Photosynthesis, Yield, Nutrient Availability and Soil Properties after Biochar, Zeolites or Mycorrhizal Inoculum Application to a Mature Rainfed Olive Orchard
Abstract
:1. Introduction
2. Materials and Methods
2.1. Study Site
2.2. Experimental Design, Fertilizing Materials and Orchard Management
2.3. Field Determinations
2.4. Field Sampling and Laboratory Analysis
2.5. Data Analysis
3. Results
3.1. Olive Yield and Pruning Wood
3.2. Leaf Gas Exchange
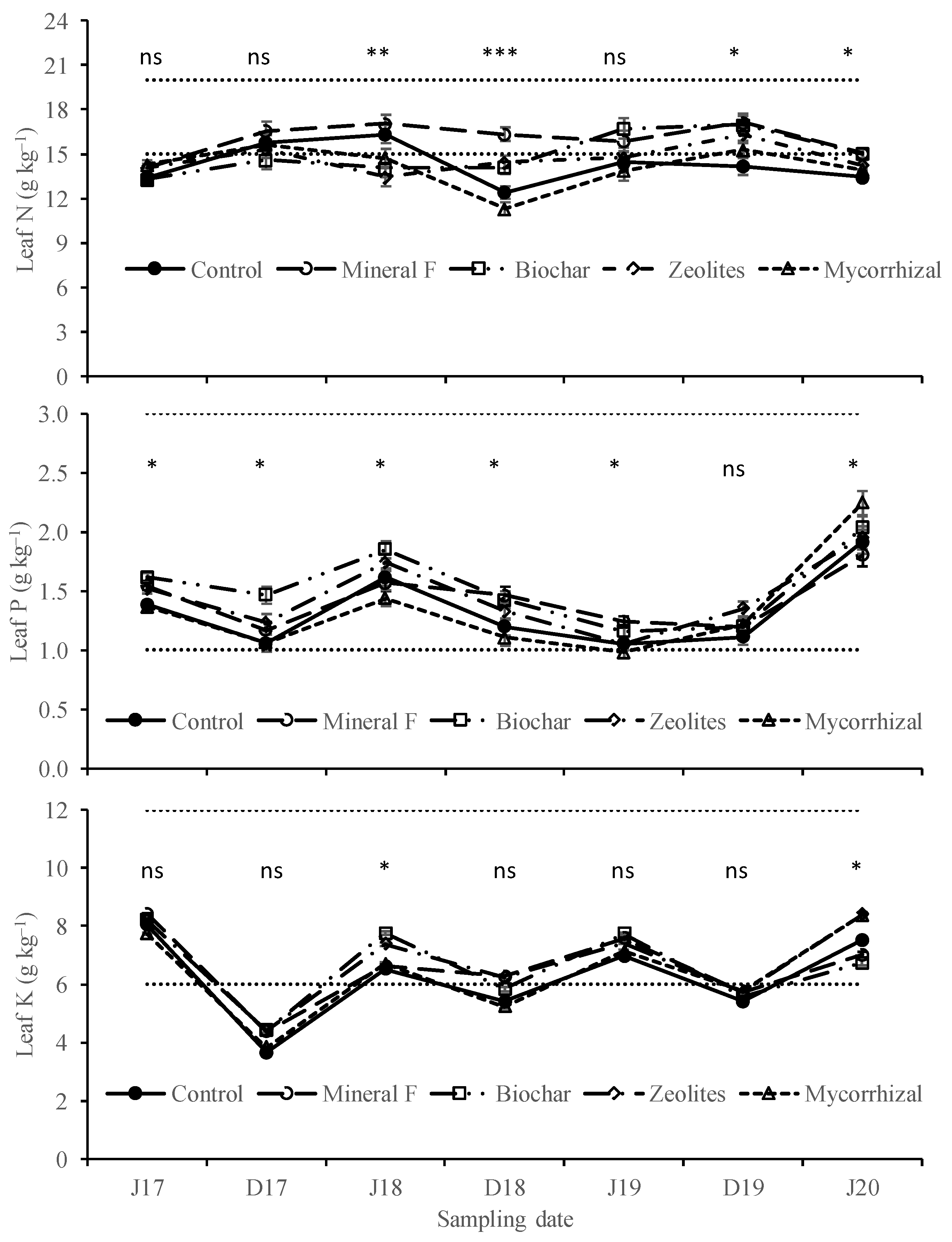
3.3. Plant Nutritional Status
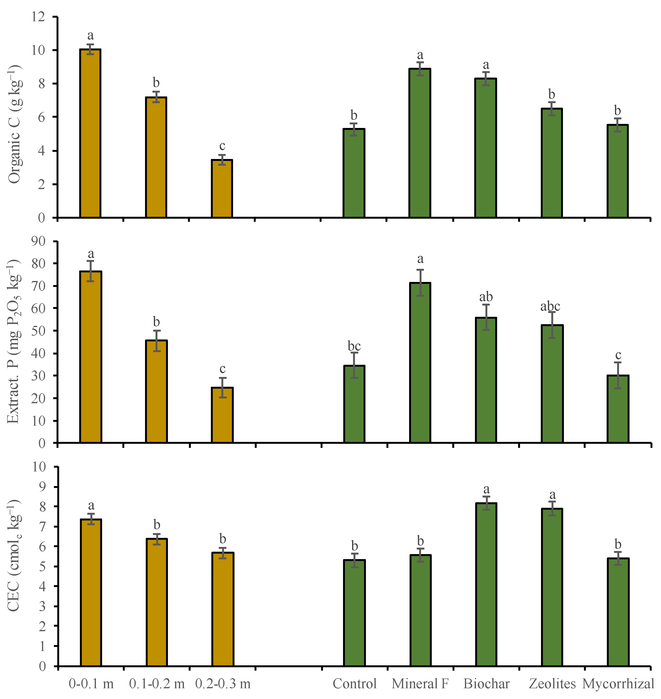
3.4. Soil Properties
4. Discussion
5. Conclusions
Author Contributions
Funding
Institutional Review Board Statement
Informed Consent Statement
Data Availability Statement
Conflicts of Interest
References
- Weil, R.R.; Brady, N.C. The Nature and Properties of Soils, 15th ed.; Pearson: London, UK, 2017. [Google Scholar]
- Keesstra, S.D.; Bouma, J.; Wallinga, J.; Tittonell, P.; Smith, P.; Cerdà, A.; Montanarella, L.; Quinton, J.N.; Pachepsky, Y.; Van der Putten, W.H.; et al. The significance of soils and soil science towards realization of the United Nations Sustainable Development Goals. Soil 2016, 2, 111–128. [Google Scholar] [CrossRef] [Green Version]
- Arrobas, M.; Santos, D.; Ribeiro, A.; Pereira, E.; Rodrigues, M.A. Soil and foliar nitrogen and boron fertilization of almond trees grown under rainfed conditions. Eur. J. Agron. 2019, 106, 39–48. [Google Scholar] [CrossRef]
- Rodrigues, M.A.; Correia, C.M.; Claro, A.M.; Ferreira, I.Q.; Barbosa, J.C.; Moutinho-Pereira, J.M.; Bacelar, E.A.; Fernandes-Silva, A.A.; Arrobas, M. Soil nitrogen availability in olive orchards after mulching legume cover crop residues. Sci. Hortic. 2013, 156, 45–51. [Google Scholar] [CrossRef]
- Quinteiro, P.; Rafael, S.; Vicente, B.; Marta-Almeida, M.; Rocha, A.; Arroja, L.; Dias, A.C. Mapping green water scarcity under climate change: A case study of Portugal. Sci. Total Environ. 2019, 696, 134024. [Google Scholar] [CrossRef]
- Werner, W. Environmental aspects of fertilizer application. In ‘Ullmann’s Agrochemicals, Fertilizers, 3; Chapter 9; Wiley-VCH Verlag GmbH & Co.: Weinheim, Germany, 2007; pp. 99–111. [Google Scholar]
- Gao, S.; DeLuca, T.H.; Cleveland, C.C. Biochar additions alter phosphorus and nitrogen availability in agricultural ecosystems: A meta-analysis. Sci. Total Environ. 2019, 654, 463–472. [Google Scholar] [CrossRef] [PubMed]
- Yu, H.; Zou, W.; Chen, J.; Chen, H.; Yu, Z.; Huang, J.; Tang, H.; Wei, X.; Gao, B. Biochar amendment improves crop production in problem soils: A review. J. Environ. Manag. 2019, 232, 8–21. [Google Scholar] [CrossRef]
