Machine Learning Approach to Predict Air Temperature and Relative Humidity inside Mechanically and Naturally Ventilated Duck Houses: Application of Recurrent Neural Network
Abstract
:1. Introduction
2. Materials and Methods
2.1. Experimental Duck Houses
2.2. Recurrent Neural Network
2.3. Experimental Procedure
2.3.1. Data Collection of Internal and External Environments of Duck Houses
2.3.2. Design of RNN Model of Duck House
2.3.3. Validation of RNN Model
2.3.4. Comparison of Accuracy of RNN Models
3. Results and Discussion
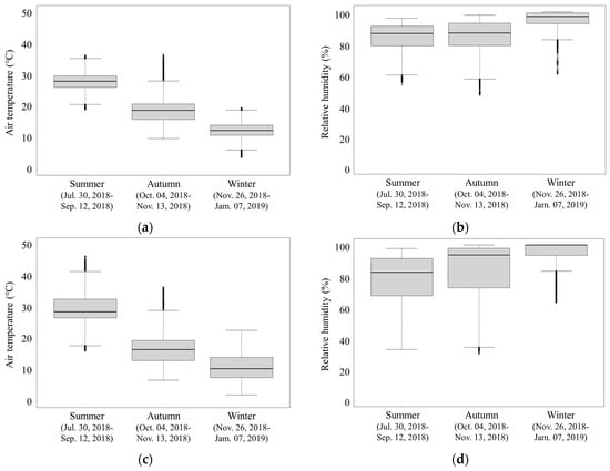
3.1. Analysis of Internal Environment of Experimental Duck Houses
3.2. Validation of Duck House RNN Model
3.3. Analysis of Accuracy of RNN Model according to Seasons and Applicability of Simplified RNN Model
4. Conclusions
Author Contributions
Funding
Institutional Review Board Statement
Informed Consent Statement
Data Availability Statement
Acknowledgments
Conflicts of Interest
References
- Ministry of Agriculture Food and Rural Affairs. 2020. Available online: https://www.mafra.go.kr (accessed on 1 February 2022).
- Rural Development Administration. Development of Next-Generation Korean Smart Farm; Rural Development Administration: Jeon-ju, Korean, 2019.
- Statistics Korea. 2015. Available online: www.kostat.go.kr (accessed on 1 February 2022).
- National Institute of Animal Science of Korea. Investigation and Improvement of Duck Houses; National Institute of Animal Science of Korea: Jeon-ju, Korean, 2014.
- Costantino, A.; Fabrizio, E.; Ghiggini, A.; Bariani, M. Climate control in broiler houses: A thermal model for the calculation of the energy use and indoor environmental conditions. Energy Build. 2018, 169, 110–126. [Google Scholar] [CrossRef]
- Fabrizio, E.; Costantino, A.; Comba, L. A calculation model for the energy performance assessment of fattening pig houses. In Proceedings of the 4th International Conference on Building Energy, Environment, Melbourne, Australia, 5–9 February 2018; pp. 769–774. [Google Scholar]
- Ha, T.; Kwon, K.-s.; Hong, S.-W.; Choi, H.-c.; Lee, J.-y.; Lee, D.-h.; Woo, S.; Yang, K.-y.; Kim, R.-w.; Yeo, U.-h. Estimation of THI index to evaluate thermal stress of animal-occupied zone in a broiler house using BES method. J. Korean Soc. Agric. Eng. 2018, 60, 75–84. [Google Scholar]
- Ha, T.; Kwon, K.-s.; Lee, I.-b.; Kim, R.-w.; Yeo, U.-h.; Lee, S.; Choi, H.-c.; Kim, J.-b.; Lee, J.-y.; Jeon, J.-h. Estimation of THI Index to Evaluate Thermal Stress of Piglets in Summer Season. J. Korean Soc. Agric. Eng. 2018, 60, 113–122. [Google Scholar]
- Kim, R.-w.; Kim, J.-g.; Lee, I.-b.; Yeo, U.-h.; Lee, S.-y. Development of a VR simulator for educating CFD-computed internal environment of piglet house. Biosyst. Eng. 2019, 188, 243–264. [Google Scholar] [CrossRef]
- Kwon, K.-s.; Ha, T.; Choi, H.-c.; Kim, J.-b.; Lee, J.-y.; Jeon, J.-h.; Yang, K.-y.; Kim, R.-w.; Yeo, U.-h.; Lee, S.-y. Evaluation of thermal stress of poultry according to stocking densities using mumerical BES model. J. Korea Acad.-Ind. Coop. Soc. 2019, 20, 456–463. [Google Scholar]
- Lee, S.-Y.; Lee, I.-B.; Kim, R.-W.; Yeo, U.-H.; Kim, J.-G.; Kwon, K.-S. Dynamic energy modelling for analysis of the thermal and hygroscopic environment in a mechanically ventilated duck house. Biosyst. Eng. 2020, 200, 431–449. [Google Scholar] [CrossRef]
