Seeding Performance Caused by Inclination Angle in a Centralized Seed-Metering Device for Rapeseed
Abstract
1. Introduction
2. Materials and Methods
2.1. Structure of Centralized Seed-Metering Device
2.2. Working Principle for Various Slopes
2.3. DEM Simulation Model of Centralized Seed-Metering Device
2.3.1. DEM Model for Simulating Centralized Seed-Metering Device
2.3.2. Simulation Design
2.4. Bench Test and Field Experiment
2.4.1. Bench Test Method
2.4.2. Field Experiment
3. Results and Discussion
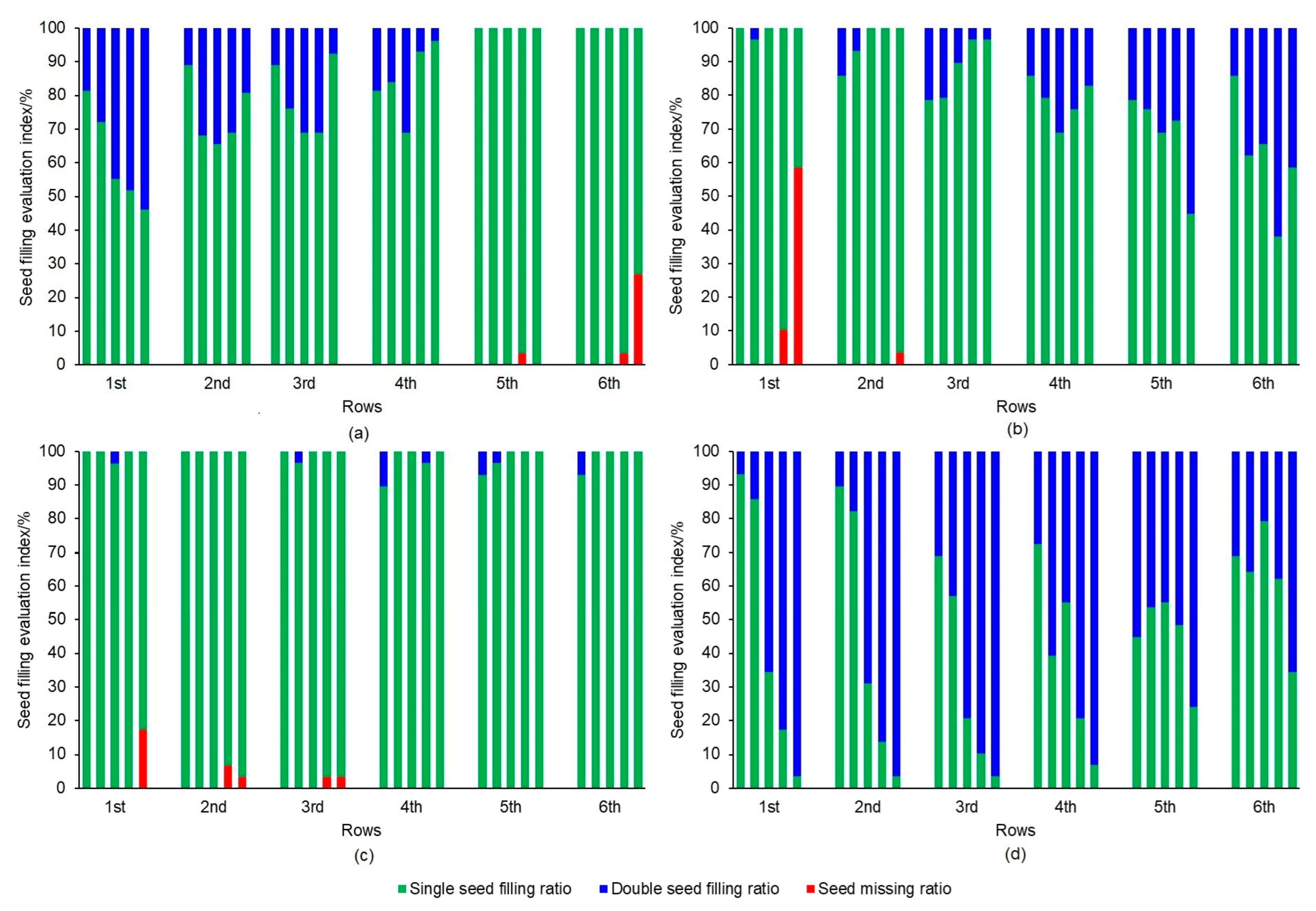
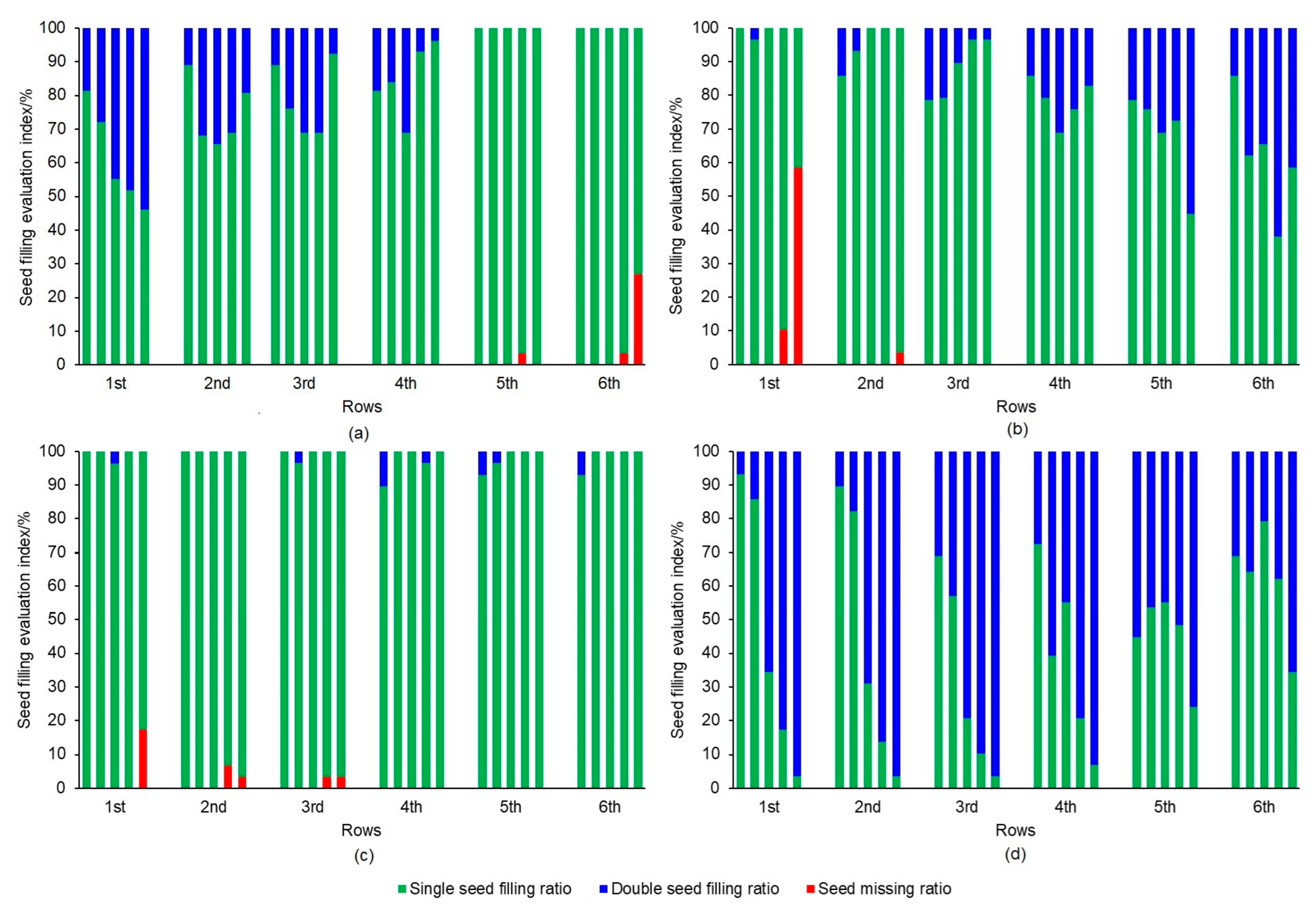
3.1. Effect of Inclination Angle on Seed-Filling Quantity
3.2. Effects of Inclination Angle on Seed Performance in the Bench Test
3.3. Seeding Performance under Various Angular Velocities and Cleaning Treatment
3.4. Results and Analysis of Field Experiment
4. Conclusions
Author Contributions
Funding
Institutional Review Board Statement
Informed Consent Statement
Data Availability Statement
Conflicts of Interest
References
- Liao, Q.X.; Lei, X.L.; Liao, Y.T.; Ding, Y.C.; Zhang, Q.S.; Wang, L. Research progress of precision seeding for rapeseed. Chin. Soc. Agric. Mach. 2017, 48, 1–16. [Google Scholar]
- Barbosaa, F.T.; Bertol, I.; Wolschick, N.H.; Vázquezc, E.V. The effects of previous crop residue, sowing direction and slope length on phosphorus losses from eroded sediments under no-tillage. Soil. Till. Res. 2021, 206, 104780. [Google Scholar] [CrossRef]
- Norma, ISO 7256/1. Sowing Equipment-Test Methods-Part 1: Single Seed Drills (Precision Drills); Technical Committee ISO/TC 23: Tractors and machinery for agriculture and forestry: Saint-Denis, France, 1984. [Google Scholar]
- Yatskul, A.; Lemiere, J.P.; Cointault, F. Influence of the divider head functioning conditions and geometry on the seed’s distribution accuracy of the air-seeder. Biosys. Eng. 2017, 161, 120–134. [Google Scholar] [CrossRef]
- Searle, C.L.; Kocher, M.F.; Smith, J.A.; Blankenship, E.E. Field slope effects on uniformity of corn seed spacing for three precision planter metering systems. Appl. Eng. Agric. 2008, 24, 581–586. [Google Scholar] [CrossRef]