- Du Jardin, P.; Xu, L.; Geelen, D. Agricultural functions and action mechanisms of plant biostimulants (PBs): An introduction. In The Chemical Biology of Plant Biostimulants; Geelen, D., Xu, L., Eds.; Wiley: Hoboken, NJ, USA, 2020; pp. 3–29. [Google Scholar]
- Lanfranco, L.; Bonfante, P.; Genre, A. The mutualistic interaction between plants and arbuscular mycorrhizal fungi. Microbiol. Spectr. 2016, 4, 1–20. [Google Scholar] [CrossRef] [PubMed]
- Kavitha, B.; Reddy, P.V.L.; Kim, B.; Lee, S.S.; Pandey, S.K.; Kim, K.-H. Benefits and limitations of biochar amendment in agricultural soils: A review. J. Environ. Manag. 2018, 227, 146–154. [Google Scholar] [CrossRef]
- Arif, M.; Ilyas, M.; Riaz, M.; Ali, K.; Shah, K.; Haq, I.U.; Fahad, S. Biochar improves phosphorus use efficiency of organic-inorganic fertilizers, maize-wheat productivity and soil quality in a low fertility alkaline soil. Field Crops Res. 2017, 214, 25–37. [Google Scholar] [CrossRef]
- Sun, Y.; Zhang, N.; Yan, J.; Zhang, S. Effects of soft rock and biochar applications on millet (Setaria italica L.) crop performance in sandy soil. Agronomy 2020, 10, 669. [Google Scholar] [CrossRef]
- Zheng, J.; Han, J.; Liu, Z.; Xia, W.; Zhang, X.; Li, L.; Liu, X.; Bian, R.; Cheng, K.; Zheng, J.; et al. Biochar compound fertilizer increases nitrogen productivity and economic benefits but decreases carbon emission of maize production. Agric. Ecosyst. Environ. 2017, 241, 70–78. [Google Scholar] [CrossRef]
- Li, S.; Wang, S.; Shangguan, Z. Combined biochar and nitrogen fertilization at appropriate rates could balance the leaching and availability of soil nitrogen. Agric. Ecosyst. Environ. 2019, 276, 21–30. [Google Scholar] [CrossRef]
- Bian, R.; Joseph, S.; Cui, L.; Pan, G.; Li, L.; Liu, X.; Zhang, A.; Rutlidge, H.; Wong, S.; Chia, C. A three-year experiment confirms continuous immobilization of cadmium and lead in contaminated paddy field with biochar amendment. J. Hazard Mater. 2014, 272, 121–128. [Google Scholar] [CrossRef]
- Shaaban, M.; Zwieten, L.V.; Bashir, S.; Younas, A.; Núñez-Delgado, A.; Chhajro, M.A.; Kubar, K.A.; Ali, U.; Rana, M.S.; Mehmood, M.A.; et al. A concise review of biochar application to agricultural soils to improve soil conditions and fight pollution. J. Environ. Manag. 2018, 228, 429–440. [Google Scholar] [CrossRef] [PubMed]