- Rojano, F.; Bournet, P.-E.; Hassouna, M.; Robin, P.; Kacira, M.; Choi, C.Y. Modelling heat and mass transfer of a broiler house using computational fluid dynamics. Biosyst. Eng. 2015, 136, 25–38. [Google Scholar] [CrossRef]
- Schauberger, G.; Piringer, M.; Petz, E. Steady-state balance model to calculate the indoor climate of livestock buildings, demonstrated for finishing pigs. Int. J. Biometeorol. 2000, 43, 154–162. [Google Scholar] [CrossRef]
- Tong, X.; Hong, S.-W.; Zhao, L. CFD modelling of airflow pattern and thermal environment in a commercial manure-belt layer house with tunnel ventilation. Biosyst. Eng. 2019, 178, 275–293. [Google Scholar] [CrossRef]
- Yeo, U.-H.; Lee, I.-B.; Kim, R.-W.; Lee, S.-Y.; Kim, J.-G. Computational fluid dynamics evaluation of pig house ventilation systems for improving the internal rearing environment. Biosyst. Eng. 2019, 186, 259–278. [Google Scholar] [CrossRef]
- Mnih, V.; Kavukcuoglu, K.; Silver, D.; Rusu, A.A.; Veness, J.; Bellemare, M.G.; Graves, A.; Riedmiller, M.; Fidjeland, A.K.; Ostrovski, G.; et al. Human-level control through deep reinforcement learning. Nature 2015, 518, 529–533. [Google Scholar] [CrossRef] [PubMed]
- Silver, D.; Huang, A.; Maddison, C.J.; Guez, A.; Sifre, L.; Van Den Driessche, G.; Schrittwieser, J.; Antonoglou, I.; Panneershelvam, V.; Lanctot, M.; et al. Mastering the game of Go with deep neural networks and tree search. Nature 2016, 529, 484–489. [Google Scholar] [CrossRef] [PubMed]
- Demmers, T.G.; Cao, Y.; Gauss, S.; Lowe, J.C.; Parsons, D.J.; Wathes, C.M. Neural predictive control of broiler chicken and pig growth. Biosyst. Eng. 2018, 173, 134–142. [Google Scholar] [CrossRef] [Green Version]
- Li, H.; Cryer, S.; Acharya, L.; Raymond, J. Video and image classification using atomisation spray image patterns and deep learning. Biosyst. Eng. 2020, 200, 13–22. [Google Scholar] [CrossRef]
- Liu, D.; Oczak, M.; Maschat, K.; Baumgartner, J.; Pletzer, B.; He, D.; Norton, T. A computer vision-based method for spatial-temporal action recognition of tail-biting behaviour in group-housed pigs. Biosyst. Eng. 2020, 195, 27–41. [Google Scholar] [CrossRef]
- Moon, T.; Choi, H.Y.; Jung, D.H.; Chang, S.H.; Son, J.E. Prediction of CO2 Concentration via Long Short-Term Memory Using Environmental Factors in Greenhouses. Hortic. Sci. Technol. 2020, 38, 201–209. [Google Scholar]
- Wang, L.; Zhang, T.; Wang, X.; Jin, X.; Xu, J.; Yu, J.; Zhang, H.; Zhao, Z. An approach of improved Multivariate Timing-Random Deep Belief Net modelling for algal bloom prediction. Biosyst. Eng. 2019, 177, 130–138. [Google Scholar] [CrossRef]
- Hu, Q.; Zhang, R.; Zhou, Y. Transfer learning for short-term wind speed prediction with deep neural networks. Renew. Energy 2016, 85, 83–95. [Google Scholar] [CrossRef]
- Liu, Y.; Racah, E.; Correa, J.; Khosrowshahi, A.; Lavers, D.; Kunkel, K.; Wehner, M.; Collins, W. Application of Deep Convolutional Neural Networks for Detecting Extreme Weather in Climate Datasets. arXiv 2016, arXiv:1605.01156. Available online: https://arxiv.org/abs/1605.01156 (accessed on 1 February 2022).
