Effects of Deep Vertical Rotary Tillage Management Methods on Soil Quality in Saline Cotton Fields in Southern Xinjiang
Abstract
:1. Introduction
2. Materials and Methods
2.1. Experimental Site and Experimental Design
2.2. Collection and Analysis of Soil Samples
2.3. Soil Quality Assessment
2.4. Data Processing
3. Results
3.1. Multivariate Analysis of Variance (MANOVA)
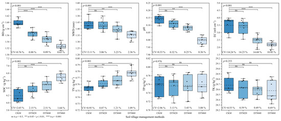
3.2. Soil Properties
3.3. Soil Quality
3.4. Relationship between Soil Quality Indicators and Yield of Crops
4. Discussion
4.1. Effect of Different Soil Tillage Management Methods on Soil Quality Indicators
4.2. Effect of Different Soil Tillage Management Methods on Soil Quality
4.3. Relationship between Soil Quality Indicators and Seed Cotton Yield under Different Soil Tillage Management Methods
5. Conclusions
Supplementary Materials
Author Contributions
Funding
Institutional Review Board Statement
Data Availability Statement
Acknowledgments
Conflicts of Interest
Abbreviations
References
- Announcement of National Bureau of Statistics on Cotton Production in 2022. Available online: http://www.stats.gov.cn/xxgk/sjfb/zxfb2020/202212/t20221227_1891259.html (accessed on 19 August 2023).
- Li, X.W.; Jin, M.G.; Zhou, N.Q.; Huang, J.O.; Jiang, S.M.; Telesphore, H. Evaluation of evapotranspiration and deep percolation under mulched drip irrigation in an oasis of Tarim basin, China. J. Hydrol. 2016, 538, 677–688. [Google Scholar] [CrossRef]
- Lipiec, J.; Horn, R.; Pietrusiewicz, J.; Siczek, A. Effects of soil compaction on root elongation and anatomy of different cereal plant species. Soil Tillage Res. 2012, 121, 74–81. [Google Scholar] [CrossRef]
- Daly, E.J.; Kim, K.; Hernandez-Ramirez, G.; Klimchuk, K. The response of soil physical quality parameters to a perennial grain crop. Agric., Ecosyst. Environ. 2023, 343, 108265. [Google Scholar] [CrossRef]
- Matosic, S.; Birkás, M.; Vukadinovic, V.; Kisic, I.; Bogunovic, I. Tillage, Manure and Gypsum Use in Reclamation of Saline-Sodic Soils. Acs Agric. Conspec. Scintificus 2018, 83, 131–138. [Google Scholar]
- Ding, Z.L.; Kheir, A.M.S.; Ali, O.A.M.; Hafez, E.M.; ElShamey, E.A.; Zhou, Z.X.; Wang, B.Z.; Lin, X.E.; Ge, Y.; Fahmy, A.E.; et al. A vermicompost and deep tillage system to improve saline-sodic soil quality and wheat productivity. J. Environ. Manag. 2021, 277, 111388. [Google Scholar] [CrossRef]
- Li, L.; Liu, H.G.; Gong, P.; Lin, E.; Bai, Z.T.; Li, P.F.; Wang, C.X.; Li, J. Multi-objective optimization of winter irrigation for cotton fields in salinized freeze-thaw areas. Eur. J. Agron. 2023, 143, 126715. [Google Scholar] [CrossRef]
- Bai, W.; Sun, Z.X.; Zheng, J.M.; Liu, Y.; Hou, Z.Y.; Feng, L.S.; Qian, C.; Yang, N.; Chen, F.; Zhe, Z. The combination of subsoil and the incorporation of corn stover affect physicochemical properties of soil and corn yield in semi-arid China. Toxicol. Environ. Chem. 2016, 98, 561–570. [Google Scholar] [CrossRef]