- Correia, T.; Sousa, S.; Silva, P.; Dias, P.P.; Gomes, A. Sowing performance by a metering mechanism of continuous flow in different slope conditions. Eng. Agric. 2016, 36, 839–845. [Google Scholar] [CrossRef][Green Version]
- Wang, L.; Xi, R.J.; Liao, Y.T.; Zhang, Q.S.; Xiao, W.L.; Liao, Q.X. Effects of land slope on seeding performance of a broad width precision no-tillage planter for rapeseed. Transact. Chin. Soc. Agric. Eng. 2020, 36, 11–21. [Google Scholar]
- Wang, L.; Liao, Y.T.; Zhang, Q.S.; Liu, H.; Wang, B.S.; Liao, Q.X. Experiments and analysis on seeding performance of seed feeding device of rapeseed centralized metering device under lateral tilt. Transact. Chin. Soc. Agric. Eng. 2020, 36, 1–10. [Google Scholar]
- Wang, L.; Liao, Y.T.; Liao, Q.X.; Qi, T.X.; Zhang, Q.S.; Wang, B.S. Design and test on centralized metering seed feeding device of air-assisted planter for rapeseed. Chin. Soc. Agric. Mach. 2021, 52, 75–85. [Google Scholar]
- Jia, H.L.; Zhang, S.W.; Chen, T.Y.; Zhao, J.L.; Guo, M.Z.; Yuan, H.F. Design and experiment of self-suction Mung bean precision seed metering device. Chin. Soc. Agric. Mach. 2020, 51, 51–60. [Google Scholar]
- Cao, X.Y.; Liao, Y.T.; Liao, Q.X.; Li, Z.D.; Lei, X.L. Design and experiment on valve-branch distributor of centrifugal precision metering device for rapeseed. Chin. Soc. Agric. Mach. 2015, 46, 77–84. [Google Scholar]
- Zhang, M.H.; Wang, Z.M.; Luo, X.W.; Jiang, E.C.; Dai, Y.Z.; Xing, H.; Wang, B.L. Effect of double seed-filling chamber structure of combined type-hole metering device on filling properties. Transact. Chin. Soc. Agric. Eng. 2018, 34, 8–15. [Google Scholar]
- Li, J.J.; Zhang, H.P.; Bi, X.S.; Wang, J.; Hu, B.; Li, S.Z. Simulation analysis and test on the filling performance of rotary type-hole precision seed-metering device for cotton. Transact. Chin. Soc. Agric. Eng. 2020, 36, 38–49. [Google Scholar]
- Qin, W.; Yu, Y.J.; Lai, Q.H.; Yuan, H.K.; Zhan, C.X.; Sun, K. Effect of panax notoginseng seed size on seed-filling performance of the socket-roller seeding apparatus. J. South China Agric. Univ. 2019, 40, 126–132. [Google Scholar]
