Experimental Study on Droplet Characteristics of Rotating Sprinklers with Circular Nozzles and Diffuser
Abstract
:1. Introduction
2. Materials and Methods
2.1. Sprinkler
2.2. Experimental Setup and Procedure
2.3. Data Analysis
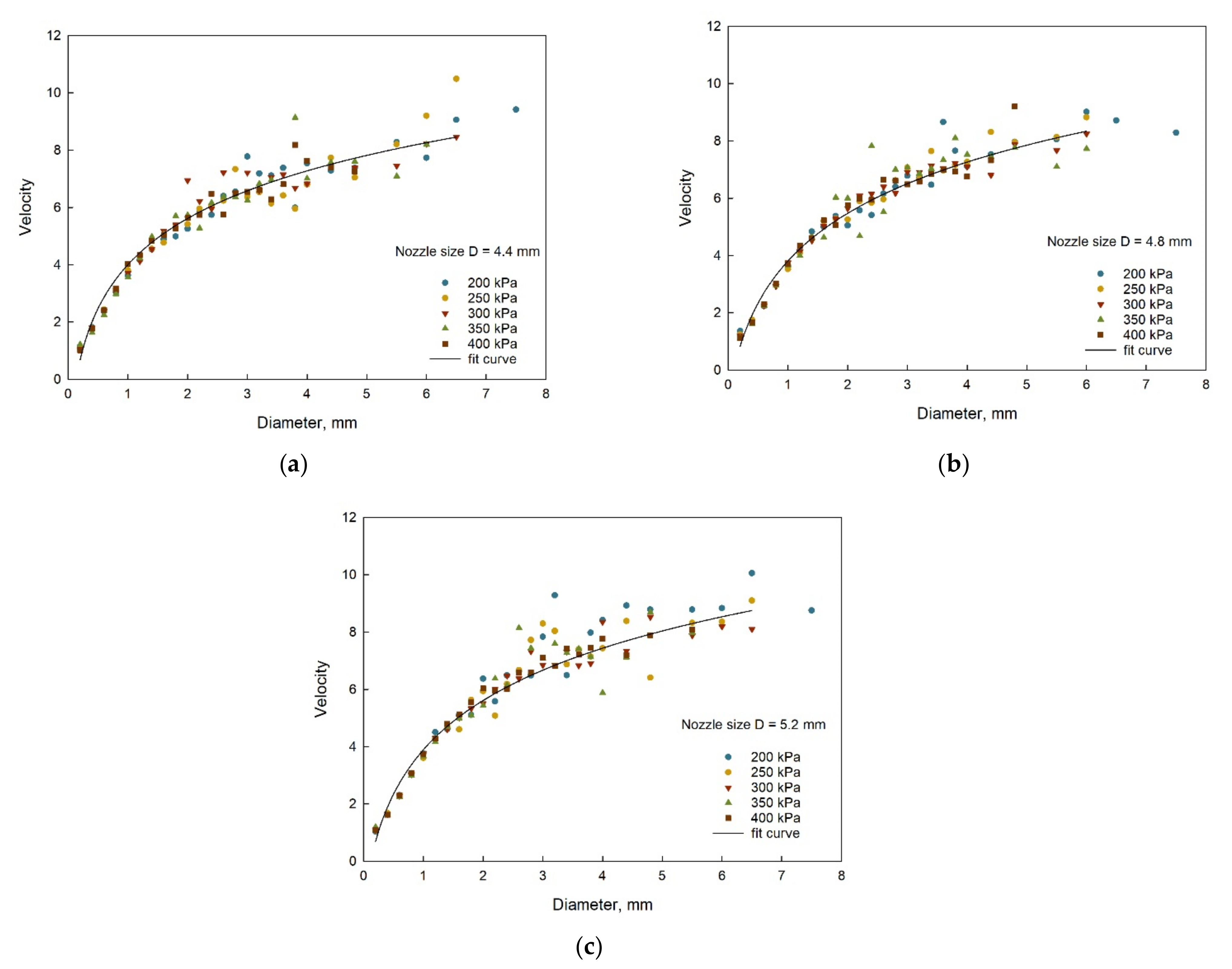
2.3.1. Droplet Diameter and Velocity
2.3.2. Kinetic Energy
2.3.3. Irrigation Uniformity
2.3.4. Performance Function
3. Results and Discussion
3.1. Droplet Size Distribution
3.2. Droplet Frequency Distribution
3.2.1. Frequency Distribution of Droplets under Different Pressures
3.2.2. Frequency Distribution of Droplets with Different Nozzle Sizes
3.3. Droplet Cumulative Volume Distribution
3.4. Droplet Velocity
3.5. Kinetic Energy Distribution
3.5.1. Droplet Kinetic Energy
3.5.2. Radial Kinetic Energy
3.5.3. Irrigation Uniformity
4. Conclusions
Author Contributions
Funding
Institutional Review Board Statement
Informed Consent Statement
Data Availability Statement
Conflicts of Interest
References
- Tal, A. Rethinking the sustainability of Israel’s irrigation practices in the Drylands. Water Res. 2016, 90, 387–394. [Google Scholar] [CrossRef] [PubMed]
- Carrión, P.; Tarjuelo, J.; Montero, J. SIRIAS: A simulation model for sprinkler irrigation. Irrig. Sci. 2001, 20, 73–84. [Google Scholar] [CrossRef]
- Zhang, L.; Merkley, G.P.; Pinthong, K. Assessing whole-field sprinkler irrigation application uniformity. Irrig. Sci. 2011, 31, 87–105. [Google Scholar] [CrossRef]
- Xu, Y.; Ge, J.; Tian, S.; Li, S.; Nguy-Robertson, A.L.; Zhan, M.; Cao, C. Effects of water-saving irrigation practices and drought resistant rice variety on greenhouse gas emissions from a no-till paddy in the central lowlands of China. Sci. Total Environ. 2015, 505, 1043–1052. [Google Scholar] [CrossRef] [PubMed]
- Li, Y.; Bai, G.; Yan, H. Development and validation of a modified model to simulate the sprinkler water distribution. Comput. Electron. Agric. 2015, 111, 38–47. [Google Scholar] [CrossRef]
- Lal, R. Carbon emission from farm operations. Environ. Int. 2004, 30, 981–990. [Google Scholar] [CrossRef]
- Pelletier, N.; Audsley, E.; Brodt, S.; Garnett, T.; Henriksson, P.; Kendall, A.; Kramer, K.J.; Murphy, D.; Nemecek, T.; Troell, M. Energy Intensity of Agriculture and Food Systems. Annu. Rev. Environ. Resour. 2011, 36, 223–246. [Google Scholar] [CrossRef]
- Wang, X.; Li, G.; Guo, C. Optimization of impact sprinkler sub-nozzle parameters of elevation angle and position. Trans. Chin. Soc. Agric. Eng. 2015, 31, 85–95. [Google Scholar]