- Rodrigues, M.A.; Garmus, T.; Arrobas, M.; Gonçalves, A.; Silva, E.; Rocha, L.; Pinto, L.; Brito, C.; Martins, S.; Vargas, T.; et al. Combined biochar and organic waste have little effect on chemical soil properties and plant growth. Span. J. Soil Sci. 2019, 9, 199–211. [Google Scholar] [CrossRef]
- Liu, Z.; He, T.; Cao, T.; Yang, T.; Meng, J.; Chen, W. Effects of biochar application on nitrogen leaching, ammonia volatilization and nitrogen use efficiency in two distinct soils. J. Soil Sci. Plant Nutr. 2017, 17, 515–528. [Google Scholar] [CrossRef] [Green Version]
- Smedt, C.; Someus, E.; Spanoghe, P. Potential and actual uses of zeolites in crop protection. Pest Manag. Sci. 2015, 71, 1355–1367. [Google Scholar] [CrossRef]
- Santasnachok, C.; Kurniawan, W.; Hinode, H. The use of synthesized zeolites from power plant rice husk ash obtained from Thailand as adsorbent for cadmium contamination removal from zinc mining. J. Environ. Chem. Eng. 2015, 3, 2115–2126. [Google Scholar] [CrossRef]
- Fukasawa, T.; Horigome, A.; Karisma, A.D.; Maeda, N.; Huang, A.-N.; Fukui, K. Utilization of incineration fly ash from biomass power plants for zeolite synthesis from coal fly ash by microwave hydrothermal treatment. Adv. Powder Technol. 2018, 29, 450–456. [Google Scholar] [CrossRef]
- Bernardi, A.C.D.C.; Bezerra, M.; Monte, D.M.; Renato, P.; Paiva, P.; Werneck, C.G. Dry matter production and nutrient accumulation after successive crops of lettuce, tomato, rice, and andropogon grass in a substrate with zeolite. Rev. Bras. Ciênc. Solo 2010, 34, 435–442. [Google Scholar] [CrossRef]
- Aminiyan, M.M.; Sinegani, A.A.S.; Sheklabadi, M. Aggregation stability and organic carbon fraction in a soil amended with some plant residues, nanozeolite, and natural zeolite. Int. J. Recycl. Org. Waste Agricult. 2015, 4, 11–22. [Google Scholar] [CrossRef] [Green Version]
- Palanivell, P.; Ahmed, H.O.; Majid, N.M. Minimizing ammonia volatilization from urea, improving lowland rice (cv. MR219) seed germination, plant growth variables, nutrient uptake, and nutrient recovery using clinoptilolite zeolite. Arch. Agron. Soil Sci. 2016, 62, 708–724. [Google Scholar] [CrossRef]
- Liator, M.I.; Katz, L.; Shenker, M. The influence of compost and zeolite co-addition on the nutrients status and plant growth in intensively cultivated Mediterranean soils. Soil Use Manag. 2017, 33, 72–80. [Google Scholar] [CrossRef] [Green Version]
- Guaya, D.; Mendoza, A.; Valderrama, C.; Farran, A.; Sauras-Yera, T.; Cortina, J.L. Use of nutrient-enriched zeolite (NEZ) from urban wastewaters in amended soils: Evaluation of plant availability of mineral elements. Sci. Total Environ. 2020, 727, 138646. [Google Scholar] [CrossRef] [PubMed]
