Research on Load Spectrum Reconstruction Method of Exhaust System Mounting Bracket of a Hybrid Tractor Based on MOPSO-Wavelet Decomposition Technique
Abstract
:1. Introduction
2. Materials and Methods
2.1. Shock Vibration Load Spectrum Acquisition
2.2. Signal Reconstruction Based on MOPSO-Wavelet Decomposition Technique
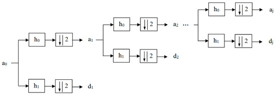
2.2.1. Wavelet Decomposition
2.2.2. Multi-Objective Particle Swarm Optimization
- To begin, define the population size and the dimensions of each particle. Then initialize both the position and velocity of every particle within the population.
- Calculate the fitness of each particle by evaluating the objective functions f1(x) and f2(x) for every particle.
- Store the non-dominated solution in external memory.
- Update the individual optimum and the global optimum and update the position and velocity of each particle.
- 5.
- Recalculate the value of the objective function for each particle.
- 6.
- Non-dominated solution sets update.
- 7.
- Increment the optimization counter by 1 and assess whether the number of iterations is adequate. If it is deemed insufficient, return to step 4 for further optimization. Otherwise, conclude the iteration process and output the non-dominated solution set stored in the external memory.
3. Results and Discussion
3.1. Modal Analysis of Exhaust System Mounting Bracket
3.2. Time-Frequency Domain Analysis of Test Signals
3.3. Wavelet Decomposition and Reconstruction of Test Signals
4. Conclusions
Author Contributions
Funding
Institutional Review Board Statement
Data Availability Statement
Conflicts of Interest
References
- SAE 2022-24-0002; Mocera, F.; Martelli, S.; Somà, A. State of the Art and Future Trends of Electrification in Agricultural Tractors. SAE International: Warrendale, PA, USA, 2022.
- Zhu, Z.; Zeng, L.; Chen, L. Fuzzy Adaptive Energy Management Strategy for a Hybrid Agricultural Tractor Equipped with HMCVT. Agriculture 2022, 12, 1986. [Google Scholar] [CrossRef]
- SAE 2005-01-3539; Kamath, P.; Menon, S.; Sircar, S. Bringing Field to Lab in Tractor Evaluation through Three Poster Test System and Statistical Tools. SAE International: Warrendale, PA, USA, 2005.
- SAE 2007-26-3539; Narkhede, M.; Lase, S.; Menon, S.; Kamath, P. Bringing Lab to CAE in Tractor Evaluation with Field Load Data Acquisition. SAE International: Warrendale, PA, USA, 2007.
- Tarighi, J.; Mohtasebi, S.S.; Alimardani, R. Static and dynamic analysis of front axle housing of tractor using finite element methods. Aust. J. Agric. Eng. 2011, 2, 45–49. [Google Scholar]
- Jahanbakhshi, A.; Heidarbeigi, K. Simulation and Mechanical Stress Analysis of the Lower Link Arm of a Tractor Using Finite Element Method. Nat. Rev. Cancer 2019, 19, 1666–1672. [Google Scholar] [CrossRef]
- Mattetti, M.; Maraldi, M.; Sedoni, E.; Molari, G. Optimal criteria for durability test of stepped transmissions of agricultural tractors. Biosyst. Eng. 2018, 178, 145–1550. [Google Scholar] [CrossRef]
- Yan, X.; Zhou, Z.; Jia, F. Compilation and verification of dynamic torque load spectrum of tractor power take-off. Trans. Chin. Soc. Agric. Eng. 2019, 35, 74–81. [Google Scholar]
- Wen, C.; Xie, B.; Li, Z.; Yin, Y.; Zhao, X.; Song, Z. Power density based fatigue load spectrum editing for accelerated durability testing for tractor front axles. Biosyst. Eng. 2020, 200, 73–88. [Google Scholar] [CrossRef]
- Wang, Y.; Wang, L.; Zong, J.; Lv, D.; Wang, S. Research on Loading Method of Tractor PTO Based on Dynamic Load Spectrum. Agriculture 2021, 11, 982. [Google Scholar] [CrossRef]
- Shao, X.; Song, Z.; Yin, Y.; Xie, B.; Liao, P. Statistical distribution modeling and parameter identification of the dynamic stress spectrum of a tractor front driven axle. Biosyst. Eng. 2017, 2021, 152–163. [Google Scholar]
- Yang, M.; Sun, X.; Deng, X.; Lu, Z.; Wang, T. Extrapolation of Tractor Traction Resistance Load Spectrum and Compilation of Loading Spectrum Based on Optimal Threshold Selection Using a Genetic Algorithm. Agriculture 2023, 13, 1133. [Google Scholar] [CrossRef]
- Paraforos, D.S.; Griepentrog, H.W.; Vougioukas, S.G. Methodology for designing accelerated structural durability tests on agricultural machinery. Biosytems Eng. 2016, 149, 24–37. [Google Scholar] [CrossRef]
- GB/T3871.20-2015; Agricultural Tractors Test Procedures Part 20:Test Methods of Tractor Bumpiness. China Standardization Adiministration: Beijing, China, 2015.
