Evaluating the Waterlogging Tolerance of Wheat Cultivars during the Early Growth Stage Using the Comprehensive Evaluation Value and Digital Image Analysis
Abstract
:1. Introduction
2. Materials and Methods
2.1. Growth Conditions
2.2. Experimental Design
2.3. Measurements of Agronomic Traits
2.4. Image Acquisition and Analysis
2.5. Calculation of the Comprehensive Evaluation Value of Waterlogging Tolerance (CEVW)
2.6. Statistical Analyses
3. Results
3.1. Effects of Waterlogging on Agronomic Traits
3.2. Relationships among Agronomic Traits
3.3. Identification of Waterlogging Tolerance among Cultivars Using CEVW
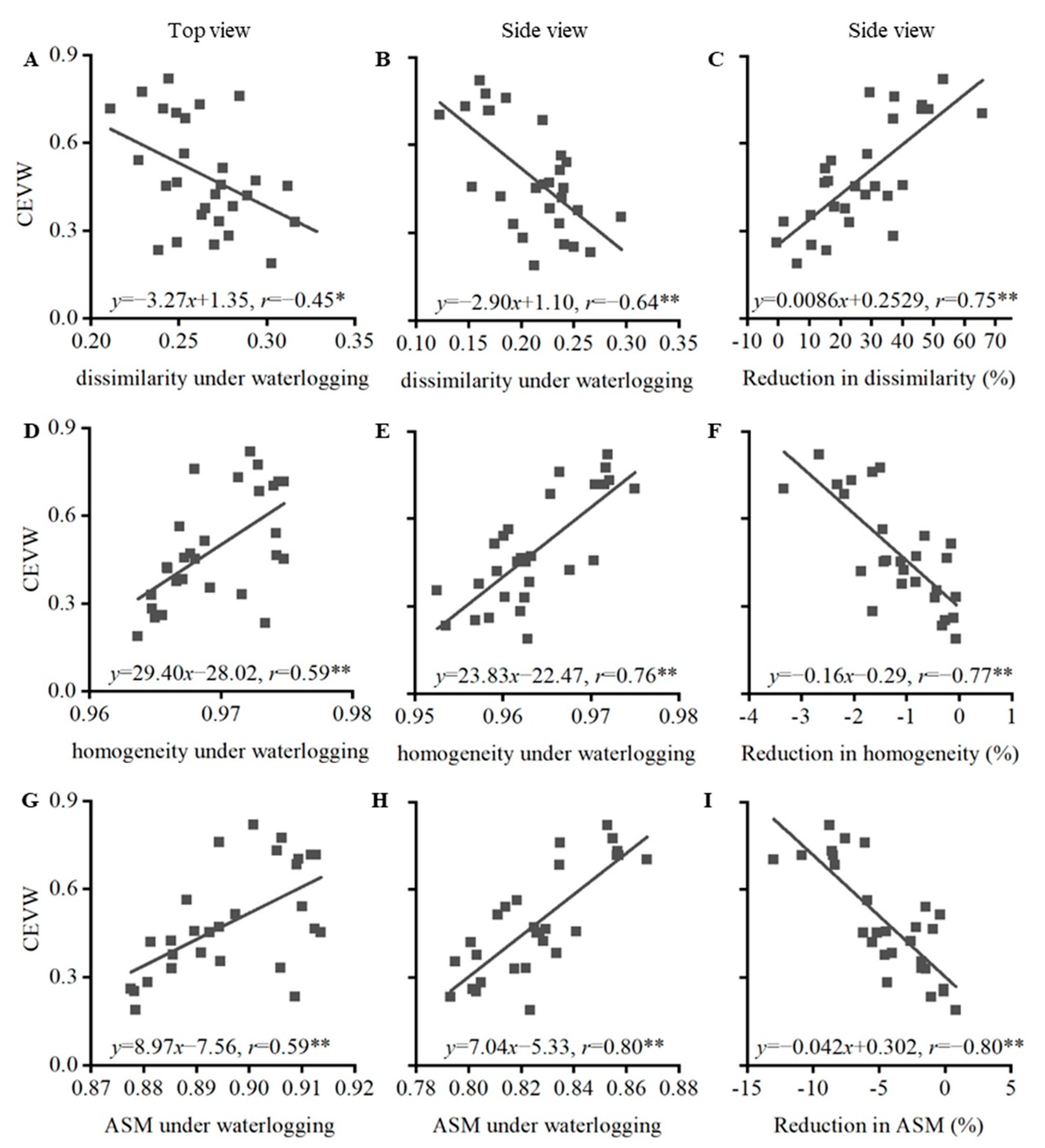
3.4. Relationships of Agronomic Traits and Their Reductions with CEVW
3.5. Correlations of Selected Phenotypic Features with Agronomic Traits
3.6. Evaluation of Waterlogging Tolerance Using Selected Phenotypic Features and Their Percentage Reduction
4. Discussions
5. Conclusions
Author Contributions
Funding
Institutional Review Board Statement
Informed Consent Statement
Conflicts of Interest
References
- Food and Agriculture Organization [FAO]. Food and Agriculture Organization of the United Nations. 2015. Available online: https://www.fao.org/3/i5056e/i5056e.pdf (accessed on 15 October 2016).
