine, M.A. Cadmium and chromium removal kinetics from solution by two aquatic macrophytes. Environ. Pollut. 2007, 145, 467–473. [Google Scholar] [CrossRef] [PubMed]
- Das, P.; Samantaray, S.; Rout, G.R. Studies on cadmium toxicity in plants: A review. Environ. Pollut. 1997, 98, 29–36. [Google Scholar] [CrossRef]
- Shi, G.X.; Du, K.H.; Xie, K.B.; Ding, X.Y.; Chen, G.X. Ultrastructural study of leaf cells damaged from Hg2+ and Cd2+ pollution in Hydrilla verticillata. Acta Bot. Sin. 2000, 42, 373–378. [Google Scholar]



| Nutrient | Concentration mg/L | Nutrient | Concentration mg/L |
|---|---|---|---|
| Ca(NO3)2·4H2O | 20.08 | FeSO4·7H2O | 0.15 |
| KNO3 | 12.14 | MnSO4·H2O | 0.04 |
| NH4NO3 | 1.6 | H3BO3 | 0.06 |
| MgSO4·7H2O | 7.88 | ZnSO4·7H2O | 0.002 |
| KH2PO4 | 5.98 | CuSO4·5H2O | 0.001 |
| Na2EDTA | 0.2 | (NH4)6·Mo7·O24·4H2O | 0.002 |
| Cultivars | Treatment (mg L−1) | Chlorophyll (g kg−1 F.W) | Chlorophyll a (g kg−1 F.W) | Chlorophyll b (g kg−1 F.W) | Carotenoid (g kg−1 F.W) | Chla/Chlb Ratio |
|---|---|---|---|---|---|---|
| Donglin Ruixue (C) | Control | 1.27 ± 0.15 a | 0.90 ± 0.07 a | 0.37 ± 0.09 a | 0.10 ± 0.04 a | 2.68 ± 0.41 a |
| 10 mg L−1 | 1.02 ± 0.12 ab | 0.71 ± 0.04 ab | 0.31 ± 0.08 a | 0.11 ± 0.03 a | 2.75 ± 0.80 a | |
| 20 mg L−1 | 1.01 ± 0.15 ab | 0.72 ± 0.09 ab | 0.29 ± 0.06 a | 0.30 ± 0.01 a | 2.62 ± 0.21 a | |
| 50 mg L−1 | 0.91 ± 0.05 ab | 0.63 ± 0.02 b | 0.28 ± 0.03 a | 0.14 ± 0.01 a | 2.26 ± 0.16 a | |
| 100 mg L−1 | 0.84 ± 0.11 b | 0.59 ± 0.06 b | 0.25 ± 0.05 a | 0.31 ± 0.02 b | 2.44 ± 0.26 a | |
| Yellow (F) | Control | 1.58 ± 0.10 a | 0.98 ± 0.12 a | 0.60 ± 0.20 a | 0.11 ± 0.10 b | 2.18 ± 0.84 a |
| 10 mg L−1 | 1.09 ± 0.07 b | 0.77 ± 0.04 ab | 0.32 ± 0.04 ab | 0.26 ± 0.01 b | 2.47 ± 0.23 a | |
| 20 mg L−1 | 0.98 ± 0.04 b | 0.69 ± 0.06 b | 0.29 ± 0.03 ab | 0.30 ± 0.03 a | 2.42 ± 0.42 a | |
| 50 mg L−1 | 0.87 ± 0.11 bc | 0.59 ± 0.05 bc | 0.29 ± 0.08 ab | 0.30 ± 0.02 a | 2.37 ± 0.57 a | |
| 100 mg L−1 | 0.64 ± 0.05 c | 0.42 ± 0.04 c | 0.23 ± 0.06 b | 0.34 ± 0.01 a | 2.05 ± 0.42 a | |
| Red pocket (G) | Control | 1.46 ± 0.00 a | 0.83 ± 0.10 a | 0.62 ± 0.10 a | 0.09 ± 0.01 b | 1.47 ± 0.45 a |
| 10 mg L−1 | 1.29 ± 0.09 a | 0.73 ± 0.01 ab | 0.57 ± 0.10 a | 0.10 ± 0.01 b | 1.38 ± 0.27 a | |
| 20 mg L−1 | 1.03 ± 0.07 b | 0.73 ± 0.04 ab | 0.30 ± 0.06 b | 0.29 ± 0.02 a | 2.60 ± 0.49 a | |
| 50 mg L−1 | 0.99 ± 0.10 b | 0.70 ± 0.01 ab | 0.29 ± 0.09 b | 0.13 ± 0.04 a | 2.97 ± 0.96 a | |