- Rural Development Administration. Duck Agricultural Technology Guide 186; Rural Development Administration: Jeon-ju, Korea, 2014.
- Peng, Y.; Kondo, N.; Fujiura, T.; Suzuki, T.; Wulandari; Yoshioka, H.; Itoyama, E. Classification of multiple cattle behavior patterns using a recurrent neural network with long short-term memory and inertial measurement units. Comput. Electron. Agric. 2019, 157, 247–253. [Google Scholar] [CrossRef]
- Wu, D.; Wu, Q.; Yin, X.; Jiang, B.; Wang, H.; He, D.; Song, H. Lameness detection of dairy cows based on the YOLOv3 deep learning algorithm and a relative step size characteristic vector. Biosyst. Eng. 2020, 189, 150–163. [Google Scholar] [CrossRef]
- Zhao, K.; Jin, X.; Ji, J.; Wang, J.; Ma, H.; Zhu, X. Individual identification of Holstein dairy cows based on detecting and matching feature points in body images. Biosyst. Eng. 2019, 181, 128–139. [Google Scholar] [CrossRef]
- Borchers, M.; Chang, Y.; Proudfoot, K.; Wadsworth, B.; Stone, A.; Bewley, J. Machine-learning-based calving prediction from activity, lying, and ruminating behaviors in dairy cattle. J. Dairy Sci. 2017, 100, 5664–5674. [Google Scholar] [CrossRef] [PubMed]
- Keceli, A.S.; Catal, C.; Kaya, A.; Tekinerdogan, B. Development of a recurrent neural networks-based calving prediction model using activity and behavioral data. Comput. Electron. Agric. 2020, 170, 105285. [Google Scholar] [CrossRef]
- Peng, Y.; Kondo, N.; Fujiura, T.; Suzuki, T.; Ouma, S.; Wulandari; Yoshioka, H.; Itoyama, E. Dam behavior patterns in Japanese black beef cattle prior to calving: Automated detection using LSTM-RNN. Comput. Electron. Agric. 2020, 169, 105178. [Google Scholar] [CrossRef]
- Milone, D.H.; Galli, J.R.; Cangiano, C.A.; Rufiner, H.L.; Laca, E.A. Automatic recognition of ingestive sounds of cattle based on hidden Markov models. Comput. Electron. Agric. 2012, 87, 51–55. [Google Scholar] [CrossRef]
- Hochreiter, S.; Schmidhuber, J. Long short-term memory. Neural Comput. 1997, 9, 1735–1780. [Google Scholar] [CrossRef]
- Khaki, S.; Wang, L.; Archontoulis, S.V. A CNN-RNN framework for crop yield prediction. Front. Plant Sci. 2020, 10, 1750. [Google Scholar] [CrossRef]
- Pham, V.; Bluche, T.; Kermorvant, C.; Louradour, J. Dropout improves recurrent neural networks for handwriting recognition. In Proceedings of the 2014 14th International Conference on Frontiers in Handwriting Recognition, Crete, Greece, 1–4 September 2014; pp. 285–290. [Google Scholar]
- Sherstinsky, A. Fundamentals of recurrent neural network (RNN) and long short-term memory (LSTM) network. Phys. D Nonlinear Phenom. 2020, 404, 132306. [Google Scholar] [CrossRef] [Green Version]
- Cho, K.; Van Merriënboer, B.; Gulcehre, C.; Bahdanau, D.; Bougares, F.; Schwenk, H.; Bengio, Y. Learning Phrase Representations Using RNN Encoder-Decoder for Statistical Machine Translation. arXiv 2014, arXiv:1406.1078. Available online: https://arxiv.org/abs/1406.1078 (accessed on 1 February 2022).