- Shi, S.; Zhang, D.X.; Yang, L.; Cui, T.; Li, K.H.; Yin, X.W. Simulation and verification of seed-filling performance of pneumatic-combined holes maize precision seed-metering device based on EDEM. Transact. Chin. Soc. Agric. Eng. 2015, 31, 62–69. [Google Scholar]
- Shi, S.; Liu, H.; Wei, G.J.; Zhou, J.L.; Jian, S.C.; Zhang, R.F. Optimisation and experiment of pneumatic seed metering device with guided assistant filling based on EDEM-CFD. Chin. Soc. Agric. Mach. 2020, 51, 54–66. [Google Scholar]
- Lei, X.L.; Liao, Y.T.; Li, Z.D.; Zhang, W.Y.; Cao, X.Y.; Li, S.S.; Liao, Q.X. Effects of seed layer thickness on seed filling performance of seed feeding device for rapeseed and wheat. Transact. Chin. Soc. Agric. Eng. 2016, 32, 11–19. [Google Scholar]
- Lei, X.L.; Liao, Y.T.; Li, Z.D.; Zhang, W.Y.; Li, S.S.; Liao, Q.X. Design of seed churning device in air-assisted centralized metering device for rapeseed and wheat and experiment on seed filling performance. Transact. Chin. Soc. Agric. Eng. 2016, 32, 26–34. [Google Scholar]
- Cong, J.L.; Liao, Q.X.; Cao, X.Y.; Liao, Y.T.; Yu, J.J.; Wang, L. Seed filling performance of dual-purpose seed plate in metering device for both rapeseed & wheat seed. Transact. Chin. Soc. Agric. Eng. 2014, 30, 30–39. [Google Scholar]
- Karayel, D.; Wiesehoff, M.; Ozmerzi, A.; Muller, J. Laboratory measurement of seed drill seed spacing and velocity of fall of seeds using high-speed camera system. Comput. Elect. Agric. 2006, 50, 89–96. [Google Scholar] [CrossRef]
- Abdolahzare, Z.; Mehdizadeh, S.A. Real time laboratory and field monitoring of the effect of the operational parameters on seed falling speed and trajectory of pneumatic planter. Comput. Elect. Agric. 2018, 145, 187–198. [Google Scholar] [CrossRef]
- Liu, H.X.; Xu, X.M.; Liu, J.X.; Wang, C. Working characteristics of vertical shallow-basin type seed-metering device based on high-speed photography and virtual simulation. Transact. Chin. Soc. Agric. Eng. 2016, 32, 13–19. [Google Scholar]
