A Fast Analysis of Pesticide Spray Dispersion by an Agricultural Aircraft Very near the Ground
Abstract
:1. Introduction
2. Methods
2.1. Terminology
2.2. Induced Velocity Field
2.2.1. Lifting Line Model
2.2.2. Wingtip Vortices Model
2.2.3. Mixture Model
2.2.4. Trajectory Approximation
2.3. Wake Vortices Motion
- In the OGE phase (Figure 3a), it is a two-vortex system, circulation decay subjecting to Formula (8), and the downward velocity is Γ/2πb0.
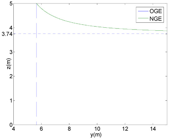
- In the NGE phase, at a height of h1 = b0*ZIMFAC above the ground, it is a four-vortex system (Figure 3b). Two image vortices are added below the ground as the mirror of primary vortices to meet the boundary condition of zero vertical velocity at the ground. Because of the symmetry, the trajectory of only starboard vortex is addressed. Here ZIMFAC stands for “z image factor” determined by experience. It has:where (y,z) is the starboard vortex position. If the flow is inviscid, it was demonstrated by Saffman [34] that this NGE phase will be the end, the secondary vorticity cannot be generated, hence the primary vortices descend and move outward reaching to the asymptotic altitude d0/2 expressed by:where h0 is the initial altitude that a primary vortex pair generates.
- In the IGE phase, at a height of h2 = b0*ZGEFAC (for “z ground effect factor”) above the ground, it is an eight-vortex system (Figure 3c). The two secondary vortices and their images are introduced at a distance of b1 and at an initial rotation angle θ of outboard of primary vortices, where θ is zero below the primary vortices and is positive clockwise for the port vortex or counterclockwise for the starboard vortex [33]. The initial ratio between secondary and primary circulation is defined as γ. Set (yi,zi) (i = 1,…,8) the position of vortices, this eight-vortex system is subjected to the following Equation (15) of point vortex dynamics:of which .