- Chung, J.; Gulcehre, C.; Cho, K.; Bengio, Y. Empirical Evaluation of Gated Recurrent Neural Networks on Sequence Modeling. arXiv 2014, arXiv:1412.3555. Available online: https://arxiv.org/abs/1412.3555 (accessed on 1 February 2022).
- Moon, T.; Ahn, T.I.; Son, J.E. Forecasting root-zone electrical conductivity of nutrient solutions in closed-loop soilless cultures via a recurrent neural network using environmental and cultivation information. Front. Plant Sci. 2018, 9, 859. [Google Scholar] [CrossRef] [PubMed]
- Kaewtapee, C.; Prahkarnkaeo, K.; Bunchasak, C. Effect of sex on growth curve, production performance and carcass quality of Cherry Valley ducks. J. Appl. Anim. Res. 2018, 11, 9–18. [Google Scholar]
- Kingma, D.P.; Ba, J. Adam: A Method for Stochastic Optimization. arXiv 2014, arXiv:1412.6980. Available online: https://arxiv.org/abs/1412.6980 (accessed on 1 February 2022).
- Esfe, M.H.; Ahangar, M.R.H.; Rejvani, M.; Toghraie, D.; Hajmohammad, M.H. Designing an artificial neural network to predict dynamic viscosity of aqueous nanofluid of TiO2 using experimental data. Int. Commun. Heat Mass Transf. 2016, 75, 192–196. [Google Scholar] [CrossRef]
- Rumelhart, D.E.; Hinton, G.E.; Williams, R.J. Learning representations by back-propagating errors. Nature 1986, 323, 533–536. [Google Scholar] [CrossRef]
- Wang, F.; Xiang, X.; Liu, C.; Tran, T.D.; Reiter, A.; Hager, G.D.; Quon, H.; Cheng, J.; Yuille, A.L. Transferring Face Verification Nets to Pain and Expression Regression. arXiv 2017, arXiv:1702.06925. Available online: https://arxiv.org/abs/1702.06925 (accessed on 1 February 2022).
- Gharghory, S.M. Deep Network based on Long Short-Term Memory for Time Series Prediction of Microclimate Data inside the Greenhouse. Int. J. Comput. Intell. Appl. 2020, 19, 2050013. [Google Scholar] [CrossRef]
- Liu, H.; Yang, Y.; Wan, X.; Cui, J.; Zhang, F.; Cai, T. Prediction of soil moisture and temperature based on deep learning. In Proceedings of the 2021 IEEE International Conference on Artificial Intelligence and Computer Applications (ICAICA), Dalian, China, 28–30 June 2021; pp. 46–51. [Google Scholar]
- Srivastava, N.; Mansimov, E.; Salakhudinov, R. Unsupervised learning of video representations using LSTMs. In Proceedings of the International Conference on Machine Learning, Lille, France, 6–11 July 2015; pp. 843–852. [Google Scholar]
- Sutskever, I.; Vinyals, O.; Le, Q.V. Sequence to sequence learning with neural networks. In Proceedings of the Advances in Neural Information Processing Systems, Montreal, QC, Canada, 8–13 December 2014; pp. 3104–3112. [Google Scholar]
- Vinyals, O.; Bengio, S.; Kudlur, M. Order Matters: Sequence to Sequence for Sets. arXiv 2015, arXiv:1511.06391. Available online: https://arxiv.org/abs/1511.06391 (accessed on 1 February 2022).