- Abdullah, S.; Nizwan, C.K.E.; Nuawi, M.Z. A study of fatigue data editing using the short-time Fourier transform (STFT). Am. J. Appl. Sci. 2009, 6, 565–575. [Google Scholar] [CrossRef]
- Panu, P.; Pak, S.L.; Richard, S.C. Extracting fatigue damage parts from the stress-time history of horizontal axis wind turbine blades. Renew. Energy 2013, 58, 115–126. [Google Scholar]
- Steinwolf, A.; Giacomin, J.A.; Staszewski, W.J. On the need for bump event correction in vibration test profiles representing road excitation in automobiles. Proc. IMechE Part D J. Automob. Eng. 2002, 216, 279–295. [Google Scholar] [CrossRef]
- Dai, D.; Chen, D.; Wang, S.; Li, S.; Mao, X.; Zhang, B.; Wang, Z.; Ma, Z. Compilation and Extrapolation of Load Spectrum of Tractor Ground Vibration Load Based on CEEMDAN-POT Model. Agriculture 2023, 13, 125. [Google Scholar] [CrossRef]
- Yu, J.; Qian, C.; Zheng, S. Research on Optimized Processing Method for Vehicle Load Spectra Measured Based on Wavelet Transform Theory. Automot. Eng. 2020, 42, 7. [Google Scholar]
- Zheng, G.; ShangGuan, W.; Han, P. Study of Load Spectrum Edition Method Based on the Wavelet Transform to the Accelerated Durability Test of the Vehicle Component. J. Mech. Eng. 2017, 53, 124. [Google Scholar] [CrossRef]
- Zheng, G.; Xiao, P.; Liu, X. The Durability Load Spectrum Edition Method Based on Multi-parameter Indexes for Automotive Parts. J. Vib. Meas. Diagn. 2020, 40, 1. [Google Scholar]
- Li, S.; Yang, S.; Zhai, Y. Editing method of tractor PTO load acceleration based on wavelet transform. J. Vib. Shock 2021, 40, 13. [Google Scholar]
- Bonabeau, E.; Dorigo, M.; Theraulaz, G. Swarm Intelligence: From Natural to Artificial Systems; Oxford University Press: New York, NY, USA, 1999. [Google Scholar]
- Mirjalili, S.; Lewis, A. The Whale Optimization Algorithm. Adv. Eng. Softw. 2016, 95, 51–67. [Google Scholar] [CrossRef]
- Han, H.; Lu, W.; Qiao, J. An Adaptive Multi-objective Particle Swarm Optimization Based on Multiple Adaptive Methods. IEEE Trans. Cybern. 2017, 47, 2754–2767. [Google Scholar] [CrossRef]
- Guo, K.; Chen, Z.; Lin, X.; Wu, L.; Zhan, Z.H.; Chen, Y.; Guo, W. Community Detection Based on Multi-objective Particle Swarm Optimization and Graph Attention Variational Autoencoder. IEEE Trans. Big Data 2023, 9, 569–583. [Google Scholar] [CrossRef]
- Sonekar, M.M.; Jaju, S.B. Failure Analysis of Exhaust Manifold Stud of Mahindra Tractor Using Finite Element Analysis. In Proceedings of the International Conference on Emerging Trends in Engineering & Technology IEEE, Himeji, Japan, 5–7 November 2012. [Google Scholar]
- Du, D.; Cao, L.; He, M. Finite Element Analysis of Treatment Mounting Bracket Based on Creo Simulation Software. Tract. Farm Transp. 2022, 49, 43–46. [Google Scholar]
- Zhu, X.; Yang, Q.; Liang, Z.; Teng, X. Diesel Engine Vibration Signal Impact Feature Extraction Method Based on CEEMD-parameter Optimized Morlet Wavelet Transform. Ship Eng. 2020, 42, 7. [Google Scholar]
- Chen, K.; Yang, G.; Zhang, J.; Xiao, S.; Xu, Y. Fatigue Life Analysis of Aluminum Alloy Notched Specimens under Non-Gaussian Excitation based on Fatigue Damage Spectrum. Shock Vib. 2021, 2021, 6887951. [Google Scholar] [CrossRef]
- ISO18431-4; Mechanical Vibration and Shock—Signal Processing Part 4: Shock-Response Spectrum Analysis. International Organization for Standardization: Geneva, Switzerland, 2007.