- Tao, G.X.; Yi, S.J.; Wang, C.; Mao, X. Analysis on dropping processing of precision sowing device in rice seeding bowl by high-speed photography. Transact. Chin. Soc. Agric. Eng. 2012, 28, 197–201. [Google Scholar]
- Lei, X.L.; Hu, H.J.; Wu, W.C.; Liu, H.N.; Liu, L.Y.; Yang, W.H.; Zhou, Z.L.; Ren, W.J. Seed motion characteristics and seeding performance of a centralized seed metering system for rapeseed investigated by DEM simulation and bench testing. Biosys. Eng. 2021, 203, 22–33. [Google Scholar] [CrossRef]
- Hu, H.J.; Zhou, Z.L.; Wu, W.C.; Yang, W.H.; Li, T.; Chang, C.; Ren, W.J.; Lei, X.L. Distribution characteristics and parameter optimisation of an air-assisted centralized seed-metering device for rapeseed using a CFD-DEM coupled simulation. Biosys. Eng. 2021, 208, 246–259. [Google Scholar] [CrossRef]
- Hou, Q.F.; Dong, K.J.; Yu, A.B. DEM study of the flow of cohesive particles in a screw feeder. Powder Technol. 2014, 256, 529–539. [Google Scholar] [CrossRef]
- Lei, X.L.; Yang, W.H.; Yang, L.J.; Liu, L.Y.; Liao, Q.X.; Ren, W.J. Design and experiment of seed hill-seeding centralized metering device for rapeseed. Chin. Soc. Agric. Mach. 2020, 51, 54–64. [Google Scholar]
- Luo, X.W.; Jiang, E.C.; Wang, Z.M.; Tang, X.R.; Li, J.H.; Chen, W.T. Precision rice hill-drop drilling machine. Transact. Chin. Soc. Agric. Eng. 2008, 24, 52–56. [Google Scholar]
- Wang, Y.J.; Qiao, J.Y.; Ji, W.Y.; Sun, J.; Huo, D.X.; Liu, Y.P.; Chen, H.T. Effects of crop residue managements and tillage practices on variations of soil penetration resistance in sloping farmland of Mollisols. Int. J. Agric. Biol Eng. 2022, 15, 164–171. [Google Scholar] [CrossRef]











| Parameter | Value |
|---|---|
| Diameter of rapeseed (mm) | 2.00 |
| Density of rapeseed (kg m−3) | 1060 |
| Poisson’s ratio of rapeseed | 0.25 |
| Shear modulus of rapeseed (Pa) | 1.1 × 107 |
| Density of steel (kg m−3) | 8000 |
| Poisson’s ratio of steel | 0.28 |
| Shear modulus of steel (Pa) | 7.0 × 1010 |
| Density of acrylonitrile butadiene styrene copolymer (ABS, kg m−3) | 1060 |
| Poisson’s ratio of ABS | 0.394 |
| Shear modulus of ABS (Pa) | 8.96 × 108 |
| Coefficient of restitution between rapeseed and rapeseed | 0.60 |