- Valentine, A.J.; Mortimer, P.E.; Kleinert, A.; Kang, Y.; Benedito, V.A. Carbon metabolism and costs of arbuscular mycorrhizal associations to host roots. In Symbiotic Endophytes; Aroca, R., Ed.; Springer-Verlag: Berlin/Heidelberg, Germany, 2013; pp. 233–252. [Google Scholar]
- Koller, R.; Rodriguez, A.; Robin, C.; Scheu, S.; Bonkowski, M. Protozoa enhance foraging efficiency of arbuscular mycorrhizal fungi for mineral nitrogen from organic matter in soil to the benefit of host plants. New Phytol. 2013, 199, 203–211. [Google Scholar] [CrossRef]
- Bati, C.B.; Santilli, E.; Lombardo, L. Effect of arbuscular mycorrhizal fungi on growth and on micronutrient and macronutrient uptake and allocation in olive plantlets growing under high total Mn levels. Mycorrhiza 2015, 25, 97–108. [Google Scholar] [CrossRef]
- Berdeni, D.; Cotton, T.E.A.; Daniell, T.J.; Bidartondo, M.I.; Cameron, D.D.; Evans, K.L. The effects of arbuscular mycorrhizal fungal colonisation on nutrient status, growth, productivity, and canker resistance of apple (Malus pumila). Front. Microbiol. 2018, 9, 1461. [Google Scholar] [CrossRef]
- Ouledali, S.; Ennajeh, M.; Zrig, A.; Gianinazzi, S.; Khemira, H. Estimating the contribution of arbuscular mycorrhizal fungi to drought tolerance of potted olive trees (Olea europaea). Acta Physiol. Plant. 2018, 40, 80–93. [Google Scholar] [CrossRef]
- Kumar, R.; Kumawat, N.; Sahu, Y.K. Role of biofertilizers in agriculture. Pop. Kheti 2017, 5, 63–66. [Google Scholar]
- von Caemmerer, S.; Farquhar, G.D. Some relationships between the biochemistry of photosynthesis and the gas exchange of leaves. Planta 1981, 153, 376–387. [Google Scholar] [CrossRef]
- Van Reeuwijk, L.P. Procedures for Soil Analysis, 6th ed.; Technical Paper 9; ISRIC, FAO: Rome, Italy, 2002. [Google Scholar]
- Balbino, L.R. La méthode Egner-Riehm et la détermination du phosfore et du potassium «assimilável» des sols du Portugal. II Col. Medit. Cont. Fert. Plantas Cultivadas 1968, 55–65. [Google Scholar]
- Temminghoff, E.E.J.M.; Houba, V.G. Plant Analysis Procedures, 2nd ed.; Klwuwer Academic Publishers: Dordrecht, The Netherlands, 2004. [Google Scholar]
- Fernández-Escobar, R. Fertilization. In El Cultivo del Olivo, 7th ed.; Barranco, D., Fernández-Escobar, R., Rallo, L., Eds.; Mundi-Prensa: Madrid, Spain, 2017; pp. 419–460. (In Spanish) [Google Scholar]