- Ding, J.; Liang, P.; Wu, P.; Zhu, M.; Li, C.; Zhu, X.; Gao, D.; Chen, Y.; Guo, W. Effects of waterlogging on grain yield and associated traits of historic wheat cultivars in the middle and lower reaches of the Yangtze River, China. Field Crops Res. 2020, 246, 107695. [Google Scholar] [CrossRef]
- Yaduvanshi, N.P.S.; Setter, T.L.; Sharma, S.K.; Singh, K.N.; Kulshreshtha, N. Influence of waterlogging on yield of wheat (Triticum aestivum), redox potentials, and concentrations of microelements in different soils in India and Australia. Soil Res. 2012, 50, 489–499. [Google Scholar] [CrossRef]
- Hossain, A.; Araki, H.; Takahashi, T. Poor grain filling induced by waterlogging is similar to that in abnormal early ripening in wheat in Western Japan. Field Crops Res. 2011, 123, 100–108. [Google Scholar] [CrossRef]
- Liu, C.; Allan, R. Observed and simulated precipitation responses in wet and dry regions 1850–2100. Environ. Res. Lett. 2013, 8, 034002. [Google Scholar] [CrossRef]
- De San Celedonio, R.P.; Abeledo, L.G.; Brihet, J.M.; Miralles, D.J. Waterlogging affects leaf and tillering dynamics in wheat and barley. J. Agron. Crop Sci. 2016, 202, 409–420. [Google Scholar] [CrossRef]
- De San Celedonio, R.P.; Abeledo, L.G.; Miralles, D.J. Physiological traits associated with reductions in grain number in wheat and barley under waterlogging. Plant Soil 2018, 429, 469–481. [Google Scholar] [CrossRef]
- Pampana, S.; Masoni, A.; Arduini, I. Grain yield of durum wheat as affected by waterlogging at tillering. Cereal Res. Commun. 2016, 44, 706–716. [Google Scholar] [CrossRef] [Green Version]
- Malik, A.I.; Colmer, T.D.; Lambers, H.; Setter, T.L.; Schortemeyer, M. Short-term waterlogging has long-term effects on the growth and physiology of wheat. New Phytol. 2002, 153, 225–236. [Google Scholar] [CrossRef]
- Shao, G.C.; Lan, J.J.; Yu, S.E.; Liu, N.; Guo, R.Q.; She, D.L. Photosynthesis and growth of winter wheat in response to waterlogging at different growth stages. Photosynthetica 2013, 51, 429–437. [Google Scholar] [CrossRef]
- Araki, H.; Hamada, A.; Hossain, M.A.; Takahashi, T. Waterlogging at jointing and/or after anthesis in wheat induces early leaf senescence and impairs grain filling. Field Crops Res. 2012, 137, 27–36. [Google Scholar] [CrossRef]
- Tan, W.; Liu, J.; Dai, T.; Jing, Q.; Cao, W.; Jiang, D. Alterations in photosynthesis and antioxidant enzyme activity in winter wheat subjected to post-anthesis water-logging. Photosynthetica 2008, 46, 21–27. [Google Scholar] [CrossRef]
- Li, H.; Cai, J.; Liu, F.; Jiang, D.; Dai, T.; Cao, W. Generation and scavenging of reactive oxygen species in wheat flag leaves under combined shading and waterlogging stress. Funct. Plant Biol. 2012, 39, 71–81. [Google Scholar] [CrossRef] [PubMed]