- Gong, X.; Zhu, D.; Zhang, L. Drop Size Distribution of Fixed Spray-plate Sprinklers with Two-dimensional Video Disdrometer. Trans. Chin. Soc. Agric. Mach. 2014, 45, 128–133. [Google Scholar]
- Solomon, K.H.; Kissiinger, J.A.; Farrens, G.P.; Borneman, J. Performance and Water Conservation Potential of Multi-Stream, Multi-Trajectory Rotating Sprinklers for Landscape Irrigation. Appl. Eng. Agric. 2006, 23, 153–163. [Google Scholar] [CrossRef]
- Hanson, B.R.; Orloff, S.B. Rotator nozzles more uniform than spray nozzles on center-pivot sprinklers. Calif. Agric. 1996, 50, 32–35. [Google Scholar] [CrossRef]
- Ribeiro, M.S.; Lima, L.A.; Colombo, A.; Caldeira, A.C.D.M.; Faria, F.H.D.S. Water distribuition characteristics and soil loss of LEPA Quad-Spray emitter nozzles. Eng. Agric. 2013, 33, 223–236. [Google Scholar] [CrossRef] [Green Version]
- Dukes, M.D.; Perry, C. Uniformity testing of variable-rate center pivot irrigation control systems. Precis. Agric. 2006, 7, 205–218. [Google Scholar] [CrossRef]
- Issaka, Z.; Li, H.; Jiang, Y. Simple theory, numerical simulation of jet impact forces and water dispersion on the fixed dispersion device for impact sprinkler. In Proceedings of the ASABE 2018, Annual International Meeting, Detroit, MI, USA, 29 July–1 August 2018. [Google Scholar]
- Chen, R.; Li, H.; Wang, J.; Guo, X. Effects of Pressure and Nozzle Size on the Spray Characteristics of Low-Pressure Rotating Sprinklers. Water 2020, 12, 2904. [Google Scholar] [CrossRef]
- Bautista-Capetillo, C.; Robles, O.; Salinas, H.; Playán, E. A particle tracking velocimetry technique for drop characterization in agricultural sprinklers. Irrig. Sci. 2014, 32, 437–447. [Google Scholar] [CrossRef] [Green Version]
- Kincaid, D.C. Spraydrop kinetic energy from irrigation sprinklers. Trans. ASAE 1996, 39, 847–853. [Google Scholar] [CrossRef] [Green Version]
- Montero, J.; Tarjuelo, J.M. Sprinkler droplet size distribution measured with an optical spectropluviometer. Irrig. Sci. 2003, 22, 47–56. [Google Scholar] [CrossRef]
- Liu, J.; Liu, X.; Zhu, X.; Yuan, S. Droplet characterisation of a complete fluidic sprinkler with different nozzle dimensions. Biosyst. Eng. 2016, 148, 90–100. [Google Scholar] [CrossRef]
- Zhang, Y.; Zhu, D.; Zhang, L. Spatial Variation of Application Rate and Droplet Kinetic Energy for Fixed Spray Plate Sprinkler. Trans. Chin. Soc. Agric. Mach. 2015, 46, 85–90. [Google Scholar]