| Coefficient of static friction between rapeseed and rapeseed | 0.50 |
| Coefficient of rolling friction between rapeseed and rapeseed | 0.01 |
| Coefficient of restitution between rapeseed and steel | 0.60 |
| Coefficient of static friction between rapeseed and steel | 0.30 |
| Coefficient of rolling friction between rapeseed and steel | 0.01 |
| Coefficient of restitution between rapeseed and ABS | 0.75 |
| Coefficient of static friction between rapeseed and ABS | 0.30 |
| Coefficient of rolling friction between rapeseed and ABS | 0.01 |
| Gravitational acceleration (m s−2) | 9.81 |
| Number of rapeseed particles | 40,000 |
| Fixed time step (s) | 5 × 10−6 |
| Simulation time (s) | 10 |
| Test Name | Parameters | Values |
|---|---|---|
| Effects of inclination angle on seeding performance | Tilt types | −X, X, −Y, and Y direction |
| Inclination angle (θ) | 0°, 2°, 4°, 6°, 8°, 10° | |
| Effects of seed layer height and inclination angle on seeding performance | Seed layer height (h) | 20 mm, 25 mm, 30 mm |
| Inclination angle (θ) | 6°, 8°, 10° | |
| Effects of angular velocity on seeding performance | Angular velocity (rpm) | 10, 20, 30, 40 |
| Tilt Types | Inclination Angle (°) | Ratio of Qualified Seed-Filling Quantity (%) | Seed Missing Ratio (%) | Multiple Ratio (%) | Qualified Ratio (%) | Average Ridge Spacing (mm) | Variance Coefficient of Ridge Spacing (%) | Average Ridge Diameter (mm) |
|---|---|---|---|---|---|---|---|---|
| −X direction | 0 (CK) | 95.56 | 4.44 | 0.19 | 95.37 | 110.96 | 15.79 | 6.14 |
| 2 | 91.67 | 8.33 | 0.19 | 91.48 | 110.52 | 21.22 | 6.83 | |
| 4 | 92.59 | 7.41 | 0.00 | 92.59 | 110.47 | 20.88 | 7.32 | |
| 6 | 90.93 | 9.07 | 0.93 | 90.00 | 111.54 | 28.56 | 6.97 | |
| 8 | 88.15 | 11.85 | 1.48 | 86.67 | 112.99 | 28.64 | 9.39 | |
| 10 | 89.07 | 1.67 | 3.33 | 95.00 | 97.89 | 17.29 | 12.85 | |
| X direction | 2 | 90.19 | 9.81 | 0.00 | 90.19 | 116.39 | 23.49 | 9.54 |
| 4 | 93.15 | 6.85 | 0.56 | 92.59 | 107.63 | 21.80 | 11.48 | |
| 6 | 92.96 | 6.67 | 0.56 | 92.78 | 116.04 | 27.83 | 10.36 | |
| 8 | 86.67 | 8.52 | 1.11 | 90.37 | 113.31 | 24.79 | 11.10 | |