- Ding, J.; Huang, Z.; Zhu, M.; Li, C.; Zhu, X.; Guo, W. Does cyclic water stress damage wheat yield more than a single stress? PLoS ONE 2018, 13, e0195535. [Google Scholar] [CrossRef] [Green Version]
- Brisson, N.; Rebière, B.; Zimmer, D.; Renault, P. Response of the root system of a winter wheat crop to waterlogging. Plant Soil 2002, 243, 43–55. [Google Scholar] [CrossRef]
- Arguello, M.N.; Mason, R.E.; Roberts, T.L.; Subramanian, N.; Acuña, A.; Addison, C.K.; Lozada, D.N.; Miller, R.G.; Gbur, E. Performance of soft red winter wheat subjected to field soil waterlogging: Grain yield and yield components. Field Crops Res. 2016, 194, 57–64. [Google Scholar] [CrossRef] [Green Version]
- Manik, S.M.N.; Pengilley, G.; Dean, G.; Field, B.; Shabala, S.; Zhou, M. Soil and crop management practices to minimize the impact of waterlogging on crop productivity. Front. Plant Sci. 2019, 10, 140. [Google Scholar] [CrossRef] [Green Version]
- Herzog, M.; Striker, G.G.; Colmer, T.D.; Pedersen, O. Mechanisms of waterlogging tolerance in wheat—A review of root and shoot physiology. Plant Cell Environ. 2016, 39, 1068–1086. [Google Scholar] [CrossRef]
- Setter, T.L.; Waters, I.; Sharma, S.K.; Singh, K.N.; Kulshreshtha, N.; Yaduvanshi, N.P.S.; Ram, P.C.; Singh, B.N.; Rane, J.; Khabaz-Saberi, G.M.H.; et al. Review of wheat improvement for waterlogging tolerance in Australia and India: The importance of anaerobiosis and element toxicities associated with different soils. Ann. Bot. 2008, 103, 221–235. [Google Scholar] [CrossRef] [Green Version]
- Hossain, M.A.; Uddin, S.N. Mechanisms of waterlogging tolerance in wheat: Morphological and metabolic adaptations under hypoxia or anoxia. Aust. J. Crop Sci. 2011, 5, 1094. [Google Scholar] [CrossRef]
- Condon, A.G.; Giunta, F. Yield response of restricted-tillering wheat to transient waterlogging on duplex soils. Aust. J. Agric. Res. 2003, 54, 957–967. [Google Scholar] [CrossRef]
- Zhang, H.; Turner, N.C.; Poole, M.L.; Asseng, S. High ear number is key to achieving high wheat yields in the high-rainfall zone of south-western Australia. Aust. J. Agric. Res. 2007, 58, 21–27. [Google Scholar] [CrossRef]
- Singh, G.; Kumar, P.; Gupta, V.; Tyagi, B.S.; Singh, C.; Sharma, A.K.; Singh, G.P. Multivariate approach to identify and characterize bread wheat (Triticum aestivum) germplasm for waterlogging tolerance in India. Field Crops Res. 2018, 221, 81–89. [Google Scholar] [CrossRef]
- Li, B.; Xu, X.; Han, J.; Zhang, L.; Bian, C.; Jin, L.; Liu, J. The estimation of crop emergence in potatoes by UAV RGB imagery. Plant Methods 2019, 15, 15. [Google Scholar] [CrossRef] [Green Version]
- Lu, N.; Zhou, J.; Han, Z.; Li, D.; Cao, Q.; Yao, X.; Tian, Y.; Zhu, Y.; Cao, W.; Cheng, T. Improved estimation of aboveground biomass in wheat from RGB imagery and point cloud data acquired with a low-cost unmanned aerial vehicle system. Plant Methods 2019, 15, 17. [Google Scholar] [CrossRef] [Green Version]