- Kruger, A.; Krajewski, W.F. Two-Dimensional video Disdrometer: A Description. Am. Meteorol. Soc. 2002, 19, 602–617. [Google Scholar] [CrossRef]
- Ge, M.; Wu, P.; Zhu, D.; Zhang, L. Comparisons of spray characteristics between vertical impact and turbine drive sprinklers—A case study of the 50PYC and HY50 big gun-type sprinklers. Agric. Water Manag. 2020, 228, 105847. [Google Scholar] [CrossRef]
- Chen, R.; Li, H.; Wang, J.; Guo, X.; Song, Z. Comparisons of Spray Characteristics between Non-circular and Circular Nozzles with Rotating Sprinklers. Appl. Eng. Agric. 2022, 38, 61–75. [Google Scholar] [CrossRef]
- Salvador, R.; Bautista-Capetillo, C.; Burguete, J.; Zapata, N.; Serreta, A.; Playán, E. A photographic method for drop characterization in agricultural sprinklers. Irrig. Sci. 2009, 27, 307–317. [Google Scholar] [CrossRef]
- Sayyadi, H.; Nazemi, A.H.; Sadraddini, A.A.; Delirhasannia, R. Characterising droplets and precipitation profiles of a fixed spray-plate sprinkler. Biosyst. Eng. 2014, 119, 13–24. [Google Scholar] [CrossRef]
- King, B.A.; Bjorneberg, D.L. Characterizing Droplet Kinetic Energy Applied by Moving Spray-Plate Center-Pivot Irrigation Sprinklers. Trans. Asabe 2010, 53, 137–145. [Google Scholar] [CrossRef]
- King, B.A. Moving Spray-Plate Center-Pivot Sprinkler Rating Index for Assessing Runoff Potential. Trans. ASABE 2016, 59, 225–237. [Google Scholar]
- Yan, H.; Bai, G.; He, J.; Lin, G. Influence of droplet kinetic energy flux density from fixed spray-plate sprinklers on soil infiltration, runoff and sediment yield. Biosyst. Eng. 2011, 110, 213–221. [Google Scholar] [CrossRef]
- Wu, P.; Zhu, D.; Zhang, L. Hydraulics problems in farmland irrigation. J. Drain. Irrig. Mach. Eng. 2012, 30, 726–732. [Google Scholar]
- Chen, D.; Wallender, W.W. Droplet Size Distribution and Water Application with Low-Pressure Sprinklers. Trans. ASAE 1985, 28, 511–516. [Google Scholar] [CrossRef]
- Kohl, R.A. Drop size distribution from medium-sized agricultural sprinklers. Trans. ASAE 1974, 17, 690–693. [Google Scholar] [CrossRef]
- Thompson, A.L.; James, L.G. Water Droplet Impact and its Effect on Infiltration. Trans. ASAE 1985, 28, 1506–1510. [Google Scholar] [CrossRef]
- Thompson, A.L.; Regmi, T.P.; Ghidey, F.; Gantzer, C.J.; Hjelmfelt, A.T. Influence of kinetic energy on infiltration and erosion. Soil Eros. 2001. [Google Scholar]