3. Results and Analysis
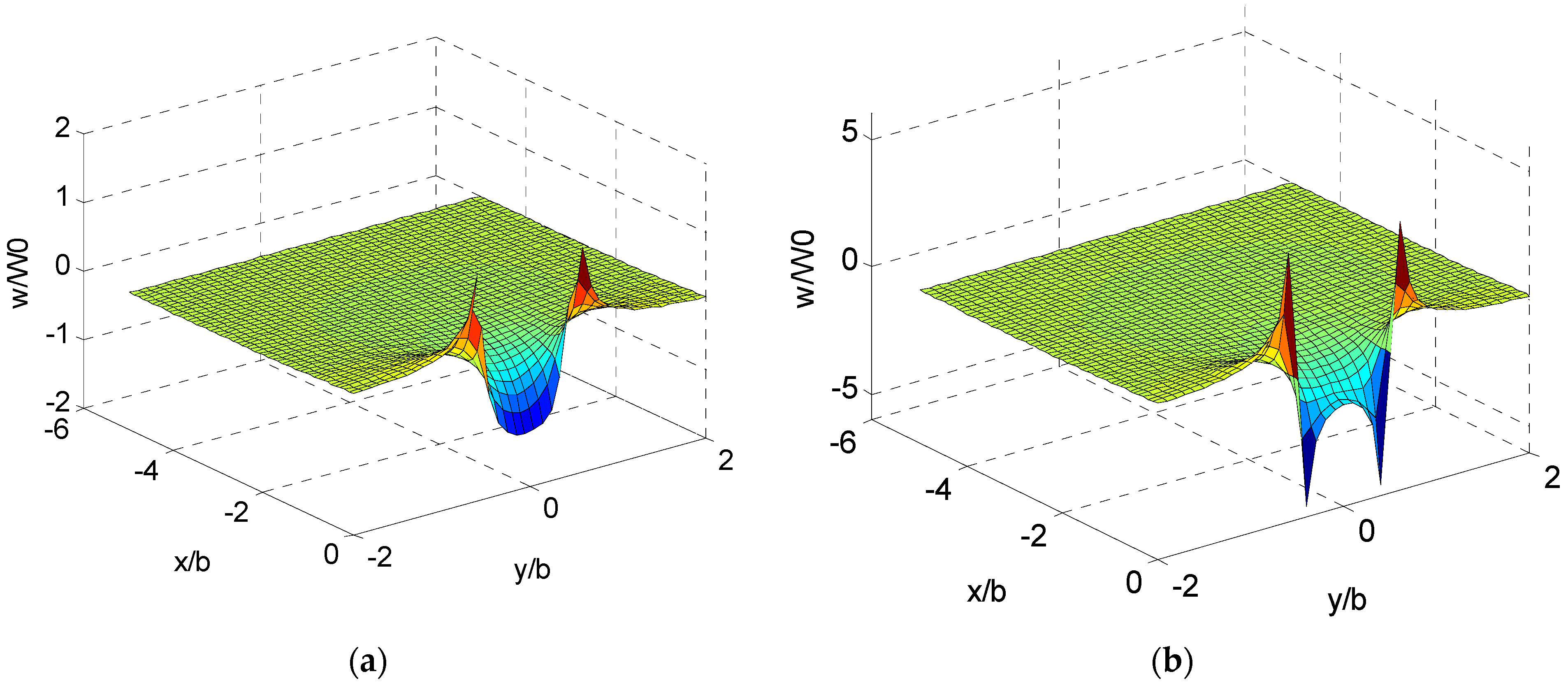
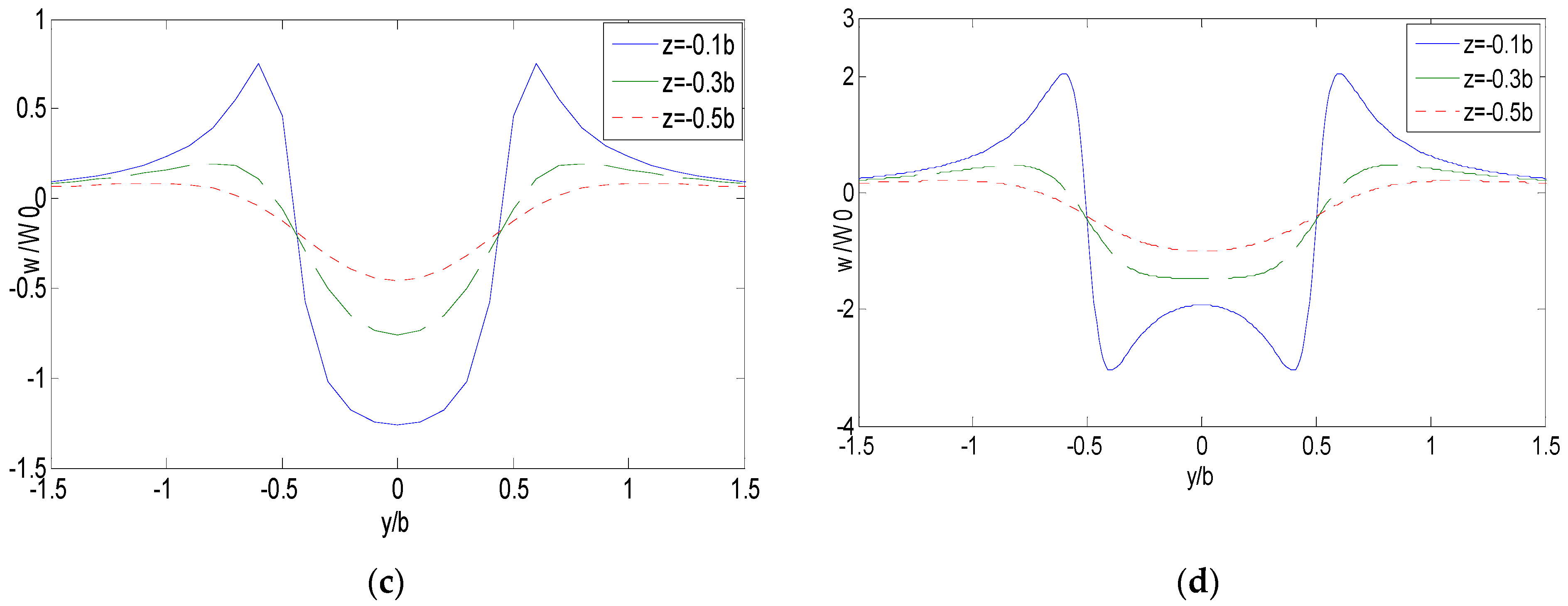
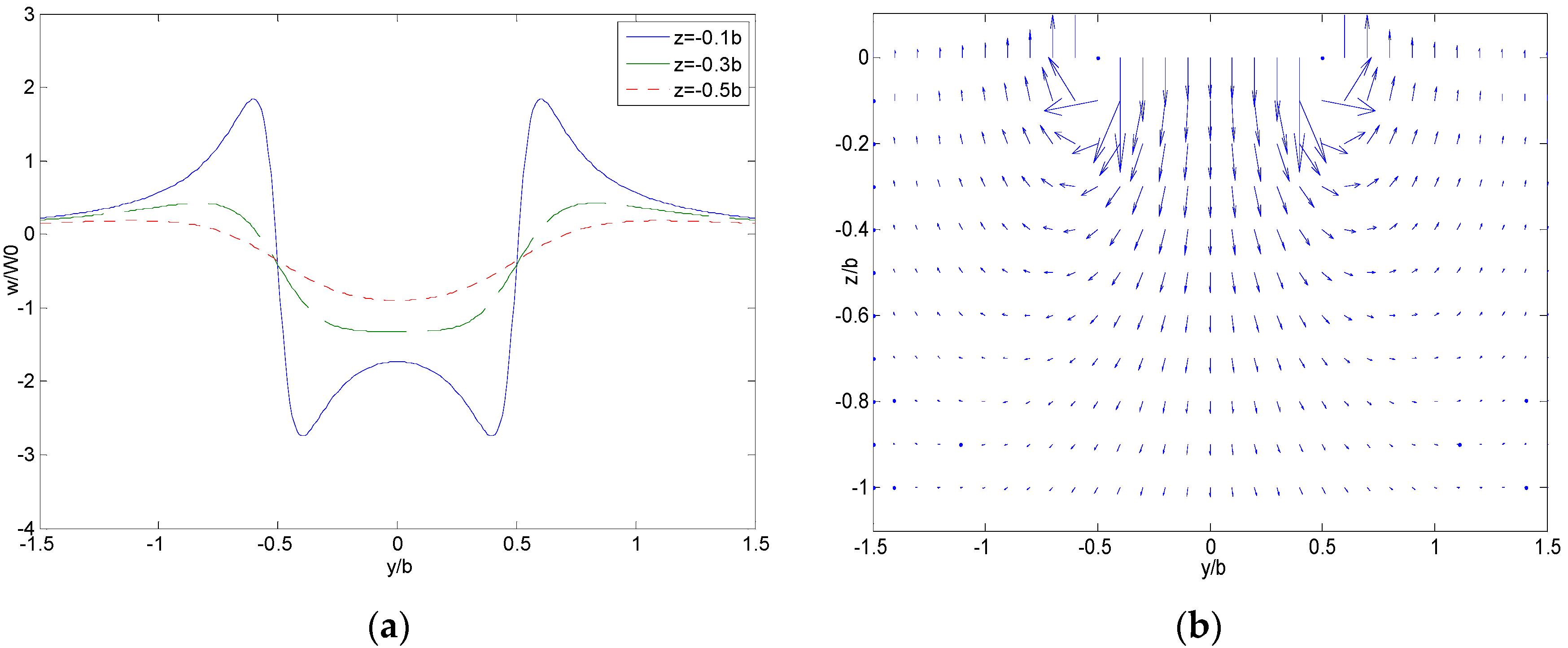
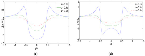
3.1. Induced Velocity Distribution
3.2. Vortex Trajectory
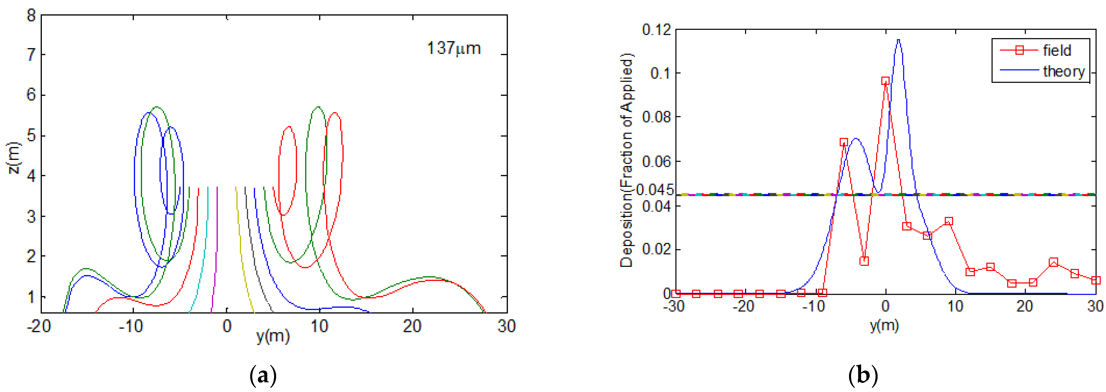
3.3. Validation of Fast Analysis
3.3.1. No Wind
3.3.2. Effect of Crosswind
3.3.3. Effect of Headwind
3.3.4. Relation between Droplet Size and Drift Distance
4. Discussion
5. Conclusions
- The lifting line-wingtip vortices mixture model allows rapid calculation of the complete velocity field around an agricultural monoplane in 2.1 s on a common PC (2 GHz CPU, 2 GB RAM), and the whole fast analysis for estimating droplets trajectories and drift is implemented within 3.2 s. For the same case, AGDISP takes 25 s whilst CFD needs several to tens of hours.