| 10 | 92.78 | 7.22 | 0.37 | 92.41 | 113.63 | 31.64 | 12.47 | |
| −Y direction | 2 | 95.37 | 4.63 | 0.19 | 95.19 | 107.34 | 23.31 | 5.47 |
| 4 | 92.22 | 7.78 | 0.74 | 91.48 | 114.34 | 22.92 | 8.20 | |
| 6 | 79.63 | 20.37 | 0.37 | 79.26 | 125.56 | 40.34 | 8.80 | |
| 8 | 70.28 | 29.72 | 0.00 | 70.28 | 138.92 | 44.44 | 0.00 | |
| 10 | 47.78 | 52.22 | 0.00 | 47.78 | 216.70 | 64.31 | 0.00 | |
| Y direction | 2 | 97.04 | 2.96 | 0.56 | 96.48 | 108.36 | 16.46 | 8.88 |
| 4 | 94.44 | 5.56 | 0.37 | 94.07 | 107.81 | 20.46 | 9.17 | |
| 6 | 95.37 | 4.63 | 0.74 | 94.63 | 107.05 | 19.41 | 9.09 | |
| 8 | 92.78 | 7.22 | 0.00 | 92.78 | 109.78 | 22.10 | 10.59 |
| Tilt Types | Angular Velocity (rpm) | Ratio of Qualified Seed-Filling Quantity (%) | Seed Missing Ratio (%) | Multiple Ratio (%) | Qualified Ratio (%) | Average Ridge Spacing (mm) | Variance Coefficient of Ridge Spacing (%) | Average Ridge Diameter (mm) |
|---|---|---|---|---|---|---|---|---|
| −Y direction | 10 | 72.59 | 27.41 | 0.00 | 72.59 | 136.96 | 44.91 | 0.00 |
| 20 | 79.63 | 20.37 | 0.37 | 79.26 | 125.56 | 40.34 | 8.80 | |
| 30 | 89.26 | 10.74 | 0.37 | 88.89 | 113.89 | 31.75 | 9.54 | |
| 40 | 84.44 | 15.37 | 0.56 | 84.07 | 125.84 | 38.16 | 10.72 | |
| Y direction | 10 | 96.67 | 2.22 | 0.37 | 97.41 | 110.79 | 14.14 | 8.27 |
| 20 | 95.37 | 4.63 | 0.74 | 94.63 | 107.05 | 19.41 | 9.09 | |
| 30 | 94.81 | 5.19 | 0.74 | 94.07 | 109.22 | 22.19 | 10.96 | |
| 40 | 96.85 | 3.15 | 0.00 | 96.85 | 104.84 | 16.33 | 9.68 | |
| F-value | Tilt types | 14.09 * | 12.86 * | 0.35 | 12.87 * | 14.67 * | 22.83 * | 1.16 |
| Inclination angle | 0.74 | 0.58 | 0.67 | 0.56 | 1..26 | 0.12 | 1.95 |
| Tilt Types | Inclination Angle (°) | Seed Layer Height (mm) | Ratio of Qualified Seed-Filling Quantity (%) | Seed Missing Ratio (%) | Multiple Ratio (%) | Qualified Ratio (%) | Average Ridge Spacing (mm) | Variance Coefficient of Ridge Spacing (%) | Average Ridge Diameter (mm) |
|---|---|---|---|---|---|---|---|---|---|
| X direction | 6 | 20 | 94.07 | 5.93 | 0.19 | 93.89 | 106.22 | 22.34 | 10.19 |
| 6 | 25 | 81.48 | 18.33 | 0.00 | 81.67 | 128.96 | 33.98 | 10.19 | |