- Zhai, L.; Xu, P.; Zhang, Z.; Li, S.; Xie, R.; Zhai, L.; Wei, B. Effects of deep vertical rotary tillage on dry matter accumulation and grain yield of summer maize in the Huang-Huai-Hai Plain of China. Soil Tillage Res. 2017, 170, 167–174. [Google Scholar] [CrossRef]
- Sun, X.F.; Ding, Z.S.; Wang, X.B.; Hou, H.P.; Zhou, B.Y.; Yue, Y.; Ma, W.; Ge, J.Z.; Wang, Z.M.; Zhao, M. Subsoiling practices change root distribution and increase post-anthesis dry matter accumulation and yield in summer maize. PLoS ONE 2017, 12, e0174952. [Google Scholar] [CrossRef]
- Qiang, X.; Sun, J.; Ning, H. Impact of Subsoiling on Cultivated Horizon Construction and Grain Yield of Winter Wheat in the North China Plain. Agriculture 2022, 12, 236. [Google Scholar] [CrossRef]
- Shan, F.; Li, D.; Zhu, J.; Kang, S.; Wang, J. Effects of Vertical Smashing Rotary Tillage on Root Growth Characteristics and Yield of Broccoli. Agriculture 2022, 12, 928. [Google Scholar] [CrossRef]
- Yang, J.J.; Tan, W.J.; Han, J.R.; Li, F.M.; Zhang, F. Distribution pattern of rainwater in soil under vertical deep rotary tillage in dryland farmland. Agric. Water Manag. 2022, 273, 107891. [Google Scholar] [CrossRef]
- Raiesi, F. A minimum data set and soil quality index to quantify the effect of land use conversion on soil quality and degradation in native rangelands of upland arid and semiarid regions. Ecol. Indic. 2017, 75, 307–320. [Google Scholar] [CrossRef]
- Andrews, S.S.; Karlen, D.L.; Mitchell, J.P. A comparison of soil quality indexing methods for vegetable production systems in Northern California. Agric. Ecosyst. Environ. 2002, 90, 25–45. [Google Scholar] [CrossRef]
- Zuber, S.M.; Behnke, G.D.; Nafziger, E.D.; Villamil, M.B. Multivariate assessment of soil quality indicators for crop rotation and tillage in Illinois. Soil Tillage Res. 2017, 174, 147–155. [Google Scholar] [CrossRef]
- Meng, Q.F.; Li, D.W.; Zhang, J.; Zhou, L.R.; Ma, X.F.; Wang, H.Y.; Wang, G.C. Soil properties and corn (Zea mays L.) production under manure application combined with deep tillage management in solonetzic soils of Songnen Plain, Northeast China. J. Integr. Agric. 2016, 15, 879–890. [Google Scholar] [CrossRef]
- Soil Science Database. Available online: http://vdb3.soil.csdb.cn/extend/jsp/introduction (accessed on 19 August 2023).
- Millan, H.; Gonzalez-Posada, M.; Aguilar, M.; Dominguez, J.; Cespedes, L. On the fractal scaling of soil data. Particle-size distributions. Geoderma 2003, 117, 117–128. [Google Scholar] [CrossRef]
- Bao, S.D. Soil and Agricultural Chemistry Analysis, 3rd ed.; Chinese Agriculture Publishing House: Beijing, China, 2018; pp. 40–110. [Google Scholar]
- Ibrahimi, K.; Mowrer, J.; Amami, R.; Belaid, A. Burn Effects on Soil Aggregate Stability and Water Repellency of Two Soil Types from East and North Tunisia. Commun. Soil Sci. Plant Anal. 2019, 50, 827–837. [Google Scholar] [CrossRef]
- Fernandes, J.C.; Gamero, C.A.; Rodrigues, J.G.L.; Miras-Avalos, J.M. Determination of the quality index of a Paleudult under sunflower culture and different management systems. Soil Tillage Res. 2011, 112, 167–174. [Google Scholar] [CrossRef]