- The lifting line-wingtip vortices mixture model is in good agreement with the experimental and CFD results for Thrush 510G aircraft. At a height over the ground of 3 m, the maximum velocity error is less than 1.5 m/s and the average error is less than 0.5 m/s in the space that is 7.6 wingspans downstream of the aircraft (corresponding to a time span of 2 s). Outside this region, the maximum velocity error does not exceed 1.7 m/s, and the error tends to decrease with distance. The N-vortex system, by adding secondary vortices and their images, can predict vortex rebound and thereafter vortex motion, roughly matching with CFD simulation. The flight very near the ground could induce stronger secondary vortices, produce additional upwash flow, and result in entrainment of particles aloft more seriously.
- The turbulent effect of airflow and other factors that make droplets disperse randomly can be handled through a probability distribution described as the Gaussian mixture model whose parameters are determined by tracking ground deposition of some droplets with typical sizes within the Lagrangian framework.
- The fast analysis does not rely on swath width input that is required in AGDISP and is usually achieved by a preliminary experiment. The performance of this method validates that it matches well with AGDISP on predicting droplet trajectories, but makes a conservative estimate to the drift compared to AGDISP and CFD simulation. The drift or dispersion is associated with droplet size, release height, nozzle distribution, and wind speed when an agricultural monoplane and the flight parameters are determined. Generally speaking, the small release height and nozzles mounted in the middle of the wingspan will contribute to the efficient deposition. But the influence of the two factors is negligible for fine droplets. The droplet size and wind speed are the leading factors. The crosswind changes the vortex trajectory and further their induced velocity field where there exists outward velocity near the ground and droplets are taken downwind far away. The headwind affecting the droplet drift only through its spanwise component may imply the control of long distance dispersion by adjustable flight line. The drift can be suppressed by applying coarse droplets against crosswind or wake vortices.
Author Contributions
Funding
Institutional Review Board Statement
Informed Consent Statement
Conflicts of Interest
References
- Thistle, H.W.; Teske, M.E.; Richardson, B.; Strand, T.M. Technical Note: Model Physics and Collection Efficiency in Estimates of Pesticide Spray Drift Model Performance. Trans. ASABE 2020, 63, 1939–1945. [Google Scholar] [CrossRef]
- Zhang, D.; Cheng, L.; Zhang, R.; Hoffmann, W.C.; Xu, G.; Lan, Y.; Xu, M. Evaluating effective swath width and droplet distribution of aerial spraying systems on M-18B and Thrush 510G airplanes. Int. J. Agric. Biol. Eng. 2015, 8, 21–30. [Google Scholar]
- Xue, X.; Lan, Y.; Sun, Z.; Chang, C.; Hoffmann, W.C. Develop an unmanned aerial vehicle based automatic aerial spraying system. Comput. Electron. Agric. 2016, 128, 58–66. [Google Scholar] [CrossRef]
- Li, X.; Giles, D.K.; Andaloro, J.T.; Long, R.; Lang, E.B.; Watson, L.J.; Qandah, I. Comparison of UAV and fixed-wing aerial application for alfalfa insect pest control: Evaluating efficacy, residues, and spray quality. Pest Manag. Sci. 2021, 77, 4980–4992. [Google Scholar] [CrossRef] [PubMed]
- Bilanin, A.J.; Teske, M.E.; Morris, D.J. Predicting Aerially Applied Particle Deposition by Computer. No. 810607. SAE Technical Paper. 1981. Available online: https://www.sae.org/publications/technical-papers/content/810607/ (accessed on 1 January 2022).