- Rodrigues, M.A.; Pavão, F.; Lopes, J.I.; Gomes, V.; Arrobas, M.; Moutinho-Pereira, J.; Ruivo, S.; Cabanas, J.E.; Correia, C.M. Olive yields and tree nutritional status during a four year period without nitrogen and boron fertilization. Commun. Soil Sci. Plant Anal. 2011, 42, 803–814. [Google Scholar] [CrossRef]
- Ferreira, I.Q.; Arrobas, M.; Moutinho-Pereira, J.M.; Correia, C.M.; Rodrigues, M.A. The effect of nitrogen applications on the growth of young olive trees and nitrogen use efficiency. Turk. J. Agric. For. 2020, 44, 278–289. [Google Scholar] [CrossRef]
- Rodrigues, M.A.; Grade, V.; Barroso, V.; Pereira, A.; Cassol, L.C.; Arrobas, M. Chestnut response to organo-mineral and controlled-release fertilizers in rainfed growing conditions. J. Soil Sci. Plant Nutr. 2020, 20, 380–391. [Google Scholar] [CrossRef] [Green Version]
- Fernández-Escobar, R.; Marin, L.; Sánchez-Zamora, M.A.; García- Novelo, J.M.; Molina-Soria, C.; Parra, M.A. Long-term effects of N fertilization on cropping and growth of olive trees and on N accumulation in soil profile. Eur. J. Agron. 2009, 31, 223–232. [Google Scholar] [CrossRef]
- Fernández-Escobar, R.; García-Novelo, J.M.; Molina-Soria, C.; Parra, M.A. An approach to nitrogen balance in olive orchards. Sci. Hortic. 2012, 135, 219–226. [Google Scholar] [CrossRef]
- Wei, W.; Yang, H.; Fan, M.; Chen, H.; Guo, D.; Jian Cao, J.; Kuzyakov, Y. Biochar effects on crop yields and nitrogen loss depending on fertilization. Sci. Total Environ. 2020, 702, 134423. [Google Scholar] [CrossRef]
- Zornoza, R.; Moreno-Barriga, F.; Acosta, J.A.; Muñoz, M.A.; Faz, A. Stability, nutrient availability and hydrophobicity of biochars derived from manure, crop residues, and municipal solid waste for their use as soil amendments. Chemosphere 2016, 144, 122–130. [Google Scholar] [CrossRef] [PubMed]
- Ye, L.; Camps-Arbestain, M.; Shen, Q.; Lehmann, J.; Singhm, B.; Sabir, M. Biochar effects on crop yields with and without fertilizer: A meta-analysis of field studies using separate controls. Soil Use Manag. 2020, 36, 2–18. [Google Scholar] [CrossRef]
- Schmidt, H.-P.; Kammann, C.; Hagemann, N.; Leifeld, J.; Bucheli, T.D.; Monedero, M.A.S.; Cayuela, M.L. Biochar in agriculture –A systematic review of 26 global meta-analyses. Bioenergy 2021, 13, 1708–1730. [Google Scholar] [CrossRef]
- Alkharabsheh, H.M.; Seleiman, M.F.; Battaglia, M.L.; Shami, A.; Jalal, R.S.; Alhammad, B.A.; Almutairi, K.F.; Al-Saif, A.M. Biochar and Its Broad Impacts in Soil Quality and Fertility, Nutrient Leaching and Crop Productivity: A Review. Agronomy 2021, 11, 993. [Google Scholar] [CrossRef]