| Item | Unit | Value |
|---|---|---|
| Engine rated power/speed Generator rated power/speed Motor rated power/speed | kW/(r/min) kW/(r/min) kW/(r/min) | 175/2100 175/1900 160/2000 |
| Dimensions (Length × Width × Height) | mm | 5480 × 2997 × 3225 |
| Wheelbase | mm | 2990 |
| Minimum service weight | kg | 8500 |
| Front-Rear counterweight | kg | 810–360 |
| Front tire type Rear tire type | — — | 540/65R30 650/65R42 |
| Density | Elastic Modulus | Poisson’s Ratio | Yield Strength |
|---|---|---|---|
| 7.86 × 10−6 kg/mm3 | 2.12 × 105 MPa | 0.288 | 235 MPa |
| Order | 1st | 2rd | 3th | 4th | 5th |
|---|---|---|---|---|---|
| Frequency/Hz | 11.0 | 23.5 | 37.3 | 79.0 | 105.7 |
| X-Direction | Y-Direction | Z-Direction | |||||||
|---|---|---|---|---|---|---|---|---|---|
| Mean | SD | Max | Mean | SD | Max | Mean | SD | Max | |
| Point 1 | 21.7 | 0.13 | 244.3 | 21.6 | 0.10 | 180.3 | 17.8 | 0.93 | 113.5 |
| Point 2 | 13.2 | 0.08 | 141.2 | 11.0 | 0.13 | 94.3 | 22.4 | 0.82 | 220.0 |
| Point 3 | 7.82 | 0.01 | 73.4 | 7.83 | 0.01 | 81.0 | 13.9 | 0.66 | 115.9 |
| Marked Point | f1 | f2 | f3 | f4 |
|---|---|---|---|---|
| Frequency/Hz | 3 | 10 | 36 | 76 |
| Serial Number | Damage Retention Factor | Time Compression Factor | Wavelet Basic Function | Decomposition Layer | Selected Wavelet Components |
| 1 | 0.9 | 0.38 | dB8 | 9 | a9, d4~d7, d9 |
| 2 | 0.91 | 0.41 | Sym6 | 10 | a10, d5~d7, d10 |
| 3 | 0.93 | 0.44 | Morlet | 10 | a10, d4~d10 |
| 4 | 0.95 | 0.46 | dB8 | 12 | a12, d3~ d11 |
Disclaimer/Publisher’s Note: The statements, opinions and data contained in all publications are solely those of the individual author(s) and contributor(s) and not of MDPI and/or the editor(s). MDPI and/or the editor(s) disclaim responsibility for any injury to people or property resulting from any ideas, methods, instructions or products referred to in the content. |
© 2023 by the authors. Licensee MDPI, Basel, Switzerland. This article is an open access article distributed under the terms and conditions of the Creative Commons Attribution (CC BY) license (https://creativecommons.org/licenses/by/4.0/).
Share and Cite
Sun, L.; Liu, M.; Wang, Z.; Wang, C.; Luo, F. Research on Load Spectrum Reconstruction Method of Exhaust System Mounting Bracket of a Hybrid Tractor Based on MOPSO-Wavelet Decomposition Technique. Agriculture 2023, 13, 1919. https://doi.org/10.3390/agriculture13101919
Sun L, Liu M, Wang Z, Wang C, Luo F. Research on Load Spectrum Reconstruction Method of Exhaust System Mounting Bracket of a Hybrid Tractor Based on MOPSO-Wavelet Decomposition Technique. Agriculture. 2023; 13(10):1919. https://doi.org/10.3390/agriculture13101919
Chicago/Turabian StyleSun, Liming, Mengnan Liu, Zhipeng Wang, Chuqiao Wang, and Fuqiang Luo. 2023. "Research on Load Spectrum Reconstruction Method of Exhaust System Mounting Bracket of a Hybrid Tractor Based on MOPSO-Wavelet Decomposition Technique" Agriculture 13, no. 10: 1919. https://doi.org/10.3390/agriculture13101919
APA StyleSun, L., Liu, M., Wang, Z., Wang, C., & Luo, F. (2023). Research on Load Spectrum Reconstruction Method of Exhaust System Mounting Bracket of a Hybrid Tractor Based on MOPSO-Wavelet Decomposition Technique. Agriculture, 13(10), 1919. https://doi.org/10.3390/agriculture13101919