- Teske, M.E.; Thistle, H.W. Aerial Application Model Extension into the Far Field. Biosyst. Eng. 2004, 89, 29–36. [Google Scholar] [CrossRef]
- Hilz, E.; Vermeer, A. Spray drift review: The extent to which a formulation can contribute to spray drift reduction. Crop Prot. 2013, 44, 75–83. [Google Scholar] [CrossRef]
- Bilanin, A.J.; Teske, M.E.; Barry, J.W.; Ekblad, R.B. AGDISP: The aircraft spray dispersion model, code development and experimental validation. Trans. ASAE 1989, 32, 327–334. [Google Scholar] [CrossRef]
- Teske, M.E.; Bowers, J.F.; Rafferty, J.E.; Barry, J.W. FSCBG: An aerial spray dispersion model for predicting the fate of released material behind aircraft. Environ. Toxicol. Chem. 1993, 12, 453–464. [Google Scholar] [CrossRef]
- Teske, M.E.; Bird, S.L.; Esterly, D.M.; Curbishley, T.B.; Ray, S.L.; Perry, S.G. Agdrift (R): A Model for Estimating Neear-Field Spray Drift from Aerial Applications. Environ. Toxicol. Chem. 2002, 21, 659–671. [Google Scholar] [CrossRef] [PubMed]
- Hewitt, A.J.; Johnson, D.R.; Fish, J.D.; Hermansky, C.G.; Valcore, D.L. Development of the Spray Drift Task Force Database for Aerial Applications. Environ. Toxicol. Chem. 2002, 21, 648–658. [Google Scholar] [CrossRef] [PubMed]
- Anderson, J.D. Fundamentals of Aerodynamics, 5th ed.; Anderson Series; McGraw-Hill: New York, NY, USA, 2011. [Google Scholar]
- Donaldson, C.; Bilanin, A.J. Vortex Wakes of Conventional Aircraft. Advis. Group Aerosp. Res. Dev. Neuilly-Sur-Seine. 1975, No. 204. Available online: https://apps.dtic.mil/sti/pdfs/ADA011605.pdf (accessed on 1 January 2022).
- Zhang, B.; Tang, Q.; Chen, L.-P.; Xu, M. Numerical simulation of wake vortices of crop spraying aircraft close to the ground. Biosyst. Eng. 2016, 145, 52–64. [Google Scholar] [CrossRef]
- Duponcheel, M. Direct and Large-Eddy Simulation of Turbulent Wall-Bounded Flows: Further Development of a Parallel Solver, Improvement of Multiscale Subgrid Models and Investigation of Vortex Pairs in Ground Effect; Université Catholique de Louvain: Louvain-la-Neuve, Belgium, 2009. [Google Scholar]
- Kilroy, B. Spray Block Marking: Field Comments; No. 9434; US Department of Agriculture, Forest Service, Technology & Development Program: Missoula, MT, USA, 1994.
- Ryan, S.D.; Gerber, A.G.; Holloway, A.G.L. A Computational Study on Spray Dispersal in the Wake of an Aircraft. Trans. Asabe 2013, 56, 847–868. [Google Scholar]
- Seredyn, T.; Dziubiński, A.; Jaśkowski, P. CFD analysis of the fluid particles distribution by means of aviation technique. Pr. Inst. Lotnictwa 2018, 2018, 67–97. [Google Scholar] [CrossRef] [Green Version]
- Zhang, B.; Tang, Q.; Chen, L.-P.; Zhang, R.-R.; Xu, M. Numerical simulation of spray drift and deposition from a crop spraying aircraft using a CFD approach. Biosyst. Eng. 2018, 166, 184–199. [Google Scholar] [CrossRef]
- Hill, D.S. Pests of Crops in Warmer Climates and Their Control; Springer Science & Business Media: Berlin/Heidelberg, Germany, 2008. [Google Scholar]
- Mickle, R.E. Influence of aircraft vortices on spray cloud behavior. J. Am. Mosq. Control. Assoc.-Mosq. News 1996, 12, 372–379. [Google Scholar]
- Oeseburg, F.; Van Leeuwen, D. Dispersion of aerial agricultural sprays; model and validation. Agric. For. Meteorol. 1991, 53, 223–255. [Google Scholar] [CrossRef]
- Hiscox, A.L.; Miller, D.R.; Nappo, C.J.; Ross, J. Dispersion of Fine Spray from Aerial Applications in Stable Atmospheric Conditions. Trans. ASABE 2006, 49, 1513–1520. [Google Scholar] [CrossRef]
- Lifanov, I.K. Singular Integral Equations and Discrete Vortices; Vsp: Rancho Cordova, CA, USA, 1996. [Google Scholar]