| 6 | 30 | 88.15 | 11.67 | 0.00 | 88.33 | 118.31 | 29.62 | 10.19 | |
| 8 | 20 | 91.85 | 8.15 | 0.56 | 91.30 | 108.32 | 25.01 | 9.06 | |
| 8 | 25 | 89.63 | 10.37 | 0.00 | 89.63 | 116.83 | 31.12 | 11.35 | |
| 8 | 30 | 90.00 | 10.00 | 0.00 | 90.00 | 115.70 | 30.11 | 11.67 | |
| 10 | 20 | 96.30 | 3.70 | 0.00 | 96.30 | 104.48 | 17.20 | 10.02 | |
| 10 | 25 | 90.93 | 8.52 | 0.00 | 91.48 | 114.13 | 25.27 | 12.91 | |
| 10 | 30 | 95.74 | 4.26 | 0.37 | 95.37 | 109.74 | 17.97 | 10.51 | |
| −Y direction | 6 | 20 | 98.70 | 1.30 | 0.00 | 98.70 | 98.96 | 13.86 | 8.86 |
| 6 | 25 | 97.96 | 2.04 | 0.00 | 97.96 | 101.01 | 14.02 | 11.12 | |
| 6 | 30 | 92.96 | 7.04 | 0.19 | 92.78 | 113.27 | 24.72 | 10.66 | |
| 8 | 20 | 90.00 | 10.00 | 0.00 | 90.00 | 107.78 | 29.19 | 9.75 | |
| 8 | 25 | 99.63 | 0.37 | 0.00 | 99.63 | 100.04 | 10.65 | 9.32 | |
| 8 | 30 | 94.44 | 5.56 | 0.19 | 94.26 | 111.99 | 27.46 | 12.96 | |
| 10 | 20 | 93.52 | 6.48 | 0.19 | 93.33 | 106.01 | 24.70 | 9.50 | |
| 10 | 25 | 97.96 | 2.04 | 0.19 | 97.78 | 101.29 | 14.23 | 13.20 | |
| 10 | 30 | 92.59 | 7.41 | 0.19 | 92.41 | 108.54 | 24.47 | 11.75 | |
| −Y direction | 10 | 20 | 88.52 | 9.44 | 0.37 | 90.19 | 114.71 | 22.33 | 11.26 |
| 12 | 20 | 94.44 | 4.81 | 0.00 | 95.19 | 110.19 | 19.05 | 9.11 | |
| 14 | 20 | 97.59 | 2.41 | 0.56 | 97.04 | 106.29 | 17.96 | 11.23 | |
| 16 | 20 | 93.70 | 6.30 | 0.19 | 93.52 | 111.74 | 21.95 | 10.99 |
| Field Number | Inclination Angle | Seedling’s Spacing (mm) | Average Seedling Spacing (mm) | Ratio of Qualified Seedling Spacing (%) | |||||
|---|---|---|---|---|---|---|---|---|---|
| 1st Row | 2nd Row | 3rd Row | 4th Row | 5th Row | 6th Row | ||||
| 1 | Ascending 2.88° | 116.00 | 109.60 | 111.67 | 105.53 | 112.67 | 133.57 | 114.84 | 95.00 |
| 133.70 | 127.10 | 111.57 | 109.79 | 152.60 | 167.10 | 133.64 | 83.33 | ||
| 137.67 | 141.33 | 143.00 | 126.83 | 132.50 | 124.50 | 134.31 | 80.56 | ||
| 2 | Ascending 5.63° | 157.73 | 138.43 | 136.50 | 133.47 | 149.07 | 118.50 | 138.95 | 83.33 |
| 177.17 | 152.33 | 145.33 | 144.50 | 157.77 | 131.60 | 151.45 | 75.56 | ||