- Ma, J.; Li, Y.; Chen, Y.; Du, K.; Zheng, F.; Zhang, L.; Sun, Z. Estimating above ground biomass of winter wheat at early growth stages using digital images and deep convolutional neural network. Eur. J. Agron. 2019, 103, 117–129. [Google Scholar] [CrossRef]
- Tavakoli, H.; Gebbers, R. Assessing nitrogen and water status of winter wheat using a digital camera. Comput. Electron. Agric. 2019, 157, 558–567. [Google Scholar] [CrossRef]
- Liu, T.; Wu, W.; Chen, W.; Sun, C.; Zhu, X.; Guo, W. Automated image-processing for counting seedlings in a wheat field. Precis. Agric. 2015, 17, 392–406. [Google Scholar] [CrossRef]
- Xiong, X.; Zhang, J.; Guo, D.; Chang, L.; Huang, D. Non-invasive sensing of nitrogen in plant using digital images and machine learning for Brassica Campestris ssp. Chinensis L. Sensors 2019, 19, 2448. [Google Scholar] [CrossRef] [Green Version]
- Hendrawan, Y.; Murase, H. Neural-Intelligent Water Drops algorithm to select relevant textural features for developing precision irrigation system using machine vision. Comput. Electron. Agric. 2011, 77, 214–228. [Google Scholar] [CrossRef]
- Liu, C.; Yang, Z.; Hu, Y.-G. Drought resistance of wheat alien chromosome addition lines evaluated by membership function value based on multiple traits and drought resistance index of grain yield. Field Crops Res. 2015, 179, 103–112. [Google Scholar] [CrossRef]
- Duan, W.X.; Zhang, H.Y.; Xie, B.T.; Wang, B.Q.; Zhang, L.M. Identification of salt tolerance and screening for its indicators in sweet potato varieties during seedling stage. Acta Crops Sin. 2018, 44, 1237–1247, (In Chinese with English Abstract). [Google Scholar] [CrossRef]
- Zadeh, L.A. Fuzzy sets. Inform. Control 1965, 8, 338–353. [Google Scholar] [CrossRef] [Green Version]
- Robertson, D.; Zhang, H.; Palta, J.A.; Colmer, T.; Turner, N. Waterlogging affects the growth, development of tillers, and yield of wheat through a severe, but transient, N deficiency. Crop Pasture Sci. 2009, 60, 578–586. [Google Scholar] [CrossRef]
- Haque, E.; Oyanagi, A.; Kawaguchi, K. Aerenchyma formation in the seminal roots of japanese wheat cultivars in relation to growth under waterlogged conditions. Plant Prod. Sci. 2012, 15, 164–173. [Google Scholar] [CrossRef] [Green Version]
- Malik, A.I.; Colmer, T.D.; Lambers, H.; Schortemeyer, M. Changes in physiological and morphological traits of roots and shoots of wheat in response to different depths of waterlogging. Aust. J. Plant Biol. 2001, 28, 1121–1131. [Google Scholar] [CrossRef]
- Dickin, E.; Bennett, S.; Wright, D. Growth and yield responses of UK wheat cultivars to winter waterlogging. J. Agric. Sci. 2009, 147, 127–140. [Google Scholar] [CrossRef]
- Wu, X.; Tang, Y.; Li, C.; Wu, C.; Huang, G. Chlorophyll fluorescence and yield responses of winter wheat to waterlogging at different growth stages. Plant Prod. Sci. 2015, 18, 284–294. [Google Scholar] [CrossRef] [Green Version]