- Zheng, J.; Fan, J.; Zhang, F.; Yan, S.; Wu, Y.; Lu, J.; Guo, J.; Cheng, M.; Pei, Y. Throughfall and stemflow heterogeneity under the maize canopy and its effect on soil water distribution at the row scale. Sci. Total Environ. 2019, 660, 1367–1382. [Google Scholar] [CrossRef] [PubMed]
- Zapata, N.; Robles, O.; Playán, E.; Paniagua, P.; Romano, C.; Salvador, R.; Montoya, F. Low-pressure sprinkler irrigation in maize: Differences in water distribution above and below the crop canopy. Agric. Water Manag. 2018, 203, 353–365. [Google Scholar] [CrossRef]
- Zhu, Z.; Zhu, D.; Ge, M. The Spatial Variation Mechanism of Size, Velocity, and the Landing Angle of Throughfall Droplets under Maize Canopy. Water 2021, 13, 2083. [Google Scholar] [CrossRef]
- Robles, O.; Playán, E.; Cavero, J.; Zapata, N. Assessing low-pressure solid-set sprinkler irrigation in maize. Agric. Water Manag. 2017, 191, 37–49. [Google Scholar] [CrossRef] [Green Version]
- Playán, E.; Zapata, N.; Faci, J.M.; Tolosa, D.; Lacueva, J.L.; Pelegrín, J.; Salvador, R.; Sánchez, I.; Lafita, A. Assessing sprinkler irrigation uniformity using a ballistic simulation model. Agric. Water Manag. 2006, 84, 89–100. [Google Scholar] [CrossRef] [Green Version]
- Li, J.S. Modeling crop yield as affected by uniformity of sprinkler irrigation system. Agric. Water Manag. 1998, 38, 135–146. [Google Scholar] [CrossRef]















| Nozzle Size (mm) | Working Pressure | Relational Expression | R2 |
|---|---|---|---|
| (kPa) | |||
| D = 4.4 (#22) | 200 | vd = 3.0535ln(x + 0.3283) + 2.8595 | 0.959 |
| 250 | vd = 3.6336ln(x + 0.6382) + 1.7977 | 0.931 | |
| 300 | vd = 2.4674ln(x + 0.0821) + 3.8044 | 0.949 | |
| 350 | vd = 2.7609ln(x + 0.1990) + 3.3314 | 0.932 | |
| 400 | vd = 2.7404ln(x + 0.1934) + 3.3738 | 0.967 | |
| D = 4.8 (#24) | 200 | vd = 3.1151ln(x + 0.3611) + 2.7647 | 0.957 |
| 250 | vd = 3.4795ln(x + 0.4807) + 2.2983 | 0.983 | |
| 300 | vd = 2.7787ln(x + 0.2166) + 3.2604 | 0.979 | |
| 350 | vd = 2.7162ln(x + 0.1540) + 3.4782 | 0.906 | |
| 400 | vd = 3.2443ln(x + 0.3760) + 2.6795 | 0.964 | |
| D = 5.2 (#26) | 200 | vd = 3.3912ln(x + 0.2921) + 3.0399 | 0.938 |
| 250 | vd = 2.9791ln(x + 0.2131) + 3.3089 | 0.920 | |
| 300 | vd = 2.7996ln(x + 0.1756) + 3.4350 | 0.965 | |
| 350 | vd = 2.9930ln(x + 0.2277) + 3.2616 | 0.907 | |
| 400 | vd = 2.9415ln(x + 0.2183) + 3.2956 | 0.984 |
| Nozzle Diameter | Working Pressure | Distance from Sprinkler (m) | ||||||||||||||
|---|---|---|---|---|---|---|---|---|---|---|---|---|---|---|---|---|