- Nakajima, T.; Lal, R.; Jiang, S.G. Soil quality index of a crosby silt loam in central Ohio. Soil Tillage Res. 2015, 146, 323–328. [Google Scholar] [CrossRef]
- Andrews, S.S.; Carroll, C.R. Designing a soil quality assessment tool for sustainable agroecosystem management. Ecol. Appl. 2001, 11, 1573–1585. [Google Scholar] [CrossRef]
- Amami, R.; Ibrahimi, K.; Sher, F.; Milham, P.J.; Khriji, D.; Annabi, H.A.; Abrougui, K.; Chehaibi, S. Effects of conservation and standard tillage on soil physico-chemical properties and overall quality in a semi-arid agrosystem. Soil Res. 2022, 60, 485–496. [Google Scholar] [CrossRef]
- LeBissonnais, Y. Aggregate stability and assessment of soil crustability and erodibility: I. Theory and methodology. Eur. J. Soil Sci. 1996, 47, 425–437. [Google Scholar] [CrossRef]
- Pisinaras, V.; Tsihrintzis, V.A.; Petalas, C.; Ouzounis, K. Soil salinization in the agricultural lands of Rhodope District, northeastern Greece. Environ. Monit. Assess. 2010, 166, 79–94. [Google Scholar] [CrossRef]
- Li, L.; Guan, J.X.; Chen, S.Y.; Zhang, X.Y. Intermittent Deep Tillage on Improving Soil Physical Properties and Crop Performance in an Intensive Cropping System. Agronomy 2022, 12, 688. [Google Scholar] [CrossRef]
- Yan, Y.; Tian, J.; Fan, M.S.; Zhang, F.S.; Li, X.L.; Christie, P.; Chen, H.Q.; Lee, J.; Kuzyakov, Y.; Six, J. Soil organic carbon and total nitrogen in intensively managed arable soils. Agric. Ecosyst. Environ. 2012, 150, 102–110. [Google Scholar] [CrossRef]
- Pinitpaitoon, S.; Bell, R.W.; Suwanarit, A. The significance of available nutrient fluxes in N and P budgets for maize cropping on a Rhodic Kandiustox: A study with compost, NP fertilizer and stubble removal. Nutr. Cycl. Agroecosyst. 2011, 89, 199–217. [Google Scholar] [CrossRef]
- Six, J.; Bossuyt, H.; Degryze, S.; Denef, K. A history of research on the link between (micro)aggregates, soil biota, and soil organic matter dynamics. Soil Tillage Res. 2004, 79, 7–31. [Google Scholar] [CrossRef]
- Huang, S.; Sun, Y.N.; Rui, W.Y.; Liu, W.R.; Zhang, W.J. Long-Term Effect of No-Tillage on Soil Organic Carbon Fractions in a Continuous Maize Cropping System of Northeast China. Pedosphere 2010, 20, 285–292. [Google Scholar] [CrossRef]
- Aziz, I.; Mahmood, T.; Islam, K.R. Effect of long term no-till and conventional tillage practices on soil quality. Soil Tillage Res. 2013, 131, 28–35. [Google Scholar] [CrossRef]
- Marinari, S.; Radicetti, E.; Petroselli, V.; Allam, M.; Mancinelli, R. Microbial Indices to Assess Soil Health under Different Tillage and Fertilization in Potato (Solanum tuberosum L.) Crop. Agriculture 2022, 12, 415. [Google Scholar] [CrossRef]
- Gonzalez-Rosado, M.; Parras-Alcantara, L.; Aguilera-Huertas, J.; Lozano-Garcia, B. No-Tillage Does Not Always Stop the Soil Degradation in Relation to Aggregation and Soil Carbon Storage in Mediterranean Olive Orchards. Agriculture 2022, 12, 407. [Google Scholar] [CrossRef]
- Singh, A.K.; Bordoloi, L.J.; Kumar, M.; Hazarika, S.; Parmar, B. Land use impact on soil quality in eastern Himalayan region of India. Environ. Monit. Assess. 2014, 186, 2013–2024. [Google Scholar] [CrossRef]