- Ding, J.; Liang, P.; Wu, P.; Zhu, M.; Li, C.; Zhu, X.; Guo, W. Identifying the critical stage near anthesis for waterlogging on wheat yield and its components in the Yangtze River Basin, China. Agronomy 2020, 10, 130. [Google Scholar] [CrossRef] [Green Version]
- Hayashi, T.; Yoshida, T.; Fujii, K.; Mitsuya, S.; Tsuji, T.; Okada, Y.; Hayashi, E.; Yamauchi, A. Maintained root length density contributes to the waterlogging tolerance in common wheat (Triticum aestivum L.). Field Crops Res. 2013, 152, 27–35. [Google Scholar] [CrossRef]
- Ebrahimi-Mollabashi, E.; Huth, N.I.; Holzwoth, D.P.; Ordóñez, R.A.; Hatfield, J.L.; Huber, I.; Castellano, M.J.; Archontoulis, S.V. Enhancing APSIM to simulate excessive moisture effects on root growth. Field Crops Res. 2019, 236, 58–67. [Google Scholar] [CrossRef]
- Hodgkinson, L.; Dodd, I.C.; Binley, A.; Ashton, R.; White, R.; Watts, C.; Whalley, W. Root growth in field-grown winter wheat: Some effects of soil conditions, season and genotype. Eur. J. Agron. 2017, 91, 74–83. [Google Scholar] [CrossRef] [PubMed]
- Chakraborty, D.; Nagarajan, S.; Aggarwal, P.; Gupta, V.K.; Tomar, R.K.; Garg, R.N.; Sahoo, R.N.; Sarkar, A.; Chopra, U.K.; Sundara Sarma, K.S.; et al. Effect of mulching on soil and plant water status, and the growth and yield of wheat (Triticum aestivum L.) in a semi-arid environment. Agric. Water Manag. 2008, 95, 1323–1334. [Google Scholar] [CrossRef]
- Setter, T.L.; Waters, I. Review of prospects for germplasm improvement for waterlogging tolerance in wheat, barley and oats. Plant Soil 2003, 253, 1–34. [Google Scholar] [CrossRef]
- Peng, Z.; Li, L.; Liu, Y.P.; Liu, H.; Jing, R.L. Evaluation of salinity tolerance in wheat (Triticum aestium) genotypes at germination and seedling stages. J. Plant Gene Res. 2017, 18, 638–645, (In Chinese with English Abstract). [Google Scholar]
- Zhang, H.-Y.; Xie, B.-T.; Wang, B.-Q.; Dong, S.-X.; Duan, W.-X.; Zhang, L.-M. Evaluation of drought tolerance and screening for drought-tolerant indicators in sweetpotato cultivars. Acta Agron. Sin. 2019, 45, 419–430, (In Chinese with English Abstract). [Google Scholar] [CrossRef]
- Do Amaral, E.S.; Silva, D.V.; Dos Anjos, L.; Schilling, A.C.; Dalmolin, Â.C.; Mielke, M.S. Relationships between reflectance and absorbance chlorophyll indices with RGB (red, green, blue) image components in seedlings of tropical tree species at nursery stage. New For. 2019, 50, 377–388. [Google Scholar] [CrossRef]
- Baresel, J.P.; Rischbeck, P.; Hu, Y.; Kipp, S.; Barmeier, G.; Mistele, B.; Schmidhalter, U. Use of a digital camera as alternative method for non-destructive detection of the leaf chlorophyll content and the nitrogen nutrition status in wheat. Comput. Electron. Agric. 2017, 140, 25–33. [Google Scholar] [CrossRef]