- Milne-Thomson, L.M. Theoretical Aerodynamics, 4th ed.; Dover Publications: New York, NY, USA, 1973. [Google Scholar]
- Gerz, T.; Holzapfel, F. Wing-tip vortices, turbulence, and the distribution of emissions. AIAA J. 1999, 37, 1270–1276. [Google Scholar] [CrossRef] [Green Version]
- Perez-De-Tejada, H. Vortex Structures in Fluid Dynamic Problems; BoD-Books on Demand: Norderstedt, Germany, 2017. [Google Scholar]
- Greene, G.C. An approximate model of vortex decay in the atmosphere. J. Aircr. 1986, 23, 566–573. [Google Scholar] [CrossRef]
- Cheng, N.-S. Comparison of formulas for drag coefficient and settling velocity of spherical particles. Powder Technol. 2009, 189, 395–398. [Google Scholar] [CrossRef]
- Reynolds, D.A. Gaussian mixture models. Encycl. Biom. 2009, 741, 659–663. [Google Scholar]
- Zheng, Z.C.; Ash, R.L. Study of aircraft wake vortex behavior near the ground. AIAA J. 1996, 34, 580–589. [Google Scholar] [CrossRef]
- De Visscher, I.; Lonfils, T.; Winckelmans, G. Fast-Time Modeling of Ground Effects on Wake Vortex Transport and Decay. J. Aircr. 2013, 50, 1514–1525. [Google Scholar] [CrossRef]
- Robins, R.E.; Delisi, D.P. NWRA AVOSS Wake Vortex Prediction Algorithm Version 3.1.1, NASA/CR-2002-211746, 2002, and NWRA-CR-00-R229A. Available online: https://ntrs.nasa.gov/api/citations/20020060722/downloads/20020060722.pdf (accessed on 1 January 2022).
- Saffman, P.G. The approach of a vortex pair to a plane surface in inviscid fluid. J. Fluid Mech. 1979, 92, 497–503. [Google Scholar] [CrossRef] [Green Version]
- Kaimal, J.C.; Finnigan, J.J. Atmospheric Boundary Layer Flows: Their Structure and Measurement; Oxford University Press: New York, NY, USA, 1994. [Google Scholar]
- Liu, Q. Experimental Study on the Distribution Regularity of Thrush 510G Large Fixed-Wing Aircraft on Soybean Plants; South China Agricultural University: Guangzhou, China, 2017. [Google Scholar]

























| Parameter | Gross Weight | Wingspan | Flight Altitude | Release Height | Flight Speed | Air Density | Wind |
|---|---|---|---|---|---|---|---|
| Value | 4367 kg | 14.47 m | 5 m | 4.7 m | 55 m/s | 1.29 kg/m3 | 4 m/s |
| Description | Distance between Primary and Secondary Vortex | Initial Rotation Angle from Primary Vortex | Initial Ratio between Secondary and Primary Circulation | z Ground Effect Factor |
|---|---|---|---|---|
| Symbol | b1 | θ | γ | ZGEFAC |
| Value | 0.17b0 | π/10 | 0.64 | 0.6 |
Publisher’s Note: MDPI stays neutral with regard to jurisdictional claims in published maps and institutional affiliations. |
© 2022 by the authors. Licensee MDPI, Basel, Switzerland. This article is an open access article distributed under the terms and conditions of the Creative Commons Attribution (CC BY) license (https://creativecommons.org/licenses/by/4.0/).
Share and Cite
King, J.; Xue, X.; Yao, W.; Jin, Z. A Fast Analysis of Pesticide Spray Dispersion by an Agricultural Aircraft Very near the Ground. Agriculture 2022, 12, 433. https://doi.org/10.3390/agriculture12030433
King J, Xue X, Yao W, Jin Z. A Fast Analysis of Pesticide Spray Dispersion by an Agricultural Aircraft Very near the Ground. Agriculture. 2022; 12(3):433. https://doi.org/10.3390/agriculture12030433
Chicago/Turabian StyleKing, Ji, Xinyu Xue, Weixiang Yao, and Zhen Jin. 2022. "A Fast Analysis of Pesticide Spray Dispersion by an Agricultural Aircraft Very near the Ground" Agriculture 12, no. 3: 433. https://doi.org/10.3390/agriculture12030433
APA StyleKing, J., Xue, X., Yao, W., & Jin, Z. (2022). A Fast Analysis of Pesticide Spray Dispersion by an Agricultural Aircraft Very near the Ground. Agriculture, 12(3), 433. https://doi.org/10.3390/agriculture12030433