| (mm) | (kPa) | 1 | 2 | 3 | 4 | 5 | 6 | 7 | 8 | 9 | 10 | 11 | 12 | 13 | 14 | 15 |
| 4.4 | 200 | 0.00 | 2.70 | 4.62 | 5.73 | 7.78 | 9.89 | 9.56 | 13.55 | 14.76 | 20.73 | 22.59 | 26.05 | 34.75 | ||
| 250 | 1.93 | 2.66 | 4.73 | 4.67 | 6.12 | 8.40 | 10.41 | 12.24 | 13.52 | 16.59 | 20.02 | 21.93 | 34.92 | |||
| 300 | 1.91 | 2.53 | 3.85 | 4.91 | 7.46 | 6.86 | 10.25 | 8.92 | 14.01 | 13.92 | 18.75 | 22.19 | 29.40 | |||
| 350 | 1.97 | 2.91 | 3.91 | 5.39 | 4.80 | 5.31 | 8.17 | 10.25 | 11.50 | 13.32 | 16.77 | 21.60 | 24.98 | |||
| 400 | 1.89 | 2.64 | 3.73 | 4.62 | 6.40 | 6.43 | 8.17 | 9.38 | 10.81 | 14.45 | 17.64 | 19.27 | 20.40 | |||
| 4.8 | 200 | 2.59 | 3.18 | 4.79 | 5.32 | 8.90 | 9.40 | 9.22 | 13.60 | 17.50 | 16.68 | 22.60 | 27.34 | |||
| 250 | 1.99 | 3.06 | 3.51 | 5.25 | 9.03 | 7.91 | 7.58 | 11.49 | 14.22 | 18.45 | 19.45 | 23.81 | 32.81 | |||
| 300 | 2.61 | 2.14 | 3.90 | 4.60 | 5.25 | 8.18 | 8.23 | 11.74 | 13.40 | 15.08 | 16.88 | 20.18 | 23.53 | 29.08 | ||
| 350 | 1.77 | 2.52 | 4.33 | 4.55 | 5.84 | 8.99 | 8.53 | 10.07 | 10.58 | 11.51 | 13.30 | 18.37 | 20.45 | 26.52 | ||
| 400 | 1.82 | 2.74 | 3.49 | 5.67 | 5.26 | 5.69 | 8.56 | 8.15 | 11.85 | 11.27 | 13.97 | 17.06 | 19.77 | 23.96 | ||
| 5.2 | 200 | 1.91 | 3.23 | 4.36 | 7.07 | 6.52 | 10.43 | 10.74 | 8.79 | 10.58 | 14.30 | 15.51 | 23.14 | 37.46 | 16.59 | |
| 250 | 2.00 | 3.24 | 4.22 | 5.52 | 5.36 | 7.92 | 7.30 | 11.10 | 13.07 | 12.10 | 13.83 | 20.82 | 25.05 | 32.09 | ||
| 300 | 1.86 | 2.77 | 4.08 | 5.45 | 6.21 | 8.02 | 9.61 | 8.62 | 12.44 | 13.92 | 15.71 | 19.35 | 22.89 | 26.21 | ||
| 350 | 2.02 | 2.67 | 4.25 | 4.53 | 6.69 | 7.75 | 8.11 | 11.63 | 8.99 | 11.20 | 13.94 | 15.63 | 19.41 | 24.03 | 29.84 | |
| 400 | 1.62 | 2.65 | 3.63 | 4.58 | 6.45 | 6.72 | 7.31 | 10.86 | 8.95 | 12.03 | 14.75 | 15.45 | 20.44 | 26.05 | ||
| Nozzle Size (mm) | Working Pressure (kPa) | ARm_i (m) | SPm_i (m) | ARm (mm h−1) | SPm (W m−2) |
|---|---|---|---|---|---|
| 4.4 | 200 | 12 | 12 | 4.344 | 0.031 |
| 250 | 12 | 12 | 2.944 | 0.018 | |
| 300 | 12 | 12 | 2.765 | 0.017 | |
| 350 | 12 | 13 | 2.670 | 0.017 | |
| 400 | 12 | 12 | 2.785 | 0.015 | |
| 4.8 | 200 | 13 | 12 | 5.050 | 0.035 |
| 250 | 13 | 13 | 3.317 | 0.030 | |
| 300 | 13 | 13 | 3.300 | 0.022 | |
| 350 | 13 | 13 | 5.050 | 0.029 | |
| 400 | 9 | 12 | 3.185 | 0.014 | |
| 5.2 | 200 | 13 | 13 | 3.909 | 0.041 |
| 250 | 13 | 13 | 3.581 | 0.025 | |
| 300 | 13 | 13 | 3.315 | 0.021 | |
| 350 | 13 | 13 | 3.225 | 0.017 | |