- Lee, K.-J.; Lee, B.-W. Estimation of rice growth and nitrogen nutrition status using color digital camera image analysis. Eur. J. Agron. 2013, 48, 57–65. [Google Scholar] [CrossRef]
- Pydipati, R.; Burks, T.; Lee, W. Identification of citrus disease using color texture features and discriminant analysis. Comput. Electron. Agric. 2006, 52, 49–59. [Google Scholar] [CrossRef]




| Category | Trait Name | Description |
|---|---|---|
| Color features | H | Hue value in HSV (hue, saturation, value) color space |
| b | b value of B channel in LAB (luminosity, the range from magenta to green, and the range from yellow to blue) color spaces | |
| 2G-R-B | 2G-R-B value in the RGB (red, green, blue) color space | |
| Texture features | dissimilarity | The difference in the grey scale |
| homogeneity | The local changes in the image texture | |
| ASM | Angular second moment |
| Source | Dry Weight | Plant Height | Leaf Number on Main Stem | Culm Number | Leaf Area | SPAD Reading |
|---|---|---|---|---|---|---|
| Water treatment (T) | <0.001 | <0.001 | <0.001 | <0.001 | <0.001 | <0.001 |
| Cultivar (C) | <0.001 | <0.001 | <0.001 | <0.001 | <0.001 | <0.001 |
| T × C | 0.007 | 0.006 | 0.037 | 0.470 | <0.001 | <0.001 |
| Treatment | Dry Weight (mg Plant−1) | Plant Height (cm) | Leaf Number on Main Stem | Culm Number | Leaf Area (cm2 Plant−1) | SPAD Reading |
|---|---|---|---|---|---|---|
| Control | 175 ± 15 (144–202) | 20.9 ± 1.9 (17.8–24.5) | 4.6 ± 0.2 (4.0–4.9) | 3.6 ± 0.3 (2.7–4.1) | 20.4 ± 2.1 (16.6–23.6) | 41.9 ± 4.1 (35.1–47.4) |
| Waterlogging | 151 ± 18 (122–193) | 18.5 ± 1.8 (15.6–20.9) | 4.3 ± 0.2 (3.8–4.7) | 3.1 ± 0.4 (2.3–3.8) | 17.6 ± 2.2 (14.7–22.3) | 35.5 ± 1.9 (31.2–38.4) |
| Reduction (%) | 13.8 ± 8.0 (0.0–28.0) | 11.0 ± 4.7 (1.1–19.5) | 5.7 ± 2.5 (0.0–11.4) | 12.5 ± 8.5 (0.0–37.8) | 13.6 ± 7.3 (2.3–28.2) | 14.8 ± 7.1 (4.7–24.2) |
| Percentage Reduction | Percentage Reduction | ||||
|---|---|---|---|---|---|
| PH | LN | CN | LA | SPAD Reading | |
| Dry weight | 0.54 ** | 0.19 | 0.62 ** | 0.74 ** | 0.39 * |
| Plant height (PH) | 0.16 | 0.13 | 0.66 ** | 0.08 | |
| Leaf number on main stem (LN) | −0.19 | 0.41 * | −0.08 | ||
| Culm number (CN) | 0.36 | 0.67 ** | |||
| Leaf area (LA) | 0.21 | ||||
| Parameters | Percentage Reduction | Component | |
|---|---|---|---|
| X1 | X2 | ||
| Component Matrix | Dry weight | 0.708 | 0.572 |
| Plant height | 0.778 | 0.099 | |
| Leaf number on main stem | 0.628 | −0.377 | |
| Culm number | 0.144 | 0.919 | |
| Leaf area | 0.898 | 0.250 | |
| SPAD reading | 0.029 | 0.837 | |
| Contribution rate | 38.838 | 34.780 | |
| Weight | 0.528 | 0.472 | |
| Cultivar | Component Score | MFVD | CEVW | Cultivar | Component Score | MFVD | CEVW | ||||
|---|---|---|---|---|---|---|---|---|---|---|---|
| X1 | X2 | u(X1) | u(X2) | X1 | X2 | u(X1) | u(X2) | ||||