| 118.67 | 130.50 | 129.00 | 137.07 | 132.47 | 119.57 | 127.88 | 89.44 | ||
| 3 | Descending 7.79° | 148.17 | 157.00 | 144.17 | 150.23 | 151.13 | 173.43 | 154.02 | 72.78 |
| 166.87 | 136.43 | 153.53 | 148.13 | 135.20 | 140.30 | 146.74 | 81.11 | ||
| 128.37 | 132.27 | 121.17 | 169.83 | 161.60 | 130.50 | 140.62 | 81.11 | ||
| 4 | Descending 9.52° | 188.60 | 175.89 | 147.68 | 144.29 | 89.29 | 115.36 | 143.52 | 77.78 |
| 222.22 | 213.75 | 193.04 | 166.25 | 123.21 | 104.14 | 170.44 | 68.89 | ||
| 133.39 | 127.86 | 114.82 | 127.71 | 134.00 | 126.25 | 127.34 | 83.33 | ||
Publisher’s Note: MDPI stays neutral with regard to jurisdictional claims in published maps and institutional affiliations. |
© 2022 by the authors. Licensee MDPI, Basel, Switzerland. This article is an open access article distributed under the terms and conditions of the Creative Commons Attribution (CC BY) license (https://creativecommons.org/licenses/by/4.0/).
Share and Cite
Lei, X.; Wu, W.; Chang, C.; Li, T.; Zhou, Z.; Guo, J.; Zhu, P.; Hu, J.; Cheng, H.; Zhou, W.; et al. Seeding Performance Caused by Inclination Angle in a Centralized Seed-Metering Device for Rapeseed. Agriculture 2022, 12, 590. https://doi.org/10.3390/agriculture12050590
Lei X, Wu W, Chang C, Li T, Zhou Z, Guo J, Zhu P, Hu J, Cheng H, Zhou W, et al. Seeding Performance Caused by Inclination Angle in a Centralized Seed-Metering Device for Rapeseed. Agriculture. 2022; 12(5):590. https://doi.org/10.3390/agriculture12050590
Chicago/Turabian StyleLei, Xiaolong, Wencheng Wu, Cheng Chang, Tao Li, Zhonglin Zhou, Jinyue Guo, Peixu Zhu, Jianfeng Hu, Hong Cheng, Wei Zhou, and et al. 2022. "Seeding Performance Caused by Inclination Angle in a Centralized Seed-Metering Device for Rapeseed" Agriculture 12, no. 5: 590. https://doi.org/10.3390/agriculture12050590
APA StyleLei, X., Wu, W., Chang, C., Li, T., Zhou, Z., Guo, J., Zhu, P., Hu, J., Cheng, H., Zhou, W., Deng, F., Chen, Y., Wu, Y., & Ren, W. (2022). Seeding Performance Caused by Inclination Angle in a Centralized Seed-Metering Device for Rapeseed. Agriculture, 12(5), 590. https://doi.org/10.3390/agriculture12050590