- Hu, J.; Lin, X.; Wang, J.; Dai, J.; Cui, X.; Chen, R.; Zhang, J. Arbuscular mycorrhizal fungus enhances crop yield and P-uptake of maize (Zea mays L.): A field case study on a sandy loam soil as affected by long-term P-deficiency fertilization. Soil Biol. Biochem. 2009, 41, 2460–2465. [Google Scholar] [CrossRef]
- Ortas, I.; Bykova, A. The effect of mycorrhiza inoculation and phosphorus application on phosphorus efficiency of wheat plants. Commun. Soil Sci. Plant Anal. 2018, 49, 1199–1207. [Google Scholar] [CrossRef]
- Lopes, J.I.; Arrobas, M.; Brito, C.; Gonçalves, A.; Silva, E.; Martins, S.; Raimundo, S.; Rodrigues, M.A.; Correia, C.M. Mycorrhizal fungi were more effective than zeolites in increasing the growth of non-irrigated young olive trees. Sustainability 2020, 12, 10630. [Google Scholar] [CrossRef]
- Palansooriya, K.N.; Ok, Y.S.; Awad, Y.M.; Lee, S.S.; Sung, J.-K.; Koutsospyros, A.; Moon, D.H. Impacts of biochar application on upland agriculture: A review. J. Environ. Manag. 2019, 234, 52–64. [Google Scholar] [CrossRef] [PubMed]
- Ferreira, I.Q.; Rodrigues, M.A.; Moutinho-Pereira, J.M.; Correia, C.; Arrobas, M. Olive tree response to applied phosphorus in field and pot experiments. Sci. Hortic. 2018, 234, 236–244. [Google Scholar] [CrossRef] [Green Version]
- Rodrigues, M.; Piroli, L.B.; Forcelini, D.; Raimundo, S.; Domingues, L.S.; Cassol, L.C.; Correia, C.M.; Arrobas, M. Use of commercial mycorrhizal fungi in stress-free growing conditions of potted olive cuttings. Sci. Hortic. 2021, 275, 109712. [Google Scholar] [CrossRef]







| Soil Properties | Soil Properties (cont.) | ||
|---|---|---|---|
| 1 Organic C (g kg−1) | 7.82 ± 1.51 | 5 Extract. Cu (mg kg−1) | 2.8 ± 0.37 |
| 2 pH (H2O) | 5.88 ± 0.10 | 6 Exchang. Ca (cmolc kg−1) | 3.93 ± 0.84 |
| 2 pH (KCl) | 4.66 ± 0.06 | 6 Exchang. Mg (cmolc kg−1) | 0.73 ± 0.20 |
| 3 Extract. P (mg P2O5 kg−1) | 77.8 ± 23.8 | 6 Exchang. K (cmolc kg−1) | 0.22 ± 0.08 |
| 4 Extract. B (mg kg−1) | 1.4 ± 0.23 | 6 Exchang. Na (cmolc kg−1) | 0.59 ± 0.52 |
| 5 Extract. Fe (mg kg−1) | 38.1 ± 5.62 | 7 Exchang. acidity (cmolc kg−1) | 0.08 ± 0.02 |
| 5 Extract. Mn (mg kg−1) | 61.5 ± 13.40 | 8 CEC (cmolc kg−1) | 5.55 ± 1.50 |
| 5 Extract. Zn (mg kg−1) | 2.0 ± 0.21 |
| Biochar | Zeolites | ||||
|---|---|---|---|---|---|
| Moisture (%) | ≤30 | General formula: (Ca, K2, Na2, Mg)4Al8Si40O96·24H2O | |||
| Conduct (µS cm−1) | 948 | Mineral composition (%) | Chemical composition (%) | ||
| Bulk dens. (g cm3) | 0.35–0.40 | Clinoptilolite | 84 | SiO2 | 65.0–71.3 |
| Particle size (mm) | ≤8 | Cristobalite | 8 | Al2O3 | 11.5–13.1 |
| Ash (%) | ≤5 | Clay mica | 4 | CaO | 2.7–5.2 |