| Huaimai6 | −1.691 | −0.466 | 0.053 | 0.336 | 0.187 | Sumai11 | −0.733 | 0.651 | 0.316 | 0.612 | 0.456 |
| Yangmai15 | −0.923 | −1.031 | 0.264 | 0.197 | 0.232 | Yangmai28 | −0.026 | −0.167 | 0.510 | 0.410 | 0.463 |
| Yangmai24 | −0.980 | −0.812 | 0.248 | 0.251 | 0.249 | Ningmai9 | −0.099 | −0.026 | 0.490 | 0.445 | 0.469 |
| Ningmai22 | −1.884 | 0.381 | 0.000 | 0.545 | 0.258 | Yangfumai4 | 0.295 | −0.147 | 0.599 | 0.415 | 0.512 |
| Yangmai13 | −1.545 | 0.161 | 0.093 | 0.491 | 0.281 | Yangmai20 | 1.176 | −1.006 | 0.841 | 0.203 | 0.539 |
| Ningmai13 | −0.626 | −0.583 | 0.346 | 0.307 | 0.328 | Yangfumai2 | 1.279 | −0.937 | 0.869 | 0.220 | 0.562 |
| Ningmai16 | −0.125 | −1.185 | 0.483 | 0.159 | 0.330 | zhengmai11 | 0.156 | 1.500 | 0.561 | 0.822 | 0.684 |
| Yangfumai5 | −0.303 | −0.770 | 0.434 | 0.261 | 0.353 | Yangfumai2054 | 0.595 | 1.108 | 0.681 | 0.725 | 0.702 |
| Yangmai16 | 0.569 | −1.665 | 0.674 | 0.040 | 0.374 | Yangmai22 | 1.756 | −0.222 | 1.000 | 0.396 | 0.715 |
| Yangmai23 | 0.751 | −1.827 | 0.724 | 0.000 | 0.382 | Yangfumai1025 | 0.974 | 0.753 | 0.785 | 0.637 | 0.715 |
| Ningmai23 | −0.771 | 0.368 | 0.306 | 0.542 | 0.417 | Yangmai21 | 1.211 | 0.585 | 0.850 | 0.596 | 0.730 |
| Ningmai26 | −1.180 | 0.921 | 0.193 | 0.679 | 0.423 | Huaimai7 | 1.339 | 0.680 | 0.886 | 0.619 | 0.760 |
| Zhenmai9 | 0.335 | −0.715 | 0.609 | 0.275 | 0.451 | Ningmai21 | 0.786 | 1.479 | 0.734 | 0.817 | 0.773 |
| shengxuan6 | −0.842 | 0.751 | 0.286 | 0.637 | 0.452 | Yangmai25 | 0.505 | 2.222 | 0.656 | 1.000 | 0.819 |
| Water Treatment | Phenotypic Feature | Dry Weight | Plant Height | Leaf Number on Main Stem | Culm Number | Leaf Area | SPAD Reading |
|---|---|---|---|---|---|---|---|
| Control | H | −0.11 | −0.43 * | 0.33 | 0.02 | −0.52 ** | 0.78 ** |
| b | −0.15 | 0.42 * | −0.63 ** | −0.38* | 0.37 | −0.65 ** | |
| 2G-R-B | −0.07 | 0.43 * | −0.47 * | −0.24 | 0.35 | −0.72 ** | |
| Dissimilarity | 0.24 | −0.07 | 0.03 | 0.17 | 0.04 | −0.07 | |
| Homogeneity | −0.35 | −0.10 | −0.11 | −0.34 | −0.32 | 0.33 | |
| ASM | −0.33 | −0.21 | −0.01 | −0.27 | −0.41 * | 0.44 * | |
| Waterlogging | H | −0.48 ** | −0.42 * | 0.21 | −0.34 | −0.68 ** | 0.42 * |
| b | −0.04 | 0.37 | −0.50 ** | −0.19 | 0.29 | −0.57 ** | |
| 2G-R-B | −0.25 | 0.30 | −0.44 * | −0.32 | 0.07 | −0.50 ** | |
| Dissimilarity | 0.33 | −0.31 | 0.64 ** | 0.54 ** | −0.17 | 0.50 ** | |
| Homogeneity | −0.71 ** | −0.01 | −0.58 ** | −0.61 ** | −0.25 | −0.44 * | |
| ASM | −0.78 ** | −0.13 | −0.50 ** | −0.55 ** | −0.35 | −0.37 |
| Water Treatment | Phenotypic Feature | Dry Weight | Plant Height | Leaf Number on Main Stem | Culm Number | Leaf Area | SPAD Reading |
|---|---|---|---|---|---|---|---|
| Control | H | −0.06 | 0.36 | −0.29 | −0.42 * | 0.13 | 0.32 |
| b | 0.32 | 0.42 * | −0.14 | 0.12 | 0.35 | −0.45 * | |
| 2G-R-B | 0.28 | 0.16 | 0.04 | −0.11 | −0.02 | 0.32 | |