Air temperature and relative humidity sensors.
Air temperature and relative humidity sensors.


| Contents | 1st Generation | 2nd Generation | 3rd Generation |
|---|---|---|---|
| Realization period | 2020 | 2025 | 2030 |
| Main objective | To improve convenience | To improve productivity | To improve sustainability |
| Main function | Remote environmental control | Precision environmental control | Automatic management of all related production |
| Main technique | Communication technique | Big data processing, artificial intelligence | Big data processing, artificial intelligence, robotics |
| Decision making | Human | Human and computer | Computer |
| Monitoring Period | Seasons | Growing Days | Starting Date of Monitoring | Date of Shipment | Total Dataset | Training Dataset | Test Dataset |
|---|---|---|---|---|---|---|---|
| 1st growing period | Summer | 45 days | 6 August 2018 | 12 September 2018 | 12,960 | 9072 | 3888 |
| 2nd growing period | Autumn | 41 days | 11 October 2018 | 13 November 2018 | 11,808 | 8266 | 3542 |
| 3rd growing period | Winter | 30 days | 9 December 2018 | 7 January 2019 | 8640 | 6048 | 2592 |
| Conditions | Conditions | Number of Cases | ||
|---|---|---|---|---|
| Learning data (Independent variables) | Mechanically ventilated duck house | Basic model | (1) External air temperature, external relative humidity, solar radiation, ventilation rates of duck house, and duck weight | 4 |
| Simplified model | (2) External air temperature, external relative humidity, and duck weight | |||
| Naturally ventilated duck house | Basic model | (3) External air temperature, external relative humidity, solar radiation, wind speed, wind direction, and duck weight | ||
| Simplified model | (4) External air temperature, external relative humidity, and duck weight | |||
| Dependent variable | Internal air temperature and internal relative humidity | 2 | ||
| Seasons | Summer (30 July 2018–12 September 2018), autumn (4 October 2018–13 November 2018), and winter (26 November 2018–7 January 2019) | 3 | ||
| Order of sequence | Sequential order and reverse order | 2 | ||
| Total | - | 48 | ||
| Air temperature according to seasons | Average air remperature (°C) | Standard deviation (°C) | Lowest air temperature (°C) | Highest air temperature (°C) | |
| Summer | MV | 27.4 | 2.9 | 19.0 | 35.2 |
| NV | 29.3 | 4.7 | 16.0 | 46.1 | |
| Outside | 26.6 | 4.7 | 13.2 | 39.1 | |
| Autumn | MV | 18.4 | 4.1 | 9.7 | 36.5 |
| NV | 16.5 | 4.6 | 6.7 | 36.2 | |
| Outside | 12.5 | 4.9 | 1.2 | 27.1 | |
| Winter | MV | 12.3 | 2.6 | 3.7 | 19.4 |
| NV | 10.9 | 4.3 | 2.0 | 22.5 | |
| Outside | 2.9 | 5.9 | −10.7 | 19.6 | |
| Relative humidity according to seasons | Average relative humidity (%) | Standard deviation (%) | Lowest relative humidity (%) | Highest relative humidity (%) | |
| Summer | MV | 84.0 | 8.5 | 53.4 | 95.8 |
| NV | 78.4 | 14.7 | 32.7 | 97.7 | |
| Outside | 80.5 | 14.2 | 40.7 | 100.0 | |
| Autumn | MV | 83.8 | 11.4 | 46.8 | 98.0 |
| NV | 83.8 | 19.2 | 29.6 | 100.0 | |