| 100 mg L−1 | 0.87 ± 0.06 b | 0.61 ± 0.07 b | 0.26 ± 0.03 b | 0.31 ± 0.02 a | 2.52 ± 0.61 a | |
| New 9714 (I) | Control | 1.49 ± 0.05 a | 0.74 ± 0.04 a | 0.75 ± 0.03 a | 0.07 ± 0.02 d | 0.99 ± 0.07 a |
| 10 mg L−1 | 1.27 ± 0.07 b | 0.69 ± 0.03 a | 0.58 ± 0.04 b | 0.15 ± 0.01 cd | 1.19 ± 0.02 c | |
| 20 mg L−1 | 1.11 ± 0.10 c | 0.72 ± 0.03 ab | 0.39 ± 0.07 c | 0.22 ± 0.06 bc | 1.97 ± 0.27 bc | |
| 50 mg L−1 | 0.90 ± 0.06 cd | 0.62 ± 0.02 b | 0.27 ± 0.06 cd | 0.30 ± 0.02 ab | 2.49 ± 0.52 ab | |
| 100 mg L−1 | 0.82 ± 0.05 d | 0.62 ± 0.01 b | 0.20 ± 0.03 d | 0.34 ± 0.01 a | 3.24 ± 0.42 a |
Disclaimer/Publisher’s Note: The statements, opinions and data contained in all publications are solely those of the individual author(s) and contributor(s) and not of MDPI and/or the editor(s). MDPI and/or the editor(s) disclaim responsibility for any injury to people or property resulting from any ideas, methods, instructions or products referred to in the content. |
© 2023 by the authors. Licensee MDPI, Basel, Switzerland. This article is an open access article distributed under the terms and conditions of the Creative Commons Attribution (CC BY) license (https://creativecommons.org/licenses/by/4.0/).
Share and Cite
Muhammad, L.; Salahuddin; Khan, A.; Zhou, Y.; He, M.; Alrefaei, A.F.; Khan, M.; Ali, S. Physiological and Ultrastructural Changes in Dendranthema morifolium Cultivars Exposed to Different Cadmium Stress Conditions. Agriculture 2023, 13, 317. https://doi.org/10.3390/agriculture13020317
Muhammad L, Salahuddin, Khan A, Zhou Y, He M, Alrefaei AF, Khan M, Ali S. Physiological and Ultrastructural Changes in Dendranthema morifolium Cultivars Exposed to Different Cadmium Stress Conditions. Agriculture. 2023; 13(2):317. https://doi.org/10.3390/agriculture13020317
Chicago/Turabian StyleMuhammad, Luqman, Salahuddin, Asif Khan, Yunwei Zhou, Miao He, Abdulwahed Fahad Alrefaei, Murtaza Khan, and Sajid Ali. 2023. "Physiological and Ultrastructural Changes in Dendranthema morifolium Cultivars Exposed to Different Cadmium Stress Conditions" Agriculture 13, no. 2: 317. https://doi.org/10.3390/agriculture13020317
APA StyleMuhammad, L., Salahuddin, Khan, A., Zhou, Y., He, M., Alrefaei, A. F., Khan, M., & Ali, S. (2023). Physiological and Ultrastructural Changes in Dendranthema morifolium Cultivars Exposed to Different Cadmium Stress Conditions. Agriculture, 13(2), 317. https://doi.org/10.3390/agriculture13020317