| 400 | 13 | 13 | 3.230 | 0.018 |
| Nozzle Diameter (mm) | Working Pressure (kPa) | CU under Square Combination (%) | Recommended Sprinkler Spacing (m) | ||||||||
|---|---|---|---|---|---|---|---|---|---|---|---|
| Combination Spacing between Sprinklers (m) | |||||||||||
| 7 | 8 | 9 | 10 | 11 | 12 | 13 | 14 | 15 | |||
| 4.4 | 200 | 95.55 | 87.73 | 83.51 | 78.46 | 85.73 | 63.83 | 53.32 | / | / | 9 to 11 |
| 300 | 98.32 | 96.73 | 95.83 | 90.15 | 88.05 | 84.34 | 74.52 | 70.54 | / | 12 | |
| 400 | 98.88 | 98.64 | 98.13 | 91.17 | 88.51 | 85.57 | 78.66 | 75.71 | / | 12 to 13 | |
| 4.8 | 200 | 96.34 | 92.77 | 87.85 | 85.27 | 84.75 | 82.72 | 66.01 | 59.35 | / | 12 |
| 300 | 98.21 | 97.72 | 95.89 | 93.72 | 87.52 | 86.19 | 78.12 | 69.58 | / | 12 | |
| 400 | 98.44 | 99.09 | 96.89 | 89.71 | 86.12 | 83.99 | 77.80 | 78.00 | / | 12 | |
| 5.2 | 200 | 98.50 | 93.88 | 88.27 | 84.92 | 84.91 | 86.61 | 70.99 | 62.84 | / | 10 to 12 |
| 300 | 98.91 | 98.58 | 97.37 | 95.77 | 90.80 | 89.02 | 85.69 | 76.75 | 71.75 | 13 | |
| 400 | 98.74 | 98.66 | 98.22 | 95.67 | 90.46 | 88.42 | 86.30 | 80.16 | 77.70 | 14 | |
Publisher’s Note: MDPI stays neutral with regard to jurisdictional claims in published maps and institutional affiliations. |
© 2022 by the authors. Licensee MDPI, Basel, Switzerland. This article is an open access article distributed under the terms and conditions of the Creative Commons Attribution (CC BY) license (https://creativecommons.org/licenses/by/4.0/).
Share and Cite
Wang, J.; Song, Z.; Chen, R.; Yang, T.; Tian, Z. Experimental Study on Droplet Characteristics of Rotating Sprinklers with Circular Nozzles and Diffuser. Agriculture 2022, 12, 987. https://doi.org/10.3390/agriculture12070987
Wang J, Song Z, Chen R, Yang T, Tian Z. Experimental Study on Droplet Characteristics of Rotating Sprinklers with Circular Nozzles and Diffuser. Agriculture. 2022; 12(7):987. https://doi.org/10.3390/agriculture12070987
Chicago/Turabian StyleWang, Jian, Zhuoyang Song, Rui Chen, Ting Yang, and Zuokun Tian. 2022. "Experimental Study on Droplet Characteristics of Rotating Sprinklers with Circular Nozzles and Diffuser" Agriculture 12, no. 7: 987. https://doi.org/10.3390/agriculture12070987
APA StyleWang, J., Song, Z., Chen, R., Yang, T., & Tian, Z. (2022). Experimental Study on Droplet Characteristics of Rotating Sprinklers with Circular Nozzles and Diffuser. Agriculture, 12(7), 987. https://doi.org/10.3390/agriculture12070987