| Outside | 81.2 | 17.9 | 28.7 | 100.0 | |
| Winter | MV | 95.0 | 5.7 | 60.3 | 100.0 |
| NV | 95.2 | 8.7 | 62.9 | 100.0 | |
| Outside | 75.2 | 17.1 | 18.4 | 100.0 | |
| Internal air temperature | Sequence length for LSTM model | BES model [11] | |||||
| 30 min | 60 min | 90 min | 120 min | 150 min | 180 min | ||
| R2 | 0.96 | 0.96 | 0.98 | 0.99 | 0.99 | 0.99 | 0.95 |
| RMSE (°C) | 0.61 | 0.51 | 0.35 | 0.23 | 0.25 | 0.22 | 0.70 |
| MAPE (%) | 1.50 | 1.22 | 0.85 | 0.45 | 0.47 | 0.44 | 1.71 |
| Internal relative humidity | Sequence length for LSTM model | BES model [11] | |||||
| 30 min | 60 min | 90 min | 120 min | 150 min | 180 min | ||
| R2 | 0.91 | 0.95 | 0.96 | 0.98 | 0.98 | 0.98 | 0.92 |
| RMSE (°C) | 3.16 | 2.35 | 1.62 | 1.11 | 1.08 | 1.09 | 4.61 |
| MAPE (%) | 3.12 | 2.16 | 1.57 | 0.79 | 0.78 | 0.79 | 4.33 |
| Summer | Basic model | Simplified model | ||
| Internal air Temperature | Internal relative Humidity | Internal air Temperature | Internal relative Humidity | |
| R2 | 0.995 | 0.989 | 0.995 | 0.990 |
| RMSE (°C, %) | 0.182 | 0.947 | 0.178 | 0.867 |
| MAPE (%) | 0.424 | 0.652 | 0.461 | 0.618 |
| Autumn | Basic model | Simplified model | ||
| Internal air temperature | Internal relative humidity | Internal air temperature | Internal relative humidity | |
| R2 | 0.997 | 0.993 | 0.998 | 0.990 |
| RMSE (°C, %) | 0.299 | 0.453 | 0.150 | 0.550 |
| MAPE (%) | 1.315 | 0.337 | 0.679 | 0.361 |
| Winter | Basic model | Simplified model | ||
| Internal air temperature | Internal relative humidity | Internal air temperature | Internal relative humidity | |
| R2 | 0.993 | 0.995 | 0.997 | 0.995 |
| RMSE (°C, %) | 0.173 | 0.358 | 0.095 | 0.277 |
| MAPE (%) | 0.986 | 0.296 | 0.505 | 0.193 |
| Summer | Basic model | Simplified model | ||
| Internal air Temperature | Internal relative Humidity | Internal air Temperature | Internal relative Humidity | |
| R2 | 0.981 | 0.986 | 0.978 | 0.983 |
| RMSE (°C, %) | 0.939 | 1.976 | 0.680 | 1.931 |
| MAPE (%) | 2.854 | 1.988 | 1.551 | 1.877 |
| Autumn | Basic model | Simplified model | ||
| Internal air temperature | Internal relative humidity | Internal air temperature | Internal relative humidity | |
| R2 | 0.995 | 0.997 | 0.994 | 0.996 |
| RMSE (°C, %) | 0.263 | 1.200 | 0.260 | 1.003 |
| MAPE (%) | 1.295 | 1.060 | 1.140 | 0.838 |
| Winter | Basic model | Simplified model | ||
| Internal air temperature | Internal relative humidity | Internal air temperature | Internal relative humidity | |
| R2 | 0.993 | 0.995 | 0.997 | 0.976 |
| RMSE (°C, %) | 0.306 | 0.619 | 0.209 | 1.492 |
| MAPE (%) | 2.710 | 0.402 | 2.114 | 0.803 |
| Summer | Basic model | Simplified model | ||
| Internal air Temperature | Internal relative Humidity | Internal air Temperature | Internal relative Humidity | |
| R2 | 0.988 | 0.980 | 0.987 | 0.981 |
| RMSE (°C, %) | 0.221 | 1.065 | 0.224 | 1.070 |
| MAPE (%) | 0.412 | 0.731 | 0.390 | 0.761 |
| Autumn | Basic model | Simplified model | ||
| Internal air temperature | Internal relative humidity | Internal air temperature | Internal relative humidity | |