| Dissimilarity | 0.42 * | 0.40 * | −0.24 | −0.36 | 0.33 | 0.06 | |
| Homogeneity | −0.51 ** | −0.40 * | 0.16 | 0.30 | −0.38 * | −0.19 | |
| ASM | −0.55 ** | −0.38 * | 0.13 | 0.28 | −0.45 * | −0.18 | |
| Waterlogging | H | −0.26 | −0.26 | 0.22 | −0.01 | −0.38 | 0.34 |
| b | 0.31 | 0.28 | −0.06 | −0.09 | 0.36 | −0.08 | |
| 2G-R-B | 0.23 | 0.33 | −0.19 | −0.15 | 0.34 | −0.19 | |
| Dissimilarity | 0.51 ** | 0.52 ** | −0.18 | 0.59 ** | 0.59 ** | −0.20 | |
| Homogeneity | −0.62 ** | −0.46 * | 0.03 | −0.66 ** | −0.64 ** | 0.10 | |
| ASM | −0.77 ** | −0.43 * | −0.13 | −0.64 ** | −0.68 ** | −0.04 |
| Phenotypic Features | R2 | p Value | RMSE | NRMSE (%) | |
|---|---|---|---|---|---|
| Top View | Dissimilarity | 0.202 | 0.017 | 0.163 | 33.63 |
| Homogeneity | 0.345 | 0.001 | 0.148 | 30.59 | |
| ASM | 0.346 | 0.001 | 0.148 | 30.71 | |
| Side view | Dissimilarity | 0.408 | <0.001 | 0.141 | 28.87 |
| Homogeneity | 0.573 | <0.001 | 0.120 | 24.28 | |
| ASM | 0.632 | <0.001 | 0.111 | 22.78 | |
| Percentage reduction | Dissimilarity | 0.558 | <0.001 | 0.121 | 25.00 |
| Homogeneity | 0.585 | <0.001 | 0.118 | 24.22 | |
| ASM | 0.643 | <0.001 | 0.109 | 22.45 | |
Publisher’s Note: MDPI stays neutral with regard to jurisdictional claims in published maps and institutional affiliations. |
© 2022 by the authors. Licensee MDPI, Basel, Switzerland. This article is an open access article distributed under the terms and conditions of the Creative Commons Attribution (CC BY) license (https://creativecommons.org/licenses/by/4.0/).
Share and Cite
Jiang, X.; Mao, D.; Zhu, M.; Wang, X.; Li, C.; Zhu, X.; Guo, W.; Ding, J. Evaluating the Waterlogging Tolerance of Wheat Cultivars during the Early Growth Stage Using the Comprehensive Evaluation Value and Digital Image Analysis. Agriculture 2022, 12, 384. https://doi.org/10.3390/agriculture12030384
Jiang X, Mao D, Zhu M, Wang X, Li C, Zhu X, Guo W, Ding J. Evaluating the Waterlogging Tolerance of Wheat Cultivars during the Early Growth Stage Using the Comprehensive Evaluation Value and Digital Image Analysis. Agriculture. 2022; 12(3):384. https://doi.org/10.3390/agriculture12030384
Chicago/Turabian StyleJiang, Xiaoyi, Dandong Mao, Min Zhu, Xingchun Wang, Chunyan Li, Xinkai Zhu, Wenshan Guo, and Jinfeng Ding. 2022. "Evaluating the Waterlogging Tolerance of Wheat Cultivars during the Early Growth Stage Using the Comprehensive Evaluation Value and Digital Image Analysis" Agriculture 12, no. 3: 384. https://doi.org/10.3390/agriculture12030384
APA StyleJiang, X., Mao, D., Zhu, M., Wang, X., Li, C., Zhu, X., Guo, W., & Ding, J. (2022). Evaluating the Waterlogging Tolerance of Wheat Cultivars during the Early Growth Stage Using the Comprehensive Evaluation Value and Digital Image Analysis. Agriculture, 12(3), 384. https://doi.org/10.3390/agriculture12030384