| Organic C (%) | ≥90 | Plagioclase | 3–4 | K2O | 2.2–3.4 |
| Volatiles (%) | ≤5 | Rutile | 0.1–0.3 | FeO3 | 0.7–1.9 |
| pH | 8 | Quartz | Traces | MgO | 0.6–1.2 |
| Total N (%) | <0.5 | Ion exchange (mol kg−1) | Na2O | 0.2–0.3 | |
| Fe (mg kg−1) | 99.5 | Ca++ | 0.64–0.08 | Physical and mechanical properties | |
| Pb (mg kg−1) | 0.5 | K+ | 0.22–0.45 | Vol. density | 1600–1800 kg m−3 |
| Hg (mg kg−1) | <0.1 | Mg++ | 0.06–0.19 | Porosity | 24–32% |
| Cd (mg kg−1) | <0.05 | Na+ | 0.01–0.19 | Diameter of pores | 0.4 nm |
| CEC | 1.2–1.59 | Specific surface | 30–60 m2 g−1 | ||
Publisher’s Note: MDPI stays neutral with regard to jurisdictional claims in published maps and institutional affiliations. |
© 2022 by the authors. Licensee MDPI, Basel, Switzerland. This article is an open access article distributed under the terms and conditions of the Creative Commons Attribution (CC BY) license (https://creativecommons.org/licenses/by/4.0/).
Share and Cite
Lopes, J.I.; Arrobas, M.; Raimundo, S.; Gonçalves, A.; Brito, C.; Martins, S.; Pinto, L.; Moutinho-Pereira, J.; Correia, C.M.; Rodrigues, M.Â. Photosynthesis, Yield, Nutrient Availability and Soil Properties after Biochar, Zeolites or Mycorrhizal Inoculum Application to a Mature Rainfed Olive Orchard. Agriculture 2022, 12, 171. https://doi.org/10.3390/agriculture12020171
Lopes JI, Arrobas M, Raimundo S, Gonçalves A, Brito C, Martins S, Pinto L, Moutinho-Pereira J, Correia CM, Rodrigues MÂ. Photosynthesis, Yield, Nutrient Availability and Soil Properties after Biochar, Zeolites or Mycorrhizal Inoculum Application to a Mature Rainfed Olive Orchard. Agriculture. 2022; 12(2):171. https://doi.org/10.3390/agriculture12020171
Chicago/Turabian StyleLopes, João Ilídio, Margarida Arrobas, Soraia Raimundo, Alexandre Gonçalves, Cátia Brito, Sandra Martins, Luís Pinto, José Moutinho-Pereira, Carlos M. Correia, and Manuel Ângelo Rodrigues. 2022. "Photosynthesis, Yield, Nutrient Availability and Soil Properties after Biochar, Zeolites or Mycorrhizal Inoculum Application to a Mature Rainfed Olive Orchard" Agriculture 12, no. 2: 171. https://doi.org/10.3390/agriculture12020171
APA StyleLopes, J. I., Arrobas, M., Raimundo, S., Gonçalves, A., Brito, C., Martins, S., Pinto, L., Moutinho-Pereira, J., Correia, C. M., & Rodrigues, M. Â. (2022). Photosynthesis, Yield, Nutrient Availability and Soil Properties after Biochar, Zeolites or Mycorrhizal Inoculum Application to a Mature Rainfed Olive Orchard. Agriculture, 12(2), 171. https://doi.org/10.3390/agriculture12020171