| R2 | 0.998 | 0.998 | 0.999 | 0.998 |
| RMSE (°C, %) | 0.137 | 0.499 | 0.121 | 0.482 |
| MAPE (%) | 0.526 | 0.401 | 0.643 | 0.406 |
| Winter | Basic model | Simplified model | ||
| Internal air temperature | Internal relative humidity | Internal air temperature | Internal relative humidity | |
| R2 | 0.983 | 0.991 | 0.985 | 0.991 |
| RMSE (°C, %) | 0.487 | 0.647 | 0.403 | 0.728 |
| MAPE (%) | 2.317 | 0.332 | 1.654 | 0.463 |
| Summer | Basic model | Simplified model | ||
| Internal air Temperature | Internal relative Humidity | Internal air Temperature | Internal relative Humidity | |
| R2 | 0.994 | 0.996 | 0.995 | 0.995 |
| RMSE (°C, %) | 0.414 | 1.103 | 0.390 | 1.313 |
| MAPE (%) | 0.813 | 1.254 | 0.891 | 1.512 |
| Autumn | Basic model | Simplified model | ||
| Internal air temperature | Internal relative humidity | Internal air temperature | Internal relative humidity | |
| R2 | 0.996 | 0.998 | 0.997 | 0.996 |
| RMSE (°C, %) | 0.385 | 0.914 | 0.352 | 1.496 |
| MAPE (%) | 1.891 | 1.048 | 1.701 | 1.819 |
| Winter | Basic model | Simplified model | ||
| Internal air temperature | Internal relative humidity | Internal air temperature | Internal relative humidity | |
| R2 | 0.997 | 0.984 | 0.997 | 0.989 |
| RMSE (°C, %) | 0.229 | 0.866 | 0.239 | 0.744 |
| MAPE (%) | 1.187 | 0.490 | 1.285 | 0.550 |
Publisher’s Note: MDPI stays neutral with regard to jurisdictional claims in published maps and institutional affiliations. |
© 2022 by the authors. Licensee MDPI, Basel, Switzerland. This article is an open access article distributed under the terms and conditions of the Creative Commons Attribution (CC BY) license (https://creativecommons.org/licenses/by/4.0/).
Share and Cite
Lee, S.-y.; Lee, I.-b.; Yeo, U.-h.; Kim, J.-g.; Kim, R.-w. Machine Learning Approach to Predict Air Temperature and Relative Humidity inside Mechanically and Naturally Ventilated Duck Houses: Application of Recurrent Neural Network. Agriculture 2022, 12, 318. https://doi.org/10.3390/agriculture12030318
Lee S-y, Lee I-b, Yeo U-h, Kim J-g, Kim R-w. Machine Learning Approach to Predict Air Temperature and Relative Humidity inside Mechanically and Naturally Ventilated Duck Houses: Application of Recurrent Neural Network. Agriculture. 2022; 12(3):318. https://doi.org/10.3390/agriculture12030318
Chicago/Turabian StyleLee, Sang-yeon, In-bok Lee, Uk-hyeon Yeo, Jun-gyu Kim, and Rack-woo Kim. 2022. "Machine Learning Approach to Predict Air Temperature and Relative Humidity inside Mechanically and Naturally Ventilated Duck Houses: Application of Recurrent Neural Network" Agriculture 12, no. 3: 318. https://doi.org/10.3390/agriculture12030318
APA StyleLee, S.-y., Lee, I.-b., Yeo, U.-h., Kim, J.-g., & Kim, R.-w. (2022). Machine Learning Approach to Predict Air Temperature and Relative Humidity inside Mechanically and Naturally Ventilated Duck Houses: Application of Recurrent Neural Network. Agriculture, 12(3), 318. https://doi.org/10.3390/agriculture12030318