- Bai, Z.T.; Liu, H.G.; Wang, T.A.; Gong, P.; Li, H.Q.; Li, L.; Xue, B.; Cao, M.H.; Feng, J.P.; Xu, Y.B. Effect of Smashing Ridge Tillage Depth on Soil Water, Salinity, and Yield in Saline Cotton Fields in South Xinjiang, China. Water 2021, 13, 3592. [Google Scholar] [CrossRef]
- Bhaduri, D.; Purakayastha, T.J. Long-term tillage, water and nutrient management in rice-wheat cropping system: Assessment and response of soil quality. Soil Tillage Res. 2014, 144, 83–95. [Google Scholar] [CrossRef]
- Raiesi, F.; Kabiri, V. Identification of soil quality indicators for assessing the effect of different tillage practices through a soil quality index in a semi-arid environment. Ecol. Indic. 2016, 71, 198–207. [Google Scholar] [CrossRef]
- Sadiq, M.; Hassan, G.; Mehdi, S.M.; Hussain, N.; Jamil, M. Amelioration of saline-sodic soils with tillage implements and sulfuric acid application. Pedosphere 2007, 17, 182–190. [Google Scholar] [CrossRef]
- Yang, S.C.; Wang, C.B.; Huo, L.; Jiang, W.L.; Wen, M.J. Effects of different tillage practices on soil organic carbon of cultivated land in Gansu Yellow River irrigation district. Trans. Chin. Soc. Agric. Eng. 2019, 35, 114–121. (In Chinese) [Google Scholar] [CrossRef]
- Al-Kaisi, M.M.; Yin, X.H.; Licht, M.A. Soil carbon and nitrogen changes as influenced by tillage and cropping systems in some Iowa soils. Agric. Ecosyst. Environ. 2005, 105, 635–647. [Google Scholar] [CrossRef]
- Zhao, H.X.; Wu, L.; Zhu, S.W.; Sun, H.C.; Xu, C.L.; Fu, J.D.; Ning, T.Y. Sensitivities of Physical and Chemical Attributes of Soil Quality to Different Tillage Management. Agronomy 2022, 12, 1153. [Google Scholar] [CrossRef]





| Soil Depth cm | Soil Fraction/% | Soil Texture 1 | ||
|---|---|---|---|---|
| Sand Particles | Silt Particles | Clay Particles | ||
| 0.05–2/mm | 0.05–0.002/mm | ˂0.002/mm | ||
| 0–20 | 20.80 | 70.77 | 8.43 | Silty loam |
| 20–40 | 14.56 | 76.38 | 9.06 | Silty loam |
| 40–60 | 9.97 | 80.49 | 9.54 | Silty loam |
| Soil Tillage Management Methods | Tillage Machinery and Depth | |
|---|---|---|
| 2020 | 2021–2022 | |
| CTM | Five-share plow machinery, 20 cm | Five-share plow machinery, 20 cm |
| DTM20 | Deep vertical rotary tillage, 20 cm | Five-share plow machinery, 20 cm |
| DTM40 | Deep vertical rotary tillage, 40 cm | Five-share plow machinery, 20 cm |
| DTM60 | Deep vertical rotary tillage, 60 cm | Five-share plow machinery, 20 cm |
| Factor | Unit | Scoring Survey | a * | b * | b1 * | O * | b2 * | Reference Source |
|---|---|---|---|---|---|---|---|---|
| BD | g·cm−3 | SSF2 | 1.3 | 1.8 | [25] | |||
| MWD | mm | SSF1 | 0.4 | 2.0 | [26] | |||
| EC | mS·cm−1 | SSF2 | 0.2 | 4 | [25] | |||
| pH | SSF3 | 3 | 11 | 5.5 | 7 | 8.5 | [25] | |
| SOC* | g·kg−1 | SSF1 | 3.48 | 23.2 | [18] | |||
| TN | g·kg−1 | SSF1 | 0.5 | 20 | ||||
| TP | g·kg−1 | SSF1 | 0.2 | 1 | ||||
| TK | g·kg−1 | SSF1 | 5 | 25 |
| Factors * | DF | Wilk’s λ | p-Value |
|---|---|---|---|
| Period of tillage | 18 | 0.004 | <0.001 |
| Tillage management | 27 | 0.001 | <0.001 |
| Period of tillage × Tillage management | 54 | 0.017 | 0.002 |
| Soil Properties | Packet | PCA | Communality | Weighting | ||
|---|---|---|---|---|---|---|
| PC1 | PC2 | PC3 | ||||
| BD | 1 | 0.886 | 0.083 | −0.288 | 0.875 | 0.1325 |
| MWD | 1 | 0.687 | 0.297 | 0.350 | 0.683 | 0.1035 |
| pH | 1 | 0.826 | −0.262 | 0.279 | 0.828 | 0.1254 |
| EC | 1 | 0.875 | −0.312 | −0.179 | 0.895 | 0.1356 |
| SOC | 1 | −0.882 | 0.267 | 0.250 | 0.912 | 0.1381 |
| TN | 1 | −0.674 | −0.494 | 0.212 | 0.743 | 0.1125 |
| TP | 2 | −0.074 | 0.851 | −0.366 | 0.864 | 0.1309 |
| TK | 3 | 0.413 | 0.428 | 0.669 | 0.802 | 0.1215 |
| Principal component eigenvalue | 3.510 | 1.716 | 1.376 | |||
| Of Variance (%) | 43.879 | 21.447 | 17.199 | |||
| Cumulative (%) | 43.879 | 65.327 | 82.525 | |||
| TDS | ||||||
|---|---|---|---|---|---|---|
| Indicators | Scoring Curve | Weight | CTM | DTM20 | DTM40 | DTM60 |
| BD | SSF2 | 0.1325 | 0.404 | 0.469 | 0.504 | 0.547 |
| MWD | SSF1 | 0.1035 | 0.652 | 0.644 | 0.618 | 0.594 |
| PH | SSF2 | 0.1254 | 0.353 | 0.364 | 0.384 | 0.409 |
| EC | SSF3 | 0.1356 | 0.272 | 0.305 | 0.549 | 0.675 |
| SOC | SSF1 | 0.1381 | 0.138 | 0.145 | 0.152 | 0.163 |
| TN | SSF1 | 0.1125 | 0.170 | 0.174 | 0.177 | 0.185 |
| TP | SSF1 | 0.1309 | 0.697 | 0.695 | 0.697 | 0.691 |
| TK | SSF1 | 0.1215 | 1.000 | 1.000 | 1.000 | 1.000 |
| SQI | 0.453 c | 0.468 c | 0.507 b | 0.532 a * | ||
Disclaimer/Publisher’s Note: The statements, opinions and data contained in all publications are solely those of the individual author(s) and contributor(s) and not of MDPI and/or the editor(s). MDPI and/or the editor(s) disclaim responsibility for any injury to people or property resulting from any ideas, methods, instructions or products referred to in the content. |
© 2023 by the authors. Licensee MDPI, Basel, Switzerland. This article is an open access article distributed under the terms and conditions of the Creative Commons Attribution (CC BY) license (https://creativecommons.org/licenses/by/4.0/).
Share and Cite
Li, Z.; Liu, H.; Yang, H.; Wang, T. Effects of Deep Vertical Rotary Tillage Management Methods on Soil Quality in Saline Cotton Fields in Southern Xinjiang. Agriculture 2023, 13, 1864. https://doi.org/10.3390/agriculture13101864
Li Z, Liu H, Yang H, Wang T. Effects of Deep Vertical Rotary Tillage Management Methods on Soil Quality in Saline Cotton Fields in Southern Xinjiang. Agriculture. 2023; 13(10):1864. https://doi.org/10.3390/agriculture13101864
Chicago/Turabian StyleLi, Zhijie, Hongguang Liu, Haichang Yang, and Tangang Wang. 2023. "Effects of Deep Vertical Rotary Tillage Management Methods on Soil Quality in Saline Cotton Fields in Southern Xinjiang" Agriculture 13, no. 10: 1864. https://doi.org/10.3390/agriculture13101864
APA StyleLi, Z., Liu, H., Yang, H., & Wang, T. (2023). Effects of Deep Vertical Rotary Tillage Management Methods on Soil Quality in Saline Cotton Fields in Southern Xinjiang. Agriculture, 13(10), 1864. https://doi.org/10.3390/agriculture13101864

